EX-4.1 2 ex41-convertiblenotesdue20.htm EX-4.1 Document
Exhibit 4.1



LUCID GROUP, INC.

and

U.S. BANK TRUST COMPANY, NATIONAL ASSOCIATION

as Trustee

INDENTURE

Dated as of November 17, 2025

7.00% Convertible Senior Notes due 2031




    


TABLE OF CONTENTS
Page
Article 1 Definitions; Rules of Construction
1
Section 1.01. Definitions.1
Section 1.02. Other Definitions.13
Section 1.03. Rules of Construction.14
Article 2 The Notes
14
Section 2.01. Form, Dating and Denominations.14
Section 2.02. Execution, Authentication and Delivery.15
Section 2.03. Initial Notes and Additional Notes.15
Section 2.04. Method of Payment.16
Section 2.05. Accrual of Interest; Defaulted Amounts; When Payment Date is Not a Business Day.17
Section 2.06. Registrar, Paying Agent and Conversion Agent.18
Section 2.07. Paying Agent and Conversion Agent to Hold Property in Trust.18
Section 2.08. Holder Lists.19
Section 2.09. Legends.19
Section 2.10. Transfers and Exchanges; Certain Transfer Restrictions.20
Section 2.11. Exchange and Cancellation of Notes to Be Converted, Redeemed or Repurchased.25
Section 2.12. Replacement Notes.26
Section 2.13. Registered Holders; Certain Rights with Respect to Global Notes.26
Section 2.14. Cancellation.27
Section 2.15. Notes Held by the Company or its Affiliates.27
Section 2.16. Temporary Notes.27
Section 2.17. Outstanding Notes.27
Section 2.18. Repurchases by the Company.28
Section 2.19. CUSIP and ISIN Numbers.28
Article 3 Covenants
29
Section 3.01. Payment on Notes.29
Section 3.02. Exchange Act Reports.29
Section 3.03. Rule 144A Information.30
Section 3.04. Additional Interest.30
Section 3.05. Compliance and Default Certificates.31
Section 3.06. Stay, Extension and Usury Laws.31
Article 4 Repurchase and Redemption
31
Section 4.01. No Sinking Fund.31
Section 4.02. Right of Holders to Require the Company to Repurchase Notes upon a Fundamental Change.31
Section 4.03. Right of the Company to Redeem the Notes.36
Section 4.04. Repurchase of Notes by the Company at Option of Holders39
- i -
    


Article 5 Conversion
43
Section 5.01. Right to Convert.43
Section 5.02. Conversion Procedures.47
Section 5.03. Settlement upon Conversion.49
Section 5.04. Reserve and Status of Common Stock Issued upon Conversion.53
Section 5.05. Adjustments to the Conversion Rate.53
Section 5.06. Voluntary Adjustments.63
Section 5.07. Adjustments to the Conversion Rate in Connection with a Make-Whole Fundamental Change.64
Section 5.08. Exchange in Lieu of Conversion.65
Section 5.09. Effect of Common Stock Change Event.66
Article 6 Successors
68
Section 6.01. When the Company May Merge, Etc.68
Section 6.02. Successor Entity Substituted.68
Section 6.03. Exclusion for Asset Transfers with Wholly Owned Subsidiaries.69
Article 7 Defaults and Remedies
69
Section 7.01. Events of Default.69
Section 7.02. Acceleration.71
Section 7.03. Sole Remedy for a Failure to Report.71
Section 7.04. Other Remedies.73
Section 7.05. Waiver of Past Defaults.73
Section 7.06. Control by Majority.73
Section 7.07. Limitation on Suits.74
Section 7.08. Absolute Right of Holders to Institute Suit for the Enforcement of the Right to Receive Payment and Conversion Consideration.74
Section 7.09. Collection Suit by Trustee.75
Section 7.10. Trustee May File Proofs of Claim.75
Section 7.11. Priorities.75
Section 7.12. Undertaking for Costs.76
Article 8 Amendments, Supplements and Waivers
76
Section 8.01. Without the Consent of Holders.76
Section 8.02. With the Consent of Holders.77
Section 8.03. Notice of Amendments, Supplements and Waivers.78
Section 8.04. Revocation, Effect and Solicitation of Consents; Special Record Dates; Etc.78
Section 8.05. Notations and Exchanges.79
Section 8.06. Trustee to Execute Supplemental Indentures.79
Article 9 Satisfaction and Discharge
80
Section 9.01. Termination of Company’s Obligations.80
Section 9.02. Repayment to Company.80
Section 9.03. Reinstatement.81
- ii -
    


Article 10 Trustee
81
Section 10.01. Duties of the Trustee.81
Section 10.02. Rights of the Trustee.82
Section 10.03. Individual Rights of the Trustee.84
Section 10.04. Trustee’s Disclaimer.84
Section 10.05. Notice of Defaults.84
Section 10.06. Compensation and Indemnity.85
Section 10.07. Replacement of the Trustee.86
Section 10.08. Successor Trustee by Merger, Etc.86
Section 10.09. Eligibility; Disqualification.87
Article 11 Miscellaneous
87
Section 11.01. Notices.87
Section 11.02. Delivery of Officer’s Certificate and Opinion of Counsel as to Conditions Precedent.89
Section 11.03. Statements Required in Officer’s Certificate and Opinion of Counsel.89
Section 11.04. Rules by the Trustee, the Registrar, the Paying Agent and the Conversion Agent.89
Section 11.05. No Personal Liability of Directors, Officers, Employees and Stockholders.89
Section 11.06. Governing Law; Waiver of Jury Trial.90
Section 11.07. Submission to Jurisdiction.90
Section 11.08. No Adverse Interpretation of Other Agreements.90
Section 11.09. Successors.90
Section 11.10. Force Majeure.90
Section 11.11. U.S.A. PATRIOT Act.91
Section 11.12. Calculations.91
Section 11.13. Severability.91
Section 11.14. Counterparts.91
Section 11.15. Table of Contents, Headings, Etc.92
Section 11.16. Withholding Taxes.92
Exhibits
Exhibit A: Form of NoteA-1
Exhibit B-1: Form of Restricted Note LegendB1-1
Exhibit B-2: Form of Global Note LegendB2-1
Exhibit B-3: Form of Non-Affiliate LegendB3-1


- iii -
    


INDENTURE, dated as of November 17, 2025, between Lucid Group, Inc., a Delaware corporation, as issuer (the “Company”), and U.S. Bank Trust Company, National Association, as trustee (the “Trustee”).
Each party to this Indenture (as defined below) agrees as follows for the benefit of the other party and for the equal and ratable benefit of the Holders (as defined below) of the Company’s 7.00% Convertible Senior Notes due 2031 (the “Notes”).
Article 1    DEFINITIONS; RULES OF CONSTRUCTION
Section 1.01. Definitions.
Additional Interest” means any interest that accrues on any Note pursuant to Section 3.04.
Affiliate” has the meaning set forth in Rule 144 as in effect on the Issue Date.
Authorized Denomination” means, with respect to a Note, a principal amount thereof equal to $1,000 or any integral multiple of $1,000 in excess thereof.
Bankruptcy Law” means Title 11, United States Code, or any similar U.S. federal or state or non-U.S. law for the relief of debtors.
Bid Solicitation Agent” means the Person who is required to obtain bids for the Trading Price in accordance with Section 5.01(C)(i)(2) and the definition of “Trading Price.” The initial Bid Solicitation Agent on the Issue Date will be the Company; provided, however, that the Company may appoint any other Person (including any of the Company’s Subsidiaries) to be the Bid Solicitation Agent at any time after the Issue Date without prior notice to the Holders.
Board of Directors” means the board of directors of the Company or a committee of such board duly authorized to act on behalf of such board.
Business Day” means any day other than a Saturday, a Sunday or any day on which the Federal Reserve Bank of New York is authorized or required by law or executive order to close or be closed.
Capital Stock” of any Person means any and all shares of, interests in, rights to purchase, warrants or options for, participations in, or other equivalents of, in each case however designated, the equity of such Person, but excluding any debt securities convertible into such equity.
Close of Business” means 5:00 p.m., New York City time.
Common Stock” means the Class A common stock, $0.0001 par value per share, of the Company, subject to Section 5.09.
Company” means the Person named as such in the first paragraph of this Indenture and, subject to Article 6, its successors and assigns.

- 1 -
    


Company Order” means a written request or order signed on behalf of the Company by one (1) of its Officers and delivered to the Trustee.
Conversion Date” means, with respect to a Note, the first Business Day on which the requirements set forth in Section 5.02(A) to convert such Note are satisfied, subject to Section 5.03(C).
Conversion Price” means, as of any time, an amount equal to (A) one thousand dollars ($1,000) divided by (B) the Conversion Rate in effect at such time.
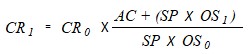
Conversion Rate” initially means 48.0475 shares of Common Stock per $1,000 principal amount of Notes; provided, however, that the Conversion Rate is subject to adjustment pursuant to Article 5; provided, further, that whenever this Indenture refers to the Conversion Rate as of a particular date without setting forth a particular time on such date, such reference will be deemed to be to the Conversion Rate immediately after the Close of Business on such date.
Conversion Share” means any share of Common Stock issued or issuable upon conversion of any Note.
Daily Cash Amount” means, with respect to any VWAP Trading Day, the lesser of (A) the applicable Daily Maximum Cash Amount; and (B) the Daily Conversion Value for such VWAP Trading Day.
Daily Conversion Value” means, with respect to any VWAP Trading Day, one-thirtieth (1/30th) of the product of (A) the Conversion Rate on such VWAP Trading Day; and (B) the Daily VWAP per share of Common Stock on such VWAP Trading Day.
Daily Maximum Cash Amount” means, with respect to the conversion of any Note, the quotient obtained by dividing (A) the Specified Dollar Amount applicable to such conversion by (B) thirty (30).
Daily Share Amount” means, with respect to any VWAP Trading Day, the quotient obtained by dividing (A) the excess, if any, of the Daily Conversion Value for such VWAP Trading Day over the applicable Daily Maximum Cash Amount by (B) the Daily VWAP for such VWAP Trading Day. For the avoidance of doubt, the Daily Share Amount will be zero for such VWAP Trading Day if such Daily Conversion Value does not exceed such Daily Maximum Cash Amount.
Daily VWAP” means, for any VWAP Trading Day, the per share volume-weighted average price of the Common Stock as displayed under the heading “Bloomberg VWAP” on Bloomberg page “LCID <EQUITY> AQR” (or, if such page is not available, its equivalent successor page) in respect of the period from the scheduled open of trading until the scheduled close of trading of the primary trading session on such VWAP Trading Day (or, if such volume-weighted average price is unavailable, the market value of one share of Common Stock on such VWAP Trading Day, determined, using a volume-weighted average price method, by a nationally recognized independent investment banking firm selected by the Company, which may be any of the Initial Purchasers). The Daily VWAP will be determined without regard to after-hours trading or any other trading outside of the regular trading session.

- 2 -
    


Default” means any event that is (or, after notice, passage of time or both, would be) an Event of Default.
Default Settlement Method” means Physical Settlement; provided, however, that (A) the Company may, from time to time, change the Default Settlement Method by (x) sending notice of the new Default Settlement Method to the Holders, the Trustee and the Conversion Agent and (y) by disclosing the new Default Settlement Method on its website or in a Current Report on Form 8-K (or any successor form) that is filed with, or furnished to, the SEC; and (B) the Default Settlement Method will be subject to Section 5.03(A)(ii).
Depositary” means The Depository Trust Company or its successor.
Depositary Participant” means any member of, or participant in, the Depositary.
Depositary Procedures” means, with respect to any conversion, transfer, exchange or transaction involving a Global Note or any beneficial interest therein, the rules and procedures of the Depositary applicable to such conversion, transfer, exchange or transaction.
Ex-Dividend Date” means, with respect to an issuance, dividend or distribution on the Common Stock, the first date on which shares of Common Stock trade on the applicable exchange or in the applicable market, regular way, without the right to receive such issuance, dividend or distribution (including pursuant to due bills or similar arrangements required by the relevant stock exchange). For the avoidance of doubt, any alternative trading convention on the applicable exchange or market in respect of the Common Stock under a separate ticker symbol or CUSIP number will not be considered “regular way” for this purpose.
Exchange Act” means the U.S. Securities Exchange Act of 1934, as amended.
Exempted Fundamental Change” means any Fundamental Change with respect to which, in accordance with Section 4.02(I), the Company does not offer to repurchase any Notes.
Family Member” means, with respect to any natural person, the spouse, domestic partner, parents, grandparents, lineal descendants, siblings and lineal descendants of siblings of such natural person. For purposes of this definition, lineal descendants include adopted persons, but only if such adopted persons were adopted while a minor.
Freely Tradable” means, with respect to any security of the Company, that such security would be eligible to be offered, sold or otherwise transferred pursuant to Rule 144 or otherwise if held by a Person that is not an Affiliate of the Company, and that has not been an Affiliate of the Company during the immediately preceding three (3) months, without any requirements as to volume, manner of sale, availability of current public information or notice under the Securities Act (except that any such requirement as to the availability of current public information will be disregarded if the same is satisfied at that time).

- 3 -
    


Fundamental Change” means any of the following events:
(A)    a “person” or “group” (within the meaning of Section 13(d)(3) of the Exchange Act), other than the (w) Company, (x) its Wholly Owned Subsidiaries, (y) their respective employee benefit plans or (z) any Permitted Party or any “person” or “group” consisting solely of Permitted Parties, files any report with the SEC indicating that such person or group has become the direct or indirect “beneficial owner” (as defined below) of shares of the Common Stock representing more than fifty percent (50%) of the voting power of all of the Company’s then-outstanding Common Stock;
(B)    the consummation of (i) any sale, lease or other transfer, in one transaction or a series of transactions, of all or substantially all of the assets of the Company and its Subsidiaries, taken as a whole, to any Person, other than solely to one or more of the Company’s Wholly Owned Subsidiaries; or (ii) any transaction or series of related transactions in connection with which (whether by means of merger, consolidation, share exchange, combination, reclassification, recapitalization, acquisition, liquidation or otherwise) all of the Common Stock is exchanged for, converted into, acquired for, or constitutes solely the right to receive, other securities, cash or other property; provided, however, that any merger, consolidation, share exchange or combination of the Company pursuant to which the Persons that directly or indirectly “beneficially owned” (as defined below) all classes of the Company’s common equity immediately before such transaction directly or indirectly “beneficially own,” immediately after such transaction, more than fifty percent (50%) of all classes of common equity of the surviving, continuing or acquiring company or other transferee, as applicable, or the parent thereof, in substantially the same proportions vis-à-vis each other as immediately before such transaction will be deemed not to be a Fundamental Change pursuant to this clause (B);
(C)    the Company’s stockholders approve any plan or proposal for the liquidation or dissolution of the Company; or
(D)    the Common Stock ceases to be listed on any of The New York Stock Exchange, The Nasdaq Global Select Market, The Nasdaq Global Market or The Nasdaq Capital Market (or any of their respective successors);
provided, however, that a transaction or event described in clause (A) or (B) above will not constitute a Fundamental Change if at least ninety percent (90%) of the consideration received or to be received by the holders of Common Stock (excluding cash payments for fractional shares or pursuant to dissenters rights), in connection with such transaction or event, consists of shares of common stock listed on any of The New York Stock Exchange, The Nasdaq Global Select Market, The Nasdaq Global Market or The Nasdaq Capital Market (or any of their respective successors), or that will be so listed when issued or exchanged in connection with such transaction or event, and such transaction or event constitutes a Common Stock Change Event whose Reference Property consists of such consideration.
If any transaction in which the Common Stock is replaced by the securities of another entity occurs, following completion of any related Make-Whole Fundamental Change Conversion Period (or, in the case of a transaction that would have been a Fundamental Change or a Make-Whole Fundamental Change but for the proviso to the immediately preceding paragraph, following the effective date of such transaction), references to the Company for purposes of this definition shall instead be references to such other entity.

- 4 -
    


For the purposes of this definition, (x) any transaction or event described in both clause (A) and in clause (B)(i) or (ii) above (without regard to the proviso in clause (B)) will be deemed to occur solely pursuant to clause (B) above (subject to such proviso); and (y) whether a Person is a “beneficial owner,” whether shares are “beneficially owned,” and percentage beneficial ownership, will be determined in accordance with Rule 13d-3 under the Exchange Act.
Fundamental Change Repurchase Date” means the date fixed for the repurchase of any Notes by the Company pursuant to a Repurchase Upon Fundamental Change.
Fundamental Change Repurchase Notice” means a notice (including a notice substantially in the form of the “Fundamental Change Repurchase Notice” set forth in Exhibit A) containing the information, or otherwise complying with the requirements, set forth in Section 4.02(F)(i) and Section 4.02(F)(ii).
Fundamental Change Repurchase Price” means the cash price payable by the Company to repurchase any Note upon its Repurchase Upon Fundamental Change, calculated pursuant to Section 4.02(D).
Global Note” means a Note that is represented by a certificate substantially in the form set forth in Exhibit A, registered in the name of the Depositary or its nominee, duly executed by the Company and authenticated by the Trustee, and deposited with the Trustee, as custodian for the Depositary.
Global Note Legend” means a legend substantially in the form set forth in Exhibit B-2.
Holder” means a person in whose name a Note is registered on the Registrar’s books.
Indenture” means this Indenture, as amended or supplemented from time to time.
Initial Purchasers” means the Initial Purchasers set forth in Schedule A to the Purchase Agreement.
Interest Payment Date” means, with respect to a Note, each May 1 and November 1 of each year, commencing on May 1, 2026 (or commencing on such other date specified in the certificate representing such Note). For the avoidance of doubt, the Maturity Date is an Interest Payment Date.
Issue Date” means November 17, 2025.
Last Original Issue Date” means (A) with respect to any Notes issued pursuant to the Purchase Agreement (including any Notes issued pursuant to the exercise of the Shoe Option by the Initial Purchasers), and any Notes issued in exchange therefor or in substitution thereof, the later of (i) the Issue Date and (ii) the last date any Notes are originally issued pursuant to the exercise of the Shoe Option; and (B) with respect to any Notes issued pursuant to Section 2.03(B), and any Notes issued in exchange therefor or in substitution thereof, either (i) the later of (x) the date such Notes are originally issued and (y) the last date any Notes are originally issued as part of the same offering pursuant to the exercise of an option granted to the initial purchaser(s) of such Notes to purchase additional Notes; or (ii) such other date as is specified in an Officer’s Certificate delivered to the Trustee before the original issuance of such Notes.

- 5 -
    


Last Reported Sale Price” of the Common Stock for any Trading Day means the closing sale price per share (or, if no closing sale price is reported, the average of the last bid price and the last ask price per share or, if more than one in either case, the average of the average last bid prices and the average last ask prices per share) of Common Stock on such Trading Day as reported in composite transactions for the principal U.S. national or regional securities exchange on which the Common Stock is then listed. If the Common Stock is not listed on a U.S. national or regional securities exchange on such Trading Day, then the Last Reported Sale Price will be the last quoted bid price per share of Common Stock on such Trading Day in the over-the-counter market as reported by OTC Markets Group Inc. or a similar organization. If the Common Stock is not so quoted on such Trading Day, then the Last Reported Sale Price will be the average of the mid-point of the last bid price and the last ask price per share of Common Stock on such Trading Day from a nationally recognized independent investment banking firm selected by the Company, which may be any of the Initial Purchasers. Neither the Trustee nor the Conversion Agent will have any duty to determine the Last Reported Sale Price.
The “Liquidity Conditions” with respect to the Redemption of any Notes will be satisfied if each of the following has been satisfied as of the Redemption Notice Date for such Redemption and is reasonably expected to continue to be satisfied through at least the thirtieth (30th) calendar day after the Redemption Date for such Redemption: (A) the Company has satisfied the reporting conditions set forth in Rule 144(c) and Rule 144(i)(2) under the Securities Act; and (B) the shares of Common Stock, if any, issued or issuable upon conversion of the Notes are Freely Tradable; provided, however, that the Liquidity Conditions will also be deemed to be satisfied with respect to such Redemption if, in accordance with Section 5.03(A)(i)(3), the Company has elected to settle all conversions of Notes with a Conversion Date that occurs during the related Redemption Conversion Period by Cash Settlement.
Make-Whole Fundamental Change” means (A) a Fundamental Change (determined after giving effect to the proviso immediately after clause (D) of the definition thereof, but without regard to the proviso to clause (B)(ii) of such definition); or (B) the sending of a Redemption Notice pursuant to Section 4.03(G); provided, however, that, subject to Section 4.03(J), the sending of a Redemption Notice will constitute a Make-Whole Fundamental Change only with respect to the Notes called (or deemed called pursuant to Section 4.03(J)) for Redemption pursuant to such Redemption Notice and not with respect to any other Notes.
Make-Whole Fundamental Change Conversion Period” has the following meaning:
(A)    in the case of a Make-Whole Fundamental Change pursuant to clause (A) of the definition thereof, the period from, and including, the Make-Whole Fundamental Change Effective Date of such Make-Whole Fundamental Change to, and including, the thirty-fifth (35th) Trading Day after such Make-Whole Fundamental Change Effective Date (or, if such Make-Whole Fundamental Change also constitutes a Fundamental Change (other than an Exempted Fundamental Change), to, but excluding, the related Fundamental Change Repurchase Date); and
(B)    in the case of a Make-Whole Fundamental Change pursuant to clause (B) of the definition thereof, the related Redemption Conversion Period;
provided, however, that if the Conversion Date for the conversion of a Note that is called (or deemed, pursuant to Section 4.03(J), to be called) for Redemption occurs during the Make-Whole Fundamental Change Conversion Period for both a Make-Whole Fundamental Change occurring pursuant to clause (A) of the definition of “Make-Whole Fundamental Change” and a Make-Whole Fundamental Change resulting from such Redemption pursuant to clause (B) of such definition, then, notwithstanding anything to the contrary in Section 5.07, solely for purposes of such conversion, (x) such Conversion Date will be deemed to occur solely during the Make-Whole Fundamental Change Conversion Period for the Make-Whole Fundamental Change with the earlier Make-Whole Fundamental Change Effective Date; and (y) the Make-Whole Fundamental Change with the later Make-Whole Fundamental Change Effective Date will be deemed not to have occurred.

- 6 -
    


Make-Whole Fundamental Change Effective Date” means (A) with respect to a Make-Whole Fundamental Change pursuant to clause (A) of the definition thereof, the date on which such Make-Whole Fundamental Change occurs or becomes effective; and (B) with respect to a Make-Whole Fundamental Change pursuant to clause (B) of the definition thereof, the applicable Redemption Notice Date.
Market Disruption Event” means, with respect to any date, the occurrence or existence, during the one-half hour period ending at the scheduled close of trading on such date on the principal U.S. national or regional securities exchange or other market on which the Common Stock is listed for trading or trades, of any material suspension or limitation imposed on trading (by reason of movements in price exceeding limits permitted by the relevant exchange or otherwise) in the Common Stock or in any options contracts or futures contracts relating to the Common Stock.
Maturity Date” means November 1, 2031.
Non-Affiliate Legend” means a legend substantially in the form set forth in Exhibit B-3.
Note Agent” means any Registrar, Paying Agent or Conversion Agent.
Notes” means the 7.00% Convertible Senior Notes due 2031 issued by the Company pursuant to this Indenture.
Observation Period” means, with respect to any Note to be converted, (A) subject to clause (B) below, if the Conversion Date for such Note occurs before August 1, 2031, the thirty (30) consecutive VWAP Trading Days beginning on, and including, the second (2nd) VWAP Trading Day immediately after such Conversion Date; (B) if such Conversion Date occurs during a Redemption Conversion Period, the thirty (30) consecutive VWAP Trading Days beginning on, and including, the thirty-first (31st) Scheduled Trading Day immediately before the related Redemption Date; and (C) subject to clause (B) above, if such Conversion Date occurs on or after August 1, 2031, the thirty (30) consecutive VWAP Trading Days beginning on, and including, the thirty-first (31st) Scheduled Trading Day immediately before the Maturity Date.

- 7 -
    


Officer” means the Chairman of the Board of Directors, the Chief Executive Officer, the President, the Chief Operating Officer, the Chief Financial Officer, the Treasurer, any Assistant Treasurer, the Controller, the Secretary or any Vice-President of the Company.
Officer’s Certificate” means a certificate that is signed on behalf of the Company by one (1) of its Officers and that meets the requirements of Section 11.03.
Open of Business” means 9:00 a.m., New York City time.
Opinion of Counsel” means an opinion, from legal counsel (including an employee of, or counsel to, the Company or any of its Subsidiaries) reasonably acceptable to the Trustee, that meets the requirements of Section 11.03, subject to customary qualifications and exclusions.
Optional Repurchase Notice” means a notice (including a notice substantially in the form of the “Optional Repurchase Notice” set forth in Exhibit A) containing the information, or otherwise complying with the requirements, set forth in Section 4.04(E)(i) and Section 4.04(E)(ii).
Permitted Party” means Ayar Third Investment Company, the Public Investment Fund or any of their respective Affiliates. If any such Permitted Party is a natural person, “Permitted Party” shall include: (i) a Permitted Trust of such person that is solely for the benefit of (1) such person; (2) one or more Family Members of such person; or (3) any other Permitted Party that is an Affiliate of such person; or (ii) any general partnership, limited partnership, limited liability company, corporation or other entity exclusively owned by (1) such person; (2) one or more Family Members of such person; or (3) any other Permitted Party that is an Affiliate of such person.
Permitted Trust” of a person means a bona fide trust where each trustee is (i) such person; (ii) a Family Member of such person; or (iii) a professional in the business of providing trustee services, including private professional fiduciaries, trust companies and bank trust departments, acting in such capacity.
Person” or “person” means any individual, corporation, partnership, limited liability company, joint venture, association, joint-stock company, trust, unincorporated organization or government or other agency or political subdivision thereof. Any division or series of a limited liability company, limited partnership or trust will constitute a separate “person” under this Indenture.
Physical Note” means a Note (other than a Global Note) that is represented by a certificate substantially in the form set forth in Exhibit A, registered in the name of the Holder of such Note and duly executed by the Company and authenticated by the Trustee.
Purchase Agreement” means that certain Purchase Agreement, dated November 11, 2025, between the Company and Citigroup Global Markets Inc., Goldman Sachs & Co. LLC and BofA Securities, Inc., as representatives of the several Initial Purchasers.

- 8 -
    


Redemption” means the repurchase of any Note by the Company pursuant to Section 4.03.
Redemption Conversion Period” means, with respect to any Redemption, the period from, and including, the related Redemption Notice Date until the Close of Business on the second (2nd) Scheduled Trading Day immediately before the related Redemption Date (or, if the Company fails to pay the Redemption Price due on such Redemption Date in full, until such time as the Company pays such Redemption Price in full).
Redemption Date” means the date fixed, pursuant to Section 4.03(E), for the settlement of the repurchase of any Notes by the Company pursuant to a Redemption.
Redemption Notice Date” means, with respect to a Redemption, the date on which the Company sends the Redemption Notice for such Redemption pursuant to Section 4.03(G).
Redemption Price” means the cash price payable by the Company to redeem any Note upon its Redemption, calculated pursuant to Section 4.03(F).
Regular Record Date” has the following meaning with respect to an Interest Payment Date: (A) if such Interest Payment Date occurs on May 1, the immediately preceding April 15; and (B) if such Interest Payment Date occurs on November 1, the immediately preceding October 15.
Repurchase Upon Fundamental Change” means the repurchase of any Note by the Company pursuant to Section 4.02.
Responsible Officer” means (A) any officer within the corporate trust department of the Trustee (or any successor group of the Trustee) or any other officer of the Trustee customarily performing functions similar to those performed by any of such officers; and (B) with respect to a particular corporate trust matter relating to this Indenture, any other officer to whom such matter is referred because of his or her knowledge of, and familiarity with, the particular subject and, in each case, who will have direct responsibility for the administration of this Indenture.
Restricted Note Legend” means a legend substantially in the form set forth in Exhibit B-1.
Restricted Stock Legend” means, with respect to any Conversion Share, a legend substantially to the effect that the offer and sale of such Conversion Share have not been registered under the Securities Act and that such Conversion Share cannot be sold or otherwise transferred except pursuant to a transaction that is registered under the Securities Act or that is exempt from, or not subject to, the registration requirements of the Securities Act.
Rule 12b-25” means Rule 12b-25 under the Exchange Act (or any successor rule thereto), as the same may be amended from time to time.
Rule 144” means Rule 144 under the Securities Act (or any successor rule thereto), as the same may be amended from time to time.

- 9 -
    


Rule 144A” means Rule 144A under the Securities Act (or any successor rule thereto), as the same may be amended from time to time.
Scheduled Trading Day” means any day that is scheduled to be a Trading Day on the principal U.S. national or regional securities exchange on which the Common Stock is then listed or, if the Common Stock is not then listed on a U.S. national or regional securities exchange, on the principal other market on which the Common Stock is then traded. If the Common Stock is not so listed or traded, then “Scheduled Trading Day” means a Business Day.
SEC” means the U.S. Securities and Exchange Commission.
Securities Act” means the U.S. Securities Act of 1933, as amended.
Security” means any Note or Conversion Share.
Settlement Method” means Cash Settlement, Physical Settlement or Combination Settlement.
Shoe Option” means the Initial Purchasers’ option to purchase up to one hundred million dollars ($100,000,000) aggregate principal amount of additional Notes as provided for in the Purchase Agreement, which option was exercised in full by the Initial Purchasers for settlement on the date hereof.
Significant Subsidiary” means, with respect to any Person, any Subsidiary of such Person that constitutes a “significant subsidiary” (as defined in Rule 1-02(w) of Regulation S-X under the Exchange Act) of such Person; provided, however, that, in the case of a Subsidiary that meets the criteria of clause (1)(iii) of the definition thereof, but not clause (1)(i) or (1)(ii) thereof, such Subsidiary will not be deemed to be a Significant Subsidiary of such Person unless the Subsidiary’s income or loss from continuing operations before income taxes (after intercompany eliminations) for the most recently completed fiscal year prior to the date of such determination exceeds fifty million dollars ($50,000,000) (with such amount calculated pursuant to such rule). For purposes of this definition, Rule 1-02(w) of Regulation S-X refers to such rule as in effect on the Issue Date.
Special Interest” means any interest that accrues on any Note pursuant to Section 7.03.
Specified Dollar Amount” means, with respect to the conversion of a Note to which Combination Settlement applies, the maximum cash amount per $1,000 principal amount of such Note deliverable upon such conversion (excluding cash in lieu of any fractional share of Common Stock).
Stock Price” has the following meaning for any Make-Whole Fundamental Change: (A) if the holders of Common Stock receive only cash in consideration for their shares of Common Stock in such Make-Whole Fundamental Change and such Make-Whole Fundamental Change is pursuant to clause (B) of the definition of “Fundamental Change,” then the Stock Price is the amount of cash paid per share of Common Stock in such Make-Whole Fundamental Change; and (B) in all other cases, the Stock Price is the average of the Last Reported Sale Prices per share of Common Stock for the five (5) consecutive Trading Days ending on, and including, the Trading Day immediately before the Make-Whole Fundamental Change Effective Date of such Make-Whole Fundamental Change.

- 10 -
    


Subsidiary” means, with respect to any Person, (A) any corporation, association or other business entity (other than a partnership or limited liability company) of which more than fifty percent (50%) of the total voting power of the Capital Stock entitled (without regard to the occurrence of any contingency, but after giving effect to any voting agreement or stockholders’ agreement that effectively transfers voting power) to vote in the election of directors, managers or trustees, as applicable, of such corporation, association or other business entity is owned or controlled, directly or indirectly, by such Person or one or more of the other Subsidiaries of such Person; and (B) any partnership or limited liability company where (i) more than fifty percent (50%) of the capital accounts, distribution rights, equity and voting interests, or of the general and limited partnership interests, as applicable, of such partnership or limited liability company are owned or controlled, directly or indirectly, by such Person or one or more of the other Subsidiaries of such Person, whether in the form of membership, general, special or limited partnership or limited liability company interests or otherwise; and (ii) such Person or any one or more of the other Subsidiaries of such Person is a controlling general partner of, or otherwise controls, such partnership or limited liability company.
Trading Day” means any day on which (A) trading in the Common Stock generally occurs on the principal U.S. national or regional securities exchange on which the Common Stock is then listed or, if the Common Stock is not then listed on a U.S. national or regional securities exchange, on the principal other market on which the Common Stock is then traded; and (B) there is no Market Disruption Event. If the Common Stock is not so listed or traded, then “Trading Day” means a Business Day.
Trading Price” of the Notes on any Trading Day means the average of the secondary market bid quotations, expressed as a cash amount per $1,000 principal amount of Notes, obtained by the Bid Solicitation Agent for two million dollars ($2,000,000) (or such lesser amount as may then be outstanding) in principal amount of Notes at approximately 3:30 p.m., New York City time, on such Trading Day from three (3) nationally recognized independent securities dealers selected by the Company, which may include any of the Initial Purchasers; provided, however, that, if three (3) such bids cannot reasonably be obtained by the Bid Solicitation Agent but two (2) such bids are obtained, then the average of the two (2) bids will be used, and if only one (1) such bid can reasonably be obtained by the Bid Solicitation Agent, then that one (1) bid will be used. If, on any Trading Day, (A) the Bid Solicitation Agent cannot reasonably obtain at least one (1) bid for two million dollars ($2,000,000) (or such lesser amount as may then be outstanding) in principal amount of Notes from a nationally recognized independent securities dealer; (B) the Company is not acting as the Bid Solicitation Agent and the Company fails to instruct the Bid Solicitation Agent to obtain bids when required; or (C) the Bid Solicitation Agent fails to solicit bids when required, then, in each case, the Trading Price per $1,000 principal amount of Notes on such Trading Day will be deemed to be less than ninety eight percent (98%) of the product of the Last Reported Sale Price per share of Common Stock on such Trading Day and the Conversion Rate on such Trading Day.

- 11 -
    


Transfer-Restricted Security” means any Security that constitutes a “restricted security” (as defined in Rule 144); provided, however, that such Security will cease to be a Transfer-Restricted Security upon the earliest to occur of the following events:
(A)    such Security is sold or otherwise transferred to a Person (other than the Company or an Affiliate of the Company or a Person that was an Affiliate of the Company in the three months immediately preceding) pursuant to a registration statement that was effective under the Securities Act at the time of such sale or transfer;
(B)    such Security is sold or otherwise transferred to a Person (other than the Company or an Affiliate of the Company or a Person that was an Affiliate of the Company in the three months immediately preceding) pursuant to an available exemption (including Rule 144) from the registration and prospectus-delivery requirements of, or in a transaction not subject to, the Securities Act and, immediately after such sale or transfer, such Security ceases to constitute a “restricted security” (as defined in Rule 144); and
(C)    such Security is eligible for resale, by a Person that is not an Affiliate of the Company and that has not been an Affiliate of the Company during the immediately preceding three (3) months, pursuant to Rule 144 without any limitations thereunder as to volume, manner of sale, availability of current public information or notice.
The Trustee is under no obligation to determine whether any Security is a Transfer-Restricted Security and may conclusively rely on an Officer’s Certificate with respect thereto.
Trust Indenture Act” means the U.S. Trust Indenture Act of 1939, as amended.
Trustee” means the Person named as such in the first paragraph of this Indenture until a successor replaces it in accordance with the provisions of this Indenture and, thereafter, means such successor.
VWAP Market Disruption Event” means, with respect to any date, (A) the failure by the principal U.S. national or regional securities exchange on which the Common Stock is then listed, or, if the Common Stock is not then listed on a U.S. national or regional securities exchange, the principal other market on which the Common Stock is then traded, to open for trading during its regular trading session on such date; or (B) the occurrence or existence, for more than one half hour period in the aggregate, of any suspension or limitation imposed on trading (by reason of movements in price exceeding limits permitted by the relevant exchange or otherwise) in the Common Stock or in any options contracts or futures contracts relating to the Common Stock, and such suspension or limitation occurs or exists at any time before 1:00 p.m., New York City time, on such date.
VWAP Trading Day” means a day on which (A) there is no VWAP Market Disruption Event; and (B) trading in the Common Stock generally occurs on the principal U.S. national or regional securities exchange on which the Common Stock is then listed or, if the Common Stock is not then listed on a U.S. national or regional securities exchange, on the principal other market on which the Common Stock is then traded. If the Common Stock is not so listed or traded, then “VWAP Trading Day” means a Business Day.
Wholly Owned Subsidiary” of a Person means any Subsidiary of such Person all of the outstanding Capital Stock or other ownership interests of which (other than directors’ qualifying shares) are owned by such Person or one or more Wholly Owned Subsidiaries of such Person.

- 12 -
    


Section 1.02. Other Definitions.
Term
Defined in Section
“Additional Shares”5.07(A)
“Business Combination Event”6.01(A)
“Cash Settlement”5.03(A)
“Combination Settlement”5.03(A)
“Common Stock Change Event”5.09(A)
“Company Notice”4.04(D)
“Conversion Agent”2.06(A)
“Conversion Consideration”5.03(B)
“Default Interest”2.05(B)
“Defaulted Amount”2.05(B)
“Event of Default”7.01(A)
“Expiration Date”5.05(A)(v)
“Expiration Time”5.05(A)(v)
“Fundamental Change Notice”4.02(E)
“Fundamental Change Repurchase Right”4.02(A)
“Initial Notes”2.03(A)
“Measurement Period”5.01(C)(i)(2)
“Optional Repurchase”4.04(A)
“Optional Repurchase Date”4.04(A)
“Optional Repurchase Price”4.04(C)
“Optional Repurchase Right”4.04(A)
“Partial Redemption Limitation” 4.03(C)
“Paying Agent”2.06(A)
“Physical Settlement”5.03(A)
“Redemption Notice”4.03(G)
“Reference Property”5.09(A)
“Reference Property Unit”5.09(A)
“Register”2.06(B)
“Registrar”2.06(A)
“Reporting Event of Default”7.03(A)
“Specified Courts”11.07
“Spin-Off”5.05(A)(iii)(2)
“Spin-Off Valuation Period”5.05(A)(iii)(2)
“Stated Interest”2.05(A)
“Successor Entity”6.01(A)
“Successor Person”5.09(A)
“Tender/Exchange Offer Valuation Period”5.05(A)(v)
“Trading Price Condition”5.01(C)(i)(2)

- 13 -
    



Section 1.03. Rules of Construction.
For purposes of this Indenture:
(A)    “or” is not exclusive;
(B)    “including” means “including without limitation”;
(C)    “will” expresses a command;
(D)    the “average” of a set of numerical values refers to the arithmetic average of such numerical values;
(E)    a merger involving, or a transfer of assets by, a limited liability company, limited partnership or trust will be deemed to include any division of or by, or an allocation of assets to a series of, such limited liability company, limited partnership or trust, or any unwinding of any such division or allocation;
(F)    words in the singular include the plural and in the plural include the singular, unless the context requires otherwise;
(G)    “herein,” “hereof” and other words of similar import refer to this Indenture as a whole and not to any particular Article, Section or other subdivision of this Indenture, unless the context requires otherwise;
(H)    references to currency mean the lawful currency of the United States of America, unless the context requires otherwise;
(I)    the exhibits, schedules and other attachments to this Indenture are deemed to form part of this Indenture; and
(J)    the term “interest,” when used with respect to a Note, includes any Additional Interest, Default Interest and Special Interest, unless the context requires otherwise.
Article 2    THE NOTES
Section 2.01. Form, Dating and Denominations.
The Notes and the Trustee’s certificate of authentication will be substantially in the form set forth in Exhibit A. The Notes will bear the legends required by Section 2.09 and may bear notations, legends or endorsements required by law, stock exchange rule or usage or the Depositary. Each Note will be dated as of the date of its authentication.
Except to the extent otherwise provided in a Company Order delivered to the Trustee in connection with the issuance and authentication thereof, the Notes will be issued initially in the form of one or more Global Notes. Global Notes may be exchanged for Physical Notes, and Physical Notes may be exchanged for Global Notes, only as provided in Section 2.10.

- 14 -
    


The Notes will be issuable only in registered form without interest coupons and only in Authorized Denominations.
Each certificate representing a Note will bear a unique registration number that is not affixed to any other certificate representing another outstanding Note.
The terms contained in the Notes constitute part of this Indenture, and, to the extent applicable, the Company and the Trustee, by their execution and delivery of this Indenture, agree to such terms and to be bound thereby; provided, however, that, to the extent that any provision of any Note conflicts with the provisions of this Indenture, the provisions of this Indenture will control for purposes of this Indenture and such Note.
Section 2.02. Execution, Authentication and Delivery.
(A)    Due Execution by the Company. At least one (1) duly authorized Officer will sign the Notes on behalf of the Company by manual, facsimile or other electronic signature. A Note’s validity will not be affected by the failure of any Officer whose signature is on any Note to hold, at the time such Note is authenticated, the same or any other office at the Company.
(B)    Authentication by the Trustee and Delivery.
(i)    No Note will be valid until it is authenticated by the Trustee. A Note will be deemed to be duly authenticated only when an authorized signatory of the Trustee (or a duly appointed authenticating agent) manually signs the certificate of authentication of such Note.
(ii)    The Trustee will cause an authorized signatory of the Trustee (or a duly appointed authenticating agent) to manually sign the certificate of authentication of a Note only if (1) the Company delivers such Note to the Trustee; (2) such Note is executed by the Company in accordance with Section 2.02(A); and (3) the Company delivers a Company Order to the Trustee that (a) requests the Trustee to authenticate such Note; and (b) sets forth the name of the Holder of such Note and the date as of which such Note is to be authenticated. If such Company Order also requests the Trustee to deliver such Note to any Holder or to the Depositary, then the Trustee will promptly deliver such Note in accordance with such Company Order.
(iii)    The Trustee may appoint an authenticating agent acceptable to the Company to authenticate Notes. A duly appointed authenticating agent may authenticate Notes whenever the Trustee may do so under this Indenture, and a Note authenticated as provided in this Indenture by such an agent will be deemed, for purposes of this Indenture, to be authenticated by the Trustee. Each duly appointed authenticating agent will have the same rights to deal with the Company as the Trustee would have if it were performing the duties that the authenticating agent was validly appointed to undertake.
Section 2.03. Initial Notes and Additional Notes.
(A)    Initial Notes. On the Issue Date, there will be originally issued nine hundred seventy five million dollars ($975,000,000) aggregate principal amount of Notes, subject to the provisions of this Indenture (including Section 2.02). Notes issued pursuant to this Section 2.03(A), and any Notes issued in exchange therefor or in substitution thereof, are referred to in this Indenture as the “Initial Notes.”
- 15 -
    


(B)    Additional Notes. Without the consent of any Holder, the Company may, subject to the provisions of this Indenture (including Section 2.02), originally issue additional Notes with the same terms as the Initial Notes (except, to the extent applicable, with respect to the date as of which interest begins to accrue on such additional Notes, the first Interest Payment Date of such additional Notes, the Last Original Issue Date of such additional Notes and transfer restrictions applicable to such additional Notes), which additional Notes will, subject to the foregoing, be considered to be part of the same series of, and rank equally and ratably with all other, Notes issued under this Indenture; provided, however, that if any such additional Notes are not fungible with other Notes issued under this Indenture for U.S. federal income tax or U.S. federal securities law purposes, then such additional Notes will be identified by one or more separate CUSIP numbers or by no CUSIP number.
Section 2.04. Method of Payment.
(A)    Global Notes. The Company will pay, or cause the Paying Agent to pay, the principal (whether due upon maturity on the Maturity Date, Redemption on a Redemption Date, repurchase on a Fundamental Change Repurchase Date, repurchase on an Optional Repurchase Date or otherwise) of, interest on, and any cash Conversion Consideration for, any Global Note to the Depositary by wire transfer of immediately available funds no later than the time the same is due as provided in this Indenture.
(B)    Physical Notes. The Company will pay, or cause the Paying Agent to pay, the principal (whether due upon maturity on the Maturity Date, Redemption on a Redemption Date, repurchase on a Fundamental Change Repurchase Date, repurchase on an Optional Repurchase Date or otherwise) of, interest on, and any cash Conversion Consideration for, any Physical Note no later than the time the same is due as provided in this Indenture as follows: (i) if the principal amount of such Physical Note is at least five million dollars ($5,000,000) (or such lower amount as the Company may choose in its sole and absolute discretion) and the Holder of such Physical Note entitled to such payment has delivered to the Paying Agent or the Trustee, no later than the time set forth in the immediately following sentence, a written request that the Company make such payment by wire transfer to an account of such Holder within the United States specified in such request, by wire transfer of immediately available funds to such account; and (ii) in all other cases, by check mailed to the address of the Holder of such Physical Note entitled to such payment as set forth in the Register. To be timely, such written request must be so delivered no later than the Close of Business on the following date: (x) with respect to the payment of any interest due on an Interest Payment Date, the immediately preceding Regular Record Date; (y) with respect to any cash Conversion Consideration, the relevant Conversion Date; and (z) with respect to any other payment, the date that is fifteen (15) calendar days immediately before the date such payment is due.

- 16 -
    


Section 2.05. Accrual of Interest; Defaulted Amounts; When Payment Date is Not a Business Day.
(A)    Accrual of Interest. Each Note will accrue interest at a rate per annum equal to 7.00% (the “Stated Interest”), plus any Default Interest, Additional Interest and Special Interest that may accrue pursuant to Section 2.05(B), Section 3.04 and Section 7.03, respectively. Stated Interest on each Note will (i) accrue from, and including, the most recent date to which Stated Interest has been paid or duly provided for (or, if no Stated Interest has theretofore been paid or duly provided for, the date set forth in the certificate representing such Note as the date from, and including, which Stated Interest will begin to accrue in such circumstance) to, but excluding, the date of payment of such Stated Interest; and (ii) be, subject to Sections 4.02(D), 4.03(F), 4.04(C) and 5.02(D) (but without duplication of any payment of interest), payable semi-annually in arrears on each Interest Payment Date, beginning on the first Interest Payment Date set forth in the certificate representing such Note, to the Holder of such Note as of the Close of Business on the immediately preceding Regular Record Date. Stated Interest, and, if applicable, Additional Interest and Special Interest, on the Notes will be computed on the basis of a 360-day year comprised of twelve 30-day months.
(B)    Defaulted Amounts. If the Company fails to pay any amount (a “Defaulted Amount”) payable on a Note on or before the due date therefor as provided in this Indenture, then, regardless of whether such failure constitutes an Event of Default, (i) such Defaulted Amount will forthwith cease to be payable to the Holder of such Note otherwise entitled to such payment; (ii) to the extent lawful, interest (“Default Interest”) will accrue on such Defaulted Amount at a rate per annum equal to the rate per annum at which Stated Interest accrues, from, and including, such due date to, but excluding, the date of payment of such Defaulted Amount and Default Interest; (iii) such Defaulted Amount and Default Interest will be paid on a payment date selected by the Company to the Holder of such Note as of the Close of Business on a special record date selected by the Company, provided that such special record date must be no more than fifteen (15), nor less than ten (10), calendar days before such payment date; and (iv) at least fifteen (15) calendar days before such special record date, the Company will send notice to the Trustee and the Holders that states such special record date, such payment date and the amount of such Defaulted Amount and Default Interest to be paid on such payment date. For the avoidance of doubt, if any Defaulted Amounts, together with any Default Interest thereon, are paid to Holders in accordance with the terms of this Indenture prior to (i) the expiration of any applicable grace period with respect to the Default in the relevant payment as set forth in Section 7.01 or (ii) if later, the delivery of any notice of acceleration pursuant to Section 7.02(B) with respect to the Event of Default relating to such Default in the relevant payment, such Default or Event of Default pursuant to Section 7.02(B) shall be deemed cured and the Notes shall not be subject to acceleration pursuant to Section 7.02 on account of such Default or Event of Default.
(C)    Delay of Payment when Payment Date is Not a Business Day. If the due date for a payment on a Note as provided in this Indenture is not a Business Day, then, notwithstanding anything to the contrary in this Indenture or the Notes, such payment may be made on the immediately following Business Day and no interest will accrue on such payment as a result of the related delay. Solely for purposes of the immediately preceding sentence, a day on which the applicable place of payment is authorized or required by law or executive order to close or be closed will be deemed not to be a “Business Day.”

- 17 -
    


Section 2.06. Registrar, Paying Agent and Conversion Agent.
(A)    Generally. The Company will maintain (i) an office or agency in the continental United States where Notes may be presented for registration of transfer or for exchange (the “Registrar”); (ii) an office or agency in the continental United States where Notes may be presented for payment (the “Paying Agent”); and (iii) an office or agency in the continental United States where Notes may be presented for conversion (the “Conversion Agent”). If the Company fails to maintain a Registrar, Paying Agent or Conversion Agent, then the Trustee will act as such and will be entitled to receive compensation therefor in accordance with this Indenture and any other agreement between the Trustee and the Company. For the avoidance of doubt, the Company or any of its Subsidiaries may act as Registrar, Paying Agent or Conversion Agent without prior notice to Holders. Any notice to be given to the Paying Agent or the Conversion Agent under this Indenture shall be deemed delivered to such agent if the Trustee is acting as such agent and such notice has been provided to the Trustee.
(B)    Duties of the Registrar. The Registrar will keep a record (the “Register”) of the names and addresses of the Holders, the Notes held by each Holder and the transfer, exchange, repurchase, Redemption and conversion of Notes. Absent manifest error, the entries in the Register will be conclusive and the Company and the Trustee may treat each Person whose name is recorded as a Holder in the Register as a Holder for all purposes. The Register will be in written form or in any form capable of being converted into written form reasonably promptly.
(C)    Co-Agents; Company’s Right to Appoint Successor Registrars, Paying Agents and Conversion Agents. The Company may appoint one or more co-Registrars, co-Paying Agents and co-Conversion Agents, each of whom will be deemed to be a Registrar, Paying Agent or Conversion Agent, as applicable, under this Indenture. Subject to Section 2.06(A), the Company may change any Registrar, Paying Agent or Conversion Agent (including appointing itself or any of its Subsidiaries to act in such capacity) without notice to any Holder. The Company will notify the Trustee (and, upon request, any Holder) of the name and address of each Note Agent, if any, not a party to this Indenture and will enter into an appropriate agency agreement with each such Note Agent, which agreement will implement the provisions of this Indenture that relate to such Note Agent.
(D)    Initial Appointments. The Company appoints the Trustee as (and the Trustee’s office in the continental United States as the location of) the initial Paying Agent, the initial Registrar and the initial Conversion Agent.
Section 2.07. Paying Agent and Conversion Agent to Hold Property in Trust.
The Company will require each Paying Agent or Conversion Agent that is not the Trustee to agree in writing that such Note Agent will (A) hold in trust for the benefit of Holders or the Trustee all money and other property held by such Note Agent for payment or delivery due on the Notes; and (B) notify the Trustee of any default by the Company in making any such payment or delivery. The Company, at any time, may, and the Trustee, while any Default continues, may, require a Paying Agent or Conversion Agent to pay or deliver, as applicable, all money and other property held by it to the Trustee, after which payment or delivery, as applicable, such Note Agent (if not the Company or any of its Subsidiaries) will have no further liability for such money or property. If the Company or any of its Subsidiaries acts as Paying Agent or Conversion Agent, then (A) it will segregate and hold in a separate trust fund for the benefit of the Holders or the Trustee all money and other property held by it as Paying Agent or Conversion Agent; and (B) references in this Indenture or the Notes to the Paying Agent or Conversion Agent holding cash or other property, or to the delivery of cash or other property to the Paying Agent or Conversion Agent, in each case for payment or delivery to any Holders or the Trustee or with respect to the Notes, will be deemed to refer to cash or other property so segregated and held separately, or to the segregation and separate holding of such cash or other property, respectively. Upon the occurrence of any event pursuant to clause (viii) or (ix) of Section 7.01(A) with respect to the Company (or with respect to any Subsidiary of the Company acting as Paying Agent or Conversion Agent), the Trustee will serve as the Paying Agent or Conversion Agent, as applicable, for the Notes.
- 18 -
    


Section 2.08. Holder Lists.
If the Trustee is not the Registrar, the Company will furnish to the Trustee, no later than seven (7) Business Days before each Interest Payment Date, and at such other times as the Trustee may request, a list, in such form and as of such date or time as the Trustee may reasonably require, of the names and addresses of the Holders.
Section 2.09. Legends.
(A)    Global Note Legend. Each Global Note will bear the Global Note Legend (or any similar legend, not inconsistent with this Indenture, required by the Depositary for such Global Note).
(B)    Non-Affiliate Legend. Each Note will bear the Non-Affiliate Legend.
(C)    Restricted Note Legend. Subject to the other provisions of this Indenture,
(i)    each Note that is a Transfer-Restricted Security will bear the Restricted Note Legend; and
(ii)    if a Note is issued in exchange for, in substitution of, or to effect a partial conversion of, another Note (such other Note being referred to as the “old Note” for purposes of this Section 2.09(C)(ii)), including pursuant to Section 2.10(B), 2.10(C), 2.11 or 2.12, then such Note will bear the Restricted Note Legend if such old Note bore the Restricted Note Legend at the time of such exchange or substitution, or on the related Conversion Date with respect to such conversion, as applicable; provided, however, that such Note need not bear the Restricted Note Legend if such Note does not constitute a Transfer-Restricted Security immediately after such exchange or substitution, or as of such Conversion Date, as applicable.
(D)    Other Legends. A Note may bear any other legend or text, not inconsistent with this Indenture, as may be required by applicable law or by any securities exchange or automated quotation system on which such Note is traded or quoted.
(E)    Acknowledgment and Agreement by the Holders. A Holder’s acceptance of any Note bearing any legend required by this Section 2.09 will constitute such Holder’s acknowledgment of, and agreement to comply with, the restrictions set forth in such legend.
(F)    Restricted Stock Legend.
(i)    Each Conversion Share will bear the Restricted Stock Legend if the Note upon the conversion of which such Conversion Share was issued was (or would have been had it not been converted) a Transfer-Restricted Security at the time such Conversion Share was issued; provided, however, that such Conversion Share need not bear the Restricted Stock Legend if the Company determines, in its reasonable discretion, that such Conversion Share need not bear the Restricted Stock Legend.
(ii)    Notwithstanding anything to the contrary in this Section 2.09(F), a Conversion Share need not bear a Restricted Stock Legend if such Conversion Share is issued in an uncertificated form that does not permit affixing legends thereto, provided the Company takes measures (including the assignment thereto of a “restricted” CUSIP number) that it reasonably deems appropriate to enforce the transfer restrictions referred to in the Restricted Stock Legend.

- 19 -
    


Section 2.10. Transfers and Exchanges; Certain Transfer Restrictions.
(A)    Provisions Applicable to All Transfers and Exchanges.
(i)    Generally. Subject to this Section 2.10, Physical Notes and beneficial interests in Global Notes may be transferred or exchanged from time to time and the Registrar will record each such transfer or exchange in the Register.
(ii)    Transferred and Exchanged Notes Remain Valid Obligations of the Company. Each Note issued upon transfer or exchange of any other Note (such other Note being referred to as the “old Note” for purposes of this Section 2.10(A)(ii)) or portion thereof in accordance with this Indenture will be the valid obligation of the Company, evidencing the same indebtedness, and entitled to the same benefits under this Indenture, as such old Note or portion thereof, as applicable.
(iii)    No Services Charge; Transfer Taxes. The Company, the Trustee and the Note Agents will not impose any service charge on any Holder for any transfer, exchange or conversion of Notes, but the Company, the Trustee, the Registrar and the Conversion Agent may require payment of a sum sufficient to cover any transfer tax or similar governmental charge that may be imposed in connection with any transfer, exchange or conversion of Notes, other than exchanges pursuant to Section 2.11, 2.16 or 8.05 not involving any transfer.
(iv)    Transfers and Exchanges Must Be in Authorized Denominations. Notwithstanding anything to the contrary in this Indenture or the Notes, a Note may not be transferred or exchanged in part unless the portion to be so transferred or exchanged is in an Authorized Denomination.

- 20 -
    


(v)    Trustee’s Disclaimer. The Trustee will have no obligation or duty to monitor, determine or inquire as to compliance with any transfer restrictions imposed under this Indenture or applicable law with respect to any Security, other than to require the delivery of such certificates or other documentation or evidence as expressly required by this Indenture and to examine the same to determine substantial compliance as to form with the requirements of this Indenture.
(vi)    Legends. Each Note issued upon transfer of, or in exchange for, another Note will bear each legend, if any, required by Section 2.09.
(vii)    Settlement of Transfers and Exchanges. Upon satisfaction of the requirements of this Indenture to effect a transfer or exchange of any Note, the Company will cause such transfer or exchange to be effected as soon as reasonably practicable but in no event later than the second (2nd) Business Day after the date of such satisfaction.
(viii)    Interpretation. For the avoidance of doubt, and subject to the terms of this Indenture, as used in this Section 2.10, an “exchange” of a Global Note or a Physical Note includes (x) an exchange effected for the sole purpose of removing any Restricted Note Legend affixed to such Global Note or Physical Note; and (y) if such Global Note or Physical Note is identified by a “restricted” CUSIP number, an exchange effected for the sole purpose of causing such Global Note or Physical Note to be identified by an “unrestricted” CUSIP number.
(ix)    Neither the Trustee nor any Note Agent will have any responsibility for any action taken or not taken by the Depositary.
(B)    Transfers and Exchanges of Global Notes.
(i)    Certain Restrictions. Subject to the immediately following sentence, no Global Note may be transferred or exchanged in whole except (x) by the Depositary to a nominee of the Depositary; (y) by a nominee of the Depositary to the Depositary or to another nominee of the Depositary; or (z) by the Depositary or any such nominee to a successor Depositary or a nominee of such successor Depositary. No Global Note (or any portion thereof) may be transferred to, or exchanged for, a Physical Note; provided, however, that a Global Note will be exchanged, pursuant to customary procedures, for one or more Physical Notes if:
(1)    (x) the Depositary notifies the Company or the Trustee that the Depositary is unwilling or unable to continue as depositary for such Global Note or (y) the Depositary ceases to be a “clearing agency” registered under Section 17A of the Exchange Act and, in each case, the Company fails to appoint a successor Depositary within ninety (90) days of such notice or cessation;
(2)    an Event of Default has occurred and is continuing and the Company, the Trustee or the Registrar has received a written request from the Depositary, or from a holder of a beneficial interest in such Global Note, to exchange such Global Note or beneficial interest, as applicable, for one or more Physical Notes; or

- 21 -
    


(3)    the Company, in its sole discretion, permits the exchange of any beneficial interest in such Global Note for one or more Physical Notes at the request of the owner of such beneficial interest.
(ii)    Effecting Transfers and Exchanges. Upon satisfaction of the requirements of this Indenture to effect a transfer or exchange of any Global Note (or any portion thereof):
(1)    the Trustee will reflect any resulting decrease of the principal amount of such Global Note by notation on the “Schedule of Exchanges of Interests in the Global Note” forming part of such Global Note (and, if such notation results in such Global Note having a principal amount of zero, the Company may (but is not required to) instruct the Trustee to cancel such Global Note pursuant to Section 2.14);
(2)    if required to effect such transfer or exchange, then the Trustee will reflect any resulting increase of the principal amount of any other Global Note by notation on the “Schedule of Exchanges of Interests in the Global Note” forming part of such other Global Note;
(3)    if required to effect such transfer or exchange, then the Company will issue, execute and deliver, and the Trustee will authenticate, in each case in accordance with Section 2.02, a new Global Note bearing each legend, if any, required by Section 2.09; and
(4)    if such Global Note (or such portion thereof), or any beneficial interest therein, is to be exchanged for one or more Physical Notes, then the Company will issue, execute and deliver, and the Trustee will authenticate, in each case in accordance with Section 2.02, one or more Physical Notes that (x) are in Authorized Denominations and have an aggregate principal amount equal to the principal amount of such Global Note to be so exchanged; (y) are registered in such name(s) as the Depositary specifies (or as otherwise determined pursuant to customary procedures); and (z) bear each legend, if any, required by Section 2.09.
(iii)    Compliance with Depositary Procedures. Each transfer or exchange of a beneficial interest in any Global Note will be made in accordance with the Depositary Procedures.

- 22 -
    


(C)    Transfers and Exchanges of Physical Notes.
(i)    Requirements for Transfers and Exchanges. Subject to this Section 2.10, a Holder of a Physical Note may (x) transfer such Physical Note (or any portion thereof in an Authorized Denomination) to one or more other Person(s); (y) exchange such Physical Note (or any portion thereof in an Authorized Denomination) for one or more other Physical Notes in Authorized Denominations having an aggregate principal amount equal to the aggregate principal amount of the Physical Note (or portion thereof) to be so exchanged; and (z) if then permitted by the Depositary Procedures, transfer such Physical Note (or any portion thereof in an Authorized Denomination) in exchange for a beneficial interest in one or more Global Notes; provided, however, that, to effect any such transfer or exchange, such Holder must:
(1)    surrender such Physical Note to be transferred or exchanged to the office of the Registrar, together with any endorsements or transfer instruments reasonably required by the Company, the Trustee or the Registrar; and
(2)    deliver such certificates, documentation or evidence as may be required pursuant to Section 2.10(D).
(ii)    Effecting Transfers and Exchanges. Upon the satisfaction of the requirements of this Indenture to effect a transfer or exchange of any Physical Note (such Physical Note being referred to as the “old Physical Note” for purposes of this Section 2.10(C)(ii)) of a Holder (or any portion of such old Physical Note in an Authorized Denomination):
(1)    such old Physical Note will be promptly cancelled pursuant to Section 2.14;
(2)    if such old Physical Note is to be so transferred or exchanged only in part, then the Company will issue, execute and deliver, and the Trustee will authenticate, in each case in accordance with Section 2.02, one or more Physical Notes that (x) are in Authorized Denominations and have an aggregate principal amount equal to the principal amount of such old Physical Note not to be so transferred or exchanged; (y) are registered in the name of such Holder; and (z) bear each legend, if any, required by Section 2.09;
(3)    in the case of a transfer:
(a)    to the Depositary or a nominee thereof that will hold its interest in such old Physical Note (or such portion thereof) to be so transferred in the form of one or more Global Notes, the Trustee will reflect an increase of the principal amount of one or more existing Global Notes by notation on the “Schedule of Exchanges of Interests in the Global Note” forming part of such Global Note(s), which increase(s) are in Authorized Denominations and aggregate to the principal amount to be so transferred, and which Global Note(s) bear each legend, if any, required by Section 2.09; provided, however, that if such transfer cannot be so effected by notation on one or more existing Global Notes (whether because no Global Notes bearing each legend, if any, required by Section 2.09 then exist, because any such increase will result in any Global Note having an aggregate principal amount exceeding the maximum aggregate principal amount permitted by the Depositary or otherwise), then the Company will issue, execute and deliver, and the Trustee will authenticate, in each case in accordance with Section 2.02, one or more Global Notes that (x) are in Authorized Denominations and have an aggregate principal amount equal to the principal amount to be so transferred; and (y) bear each legend, if any, required by Section 2.09; and


- 23 -
    


(b)    to a transferee that will hold its interest in such old Physical Note (or such portion thereof) to be so transferred in the form of one or more Physical Notes, the Company will issue, execute and deliver, and the Trustee will authenticate, in each case in accordance with Section 2.02, one or more Physical Notes that (x) are in Authorized Denominations and have an aggregate principal amount equal to the principal amount to be so transferred; (y) are registered in the name of such transferee; and (z) bear each legend, if any, required by Section 2.09; and
(4)    in the case of an exchange, the Company will issue, execute and deliver, and the Trustee will authenticate, in each case in accordance with Section 2.02, one or more Physical Notes that (x) are in Authorized Denominations and have an aggregate principal amount equal to the principal amount to be so exchanged; (y) are registered in the name of the Person to whom such old Physical Note was registered; and (z) bear each legend, if any, required by Section 2.09.
(D)    Requirement to Deliver Documentation and Other Evidence. If a Holder of any Note that is identified by a “restricted” CUSIP number or that bears a Restricted Note Legend or is a Transfer-Restricted Security requests to:
(i)    cause such Note to be identified by an “unrestricted” CUSIP number;
(ii)    remove such Restricted Note Legend; or
(iii)    register the transfer of such Note to the name of another Person,
then the Company, the Trustee and the Registrar may refuse to effect such identification, removal or transfer, as applicable, unless there is delivered to the Company, the Trustee and the Registrar such certificates or other documentation or evidence as the Company, the Trustee and the Registrar may reasonably require in order for the Company to determine that such identification, removal or transfer, as applicable, complies with the Securities Act and other applicable securities laws; provided, however, that, without limiting Section 2.10(E), no such certificates, documentation or evidence (other than a written request in the form contemplated by Section 2.10(E)) need be so delivered on or after the date that is six (6) months after the Last Original Issue Date of such Note if the requirements of Rule 144(c) and (i) are then satisfied with respect to the Company (and neither the Trustee nor the Registrar will have any responsibility or liability for determining whether such requirements have been satisfied).
(E)    Certain De-Legending Procedures. If a Holder of any Note or share of Common Stock issued upon conversion of any Note, or an owner of a beneficial interest in any Global Note, or in a global certificate representing any share of Common Stock issued upon conversion of any Note, transfers such Note or share in compliance with Rule 144 and delivers to the Company a written request in customary form (including a certification that it is not, and has not been at any time during the preceding three (3) months, an Affiliate of the Company) to reissue such Note or share without a Restricted Note Legend or Restricted Stock Legend, as applicable, then the Company will cause the same to occur (and, if applicable, cause such Note or share to thereafter be represented by an “unrestricted” CUSIP or ISIN number in the facilities of the related depositary), and will use its commercially reasonable efforts to cause the same to occur within two (2) Trading Days of such request.
(F)    Transfers of Notes Subject to Redemption, Repurchase or Conversion. Notwithstanding anything to the contrary in this Indenture or the Notes, the Company, the Trustee and the Registrar will not be required to register the transfer of or exchange any Note that (i) has been surrendered for conversion, except to the extent that any portion of such Note is not subject to conversion; (ii) is subject to a Fundamental Change Repurchase Notice or Optional Repurchase Notice validly delivered, and not withdrawn, pursuant to Section 4.02(F) or Section 4.04(E), respectively, except to the extent that any portion of such Note is not subject to such notice or the Company fails to pay the applicable Fundamental Change Repurchase Price or Optional Repurchase Price when due; or (iii) has been selected for Redemption pursuant to a Redemption Notice, except to the extent that any portion of such Note is not subject to Redemption or the Company fails to pay the applicable Redemption Price when due.
- 24 -
    


Section 2.11. Exchange and Cancellation of Notes to Be Converted, Redeemed or Repurchased.
(A)    Partial Conversions, Redemptions and Repurchases of Physical Notes. If only a portion of a Physical Note of a Holder is to be converted pursuant to Article 5 or repurchased pursuant to a Repurchase Upon Fundamental Change, an Optional Repurchase or a Redemption, then, as soon as reasonably practicable after such Physical Note is surrendered for such conversion, Redemption or repurchase, the Company will cause such Physical Note to be exchanged, pursuant and subject to Section 2.10(C), for (i) one or more Physical Notes that are in Authorized Denominations and have an aggregate principal amount equal to the principal amount of such Physical Note that is not to be so converted, redeemed or repurchased, as applicable, and deliver such Physical Note(s) to such Holder; and (ii) a Physical Note having a principal amount equal to the principal amount to be so converted, redeemed or repurchased, as applicable, which Physical Note will be converted, redeemed or repurchased, as applicable, pursuant to the terms of this Indenture; provided, however, that the Physical Note referred to in this clause (ii) need not be issued at any time after which such principal amount subject to such conversion, Redemption or repurchase, as applicable, is deemed to cease to be outstanding pursuant to Section 2.17.
(B)    Cancellation of Converted, Redeemed and Repurchased Notes.
(i)    Physical Notes. If a Physical Note (or any portion thereof that has not theretofore been exchanged pursuant to Section 2.11) of a Holder is to be converted pursuant to Article 5 or repurchased pursuant to a Repurchase Upon Fundamental Change, an Optional Repurchase or a Redemption, then, promptly after the later of the time such Physical Note (or such portion) is deemed to cease to be outstanding pursuant to Section 2.17 and the time such Physical Note is surrendered for such conversion or repurchase, as applicable, (1) such Physical Note will be cancelled pursuant to Section 2.14; and (2) in the case of a partial conversion, Redemption or repurchase, the Company will issue, execute and deliver to such Holder, and the Trustee will authenticate, in each case in accordance with Section 2.02, one or more Physical Notes that (x) are in Authorized Denominations and have an aggregate principal amount equal to the principal amount of such Physical Note that is not to be so converted, redeemed or repurchased; (y) are registered in the name of such Holder; and (z) bear each legend, if any, required by Section 2.09.
(ii)    Global Notes. If a Global Note (or any portion thereof) is to be converted pursuant to Article 5, repurchased pursuant to a Repurchase Upon Fundamental Change or an Optional Repurchase, or subject to Redemption, then, promptly after the time such Note (or such portion) is deemed to cease to be outstanding pursuant to Section 2.17, the Trustee will reflect a decrease of the principal amount of such Global Note in an amount equal to the principal amount of such Global Note to be so converted, redeemed or repurchased, as applicable, by notation on the “Schedule of Exchanges of Interests in the Global Note” forming part of such Global Note (and, if the principal amount of such Global Note is zero following such notation, cancel such Global Note pursuant to Section 2.14).

- 25 -
    


Section 2.12. Replacement Notes.
If a Holder of any Note claims that such Note has been mutilated, lost, destroyed or wrongfully taken, then the Company will issue, execute and deliver, and the Trustee will authenticate, in each case in accordance with Section 2.02, a replacement Note upon surrender to the Trustee of such mutilated Note, or upon delivery to the Trustee of evidence of such loss, destruction or wrongful taking reasonably satisfactory to the Trustee and the Company. In the case of a lost, destroyed or wrongfully taken Note, the Company and the Trustee may require the Holder thereof to provide such security or indemnity that is satisfactory to the Company and the Trustee, as applicable, to protect the Company and the Trustee and that is reasonably satisfactory to the Trustee to protect from any loss that any of them may suffer if such Note is replaced.
Every replacement Note issued pursuant to this Section 2.12 will be an additional obligation of the Company and will be entitled to all of the benefits of this Indenture equally and ratably with all other Notes issued under this Indenture, whether or not the lost, destroyed or wrongfully taken Note will at any time be enforceable by anyone.
Section 2.13. Registered Holders; Certain Rights with Respect to Global Notes.
Except to the extent rights under this Indenture are expressly granted to owners of beneficial interests of Notes, only the Holder of a Note will have rights under this Indenture as the owner of such Note. Without limiting the generality of the foregoing, Depositary Participants will have no rights as such under this Indenture with respect to any Global Note held on their behalf by the Depositary or its nominee, or by the Trustee as its custodian, and the Company, the Trustee and the Note Agents, and their respective agents, may treat the Depositary as the absolute owner of such Global Note for all purposes whatsoever; provided, however, that (A) the Holder of any Global Note may grant proxies and otherwise authorize any Person, including Depositary Participants and Persons that hold interests in Notes through Depositary Participants, to take any action that such Holder is entitled to take with respect to such Global Note under this Indenture or the Notes; and (B) the Company and the Trustee, and their respective agents, may give effect to any written certification, proxy or other authorization furnished by the Depositary.

- 26 -
    


Section 2.14. Cancellation.
The Company may at any time deliver Notes to the Trustee for cancellation. The Registrar, the Paying Agent and the Conversion Agent will forward to the Trustee each Note duly surrendered to them for transfer, exchange, payment or conversion. The Trustee will promptly cancel all Notes so surrendered to it in accordance with its customary procedures. Without limiting the generality of Section 2.03(B), the Company may not originally issue new Notes to replace Notes that it has paid or that have been cancelled upon transfer, exchange, payment or conversion.
Section 2.15. Notes Held by the Company or its Affiliates.
Without limiting the generality of Section 2.17, in determining whether the Holders of the required aggregate principal amount of Notes have concurred in any direction, waiver or consent or other action under this Indenture, Notes owned by the Company or any of its Affiliates will be deemed not to be outstanding; provided, however, that, for purposes of determining whether the Trustee is protected in relying on any such direction, waiver or consent or other action under this Indenture, only Notes that a Responsible Officer of the Trustee knows are so owned will be so disregarded.
Section 2.16. Temporary Notes.
Until definitive Notes are ready for delivery, the Company may issue, execute and deliver, and the Trustee will authenticate, in each case in accordance with Section 2.02, temporary Notes. Temporary Notes will be substantially in the form of definitive Notes but may have variations that the Company considers appropriate for temporary Notes. The Company will promptly prepare, issue, execute and deliver, and the Trustee will authenticate, in each case in accordance with Section 2.02, definitive Notes in exchange for temporary Notes. Until so exchanged, each temporary Note will in all respects be entitled to the same benefits under this Indenture as definitive Notes.
Section 2.17. Outstanding Notes.
(A)    Generally. The Notes that are outstanding at any time will be deemed to be those Notes that, at such time, have been duly executed and authenticated, excluding those Notes (or portions thereof) that have theretofore been (i) cancelled by the Trustee or delivered to the Trustee for cancellation in accordance with Section 2.14; (ii) assigned a principal amount of zero by notation on the “Schedule of Exchanges of Interests in the Global Note” forming part of any a Global Note representing such Note; (iii) paid in full (including upon conversion) in accordance with this Indenture; (iv) deemed to cease to be outstanding to the extent provided in, and subject to, clause (B), (C) or (D) of this Section 2.17; or (v) deemed not to be outstanding pursuant to Section 2.15.
(B)    Replaced Notes. If a Note is replaced pursuant to Section 2.12, then such Note will cease to be outstanding at the time of its replacement, unless the Trustee and the Company receive proof reasonably satisfactory to them that such Note is held by a “bona fide purchaser” under applicable law.
(C)    Maturing Notes and Notes Called for Redemption or Subject to Repurchase. If, on a Redemption Date, a Fundamental Change Repurchase Date, an Optional Repurchase Date or the Maturity Date, the Paying Agent holds money sufficient to pay the aggregate Redemption Price, Fundamental Change Repurchase Price, Optional Repurchase Price or principal amount, respectively, together, in each case, with the aggregate interest, in each case due on such date, then (unless there occurs a Default in the payment of any such amount) (i) the Notes (or portions thereof) to be redeemed or repurchased, or that mature, on such date will be deemed, as of such date, to cease to be outstanding, except to the extent provided in Sections 4.02(D), 4.03(E), 4.03(F), 4.04(C) or 5.02(D); and (ii) the rights of the Holders of such Notes (or such portions thereof), as such, will terminate with respect to such Notes (or such portions thereof), other than the right to receive the Redemption Price, Fundamental Change Repurchase Price, Optional Repurchase Price or principal amount, as applicable, of, and accrued and unpaid interest on, such Notes (or such portions thereof), in each case as provided in this Indenture.
- 27 -
    


(D)    Notes to Be Converted. At the Close of Business on the Conversion Date for any Note (or any portion thereof) to be converted, such Note (or such portion) will (unless there occurs a Default in the delivery of the Conversion Consideration or interest due, pursuant to Section 5.03(B) or Section 5.02(D), upon such conversion) be deemed to cease to be outstanding, except to the extent provided in Section 5.02(D) or Section 5.08.
(E)    Cessation of Accrual of Interest. Except as provided in Section 4.02(D), Section 4.03(F), Section 4.04(C) or Section 5.02(D), interest will cease to accrue on each Note from, and including, the date that such Note is deemed, pursuant to this Section 2.17, to cease to be outstanding, unless there occurs a default in the payment or delivery of any cash or other property due on such Note.
Section 2.18. Repurchases by the Company.
Without limiting the generality of Section 2.14, the Company may, directly or indirectly, from time to time, repurchase Notes in open market purchases or in negotiated transactions or otherwise, without delivering prior notice to Holders. Any Notes repurchased by the Company pursuant to this Section 2.18 shall be considered outstanding under this Indenture (except as set forth in Section 2.15) unless and until such time the Company surrenders such Notes to the Trustee for cancellation and, upon receipt thereof, the Trustee shall cancel all Notes so surrendered in accordance with Section 2.14.
Section 2.19. CUSIP and ISIN Numbers.
Subject to the provisions of this Indenture, the Company may use one or more CUSIP or ISIN numbers to identify any of the Notes, and, if so, the Company and the Trustee will use such CUSIP or ISIN number(s) in notices to Holders; provided, however, that (i) the Trustee makes no representation as to the correctness or accuracy of any such CUSIP or ISIN number; and (ii) the effectiveness of any such notice will not be affected by any defect in, or omission of, any such CUSIP or ISIN number. The Company will promptly notify the Trustee of any change in the CUSIP or ISIN number(s) identifying any Notes.

- 28 -
    


Article 3    COVENANTS
Section 3.01. Payment on Notes.
(A)    Generally. The Company will pay or cause to be paid all the principal of, the Fundamental Change Repurchase Price, Optional Repurchase Price and Redemption Price for, interest on, and other amounts due with respect to, the Notes on the dates and in the manner set forth in this Indenture.
(B)    Deposit of Funds. Before 11:00 A.M., New York City time, on each Redemption Date, Fundamental Change Repurchase Date, Optional Repurchase Date or Interest Payment Date, and on the Maturity Date or any other date on which any cash amount is due on the Notes, the Company will deposit, or will cause there to be deposited, with the Paying Agent cash, in funds immediately available on such date, sufficient to pay the cash amount due on the applicable Notes on such date. The Paying Agent will return to the Company, as soon as practicable, any money not required for such purpose.
Section 3.02. Exchange Act Reports.
(A)    Generally. The Company will send to the Trustee copies of all reports that the Company is required to file with the SEC pursuant to Section 13(a) or 15(d) of the Exchange Act (other than current reports on Form 8-K (or any successor form)) within fifteen (15) calendar days after the date that the Company is required to file the same (after giving effect to all applicable grace periods under the Exchange Act, including any grace period provided by Rule 12b-25 (which grace period, for the avoidance of doubt, shall be deemed applicable whether or not the Company checks the box in the relevant Rule 12b-25 filing indicating the Company expects to file such report within the applicable Rule 12b-25 grace period)); provided, however, that the Company need not send to the Trustee any material for which the Company has received, or is seeking in good faith and has not been denied, confidential treatment by the SEC. Any report that the Company files with the SEC through the EDGAR system (or any successor thereto) will be deemed to be sent to the Trustee at the time such report is so filed via the EDGAR system (or such successor). Upon the request of any Holder, the Company will provide to such Holder a copy of any report that the Company has sent the Trustee pursuant to this Section 3.02(A), other than a report that is deemed to be sent to the Trustee pursuant to the preceding sentence.
(B)    Trustee’s Disclaimer. The Trustee will not be responsible for determining whether the Company has filed any material via the EDGAR system (or such successor) or for the timeliness of its content. The sending or filing of reports, information and documents pursuant to Section 3.02(A) is for informational purposes only and the information and the Trustee’s receipt of the foregoing will not be deemed to constitute actual or constructive notice to the Trustee of any information contained, or determinable from information contained, therein, including the Company’s compliance with any of its covenants under this Indenture (as to which the Trustee is entitled to rely exclusively on an Officer’s Certificate). The Trustee will have no obligation whatsoever to monitor or confirm, on a continuing basis or otherwise, the Company’s compliance with its covenants under this Indenture or with respect to any reports or other documents filed with the SEC via the EDGAR system (or any successor thereto) or any other website, or to participate in any conference calls.

- 29 -
    


Section 3.03. Rule 144A Information.
If the Company is not subject to Section 13 or 15(d) of the Exchange Act at any time when any Notes or shares of Common Stock issuable upon conversion of the Notes are outstanding and constitute “restricted securities” (as defined in Rule 144), then the Company (or its successor) will promptly provide, to the Trustee and, upon written request, to any Holder, beneficial owner or prospective purchaser of such Notes or shares, the information required to be delivered pursuant to Rule 144A(d)(4) under the Securities Act to facilitate the resale of such Notes or shares pursuant to Rule 144A. The Company (or its successor) will take such further action as any Holder or beneficial owner of such Notes or shares may reasonably request to enable such Holder or beneficial owner to sell such Notes or shares pursuant to Rule 144A.
Section 3.04. Additional Interest.
(A)    Accrual of Additional Interest. If, on any day occurring on or after six (6) months after the Last Original Issue Date of any Note,
(i)    the Company has not satisfied the reporting conditions set forth in Rule 144(c) and Rule 144(i)(2) under the Securities Act; or
(ii)    such Note is not otherwise Freely Tradable,
then Additional Interest will accrue on such Note for such day.
(B)    Amount and Payment of Additional Interest. Any Additional Interest that accrues on a Note pursuant to Section 3.04(A) will be payable on the same dates and in the same manner as the Stated Interest on such Note and will accrue at a rate per annum equal to one half of one percent (0.50%) of the principal amount thereof; provided, however, that in no event will Additional Interest, together with any Special Interest, accrue on any day on a Note at a combined rate per annum that exceeds one percent (1.00%). For the avoidance of doubt, any Additional Interest that accrues on a Note will be in addition to the Stated Interest that accrues on such Note and, subject to the proviso of the immediately preceding sentence, in addition to any Special Interest that accrues on such Note.
(C)    Notice of Accrual of Additional Interest; Trustee’s Disclaimer. The Company will send written notice to the Holder of each Note, and to the Trustee, of the commencement and termination of any period in which Additional Interest accrues on such Note. In addition, if Additional Interest accrues on any Note, then, no later than five (5) Business Days before each date on which such Additional Interest is to be paid, the Company will deliver an Officer’s Certificate to the Trustee and the Paying Agent stating (i) that the Company is obligated to pay Additional Interest on such Note on such date of payment; and (ii) the amount of such Additional Interest that is payable on such date of payment. The Trustee will have no duty to determine whether any Additional Interest is payable or the amount thereof.
(D)    Sole Remedy. The accrual of Additional Interest will be the sole remedy available to Holders under this Indenture for the failure of their Notes to become Freely Tradable.

- 30 -
    


Section 3.05. Compliance and Default Certificates.
(A)    Annual Compliance Certificate. Within ninety (90) days after December 31, 2025 and each fiscal year of the Company ending thereafter, the Company will deliver an Officer’s Certificate to the Trustee stating (i) that the signatory thereto has supervised a review of the activities of the Company and its Subsidiaries during such fiscal year with a view towards determining whether any Default or Event of Default has occurred; and (ii) whether, to such signatory’s knowledge, a Default or Event of Default has occurred and is continuing (and, if so, describing all such Defaults or Events of Default and what action the Company is taking or proposes to take with respect thereto).
(B)    Default Certificate. If a Default or Event of Default occurs, then the Company will, within thirty (30) days after the Company obtains knowledge of the occurrence thereof, deliver an Officer’s Certificate to the Trustee describing the same and what action the Company is taking or proposes to take with respect thereto; provided that the Company will not be required to deliver such Officer’s Certificate if the Default or Event of Default has been cured (or deemed cured) or waived prior to the date that such notice is due.
Section 3.06. Stay, Extension and Usury Laws.
To the extent that it may lawfully do so, the Company (A) agrees that it will not at any time insist upon, plead, or in any manner whatsoever claim or take the benefit or advantage of, any stay, extension or usury law (wherever or whenever enacted or in force) that may affect the covenants or the performance of this Indenture; and (B) expressly waives all benefits or advantages of any such law and agrees that it will not, by resort to any such law, hinder, delay or impede the execution of any power granted to the Trustee by this Indenture, but will suffer and permit the execution of every such power as though no such law has been enacted.
Article 4    REPURCHASE AND REDEMPTION
Section 4.01. No Sinking Fund.
No sinking fund is required to be provided for the Notes.
Section 4.02. Right of Holders to Require the Company to Repurchase Notes upon a Fundamental Change.
(A)    Right of Holders to Require the Company to Repurchase Notes Upon a Fundamental Change. Subject to the other terms of this Section 4.02, if a Fundamental Change occurs, then each Holder will have the right (the “Fundamental Change Repurchase Right”) to require the Company to repurchase such Holder’s Notes (or any portion thereof in an Authorized Denomination) on the Fundamental Change Repurchase Date for such Fundamental Change for a cash purchase price equal to the Fundamental Change Repurchase Price.
(B)    Repurchase Prohibited in Certain Circumstances. If the principal amount of the Notes has been accelerated and such acceleration has not been rescinded on or before the Fundamental Change Repurchase Date for a Repurchase Upon Fundamental Change (including as a result of the payment of the related Fundamental Change Repurchase Price, and any related interest pursuant to the proviso to the first sentence of Section 4.02(D), on such Fundamental Change Repurchase Date), then (i) the Company may not repurchase any Notes pursuant to this Section 4.02; and (ii) the Company will cause any Notes theretofore surrendered for such Repurchase Upon Fundamental Change to be returned to the Holders thereof (or, if applicable with respect to Global Notes, cancel any instructions for book-entry transfer to the Company, the Trustee or the Paying Agent of the applicable beneficial interest in such Notes in accordance with the Depositary Procedures).
(C)    Fundamental Change Repurchase Date. The Fundamental Change Repurchase Date for any Fundamental Change will be a Business Day of the Company’s choosing that is no more than thirty five (35), nor less than twenty (20), Business Days after the date the Company sends the related Fundamental Change Notice pursuant to Section 4.02(E).
- 31 -
    


(D)    Fundamental Change Repurchase Price. The Fundamental Change Repurchase Price for any Note to be repurchased upon a Repurchase Upon Fundamental Change following a Fundamental Change is an amount in cash equal to the principal amount of such Note plus accrued and unpaid interest on such Note to, but excluding, the Fundamental Change Repurchase Date for such Fundamental Change; provided, however, that if such Fundamental Change Repurchase Date is after a Regular Record Date and on or before the next Interest Payment Date, then (i) the Holder of such Note at the Close of Business on such Regular Record Date will be entitled, notwithstanding such Repurchase Upon Fundamental Change, to receive, on or, at the Company’s election, before such Interest Payment Date, the unpaid interest that would have accrued on such Note to, but excluding, such Interest Payment Date (assuming, solely for these purposes, that such Note remained outstanding through such Interest Payment Date, if such Fundamental Change Repurchase Date is before such Interest Payment Date); and (ii) the Fundamental Change Repurchase Price will not include accrued and unpaid interest on such Note to, but excluding, such Fundamental Change Repurchase Date. For the avoidance of doubt, if an Interest Payment Date is not a Business Day within the meaning of Section 2.05(C) and such Fundamental Change Repurchase Date occurs on the Business Day immediately after such Interest Payment Date, then (x) accrued and unpaid interest on Notes to, but excluding, such Interest Payment Date will be paid, in accordance with Section 2.05(C), on the next Business Day to Holders as of the Close of Business on the immediately preceding Regular Record Date; and (y) the Fundamental Change Repurchase Price will include interest on Notes to be repurchased from, and including, such Interest Payment Date to, but excluding, such Fundamental Change Repurchase Date.

- 32 -
    


(E)    Fundamental Change Notice. On or before the twentieth (20th) calendar day after the effective date of a Fundamental Change, the Company will send to each Holder in writing, with a copy to the Trustee, the Paying Agent and the Conversion Agent a notice of such Fundamental Change (a “Fundamental Change Notice”).
Such Fundamental Change Notice must state:
(i)    briefly, the events causing such Fundamental Change;
(ii)    the effective date of such Fundamental Change;
(iii)    the procedures that a Holder must follow to require the Company to repurchase its Notes pursuant to this Section 4.02, including the deadline for exercising the Fundamental Change Repurchase Right and the procedures for submitting and withdrawing a Fundamental Change Repurchase Notice;
(iv)    the Fundamental Change Repurchase Date for such Fundamental Change;
(v)    the Fundamental Change Repurchase Price per $1,000 principal amount of Notes for such Fundamental Change (and, if such Fundamental Change Repurchase Date is after a Regular Record Date and on or before the next Interest Payment Date, the amount, manner and timing of the interest payment payable pursuant to the proviso to the first sentence of Section 4.02(D));
(vi)    the name and address of the Paying Agent and the Conversion Agent;
(vii)    the Conversion Rate in effect on the date of such Fundamental Change Notice and a description and quantification of any adjustments to the Conversion Rate that may result from such Fundamental Change (including pursuant to Section 5.07);
(viii)    that Notes for which a Fundamental Change Repurchase Notice has been duly tendered and not duly withdrawn must be delivered to the Paying Agent for the Holder thereof to be entitled to receive the Fundamental Change Repurchase Price;
(ix)    that Notes (or any portion thereof) that are subject to a Fundamental Change Repurchase Notice that has been duly tendered may be converted only if such Fundamental Change Repurchase Notice is withdrawn in accordance with this Indenture; and
(x)    the CUSIP and ISIN numbers, if any, of the Notes.
Neither the failure to deliver a Fundamental Change Notice nor any defect in a Fundamental Change Notice will limit the Fundamental Change Repurchase Right of any Holder or otherwise affect the validity of any proceedings relating to any Repurchase Upon Fundamental Change.

- 33 -
    


(F)    Procedures to Exercise the Fundamental Change Repurchase Right.
(i)    Delivery of Fundamental Change Repurchase Notice and Notes to Be Repurchased. To exercise its Fundamental Change Repurchase Right for a Note following a Fundamental Change, the Holder thereof must deliver to the Paying Agent:
(1)    before the Close of Business on the Business Day immediately before the related Fundamental Change Repurchase Date (or such later time as may be required by law), a duly completed, written Fundamental Change Repurchase Notice with respect to such Note; and
(2)    such Note, duly endorsed for transfer (if such Note is a Physical Note) or by book-entry transfer (if such Note is a Global Note).
The Paying Agent will promptly deliver to the Company a copy of each Fundamental Change Repurchase Notice that it receives.
(ii)    Contents of Fundamental Change Repurchase Notices. Each Fundamental Change Repurchase Notice with respect to a Note must state:
(1)    if such Note is a Physical Note, the certificate number of such Note;
(2)    the principal amount of such Note to be repurchased, which must be an Authorized Denomination; and
(3)    that such Holder is exercising its Fundamental Change Repurchase Right with respect to such principal amount of such Note;
provided, however, that if such Note is a Global Note, then such Fundamental Change Repurchase Notice must comply with the Depositary Procedures (and any such Fundamental Change Repurchase Notice delivered in compliance with the Depositary Procedures will be deemed to satisfy the requirements of this Section 4.02(F)).

- 34 -
    


(iii)    Withdrawal of Fundamental Change Repurchase Notice. A Holder that has delivered a Fundamental Change Repurchase Notice with respect to a Note may withdraw such Fundamental Change Repurchase Notice by delivering a written notice of withdrawal to the Paying Agent at any time before the Close of Business on the Business Day immediately before the related Fundamental Change Repurchase Date. Such withdrawal notice must state:
(1)    if such Note is a Physical Note, the certificate number of such Note;
(2)    the principal amount of such Note to be withdrawn, which must be an Authorized Denomination; and
(3)    the principal amount of such Note, if any, that remains subject to such Fundamental Change Repurchase Notice, which must be an Authorized Denomination;
provided, however, that if such Note is a Global Note, then such withdrawal notice must comply with the Depositary Procedures (and any such withdrawal notice delivered in compliance with the Depositary Procedures will be deemed to satisfy the requirements of this Section 4.02(F)).
Upon receipt of any such withdrawal notice with respect to a Note (or any portion thereof), the Paying Agent will (x) promptly deliver a copy of such withdrawal notice to the Company; and (y) if such Note is surrendered to the Paying Agent, cause such Note (or such portion thereof in accordance with Section 2.11, treating such Note as having been then surrendered for partial repurchase in the amount set forth in such withdrawal notice as remaining subject to repurchase) to be returned to the Holder thereof (or, if applicable with respect to any Global Note, cancel any instructions for book-entry transfer to the Company, the Trustee or the Paying Agent of the applicable beneficial interest in such Note in accordance with the Depositary Procedures).
(G)    Payment of the Fundamental Change Repurchase Price. Without limiting the Company’s obligation to deposit the Fundamental Change Repurchase Price within the time prescribed by Section 3.01(B), the Company will cause the Fundamental Change Repurchase Price for a Note (or portion thereof) to be repurchased pursuant to a Repurchase Upon Fundamental Change to be paid to the Holder thereof on or before the later of (i) the applicable Fundamental Change Repurchase Date; and (ii) the date (x) such Note is delivered to the Paying Agent (in the case of a Physical Note) or (y) the Depositary Procedures relating to the repurchase, and the delivery to the Paying Agent, of such Holder’s beneficial interest in such Note to be repurchased are complied with (in the case of a Global Note). For the avoidance of doubt, interest payable pursuant to the proviso to the first sentence of Section 4.02(D) on any Note to be repurchased pursuant to a Repurchase Upon Fundamental Change must be paid pursuant to such proviso regardless of whether such Note is delivered or such Depositary Procedures are complied with pursuant to the first sentence of this Section 4.02(G).
(H)    Third Party May Conduct Repurchase Offer In Lieu of the Company. Notwithstanding anything to the contrary in this Section 4.02, the Company will be deemed to satisfy its obligations under this Section 4.02 if one or more third parties conduct any Repurchase Upon Fundamental Change and related offer to repurchase Notes otherwise required by this Section 4.02 in the same manner, at the same time and otherwise in compliance with the requirements for an offer made by the Company as provided in this Section 4.02 that would have satisfied the requirements of this Section 4.02 if conducted directly by the Company.

- 35 -
    


(I)    No Requirement to Conduct an Offer to Repurchase Notes if the Fundamental Change Results in the Notes Becoming Convertible into an Amount of Cash Exceeding the Fundamental Change Repurchase Price. Notwithstanding anything to the contrary in this Section 4.02, the Company will not be required to send a Fundamental Change Notice pursuant to Section 4.02(E), or offer to repurchase or repurchase any Notes pursuant to this Section 4.02, in connection with a Common Stock Change Event that constitutes a Fundamental Change pursuant to clause (B)(ii) of the definition thereof (regardless of whether such Common Stock Change Event also constitutes a Fundamental Change pursuant to any other clause of such definition), if (i) the Reference Property of such Common Stock Change Event consists entirely of cash in U.S. dollars; (ii) immediately after such Fundamental Change, the Notes become convertible, pursuant to Section 5.09(A) and, if applicable, Section 5.07, into consideration that consists solely of U.S. dollars in an amount per $1,000 aggregate principal amount of Notes that equals or exceeds the Fundamental Change Repurchase Price per $1,000 aggregate principal amount of Notes (calculated assuming that the same includes the maximum amount of accrued interest payable as part of the related Fundamental Change Repurchase Price); and (iii) the Company timely sends the notice relating to such Fundamental Change required pursuant to Section 5.01(C)(i)(3)(b), and includes, in such notice, a statement that the Company is relying on this Section 4.02(I). For the avoidance of doubt, the maximum amount of accrued interest referred to in clause (ii) above will be determined (x) by assuming that the Fundamental Change Repurchase Date occurs on the latest possible date permitted for the applicable Fundamental Change pursuant to Section 4.02(E) and Section 4.02(C); and (y) without regard to the proviso in the first sentence of Section 4.02(D).
(J)    Compliance with Applicable Securities Laws. To the extent applicable, the Company will comply, in all material respects, with all U.S. federal and state securities laws in connection with a Repurchase Upon Fundamental Change (including complying with Rules 13e-4 and 14e-1 under the Exchange Act and filing any required Schedule TO, to the extent applicable) so as to permit effecting such Repurchase Upon Fundamental Change in the manner set forth in this Indenture; provided, however, that, to the extent that the Company’s obligations pursuant to this Section 4.02 conflict with any law or regulation that is applicable to the Company and enacted after the Issue Date, the Company’s compliance with such law or regulation will not be considered to be a Default of such obligations; rather, the Company will be deemed to be in compliance with such obligations if the Company complies with its obligation to effect Repurchases Upon a Fundamental Change in accordance with this Section 4.02, modified as necessary by the Company in good faith to permit compliance with such law or regulation.
(K)    Repurchase in Part. Subject to the terms of this Section 4.02, Notes may be repurchased pursuant to a Repurchase Upon Fundamental Change in part, but only in Authorized Denominations. Provisions of this Section 4.02 applying to the repurchase of a Note in whole will equally apply to the repurchase of a permitted portion of a Note.
(L)    No Fundamental Change Repurchase if an Optional Repurchase Notice Is Outstanding. No Fundamental Change Repurchase Notice with respect to any Note may be delivered, and no Note may be surrendered for repurchase pursuant to this Section 4.02, by a Holder thereof to the extent such Holder has also delivered an Optional Repurchase Notice with respect to such Note in accordance with Section 4.04(E) unless and until such Holder has validly withdrawn such Optional Repurchase Notice in accordance with Section 4.04(E).
Section 4.03. Right of the Company to Redeem the Notes.
(A)    No Right to Redeem Before November 6, 2028. The Company may not redeem the Notes at its option at any time before November 6, 2028.
- 36 -
    


(B)    Right to Redeem the Notes on or After November 6, 2028. Subject to the terms of this Section 4.03, the Company has the right, at its election, to redeem all, or any portion (subject to the Partial Redemption Limitation set forth in Section 4.03(C)) in an Authorized Denomination, of the Notes, at any time, and from time to time, on a Redemption Date on or after November 6, 2028 and on or before the thirty-first (31st) Scheduled Trading Day immediately before the Maturity Date, for a cash purchase price equal to the Redemption Price, but only if (1) the Last Reported Sale Price per share of Common Stock exceeds one hundred and thirty percent (130%) of the Conversion Price on (i) each of at least twenty (20) Trading Days (whether or not consecutive) during the thirty (30) consecutive Trading Days ending on, and including, the Trading Day immediately before the Redemption Notice Date for such Redemption; and (ii) the Trading Day immediately before such Redemption Notice Date; and (2) the Liquidity Conditions have been satisfied. For the avoidance of doubt, the calling of any Notes for Redemption will constitute a Make-Whole Fundamental Change with respect to that Note pursuant to clause (B) of the definition thereof.
(C)    Partial Redemption Limitation. If the Company elects to redeem fewer than all of the outstanding Notes, at least one hundred fifty million dollars ($150,000,000) aggregate principal amount of Notes must be outstanding and not subject to Redemption as of the Redemption Notice Date for such Redemption (such requirement, the “Partial Redemption Limitation”).
(D)    Redemption Prohibited in Certain Circumstances. If the principal amount of the Notes has been accelerated and such acceleration has not been rescinded on or before the Redemption Date (including a rescission as a result of the payment of the related Redemption Price, and any related interest pursuant to the proviso to the first sentence of Section 4.03(F), on such Redemption Date), then (i) the Company may not call for Redemption or otherwise redeem any Notes pursuant to this Section 4.03; and (ii) the Company will cause any Notes theretofore surrendered for such Redemption to be returned to the Holders thereof (or, if applicable with respect to Global Notes, cancel any instructions for book-entry transfer to the Company, the Trustee or the Paying Agent of the applicable beneficial interests in such Notes in accordance with the Depositary Procedures).
(E)    Redemption Date. The Redemption Date for any Redemption will be a day of the Company’s choosing that is no more than fifty five (55), nor less than thirty five (35), Scheduled Trading Days after the Redemption Notice Date for such Redemption and that is, as of such Redemption Notice Date, scheduled to be a Business Day; provided, however, that if, in accordance with Section 5.03(A)(i)(3), the Company has elected to settle all conversions for Notes called for Redemption with a Conversion Date that occurs during the related Redemption Conversion Period by Physical Settlement, then the Company may instead elect to choose a Redemption Date that is a Business Day no more than sixty (60), nor less than ten (10), calendar days after such Redemption Notice Date.
(F)    Redemption Price. The Redemption Price for any Note called for Redemption is an amount in cash equal to the principal amount of such Note plus accrued and unpaid interest on such Note to, but excluding, the Redemption Date for such Redemption; provided, however, that if such Redemption Date is after a Regular Record Date and on or before the next Interest Payment Date, then (i) the Holder of such Note at the Close of Business on such Regular Record Date will be entitled, notwithstanding such Redemption, to receive, on or, at the Company’s election, before such Interest Payment Date, the unpaid interest that would have accrued on such Note to, but excluding, such Interest Payment Date (assuming, solely for these purposes, that such Note remained outstanding through such Interest Payment Date, if such Redemption Date is before such Interest Payment Date); and (ii) the Redemption Price will not include accrued and unpaid interest on such Note to, but excluding, such Redemption Date. For the avoidance of doubt, if an Interest Payment Date is not a Business Day within the meaning of Section 2.05(C) and such Redemption Date occurs on the Business Day immediately after such Interest Payment Date, then (x) accrued and unpaid interest on Notes to, but excluding, such Interest Payment Date will be paid, in accordance with Section 2.05(C), on the next Business Day to Holders as of the Close of Business on the immediately preceding Regular Record Date; and (y) the Redemption Price will include interest on Notes to be redeemed from, and including, such Interest Payment Date.
- 37 -
    


(G)    Redemption Notice. To call any Notes for Redemption, the Company must send to each Holder of such Notes, the Trustee, the Conversion Agent and the Paying Agent a written notice of such Redemption (a “Redemption Notice”).
Such Redemption Notice must state:
(i)    that such Notes have been called for Redemption, briefly describing the Company’s Redemption right under this Indenture;
(ii)    the Redemption Date for such Redemption;
(iii)    the Redemption Price per $1,000 principal amount of Notes for such Redemption (and, if the Redemption Date is after a Regular Record Date and on or before the next Interest Payment Date, the amount, manner and timing of the interest payment payable pursuant to the proviso to the first sentence of Section 4.03(F));
(iv)    the name and address of the Paying Agent and the Conversion Agent;
(v)    that Notes called for Redemption may be converted at any time before the Close of Business on the second (2nd) Scheduled Trading Day immediately before the Redemption Date (or, if the Company fails to pay the Redemption Price due on such Redemption Date in full, at any time until such time as the Company pays such Redemption Price in full);
(vi)    the Conversion Rate in effect on the Redemption Notice Date for such Redemption and a description and quantification of any adjustments to the Conversion Rate that may result from such Redemption (including pursuant to Section 5.07);
(vii)    the Settlement Method that will apply to all conversions of Notes with a Conversion Date that occurs during the related Redemption Conversion Period; and
(viii)    the CUSIP and ISIN numbers, if any, of the Notes.
On or before the Redemption Notice Date, the Company will send a copy of such Redemption Notice to the Trustee, the Conversion Agent and the Paying Agent. At the Company’s written request, the Trustee will give the Redemption Notice in the Company’s name and at its expense, provided that the Company delivers to the Trustee, at least five Business Days in the case of Physical Notes and five calendar days in the case of Global Notes prior to the Redemption Notice Date (unless the Trustee agrees to a shorter period), an Officer’s Certificate requesting that the Trustee give such notice and setting forth the information to be stated in such notice as provided in this Section 4.03(G).
(H)    Selection, Conversion and Transfer of Notes to Be Redeemed in Part. If less than all Notes then outstanding are called for Redemption, then:
(i)    the Notes to be redeemed will be selected by the Company as follows: (1) in the case of Global Notes, in accordance with the Depositary Procedures; and (2) in the case of Physical Notes, pro rata, by lot or by such other method the Company considers fair and appropriate; and
(ii)    if only a portion of a Note is subject to Redemption and such Note is converted in part, then the converted portion of such Note will be deemed to be from the portion of such Note that was subject to Redemption, subject to, in the case of any Global Note, the Depositary Procedures.
- 38 -
    


(I)    Payment of the Redemption Price. Without limiting the Company’s obligation to deposit the Redemption Price by the time prescribed by Section 3.01(B), the Company will cause the Redemption Price for a Note (or portion thereof) subject to Redemption to be paid to the Holder thereof on or before the applicable Redemption Date. For the avoidance of doubt, interest payable pursuant to the proviso to the first sentence of Section 4.03(F) on any Note (or portion thereof) subject to Redemption must be paid pursuant to such proviso.
(J)    Special Provisions for Partial Calls. If the Company elects to redeem less than all of the outstanding Notes pursuant to this Section 4.03, and the Holder of any Note, or any owner of a beneficial interest in any Global Note, is reasonably not able to determine, before the Close of Business on the thirty-second (32nd) Scheduled Trading Day (or, if, in accordance with Section 5.03(A)(i)(3), the Company has elected to settle all conversions of Notes with a Conversion Date that occurs during the related Redemption Conversion Period, the tenth (10th) calendar day) immediately before the Redemption Date for such Redemption, whether such Note or beneficial interest, as applicable, is to be redeemed pursuant to such Redemption, then such Holder or owner, as applicable, will be entitled to convert such Note or beneficial interest, as applicable, at any time during the related Redemption Conversion Period, and each such conversion will be deemed to be of a Note called for Redemption for purposes of this Section 4.03 and Sections 5.01(C)(i)(4) and 5.07 and the definition of “Make-Whole Fundamental Change”. The Trustee will have no obligation to make any determination in connection with the foregoing. For the avoidance of doubt, each reference in this Indenture or the Notes to (x) any Note that is called for Redemption (or similar language) includes any Note that is deemed to be called for Redemption pursuant to this Section 4.03(J); and (y) any Note that is not called for Redemption (or similar language) excludes any Note that is deemed to be called for Redemption pursuant to this Section 4.03(J).
Section 4.04. Repurchase of Notes by the Company at Option of Holders
(A)    Repurchase at Option of Holders. Subject to the other terms of this Section 4.04, each Holder shall have the right (the “Optional Repurchase Right”), at such Holder’s option, to require the Company to repurchase (an “Optional Repurchase”) for cash all of such Holder’s Notes (or any portion thereof in an Authorized Denomination) on November 1, 2029 (the “Optional Repurchase Date”).

- 39 -
    


(B)    Repurchase Prohibited in Certain Circumstances. If the principal amount of the Notes has been accelerated and such acceleration has not been rescinded on or before the Optional Repurchase Date for an Optional Repurchase (including as a result of the payment of the related Optional Repurchase Price on such Optional Repurchase Date), then (i) the Company may not repurchase any Notes pursuant to this Section 4.04; and (ii) the Company will cause any Notes theretofore surrendered for such Optional Repurchase to be returned to the Holders thereof (or, if applicable with respect to Global Notes, cancel any instructions for book-entry transfer to the Company, the Trustee or the Paying Agent of the applicable beneficial interest in such Notes in accordance with the Depositary Procedures).
(C)    Optional Repurchase Price. The Optional Repurchase Price for any Note to be repurchased upon an Optional Repurchase is an amount in cash equal to the principal amount of such Note (the “Optional Repurchase Price”); provided that the Holder of such Note at the Close of Business on the Regular Record Date immediately preceding the Interest Payment Date falling on the Optional Repurchase Date will be entitled, notwithstanding such Optional Repurchase, to receive, on or, at the Company’s election, before such Interest Payment Date, the unpaid interest that would have accrued on such Note to, but excluding, such Interest Payment Date (assuming, solely for these purposes, that such Note remained outstanding through such Interest Payment Date).
(D)    Company Notice. On or before the twentieth (20th) Business Day prior to the Optional Repurchase Date, the Company will send to each Holder in writing, with a copy to the Trustee, the Paying Agent and the Conversion Agent (if other than the Trustee) a notice of such Optional Repurchase Right (the “Company Notice”).
The Company Notice must state:
(i)    the last date on which a Holder may exercise the Optional Repurchase Right pursuant to this Section 4.04;
(ii)    the Optional Repurchase Price per $1,000 principal amount of Notes and the amount, manner and timing of the interest payment payable pursuant to the proviso to the first sentence of Section 4.04(C);
(iii)    the Optional Repurchase Date;
(iv)    the procedures that a Holder must follow to require the Company to repurchase its Notes pursuant to this Section 4.04, including the procedures for submitting and withdrawing an Optional Repurchase Notice;
(v)    the name and address of the Paying Agent and the Conversion Agent;
(vi)    the Conversion Rate in effect on the date of such Company Notice;
(vii)    that Notes for which an Optional Repurchase Notice has been duly tendered and not duly withdrawn must be delivered to the Paying Agent for the Holder thereof to be entitled to receive the Optional Repurchase Price;
(viii)    that Notes (or any portion thereof) that are subject to an Optional Repurchase Notice that has been duly tendered may be converted only if such Optional Repurchase Notice is withdrawn in accordance with this Indenture; and
(ix)    the CUSIP and ISIN numbers, if any, of the Notes.
Neither the failure to deliver the Company Notice nor any defect in the Company Notice will limit the Optional Repurchase Right of any Holder or otherwise affect the validity of any proceedings relating to any Optional Repurchase.
- 40 -
    


(E)    Procedures to Exercise the Optional Repurchase Right.
(i)    Delivery of Optional Repurchase Notice and Notes to Be Repurchased. To exercise its Optional Repurchase Right for a Note, the Holder thereof must deliver to the Paying Agent:
(1)    during the period from the Open of Business on the date that is twenty (20) Business Days prior to the Optional Repurchase Date until the Close of Business on the Business Day immediately before the Optional Repurchase Date (or such later time as may be required by law), a duly completed, written Optional Repurchase Notice with respect to such Note; and
(2)    such Note, duly endorsed for transfer (if such Note is a Physical Note) or by book-entry transfer (if such Note is a Global Note).
The Paying Agent will promptly deliver to the Company a copy of each Optional Repurchase Notice that it receives.
(ii)    Contents of Optional Repurchase Notices. Each Optional Repurchase Notice with respect to a Note must state:
(1)    if such Note is a Physical Note, the certificate number of such Note;
(2)    the principal amount of such Note to be repurchased, which must be an Authorized Denomination; and
(3)    that such Holder is exercising its Optional Repurchase Right with respect to such principal amount of such Note;
provided, however, that if such Note is a Global Note, then such Optional Repurchase Notice must comply with the Depositary Procedures (and any such Optional Repurchase Notice delivered in compliance with the Depositary Procedures will be deemed to satisfy the requirements of this Section 4.04(E)).
(iii)    Withdrawal of Optional Repurchase Notice. A Holder that has delivered an Optional Repurchase Notice with respect to a Note may withdraw such Optional Repurchase Notice by delivering a written notice of withdrawal to the Company and the Paying Agent at any time before the Close of Business on the Business Day immediately before the Optional Repurchase Date. Such withdrawal notice must state:
(1)    if such Note is a Physical Note, the certificate number of such Note;
(2)    the principal amount of such Note to be withdrawn, which must be an Authorized Denomination; and
(3)    the principal amount of such Note, if any, that remains subject to such Optional Repurchase Notice, which must be an Authorized Denomination;
provided, however, that if such Note is a Global Note, then such withdrawal notice must comply with the Depositary Procedures (and any such withdrawal notice delivered in compliance with the Depositary Procedures will be deemed to satisfy the requirements of this Section 4.04(E)).
- 41 -
    


Upon receipt of any such withdrawal notice with respect to a Note (or any portion thereof), the Paying Agent will (x) promptly deliver a copy of such withdrawal notice to the Company; and (y) if such Note is surrendered to the Paying Agent, cause such Note (or such portion thereof in accordance with Section 2.11, treating such Note as having been then surrendered for partial repurchase in the amount set forth in such withdrawal notice as remaining subject to repurchase) to be returned to the Holder thereof (or, if applicable with respect to any Global Note, cancel any instructions for book-entry transfer to the Company, the Trustee or the Paying Agent of the applicable beneficial interest in such Note in accordance with the Depositary Procedures).
(F)    Payment of the Optional Repurchase Price. Without limiting the Company’s obligation to deposit the Optional Repurchase Price within the time prescribed by Section 3.01(B), the Company will cause the Optional Repurchase Price for a Note (or portion thereof) to be repurchased pursuant to an Optional Repurchase to be paid to the Holder thereof on or before the later of (i) the Optional Repurchase Date; and (ii) the date (x) such Note is delivered to the Paying Agent (in the case of a Physical Note) or (y) the Depositary Procedures relating to the repurchase, and the delivery to the Paying Agent, of such Holder’s beneficial interest in such Note to be repurchased are complied with (in the case of a Global Note). For the avoidance of doubt, interest payable pursuant to the proviso to the first sentence of Section 4.04(C) on any Note to be repurchased pursuant to an Optional Repurchase must be paid pursuant to such proviso regardless of whether such Note is delivered or such Depositary Procedures are complied with pursuant to the first sentence of this Section 4.04(F).
(G)    Compliance with Applicable Securities Laws. To the extent applicable, the Company will comply, in all material respects, with all U.S. federal and state securities laws in connection with a repurchase pursuant to any exercise of the Optional Repurchase Right by a Holder (including complying with Rules 13e-4 and 14e-1 under the Exchange Act and filing any required Schedule TO, to the extent applicable) so as to permit effecting such Optional Repurchase in the manner set forth in this Indenture; provided, however, that, to the extent that the Company’s obligations pursuant to this Section 4.04 conflict with any law or regulation that is applicable to the Company and enacted after the Issue Date, the Company’s compliance with such law or regulation will not be considered to be a Default of such obligations; rather, the Company will be deemed to be in compliance with such obligations if the Company complies with its obligation to effect Optional Repurchases in accordance with this Section 4.04, modified as necessary by the Company in good faith to permit compliance with such law or regulation.
(H)    Repurchase in Part. Subject to the terms of this Section 4.04, Notes may be repurchased pursuant to an Optional Repurchase in part, but only in Authorized Denominations. Provisions of this Section 4.04 applying to the repurchase of a Note in whole will equally apply to the repurchase of a permitted portion of a Note.
(I)    No Optional Repurchase if a Fundamental Change Repurchase Notice Is Outstanding. No Optional Repurchase Notice with respect to any Note may be delivered, and no Note may be surrendered for Optional Repurchase pursuant to this Section 4.04, by a Holder thereof to the extent such Holder has also delivered a Fundamental Change Repurchase Notice with respect to such Note in accordance with Section 4.02(F) unless and until such Holder has validly withdrawn such Fundamental Change Repurchase Notice in accordance with Section 4.02(F).

- 42 -
    


Article 5    CONVERSION
Section 5.01. Right to Convert.
(A)    Generally. Subject to the provisions of this Article 5, each Holder may, at its option, convert such Holder’s Notes into Conversion Consideration.
(B)    Conversions in Part. Subject to the terms of this Indenture, Notes may be converted in part, but only in Authorized Denominations. Provisions of this Article 5 applying to the conversion of a Note in whole will equally apply to conversions of a permitted portion of a Note.
(C)    When Notes May Be Converted.
(i)    Generally. Subject to Section 5.01(C)(ii), a Note may be converted only in the following circumstances:
(1)    Conversion upon Satisfaction of Sale Price Condition. Before the Close of Business on the Business Day immediately before August 1, 2031, a Holder may convert its Notes during any calendar quarter (and only during such calendar quarter) commencing after the calendar quarter ending on March 31, 2026, if the Last Reported Sale Price per share of Common Stock exceeds one hundred and thirty percent (130%) of the Conversion Price for each of at least twenty (20) Trading Days (whether or not consecutive) during the thirty (30) consecutive Trading Days ending on, and including, the last Trading Day of the immediately preceding calendar quarter.

- 43 -
    


(2)    Conversion upon Satisfaction of Note Trading Price Condition. Before the Close of Business on the Business Day immediately before August 1, 2031, a Holder may convert its Notes during the five (5) consecutive Business Days immediately after any ten (10) consecutive Trading Day period (such ten (10) consecutive Trading Day period, the “Measurement Period”) if the Trading Price per $1,000 principal amount of Notes, as determined following a request by a Holder in accordance with the procedures set forth below, for each Trading Day of the Measurement Period was less than ninety eight percent (98%) of the product of the Last Reported Sale Price per share of Common Stock on such Trading Day and the Conversion Rate on such Trading Day. The condition set forth in the preceding sentence is referred to in this Indenture as the “Trading Price Condition.”
The Trading Price will be determined by the Bid Solicitation Agent pursuant to this Section 5.01(C)(i)(2) and the definition of “Trading Price.” The Bid Solicitation Agent (if not the Company) will have no obligation to determine the Trading Price of the Notes unless the Company has requested such determination in writing, and the Company will have no obligation to make such request (or seek bids itself) unless a Holder (or Holders) of at least five million dollars ($5,000,000) in aggregate principal amount of Notes provides the Company with reasonable evidence that the Trading Price per $1,000 principal amount of Notes would be less than ninety eight percent (98%) of the product of the Last Reported Sale Price per share of Common Stock and the Conversion Rate. If a Holder provides such evidence, then the Company will (if acting as Bid Solicitation Agent), or will instruct the Bid Solicitation Agent to, determine the Trading Price of the Notes beginning on the next Trading Day and on each successive Trading Day until the Trading Price per $1,000 principal amount of Notes is greater than or equal to ninety eight percent (98%) of the product of the Last Reported Sale Price per share of Common Stock on such Trading Day and the Conversion Rate on such Trading Day. If the Trading Price Condition has been met as set forth above, then the Company will notify the Holders, the Trustee and the Conversion Agent of the same. The Company will select the institutions to provide bids to the Bid Solicitation Agent and will instruct such institutions to provide bids to the Bid Solicitation Agent in accordance with the definition of “Trading Price.” If, on any Trading Day after the Trading Price Condition has been met as set forth above, the Trading Price per $1,000 principal amount of Notes is greater than or equal to ninety eight percent (98%) of the product of the Last Reported Sale Price per share of Common Stock on such Trading Day and the Conversion Rate on such Trading Day, then the Company will notify the Holders, the Trustee and the Conversion Agent of the same.

- 44 -
    


(3)    Conversion upon Specified Corporate Events.
(a)    Certain Distributions. If, before the Close of Business on the Business Day immediately before August 1, 2031, the Company elects to:
(I)    distribute, to all or substantially all holders of Common Stock, any rights, options or warrants (other than rights issued pursuant to a stockholder rights plan, so long as such rights have not separated from the Common Stock and are not exercisable until the occurrence of a triggering event, except that such rights will be deemed to be distributed under this clause (I) upon their separation from the Common Stock or upon the occurrence of such triggering event) entitling them, for a period of not more than sixty (60) calendar days after the date such distribution is announced, to subscribe for or purchase shares of Common Stock at a price per share that is less than the average of the Last Reported Sale Prices per share of Common Stock for the ten (10) consecutive Trading Days ending on, and including, the Trading Day immediately before the date such distribution is announced (determined in the manner set forth in the third paragraph of Section 5.05(A)(ii)); or
(II)    distribute, to all or substantially all holders of Common Stock, assets or securities of the Company or rights to purchase the Company’s securities, which distribution per share of Common Stock has a value, as reasonably determined by the Company in good faith, exceeding ten percent (10%) of the Last Reported Sale Price per share of Common Stock on the Trading Day immediately before the date such distribution is announced,
then, in either case, (x) the Company will send notice of such distribution, and of the related right to convert Notes, to Holders, the Trustee and the Conversion Agent at least thirty five (35) Scheduled Trading Days before the Ex-Dividend Date for such distribution (or, if later in the case of any such separation of rights issued pursuant to a stockholder rights plan or the occurrence of any such triggering event under a stockholder rights plan, no later than the Business Day after the Company becomes aware that such separation or triggering event has occurred or will occur); and (y) once the Company has sent such notice, Holders may convert their Notes at any time until the earlier of the Close of Business on the Business Day immediately before such Ex-Dividend Date and the Company’s announcement that such distribution will not take place; provided, however, that the Notes will not become convertible pursuant to clause (y) above (but the Company will be required to send notice of such distribution pursuant to clause (x) above) on account of such distribution if each Holder participates, at the same time and on the same terms as holders of Common Stock, and solely by virtue of being a Holder, in such distribution without having to convert such Holder’s Notes and as if such Holder held a number of shares of Common Stock equal to the product of (i) the Conversion Rate in effect on the record date for such distribution; and (ii) the aggregate principal amount (expressed in thousands) of Notes held by such Holder on such date; provided, further, that if the Company is then otherwise permitted to settle conversions of Notes by Physical Settlement (and, for the avoidance of doubt, the Company has not elected another Settlement Method to apply, including pursuant to Section 5.03(A)(i)(1)), then the Company may instead elect to provide such notice at least ten (10) Scheduled Trading Days before such Ex-Dividend Date, in which case (x) the Company must settle all conversions of Notes with a Conversion Date occurring on or after the date the Company provides such notice and on or before the Business Day immediately before the Ex-Dividend Date for such distribution (or any earlier announcement by the Company that such distribution will not take place) by Physical Settlement; and (y) such notice must state that all such conversions will be settled by Physical Settlement.
- 45 -
    


(b)    Certain Corporate Events. If a Fundamental Change, Make-Whole Fundamental Change (other than a Make-Whole Fundamental Change pursuant to clause (B) of the definition thereof) or Common Stock Change Event occurs (other than a merger or other business combination transaction that is effected solely to change the Company’s jurisdiction of incorporation and that does not constitute a Fundamental Change or a Make-Whole Fundamental Change), then, in each case, Holders may convert their Notes at any time from, and including, the effective date of such transaction or event to, and including, the thirty fifth (35th) Trading Day after such effective date (or, if such transaction or event also constitutes a Fundamental Change (other than an Exempted Fundamental Change), to, but excluding, the related Fundamental Change Repurchase Date); provided, however, that if the Company does not provide the notice referred to in the immediately following sentence by the Business Day after such effective date, then the last day on which the Notes are convertible pursuant to this sentence will be extended by the number of Business Days from, and including, the Business Day after such effective date to, but excluding, the date the Company provides such notice. No later than the Business Day after such effective date, the Company will send written notice to the Holders, the Trustee and the Conversion Agent of such transaction or event, such effective date and the related right to convert Notes.
(4)    Conversion upon Redemption. If the Company calls any Note for Redemption before the Close of Business on the Business Day immediately before August 1, 2031, then the Holder of such Note may convert such Note at any time during the related Redemption Conversion Period.
(5)    Conversions During Free Convertibility Period. On or after August 1, 2031, a Holder may convert its Notes at any time until the Close of Business on the second (2nd) Scheduled Trading Day immediately before the Maturity Date regardless of the conditions set forth in sub-paragraphs (1), (2), (3) or (4) of this Section 5.01(C)(i).
For the avoidance of doubt, the Notes may become convertible pursuant to any one or more of the preceding sub-paragraphs of this Section 5.01(C)(i) and the Notes ceasing to be convertible pursuant to a particular sub-paragraph of this Section 5.01(C)(i) will not preclude the Notes from being convertible pursuant to any other sub-paragraph of this Section 5.01(C)(i).
(ii)    Limitations and Closed Periods. Notwithstanding anything to the contrary in this Indenture or the Notes:
(1)    Notes may be surrendered for conversion during a period where the Notes are convertible pursuant to Section 5.01(C) only after the Open of Business and before the Close of Business on a Business Day;
(2)    in no event may any Note be converted after the Close of Business on the second (2nd) Scheduled Trading Day immediately before the Maturity Date;
(3)    if the Company calls any Note for Redemption pursuant to Section 4.03, then the Holder of such Note may not convert such Note after the Close of Business on the second (2nd) Scheduled Trading Day immediately before the applicable Redemption Date, except to the extent the Company fails to pay the Redemption Price for such Note in accordance with this Indenture; and

- 46 -
    


(4)    if a Fundamental Change Repurchase Notice is validly delivered pursuant to Section 4.02(F) or an Optional Repurchase Notice is validly delivered pursuant to Section 4.04(E) with respect to any Note, then, in either case, such Note may not be converted, except to the extent (a) such Note is not subject to such notice; (b) such notice is withdrawn in accordance with Section 4.02(F) or Section 4.04(E), as applicable; or (c) the Company fails to pay the Fundamental Change Repurchase Price or the Optional Repurchase Price, as the case may be, for such Note in accordance with this Indenture (or, in the case of a Repurchase Upon Fundamental Change, a third party fails to make such payment in lieu of the Company in accordance with Section 4.02(H)).
Section 5.02. Conversion Procedures.
(A)    Generally.
(i)    Global Notes. To convert a beneficial interest in a Global Note that is convertible pursuant to Section 5.01(C), the owner of such beneficial interest must (1) comply with the Depositary Procedures for converting such beneficial interest (at which time such conversion will become irrevocable); and (2) pay any amounts due pursuant to Section 5.02(D) or Section 5.02(E).
(ii)    Physical Notes. To convert all or a portion of a Physical Note that is convertible pursuant to Section 5.01(C), the Holder of such Note must (1) complete, manually sign and deliver to the Conversion Agent the conversion notice attached to such Physical Note or a facsimile of such conversion notice; (2) deliver such Physical Note to the Conversion Agent (at which time such conversion will become irrevocable); (3) furnish any endorsements and transfer documents that the Company or the Conversion Agent may require; and (4) pay any amounts due pursuant to Section 5.02(D) or Section 5.02(E).
(B)    Effect of Converting a Note. At the Close of Business on the Conversion Date for a Note (or any portion thereof) to be converted, such Note (or such portion) will (unless there occurs a Default in the delivery of the Conversion Consideration or interest due, pursuant to Section 5.03(B) or 5.02(D), as the case may be, upon such conversion) be deemed to cease to be outstanding (and, for the avoidance of doubt, no Person will be deemed to be a Holder of such Note (or such portion thereof) as of the Close of Business on such Conversion Date), except to the extent provided in Section 5.02(D).
(C)    Holder of Record of Conversion Shares. The Person in whose name any share of Common Stock is issuable upon conversion of any Note will be deemed to become the holder of record of such share as of the Close of Business on (i) the Conversion Date for such conversion, in the case of Physical Settlement; or (ii) the last VWAP Trading Day of the Observation Period for such conversion, in the case of Combination Settlement.
- 47 -
    


(D)    Interest Payable upon Conversion in Certain Circumstances. If the Conversion Date of a Note is after a Regular Record Date and before the next Interest Payment Date, then (i) the Holder of such Note at the Close of Business on such Regular Record Date will be entitled, notwithstanding such conversion (and, for the avoidance of doubt, notwithstanding anything set forth in the proviso to this sentence), to receive, on or, at the Company’s election, before such Interest Payment Date, the unpaid interest that would have accrued on such Note to, but excluding, such Interest Payment Date (assuming, solely for these purposes, that such Note remained outstanding through such Interest Payment Date); and (ii) the Holder surrendering such Note for conversion must deliver to the Conversion Agent, at the time of such surrender, an amount of cash equal to the amount of such interest referred to in clause (i) above; provided, however, that the Holder surrendering such Note for conversion need not deliver such cash (w) if such Note is called (or deemed, pursuant to Section 4.03(J), to be called) for Redemption and the Company has specified a Redemption Date that is after such Regular Record Date and on or before the second Business Day immediately after such Interest Payment Date; (x) if such Conversion Date occurs after the Regular Record Date immediately before the Maturity Date; (y) if the Company has specified a Fundamental Change Repurchase Date that is after such Regular Record Date and on or before the Business Day immediately after such Interest Payment Date; or (z) to the extent of any overdue interest or interest that has accrued on any overdue interest. For the avoidance of doubt, as a result of, and without limiting the generality of, the foregoing, if (i) a Note is converted with a Conversion Date that is after the Regular Record Date immediately before the Maturity Date, (ii) a Note is called (or deemed called) for Redemption and the Company has specified a Redemption Date that is after a Regular Record Date and on or before the second Business Day immediately after the next Interest Payment Date or (iii) the Company has specified a Fundamental Change Repurchase Date that is after a Regular Record Date and on or before the Business Day immediately after the next Interest Payment Date, then the Company will pay, as provided above, the interest that would have accrued on such Note to, but excluding, the Maturity Date or other applicable Interest Payment Date regardless of whether the Holder has converted its Notes after such Regular Record Date, and such converting Holder will not be required to make a corresponding cash payment pursuant to the first sentence of this Section 5.02(D). For the avoidance of doubt, if the Conversion Date of a Note to be converted is on an Interest Payment Date, then the Holder of such Note at the Close of Business on the Regular Record Date immediately before such Interest Payment Date will be entitled to receive, on such Interest Payment Date, the unpaid interest that has accrued on such Note to, but excluding, such Interest Payment Date, and such Note, when surrendered for conversion, need not be accompanied by any cash amount pursuant to the first sentence of this Section 5.02(D).
(E)    Taxes and Duties. If a Holder converts a Note, the Company will pay any documentary, stamp or similar issue or transfer tax or duty due on the issue or delivery of any shares of Common Stock upon such conversion; provided, however, that if any tax or duty is due because such Holder requested such shares to be registered in a name other than such Holder’s name, then such Holder will pay such tax or duty and, until having received a sum sufficient to pay such tax or duty, the Conversion Agent may refuse to deliver any such shares to be issued in a name other than that of such Holder.
(F)    Conversion Agent to Notify Company of Conversions. If any Note is submitted for conversion to the Conversion Agent or the Conversion Agent receives any notice of conversion with respect to a Note, then the Conversion Agent will promptly (and, in any event, no later than the date the Conversion Agent receives such Note or notice if received prior to the Close of Business on such date) notify the Company and the Trustee of such occurrence, together with any other information reasonably requested by the Company, and will cooperate with the Company to determine the Conversion Date for such Note.

- 48 -
    


Section 5.03. Settlement upon Conversion.
(A)    Settlement Method. Upon the conversion of any Note, the Company will settle such conversion by paying or delivering, as applicable and as provided in this Article 5, either (x) shares of Common Stock, together, if applicable, with cash in lieu of fractional shares as provided in Section 5.03(B)(i)(1) (a “Physical Settlement”); (y) solely cash as provided in Section 5.03(B)(i)(2) (a “Cash Settlement”); or (z) a combination of cash and shares of Common Stock, together, if applicable, with cash in lieu of fractional shares as provided in Section 5.03(B)(i)(3) (a “Combination Settlement”).
(i)    The Company’s Right to Elect Settlement Method. The Company will have the right to elect the Settlement Method applicable to any conversion of a Note; provided, however, that:
(1)    subject to clause (3) below, all conversions of Notes with a Conversion Date that occurs on or after August 1, 2031 will be settled using the same Settlement Method, and the Company will send written notice of such Settlement Method to Holders, the Trustee and the Conversion Agent no later than the Open of Business on August 1, 2031;
(2)    subject to clause (3) below, if the Company elects a Settlement Method with respect to the conversion of any Note whose Conversion Date occurs before August 1, 2031, then the Company will send notice of such Settlement Method to the Holder of such Note, the Trustee and the Conversion Agent (if other than the Trustee) no later than the Close of Business on the Business Day immediately after such Conversion Date;

- 49 -
    


(3)    if any Notes are called for Redemption, then (a) the Company will specify, in the related Redemption Notice sent pursuant to Section 4.03(G), the Settlement Method that will apply to all conversions of Notes with a Conversion Date that occurs during the related Redemption Conversion Period; and (b) if such Redemption Date occurs on or after August 1, 2031, then such Settlement Method must be the same Settlement Method that, pursuant to clause (1) above, applies to all conversions of Notes with a Conversion Date that occurs on or after August 1, 2031;
(4)    the Company will use the same Settlement Method for all conversions of Notes with the same Conversion Date (and, for the avoidance of doubt, the Company will not be obligated to use the same Settlement Method with respect to conversions of Notes with different Conversion Dates, except as provided in clause (1) or (3) above);
(5)    if the Company does not timely elect a Settlement Method with respect to the conversion of a Note, then the Company will be deemed to have elected the Default Settlement Method (and, for the avoidance of doubt, the failure to timely make such election will not constitute a Default or Event of Default); and
(6)    if the Company timely elects Combination Settlement with respect to the conversion of a Note but does not timely notify the Holder of such Note of the applicable Specified Dollar Amount, then the Specified Dollar Amount for such conversion will be deemed to be $1,000 per $1,000 principal amount of Notes (and, for the avoidance of doubt, the failure to timely send such notification will not constitute a Default or Event of Default); and
(7)    the Settlement Method will be subject to Section 4.03(E), Section 5.01(C)(i)(3)(a), Section 5.07(D) and Section 5.09(A).
(ii)    The Company’s Right to Irrevocably Fix the Settlement Method. The Company will have the right, exercisable at its election by (x) sending notice of such exercise to the Holders (with a copy to the Trustee and the Conversion Agent) and (y) disclosing such exercise on the Company’s website or in a Current Report on Form 8-K (or any successor form) filed with, or furnished to, the SEC, to (1) irrevocably fix the Settlement Method that will apply to all conversions of Notes with a Conversion Date that occurs on or after the date such notice is sent to Holders; or (2) irrevocably eliminate any one or more (but not all) Settlement Methods (including eliminating Combination Settlement with a particular Specified Dollar Amount or range of Specified Dollar Amounts) with respect to all conversions of Notes with a Conversion Date that occurs on or after the date such notice is sent to Holders; provided that the Settlement Method so elected pursuant to clause (1) above, or the Settlement Method(s) remaining after any elimination pursuant to clause (2) above, as applicable, must be a Settlement Method or Settlement Method(s), as applicable, that the Company is then permitted to elect (for the avoidance of doubt, including pursuant to, and subject to, the other provisions of this Section 5.03(A)). Such notice, if sent, must set forth the Settlement Method so elected, or the Settlement Method(s) so eliminated, as applicable, and expressly state that the election is irrevocable and applicable to all conversions of Notes with a Conversion Date that occurs on or after the date such notice is sent to Holders. Upon any such irrevocable election pursuant to clause (1) above, the Default Settlement Method will automatically be deemed to be set to the Settlement Method so elected; and upon any such irrevocable election pursuant to clause (2) above, the Company will, if needed, simultaneously change the Default Settlement Method to a Settlement Method that is consistent with such irrevocable election. Notwithstanding anything to the contrary in the preceding sentences of this paragraph, no such change in the Default Settlement Method or irrevocable election will affect any Settlement Method theretofore elected (or deemed to be elected) with respect to any Note pursuant to this Indenture (including pursuant to this Section 5.03(A)). For the avoidance of doubt, such an irrevocable election, if made, will be effective without the need to amend this Indenture or the Notes, including pursuant to Section 8.01(G) (it being understood, however, that the Company may nonetheless choose to execute such an amendment at its option).
- 50 -
    


(B)    Conversion Consideration.
(i)    Generally. Subject to Sections 5.03(B)(ii), 5.03(B)(iii) and 5.09(A)(2), the type and amount of consideration (the “Conversion Consideration”) due in respect of each $1,000 principal amount of a Note to be converted will be as follows:
(1)    if Physical Settlement applies to such conversion, a number of shares of Common Stock equal to the Conversion Rate in effect on the Conversion Date for such conversion;
(2)    if Cash Settlement applies to such conversion, cash in an amount equal to the sum of the Daily Conversion Values for each VWAP Trading Day in the Observation Period for such conversion; or
(3)    if Combination Settlement applies to such conversion, consideration consisting of (a) a number of shares of Common Stock equal to the sum of the Daily Share Amounts for each VWAP Trading Day in the Observation Period for such conversion; and (b) an amount of cash equal to the sum of the Daily Cash Amounts for each VWAP Trading Day in such Observation Period.

- 51 -
    


(ii)    Cash in Lieu of Fractional Shares. If Physical Settlement or Combination Settlement applies to the conversion of any Note and the number of shares of Common Stock deliverable pursuant to Section 5.03(B)(i) upon such conversion is not a whole number, then such number will be rounded down to the nearest whole number and the Company will deliver, in addition to the other consideration due upon such conversion, cash in lieu of the related fractional share in an amount equal to the product of (1) such fraction and (2) (x) the Daily VWAP on the applicable Conversion Date for such conversion (or, if such Conversion Date is not a VWAP Trading Day, the immediately preceding VWAP Trading Day), in the case of Physical Settlement; or (y) the Daily VWAP on the last VWAP Trading Day of the Observation Period for such conversion, in the case of Combination Settlement.
(iii)    Conversion of Multiple Notes by a Single Holder. If a Holder converts more than one (1) Note on a single Conversion Date, then the Conversion Consideration due in respect of such conversion will (in the case of any Global Note, to the extent permitted by, and practicable under, the Depositary Procedures) be computed based on the total principal amount of Notes converted on such Conversion Date by such Holder.
(iv)    Notice of Calculation of Conversion Consideration. If Cash Settlement or Combination Settlement applies to the conversion of any Note, then the Company will determine the Conversion Consideration due thereupon promptly following the last VWAP Trading Day of the applicable Observation Period and will promptly thereafter send notice to the Trustee and the Conversion Agent of the same and the calculation thereof in reasonable detail. Neither the Trustee, the Conversion Agent nor the Paying Agent will have any duty to make any such determination.
(C)    Delivery of the Conversion Consideration. Except as set forth in Sections 5.05(D), 5.07(D) and 5.09, the Company will pay or deliver, as applicable, the Conversion Consideration due upon the conversion of any Note to the Holder as follows: (i) if Cash Settlement or Combination Settlement applies to such conversion, on or before the second (2nd) Business Day immediately after the last VWAP Trading Day of the Observation Period for such conversion; and (ii) if Physical Settlement applies to such conversion, on or before the second (2nd) Business Day immediately after the Conversion Date for such conversion; provided, however, that if Physical Settlement applies to the conversion of any Note with a Conversion Date that is after the Regular Record Date immediately before the Maturity Date, then, solely for purposes of such conversion, (x) the Company will pay or deliver, as applicable, the Conversion Consideration due upon such conversion no later than the Maturity Date (or, if the Maturity Date is not a Business Day, the next Business Day); and (y) the Conversion Date will instead be deemed to be the second (2nd) Business Day immediately before the Maturity Date.
(D)    Deemed Payment of Principal and Interest; Settlement of Accrued Interest Notwithstanding Conversion. If a Holder converts a Note, then the Company will not adjust the Conversion Rate to account for any accrued and unpaid interest on such Note, and, except as provided in Section 5.02(D), the Company’s delivery of the Conversion Consideration due in respect of such conversion will be deemed to fully satisfy and discharge the Company’s obligation to pay the principal of, and accrued and unpaid interest, if any, on, such Note to, but excluding the Conversion Date. As a result, except as provided in Section 5.02(D), any accrued and unpaid interest on a converted Note will be deemed to be paid in full rather than cancelled, extinguished or forfeited. In addition, subject to Section 5.02(D), if the Conversion Consideration for a Note consists of both cash and shares of Common Stock, then accrued and unpaid interest that is deemed to be paid therewith will be deemed to be paid first out of such cash.

- 52 -
    


Section 5.04. Reserve and Status of Common Stock Issued upon Conversion.
(A)    Stock Reserve. At all times when any Notes are outstanding, the Company will reserve, out of its authorized, unreserved and not outstanding shares of Common Stock, a number of shares of Common Stock sufficient to permit the conversion of all then-outstanding Notes, assuming (x) Physical Settlement will apply to such conversion; and (y) the Conversion Rate is increased by the maximum amount pursuant to which the Conversion Rate may be increased pursuant to Section 5.07. To the extent the Company delivers shares of Common Stock held in its treasury in settlement of the conversion of any Notes, each reference in this Indenture or the Notes to the issuance of shares of Common Stock in connection therewith will be deemed to include such delivery, mutatis mutandis.
(B)    Status of Conversion Shares; Listing. Each Conversion Share, if any, delivered upon conversion of any Note will be a newly issued or treasury share (except that any Conversion Share delivered by a designated financial institution pursuant to Section 5.08 need not be a newly issued or treasury share) and will be duly and validly issued, fully paid, non-assessable, free from preemptive rights and free of any lien or adverse claim (except to the extent of any lien or adverse claim created by the action or inaction of the Holder of such Note or the Person to whom such Conversion Share will be delivered). If the Common Stock is then listed on any securities exchange, or quoted on any inter-dealer quotation system, then the Company will use commercially reasonable efforts to cause each Conversion Share, when delivered upon conversion of any Note, to be admitted for listing on such exchange or quotation on such system.
Section 5.05. Adjustments to the Conversion Rate.
(A)    Events Requiring an Adjustment to the Conversion Rate. The Conversion Rate will be adjusted from time to time as follows:
(i)    Stock Dividends, Splits and Combinations. If the Company issues solely shares of Common Stock as a dividend or distribution on all or substantially all shares of the Common Stock, or if the Company effects a stock split or a stock combination of the Common Stock (in each case excluding an issuance solely pursuant to a Common Stock Change Event, as to which Section 5.09 will apply), then the Conversion Rate will be adjusted based on the following formula:
image1a.jpg

where:
CR0    =    the Conversion Rate in effect immediately before the Open of Business on the Ex-Dividend Date for such dividend or distribution, or immediately before the Open of Business on the effective date of such stock split or stock combination, as applicable;
CR1    =    the Conversion Rate in effect immediately after the Open of Business on such Ex-Dividend Date or effective date, as applicable;
OS0    =    the number of shares of Common Stock outstanding immediately before the Open of Business on such Ex-Dividend Date or effective date, as applicable, without giving effect to such dividend, distribution, stock split or stock combination; and
OS1    =    the number of shares of Common Stock outstanding immediately after giving effect to such dividend, distribution, stock split or stock combination.
- 53 -
    


If any dividend or distribution of the type described in this Section 5.05(A)(i) is declared, but not so paid, then the Conversion Rate will be readjusted, effective as of the date the Board of Directors determines not to pay such dividend or distribution, to the Conversion Rate that would then be in effect had such dividend or distribution not been declared.
(ii)    Rights, Options and Warrants. If the Company distributes, to all or substantially all holders of Common Stock, rights, options or warrants (other than rights issued or otherwise distributed pursuant to a stockholder rights plan, as to which Sections 5.05(A)(iii)(1) and 5.05(F) will apply) entitling such holders, for a period of not more than sixty (60) calendar days after the date such distribution is announced, to subscribe for or purchase shares of Common Stock at a price per share that is less than the average of the Last Reported Sale Prices per share of Common Stock for the ten (10) consecutive Trading Days ending on, and including, the Trading Day immediately before the date such distribution is announced, then the Conversion Rate will be increased based on the following formula:
image2a.jpg

where:
CR0    =    the Conversion Rate in effect immediately before the Open of Business on the Ex-Dividend Date for such distribution;
CR1    =    the Conversion Rate in effect immediately after the Open of Business on such Ex-Dividend Date;
OS    =    the number of shares of Common Stock outstanding immediately before the Open of Business on such Ex-Dividend Date;
X    =    the total number of shares of Common Stock issuable pursuant to such rights, options or warrants; and
Y    =    a number of shares of Common Stock obtained by dividing (x) the aggregate price payable to exercise such rights, options or warrants by (y) the average of the Last Reported Sale Prices per share of Common Stock for the ten (10) consecutive Trading Days ending on, and including, the Trading Day immediately before the date such distribution is announced.

- 54 -
    


To the extent that shares of Common Stock are not delivered after the expiration of such rights, options or warrants (including as a result of such rights, options or warrants not being exercised), the Conversion Rate will be readjusted to the Conversion Rate that would then be in effect had the increase to the Conversion Rate for such distribution been made on the basis of delivery of only the number of shares of Common Stock actually delivered upon exercise of such rights, options or warrants. To the extent such rights, options or warrants are not so distributed, the Conversion Rate will be readjusted to the Conversion Rate that would then be in effect had the Ex-Dividend Date for the distribution of such rights, options or warrants not occurred.
For purposes of this Section 5.05(A)(ii) and Section 5.01(C)(i)(3)(a)(I), in determining whether any rights, options or warrants entitle holders of Common Stock to subscribe for or purchase shares of Common Stock at a price per share that is less than the average of the Last Reported Sale Prices per share of Common Stock for the ten (10) consecutive Trading Days ending on, and including, the Trading Day immediately before the date the distribution of such rights, options or warrants is announced, and in determining the aggregate price payable to exercise such rights, options or warrants, there will be taken into account any consideration the Company receives for such rights, options or warrants and any amount payable on exercise thereof, with the value of such consideration, if not cash, to be determined by the Company in good faith.
(iii)    Spin-Offs and Other Distributed Property.
(1)    Distributions Other than Spin-Offs. If the Company distributes shares of its Capital Stock, evidences of its indebtedness or other assets or property of the Company, or rights, options or warrants to acquire Capital Stock of the Company or other securities, to all or substantially all holders of the Common Stock, excluding:
(u)    dividends, distributions, rights, options or warrants for which an adjustment to the Conversion Rate is required (or would be required without regard to Section 5.05(C)) pursuant to Section 5.05(A)(i) or 5.05(A)(ii);
(v)    dividends or distributions paid exclusively in cash for which an adjustment to the Conversion Rate is required (or would be required without regard to Section 5.05(C)) pursuant to Section 5.05(A)(iv);
(w)    rights issued or otherwise distributed pursuant to a stockholder rights plan, except to the extent provided in Section 5.05(F);
(x)    Spin-Offs for which an adjustment to the Conversion Rate is required (or would be required without regard to Section 5.05(C)) pursuant to Section 5.05(A)(iii)(2);

- 55 -
    


(y)    a distribution solely pursuant to a tender offer or exchange offer for shares of Common Stock, as to which Section 5.05(A)(v) will apply; and
(z)    a distribution solely pursuant to a Common Stock Change Event, as to which Section 5.09 will apply,
then the Conversion Rate will be increased based on the following formula:

image3a.jpg

where:
CR0    =    the Conversion Rate in effect immediately prior to the Open of Business on the Ex-Dividend Date for such distribution;
CR1    =    the Conversion Rate in effect immediately after the Open of Business on such Ex-Dividend Date;
SP    =    the average of the Last Reported Sale Prices of Common Stock over the ten (10) consecutive Trading Day period ending on, and including, the Trading Day immediately prior to such Ex-Dividend Date for such distribution; and
FMV    =    the fair market value (as determined by the Company in good faith), as of such Ex-Dividend Date, of the shares of Capital Stock, evidences of indebtedness, assets, property, rights, options or warrants distributed per share of Common Stock pursuant to such distribution;
provided, however, that if FMV is equal to or greater than SP, then, in lieu of the foregoing adjustment to the Conversion Rate, each Holder will receive, for each $1,000 principal amount of Notes held by such Holder on the record date for such distribution, at the same time and on the same terms as holders of Common Stock, without having to convert its Notes, the amount and kind of shares of Capital Stock, evidences of indebtedness, assets, property, rights, options or warrants that such Holder would have received if such Holder had owned, on such record date, a number of shares of Common Stock equal to the Conversion Rate in effect on such record date.
To the extent such distribution is not so paid or made, the Conversion Rate will be readjusted to the Conversion Rate that would then be in effect had the adjustment been made on the basis of only the distribution, if any, actually made or paid.

- 56 -
    


(2)    Spin-Offs. If the Company distributes or dividends shares of Capital Stock of any class or series, or similar equity interests, of or relating to an Affiliate, a Subsidiary or other business unit of the Company to all or substantially all holders of the Common Stock (other than solely pursuant to (x) a Common Stock Change Event, as to which Section 5.09 will apply; or (y) a tender offer or exchange offer for shares of Common Stock, as to which Section 5.05(A)(v) will apply), and such Capital Stock or equity interests are listed or quoted (or will be listed or quoted upon the consummation of the transaction) on a U.S. national securities exchange (a “Spin-Off”), then the Conversion Rate will be increased based on the following formula:

image4a.jpg

where:
CR0    =    the Conversion Rate in effect immediately before the Close of Business on the last Trading Day of the Spin-Off Valuation Period for such Spin-Off;
CR1    =    the Conversion Rate in effect immediately after the Close of Business on the last Trading Day of the Spin-Off Valuation Period;
FMV    =    the product of (x) the average of the Last Reported Sale Prices per share or unit of the Capital Stock or equity interests distributed in such Spin-Off over the ten (10) consecutive Trading Day period (the “Spin-Off Valuation Period”) beginning on, and including, the Ex-Dividend Date for such Spin-Off (such average to be determined as if references to Common Stock in the definitions of Last Reported Sale Price, Trading Day and Market Disruption Event were instead references to such Capital Stock or equity interests); and (y) the number of shares or units of such Capital Stock or equity interests distributed per share of Common Stock in such Spin-Off; and
SP    =    the average of the Last Reported Sale Prices per share of Common Stock for each Trading Day in the Spin-Off Valuation Period.
Notwithstanding anything to the contrary in this Section 5.05(A)(iii)(2), (i) if any VWAP Trading Day of the Observation Period for a Note whose conversion will be settled pursuant to Cash Settlement or Combination Settlement occurs during the Spin-Off Valuation Period for such Spin-Off, then, solely for purposes of determining the Conversion Rate for such VWAP Trading Day for such conversion, such Spin-Off Valuation Period will be deemed to consist of the Trading Days occurring in the period from, and including, the Ex-Dividend Date for such Spin-Off to, and including, such VWAP Trading Day; and (ii) if the Conversion Date for a Note whose conversion will be settled pursuant to Physical Settlement occurs during the Spin-Off Valuation Period for such Spin-Off, then, solely for purposes of determining the Conversion Consideration for such conversion, such Spin-Off Valuation Period will be deemed to consist of the Trading Days occurring in the period from, and including, the Ex-Dividend Date for such Spin-Off to, and including, such Conversion Date.

- 57 -
    


To the extent any dividend or distribution of the type set forth in this Section 5.05(A)(iii)(2) is declared but not made or paid, the Conversion Rate will be readjusted to the Conversion Rate that would then be in effect had the adjustment been made on the basis of only the dividend or distribution, if any, actually made or paid.
(iv)    Cash Dividends or Distributions. If any cash dividend or distribution is made to all or substantially all holders of Common Stock, then the Conversion Rate will be increased based on the following formula:

image5a.jpg

where:
CR0    =    the Conversion Rate in effect immediately before the Open of Business on the Ex-Dividend Date for such dividend or distribution;
CR1    =    the Conversion Rate in effect immediately after the Open of Business on such Ex-Dividend Date;
SP    =    the Last Reported Sale Price per share of Common Stock on the Trading Day immediately before such Ex-Dividend Date; and
D    =    the cash amount distributed per share of Common Stock in such dividend or distribution;
provided, however, that if D is equal to or greater than SP, then, in lieu of the foregoing adjustment to the Conversion Rate, each Holder will receive, for each $1,000 principal amount of Notes held by such Holder on the record date for such dividend or distribution, at the same time and on the same terms as holders of Common Stock, without having to convert its Notes, the amount of cash that such Holder would have received if such Holder had owned, on such record date, a number of shares of Common Stock equal to the Conversion Rate in effect on such record date.
To the extent such dividend or distribution is declared but not made or paid, the Conversion Rate will be readjusted to the Conversion Rate that would then be in effect had the adjustment been made on the basis of only the dividend or distribution, if any, actually made or paid.

- 58 -
    


(v)    Tender Offers or Exchange Offers. If the Company or any of its Subsidiaries makes a payment in respect of a tender offer or exchange offer for shares of Common Stock (other than solely pursuant to an odd-lot tender offer pursuant to Rule 13e-4(h)(5) under the Exchange Act (or any successor rule)), and the value (determined as of the Expiration Time by the Company in good faith) of the cash and other consideration paid per share of Common Stock in such tender or exchange offer exceeds the Last Reported Sale Price per share of Common Stock on the Trading Day immediately after the last date (the “Expiration Date”) on which tenders or exchanges may be made pursuant to such tender or exchange offer (as it may be amended), then the Conversion Rate will be increased based on the following formula:

image6v2a.jpg

where:
CR0    =    the Conversion Rate in effect immediately before the Close of Business on the last Trading Day of the Tender/Exchange Offer Valuation Period for such tender or exchange offer;
CR1    =    the Conversion Rate in effect immediately after the Close of Business on the last Trading Day of the Tender/Exchange Offer Valuation Period;
AC    =    the aggregate value, as of the time such tender or exchange offer expires (the “Expiration Time”), of all cash and other consideration paid for shares of Common Stock purchased or exchanged in such tender or exchange offer (such aggregate value to be determined, other than with respect to cash, by the Company in good faith);
OS0    =    the number of shares of Common Stock outstanding immediately before the Expiration Time (including all shares of Common Stock accepted for purchase or exchange in such tender or exchange offer);
OS1    =    the number of shares of Common Stock outstanding immediately after the Expiration Time (excluding all shares of Common Stock accepted for purchase or exchange in such tender or exchange offer); and
SP    =    the average of the Last Reported Sale Prices per share of Common Stock over the ten (10) consecutive Trading Day period (the “Tender/Exchange Offer Valuation Period”) beginning on, and including, the Trading Day immediately after the Expiration Date;
provided, however, that the Conversion Rate will in no event be adjusted down pursuant to this Section 5.05(A)(v), except to the extent provided in the immediately following paragraph. Notwithstanding anything to the contrary in this Section 5.05(A)(v), (i) if any VWAP Trading Day of the Observation Period for a Note whose conversion will be settled pursuant to Cash Settlement or Combination Settlement occurs during the Tender/Exchange Offer Valuation Period for such tender or exchange offer, then, solely for purposes of determining the Conversion Rate for such VWAP Trading Day for such conversion, such Tender/Exchange Offer Valuation Period will be deemed to consist of the Trading Days occurring in the period from, and including, the Trading Day immediately after the Expiration Date for such tender or exchange offer to, and including, such VWAP Trading Day; and (ii) if the Conversion Date for a Note whose conversion will be settled pursuant to Physical Settlement occurs during the Tender/Exchange Offer Valuation Period for such tender or exchange offer, then, solely for purposes of determining the Conversion Consideration for such conversion, such Tender/Exchange Offer Valuation Period will be deemed to
- 59 -
    


consist of the Trading Days occurring in the period from, and including, the Trading Day immediately after the Expiration Date to, and including, such Conversion Date.
To the extent such tender or exchange offer is announced but not consummated (including as a result of being precluded from consummating such tender or exchange offer under applicable law), or any purchases or exchanges of shares of Common Stock in such tender or exchange offer are rescinded, the Conversion Rate will be readjusted to the Conversion Rate that would then be in effect had the adjustment been made on the basis of only the purchases or exchanges of shares of Common Stock, if any, actually made, and not rescinded, in such tender or exchange offer.
(B)    No Adjustments in Certain Cases.
(i)    Where Holders Participate in the Transaction or Event Without Conversion. Notwithstanding anything to the contrary in Section 5.05(A), the Company will not be obligated to adjust the Conversion Rate on account of a transaction or other event otherwise requiring an adjustment pursuant to Section 5.05(A) (other than a stock split or combination of the type set forth in Section 5.05(A)(i) or a tender or exchange offer of the type set forth in Section 5.05(A)(v)) if each Holder participates, at the same time and on the same terms as holders of Common Stock, and solely by virtue of being a Holder of Notes, in such transaction or event without having to convert such Holder’s Notes and as if such Holder held a number of shares of Common Stock equal to the product of (i) the Conversion Rate in effect on the related record date; and (ii) the aggregate principal amount (expressed in thousands) of Notes held by such Holder on such date.
(ii)    Certain Events. The Company will not be required to adjust the Conversion Rate except as provided in Section 5.05 or Section 5.07. Without limiting the foregoing, the Company will not be obligated to adjust the Conversion Rate on account of:
(1)    except as otherwise provided in Section 5.05, the sale of shares of Common Stock for a purchase price that is less than the market price per share of Common Stock or less than the Conversion Price;
(2)    the issuance of any shares of Common Stock pursuant to any present or future plan providing for the reinvestment of dividends or interest payable on the Company’s securities and the investment of additional optional amounts in shares of Common Stock under any such plan;

- 60 -
    


(3)    the issuance of any shares of Common Stock or options or rights to purchase shares of Common Stock pursuant to any present or future employee, director or consultant benefit plan or program of, or assumed by, the Company or any of its Subsidiaries;
(4)    the issuance of any shares of Common Stock pursuant to any option, warrant, right or convertible or exchangeable security of the Company outstanding as of the Issue Date;
(5)    solely a change in the par value of the Common Stock; or
(6)    accrued and unpaid interest on the Notes.
(C)    Adjustment Deferral. If an adjustment to the Conversion Rate otherwise required by this Article 5 would result in a change of less than one percent (1%) to the Conversion Rate, then, notwithstanding anything to the contrary in this Article 5, the Company may, at its election, defer such adjustment, except that all such deferred adjustments must be given effect immediately upon the earliest of the following: (i) when all such deferred adjustments would result in an aggregate change of at least one percent (1%) to the Conversion Rate; (ii) the Conversion Date of, or any VWAP Trading Day of an Observation Period for, any Note; (iii) the effective date of a Fundamental Change or a Make-Whole Fundamental Change Effective Date; (iv) any Redemption Notice Date; and (v) August 1, 2031.
(D)    Adjustments Not Yet Effective. Notwithstanding anything to the contrary in this Indenture or the Notes, if:
(i)    a Note is to be converted pursuant to Physical Settlement or Combination Settlement;
(ii)    the record date, effective date or Expiration Time for any event that requires an adjustment to the Conversion Rate pursuant to Section 5.05(A) has occurred on or before the Conversion Date for such conversion (in the case of Physical Settlement) or on or before any VWAP Trading Day in the Observation Period for such conversion (in the case of Combination Settlement), but an adjustment to the Conversion Rate for such event has not yet become effective as of such Conversion Date or VWAP Trading Day, as applicable;
(iii)    the Conversion Consideration due upon such conversion (in the case of Physical Settlement) includes any whole shares of Common Stock or due in respect of such VWAP Trading Day (in the case of Combination Settlement) includes any whole or fractional shares of Common Stock; and
(iv)    such shares are not entitled to participate in such event (because they were not held on the related record date or otherwise),
then, solely for purposes of such conversion, the Company will, without duplication, give effect to such adjustment on such Conversion Date (in the case of Physical Settlement) or such VWAP Trading Day (in the case of Combination Settlement). In such case, if the date on which the Company is otherwise required to deliver the consideration due upon such conversion is before the first date on which the amount of such adjustment can be determined, then the Company will delay the settlement of such conversion until the second (2nd) Business Day after such determination date.

- 61 -
    


(E)    Conversion Rate Adjustments where Converting Holders Participate in the Relevant Transaction or Event. Notwithstanding anything to the contrary in this Indenture or the Notes, if:
(i)    a Conversion Rate adjustment for any dividend or distribution becomes effective on any Ex-Dividend Date pursuant to Section 5.05(A);
(ii)    a Note is to be converted pursuant to Physical Settlement or Combination Settlement;
(iii)    the Conversion Date for such conversion (in the case of Physical Settlement) or any VWAP Trading Day in the Observation Period for such conversion (in the case of Combination Settlement) occurs on or after such Ex-Dividend Date and on or before the related record date;
(iv)    the Conversion Consideration due upon such conversion (in the case of Physical Settlement) includes any whole shares of Common Stock or due in respect of such VWAP Trading Day (in the case of Combination Settlement) includes any whole or fractional shares of Common Stock, in each case based on a Conversion Rate that is adjusted for such dividend or distribution; and
(v)    such shares would be entitled to participate in such dividend or distribution (including pursuant to Section 5.02(C)),
then (x) in the case of Physical Settlement, such Conversion Rate adjustment will not be given effect for such conversion and the shares of Common Stock issuable upon such conversion based on such unadjusted Conversion Rate will not be entitled to participate in such dividend or distribution, but there will be added, to the consideration otherwise due upon such conversion, the same kind and amount of consideration that would have been delivered in such dividend or distribution with respect to such shares of Common Stock had such shares been entitled to participate in such dividend or distribution; and (y) in the case of Combination Settlement, the Conversion Rate adjustment relating to such Ex-Dividend Date will be made for such conversion in respect of such VWAP Trading Day, but the shares of Common Stock issuable with respect to such VWAP Trading Day based on such adjusted Conversion Rate will not be entitled to participate in such dividend or distribution.
(F)    Stockholder Rights Plans. If any shares of Common Stock are to be issued upon conversion of any Note and, at the time of such conversion, the Company has in effect any stockholder rights plan, then the Holder of such Note will be entitled to receive, in addition to, and concurrently with the delivery of, the Conversion Consideration otherwise payable under this Indenture upon such conversion, the rights set forth in such stockholder rights plan, unless such rights have separated from the Common Stock at such time, in which case, and only in such case, the Conversion Rate will be adjusted pursuant to Section 5.05(A)(iii)(1) on account of such separation as if, at the time of such separation, the Company had made a distribution of the type referred to in such Section to all holders of the Common Stock, subject to readjustment in accordance with such Section if such rights expire, terminate or are redeemed.

- 62 -
    


(G)    Limitation on Effecting Transactions Resulting in Certain Adjustments. The Company will not engage in or be a party to any transaction or event that would require the Conversion Rate to be adjusted pursuant to Section 5.05(A) or Section 5.07 to an amount that would result in the Conversion Price per share of Common Stock being less than the par value per share of Common Stock.
(H)    Equitable Adjustments to Prices. Whenever any provision of this Indenture requires the Company to calculate the Last Reported Sale Prices, the Daily VWAPs, the Daily Conversion Values, the Daily Cash Amounts or the Daily Share Amounts over a period of multiple days (including over an Observation Period and the period, if any, for determining the Stock Price for purposes of a Make-Whole Fundamental Change), the Company will, acting in good faith and in a commercially reasonable manner, make appropriate adjustments, if any, to each to account for any adjustment to the Conversion Rate that becomes effective, or any event requiring an adjustment to the Conversion Rate where the Ex-Dividend Date, effective date, or Expiration Date of the event occurs, at any time during such period.
(I)    Calculation of Number of Outstanding Shares of Common Stock. For purposes of Section 5.05(A), the number of shares of Common Stock outstanding at any time will (i) include shares issuable in respect of scrip certificates issued in lieu of fractions of shares of Common Stock; and (ii) exclude shares of Common Stock held in the Company’s treasury (unless the Company pays any dividend or makes any distribution on shares of Common Stock held in its treasury).
(J)    Calculations. All calculations with respect to the Conversion Rate and adjustments thereto will be made to the nearest 1/10,000th of a share of Common Stock (with 5/100,000ths rounded upward).
(K)    Notice of Conversion Rate Adjustments. Upon the effectiveness of any adjustment to the Conversion Rate pursuant to Section 5.05(A), the Company will promptly send notice to the Holders, the Trustee and the Conversion Agent containing (i) a brief description of the transaction or other event on account of which such adjustment was made; (ii) the Conversion Rate in effect immediately after such adjustment; and (iii) the effective time of such adjustment.
Section 5.06. Voluntary Adjustments.
(A)    Generally. To the extent permitted by law and applicable stock exchange rules, the Company, from time to time, may (but is not required to) increase the Conversion Rate by any amount if (i) the Board of Directors determines that such increase is either (x) in the best interest of the Company; or (y) advisable to avoid or diminish any income tax imposed on holders of Common Stock or rights to purchase Common Stock as a result of any dividend or distribution of shares (or rights to acquire shares) of Common Stock or any similar event; and (ii) such increase is irrevocably in effect for a period of at least twenty (20) Business Days.
(B)    Notice of Voluntary Increases. If the Board of Directors determines to increase the Conversion Rate pursuant to Section 5.06(A), then, no later than the first Business Day of the related twenty (20) Business Day period referred to in Section 5.06(A), the Company will send notice to each Holder, the Trustee and the Conversion Agent of such increase, the amount thereof and the period during which such increase will be in effect.

- 63 -
    


Section 5.07. Adjustments to the Conversion Rate in Connection with a Make-Whole Fundamental Change.
(A)    Generally. If a Make-Whole Fundamental Change occurs and the Conversion Date for the conversion of a Note occurs during the related Make-Whole Fundamental Change Conversion Period, then, subject to this Section 5.07, the Conversion Rate applicable to such conversion will be increased by a number of shares (the “Additional Shares”) set forth in the table below corresponding (after interpolation as provided in, and subject to, the provisions below) to the Make-Whole Fundamental Change Effective Date and the Stock Price of such Make-Whole Fundamental Change:

Stock Price
Make-Whole Fundamental Change Effective Date
$16.99
$19.50
$20.81
$23.50
$27.06
$30.00
$40.00
$55.00
$85.00
$125.00
$175.00
November 17, 2025
10.81069.07498.35377.14095.92055.13633.35181.93620.72190.17340.0000
November 1, 2026
10.81068.51237.82516.69065.56364.84233.19651.87750.72160.17340.0000
November 1, 2027
10.81067.72317.05676.01065.00704.37072.91931.74640.69560.17340.0000
November 1, 2028
10.81066.75136.05435.09454.24433.71532.51281.53510.64050.17340.0000
November 1, 2029
10.81065.16624.61993.85913.20842.81431.92601.20240.52870.16020.0000
November 1, 2030
10.81063.71692.98512.24941.82741.60431.11000.70750.32910.11200.0000
November 1, 2031
10.81063.23460.00000.00000.00000.00000.00000.00000.00000.00000.0000

If such Make-Whole Fundamental Change Effective Date or Stock Price is not set forth in the table above, then:
(i)    if such Stock Price is between two Stock Prices in the table above or the Make-Whole Fundamental Change Effective Date is between two dates in the table above, then the number of Additional Shares will be determined by straight-line interpolation between the numbers of Additional Shares set forth for the higher and lower Stock Prices in the table above or the earlier and later dates in the table above, based on a 365- or 366-day year, as applicable; and
(ii)    if the Stock Price is greater than $175.00 (subject to adjustment in the same manner as the Stock Prices set forth in the column headings of the table above are adjusted pursuant to Section 5.07(B)), or less than $16.99 (subject to adjustment in the same manner), per share, then no Additional Shares will be added to the Conversion Rate.
Notwithstanding anything to the contrary in this Indenture or the Notes, in no event will the Conversion Rate be increased to an amount that exceeds 58.8581 shares of Common Stock per $1,000 principal amount of Notes, which amount is subject to adjustment in the same manner as, and at the same time and for the same events for which, the Conversion Rate is required to be adjusted pursuant to Section 5.05(A).
For the avoidance of doubt, but subject to Section 4.03(J), (x) the sending of a Redemption Notice will constitute a Make-Whole Fundamental Change only with respect to the Notes called for Redemption pursuant to such Redemption Notice, and not with respect to any other Notes; and (y) the Conversion Rate applicable to the Notes not so called for Redemption will not be subject to increase pursuant to this Section 5.07 on account of such Redemption Notice.
(B)    Adjustment of Stock Prices and Number of Additional Shares. The Stock Prices in the first row (that is, the column headers) of the table set forth in Section 5.07(A) will be adjusted in the same manner as, and at the same time and for the same events for which, the Conversion Price is adjusted as a result of the operation of Section 5.05(A). The numbers of Additional Shares in the table set forth in Section 5.07(A) will be adjusted in the same manner as, and at the same time and for the same events for which, the Conversion Rate is adjusted pursuant to Section 5.05(A).
- 64 -
    


(C)    Notice of the Occurrence of a Make-Whole Fundamental Change. The Company will notify the Holders, the Trustee and the Conversion Agent of each Make-Whole Fundamental Change occurring pursuant to clause (A) of the definition thereof in accordance with Section 5.01(C)(i)(3)(b).
(D)    Settlement of Cash Make-Whole Fundamental Changes. For the avoidance of doubt, if holders of Common Stock receive solely cash in connection with a Common Stock Change Event that also constitutes a Make-Whole Fundamental Change, then, pursuant to Section 5.09, conversions of Notes will thereafter be settled no later than the second (2nd) Business Day after the relevant Conversion Date.
Section 5.08. Exchange in Lieu of Conversion.
Notwithstanding anything to the contrary in this Article 5, and subject to the terms of this Section 5.08, if a Note is submitted for conversion, the Company may elect to arrange to have such Note exchanged in lieu of conversion by a financial institution designated by the Company. To make such election, the Company must send written notice of such election to the Holder of such Note, the Trustee and the Conversion Agent before the Close of Business on the Business Day immediately following the Conversion Date for such Note. If the Company has made such election, then:
(A)    no later than the Business Day immediately following such Conversion Date, the Company must deliver (or cause the Conversion Agent to deliver) such Note, together with delivery instructions for the Conversion Consideration due upon such conversion (including wire instructions, if applicable), to a financial institution designated by the Company that has agreed to pay and/or deliver such Conversion Consideration (or such other amount agreed to by the Holder and the financial institution) in the manner and at the time the Company would have had to pay and/or deliver the same pursuant to this Article 5;
(B)    if such Note is a Global Note, then (i) such designated institution will send written confirmation to the Conversion Agent promptly after wiring the cash Conversion Consideration, if any, and delivering any other Conversion Consideration (or such other consideration agreed to by the Holder and the financial institution), due upon such conversion to the Holder of such Note; and (ii) the Conversion Agent will as soon as reasonably practicable thereafter contact such Holder’s custodian with the Depositary to confirm receipt of the same; and
(C)    such Note will not cease to be outstanding by reason of such exchange in lieu of conversion;
provided, however, that if such financial institution does not accept such Note or fails to timely deliver the Conversion Consideration (or such other amount agreed to by the Holder and the financial institution) as set forth in Section 5.08(A), then the Company will be responsible for delivering the Conversion Consideration in the manner and at the time provided in this Article 5 as if the Company had not elected to make an exchange in lieu of conversion. The Conversion Agent will be entitled to conclusively rely upon the Company’s instruction in connection with effecting such exchange election and will have no liability in respect of such exchange election.

- 65 -
    


Section 5.09. Effect of Common Stock Change Event.
(A)    Generally. If there occurs any:
(i)    recapitalization, reclassification or change of the Common Stock (other than (x) changes solely resulting from a subdivision or combination of the Common Stock, (y) a change only in par value or from par value to no par value or no par value to par value or (z) stock splits and stock combinations that do not involve the issuance of any other series or class of securities);
(ii)    consolidation, merger, combination or binding or statutory share exchange involving the Company;
(iii)    sale, lease or other transfer of all or substantially all of the assets of the Company and its Subsidiaries, taken as a whole, to any Person; or
(iv)    other similar event,
and, as a result of which, the Common Stock is converted into, or is exchanged for, or represents solely the right to receive, other securities, cash or other property, or any combination of the foregoing (such an event, a “Common Stock Change Event,” and such other securities, cash or property, the “Reference Property,” and the amount and kind of Reference Property that a holder of one (1) share of Common Stock would be entitled to receive on account of such Common Stock Change Event (without giving effect to any arrangement not to issue or deliver a fractional portion of any security or other property), a “Reference Property Unit”), then, notwithstanding anything to the contrary in this Indenture or the Notes,
(1)    from and after the effective time of such Common Stock Change Event, (I) the Conversion Consideration due upon conversion of any Note, and the conditions to any such conversion, will be determined in the same manner as if each reference to any number of shares of Common Stock in this Article 5 (or in any related definitions) were instead a reference to the same number of Reference Property Units; (II) for purposes of Section 4.03, each reference to any number of shares of Common Stock in such Section (or in any related definitions) will instead be deemed to be a reference to the same number of Reference Property Units; and (III) for purposes of the definitions of “Fundamental Change” and “Make-Whole Fundamental Change,” references to “Common Stock” and the Company’s “common equity” will be deemed to mean the common equity, if any, forming part of such Reference Property;

- 66 -
    


(2)    if such Reference Property Unit consists entirely of cash, then (I) each conversion of any Note with a Conversion Date that occurs on or after the effective date of such Common Stock Change Event will be settled entirely in cash in an amount, per $1,000 principal amount of such Note being converted, equal to the product of (x) the Conversion Rate in effect on such Conversion Date (including, for the avoidance of doubt, any increase to such Conversion Rate pursuant to Section 5.07, if applicable); and (y) the amount of cash constituting such Reference Property Unit; and (II) the Company will settle each such conversion no later than the second (2nd) Business Day after the relevant Conversion Date; and
(3)    for these purposes, (I) the Daily VWAP of any Reference Property Unit or portion thereof that consists of a class of common equity securities will be determined by reference to the definition of “Daily VWAP,” substituting, if applicable, the Bloomberg page for such class of securities in such definition; and (II) the Daily VWAP of any Reference Property Unit or portion thereof that does not consist of a class of common equity securities, and the Last Reported Sale Price of any Reference Property Unit or portion thereof that does not consist of a class of securities, will be the fair value of such Reference Property Unit or portion thereof, as applicable, determined in good faith by the Company (or, in the case of cash denominated in U.S. dollars, the face amount thereof).
If the Reference Property consists of more than a single type of consideration to be determined based in part upon any form of stockholder election, then the composition of the Reference Property Unit will be deemed to be the weighted average of the types and amounts of consideration actually received, per share of Common Stock, by the holders of Common Stock. The Company will notify Holders, the Trustee and the Conversion Agent (if other than the Trustee) in writing of such weighted average as soon as practicable after such determination is made.
At or before the effective time of such Common Stock Change Event, the Company and the resulting, surviving or transferee Person (if not the Company) of such Common Stock Change Event (the “Successor Person”) will execute and deliver to the Trustee a supplemental indenture pursuant to Section 8.01(F), which supplemental indenture will (x) provide for subsequent conversions of Notes in the manner set forth in this Section 5.09; (y) provide for subsequent adjustments to the Conversion Rate pursuant to Section 5.05(A) in a manner consistent with this Section 5.09; and (z) contain such other provisions, if any, that the Company reasonably determines are appropriate to preserve the economic interests of the Holders and to give effect to the provisions of this Section 5.09(A). If the Reference Property includes shares of stock or other securities or assets (other than cash) of a Person other than the Successor Person, then such other Person will also execute such supplemental indenture and such supplemental indenture will contain such additional provisions, if any, that the Company reasonably determines are appropriate to preserve the economic interests of the Holders.
(B)    Notice of Common Stock Change Events. The Company will provide notice of each Common Stock Change Event to Holders, the Trustee and the Conversion Agent no later than the Business Day after the effective date of such Common Stock Change Event.
(C)    Compliance Covenant. The Company will not become a party to any Common Stock Change Event unless its terms are consistent with this Section 5.09.

- 67 -
    


Article 6    SUCCESSORS
Section 6.01. When the Company May Merge, Etc.
(A)    Generally. The Company will not consolidate with or merge with or into, or (directly, or indirectly through one or more of its Subsidiaries) sell, lease or otherwise transfer, in one transaction or a series of transactions, all or substantially all of the assets of the Company and its Subsidiaries, taken as a whole, to another Person (a “Business Combination Event”), unless:
(i)    the resulting, surviving or transferee Person either (x) is the Company or (y) if not the Company, is a corporation (or, if such Business Combination Event is an Exempted Fundamental Change, is a corporation, limited liability company, limited partnership or other similar entity) (the “Successor Entity”) duly organized and existing under the laws of the United States of America, any State thereof or the District of Columbia that expressly assumes (by executing and delivering to the Trustee, at or before the effective time of such Business Combination Event, a supplemental indenture pursuant to Section 8.01(E)) all of the Company’s obligations under this Indenture and the Notes; and
(ii)    immediately after giving effect to such Business Combination Event, no Default or Event of Default will have occurred and be continuing.
(B)    Delivery of Officer’s Certificate and Opinion of Counsel to the Trustee. Before the effective time of any Business Combination Event, the Company will deliver to the Trustee an Officer’s Certificate and Opinion of Counsel, each stating that (i) such Business Combination Event (and, if applicable, the related supplemental indenture) comply with Section 6.01(A); and (ii) all conditions precedent to such Business Combination Event provided in this Indenture have been satisfied.
Section 6.02. Successor Entity Substituted.
At the effective time of any Business Combination Event that complies with Section 6.01, the Successor Entity (if not the Company) will succeed to, and may exercise every right and power of, the Company under this Indenture and the Notes with the same effect as if such Successor Entity had been named as the Company in this Indenture and the Notes, and, except in the case of a lease, the predecessor Company will be discharged from its obligations under this Indenture and the Notes.

- 68 -
    


Section 6.03. Exclusion for Asset Transfers with Wholly Owned Subsidiaries.
Notwithstanding anything to the contrary in this Article 6, this Article 6 will not apply to any transfer of assets between or among the Company and any one or more of its Wholly Owned Subsidiaries not effected by merger or consolidation.
Article 7    DEFAULTS AND REMEDIES
Section 7.01. Events of Default.
(A)    Definition of Events of Default. “Event of Default” means the occurrence of any of the following:
(i)    a default in the payment when due (whether at maturity, upon Redemption, Repurchase Upon Fundamental Change, Optional Repurchase or otherwise) of the principal of, or the Redemption Price, Fundamental Change Repurchase Price or Optional Repurchase Price for, any Note;
(ii)    a default for thirty (30) consecutive days in the payment when due of interest on any Note;
(iii)    the Company’s failure to deliver, when required by this Indenture, (x) a Fundamental Change Notice, or (y) a notice pursuant to Section 5.01(C)(i)(3), or (z) a notice of a Make-Whole Fundamental Change (other than a Make-Whole Fundamental Change pursuant to clause (B) of the definition thereof) pursuant to the provisions referred to in Section 5.07(C), and, in the case of clause (x) only, such failure is not cured within five (5) days after its occurrence;
(iv)    a default in the Company’s obligation to convert a Note in accordance with Article 5 upon the exercise of the conversion right with respect thereto, if such default is not cured within five (5) days after its occurrence;
(v)    a default in the Company’s obligations under Article 6;
(vi)    a default in any of the Company’s obligations or agreements under this Indenture or the Notes (other than a default set forth in clause (i), (ii), (iii), (iv) or (v) of this Section 7.01(A)) where such default is not cured or waived within sixty (60) days after written notice to the Company by the Trustee, or to the Company and the Trustee by Holders of at least twenty five percent (25%) of the aggregate principal amount of Notes then outstanding, which notice must specify such default, demand that it be remedied and state that such notice is a “Notice of Default”;
(vii)    a default by the Company or any of its Significant Subsidiaries with respect to any one or more mortgages, agreements or other instruments under which there is outstanding, or by which there is secured or evidenced, any indebtedness for money borrowed of at least two hundred million dollars ($200,000,000) (or its foreign currency equivalent) in the aggregate of the Company or any of its Significant Subsidiaries, whether such indebtedness exists as of the Issue Date or is thereafter created, where such default:
(1)    constitutes a failure to pay the principal of such indebtedness when due and payable at its stated maturity, upon required repurchase, upon declaration of acceleration or otherwise, in each case after the expiration of any applicable grace period; or
(2)    results in such indebtedness becoming or being declared due and payable before its stated maturity,
- 69 -
    


in each case where such default is not cured or waived within thirty (30) days after notice to the Company by the Trustee or to the Company and the Trustee by Holders of at least twenty five percent (25%) of the aggregate principal amount of Notes then outstanding;
(viii)    the Company or any of its Significant Subsidiaries, pursuant to or within the meaning of any Bankruptcy Law, either:
(1)    commences a voluntary case or proceeding;
(2)    consents to the entry of an order for relief against it in an involuntary case or proceeding;
(3)    consents to the appointment of a custodian of it or for any substantial part of its property;
(4)    makes a general assignment for the benefit of its creditors;
(5)    takes any comparable action under any foreign Bankruptcy Law; or
(6)    generally is not paying its debts as they become due; or
(ix)    a court of competent jurisdiction enters an order or decree under any Bankruptcy Law that either:
(1)    is for relief against the Company or any of its Significant Subsidiaries in an involuntary case or proceeding;
(2)    appoints a custodian of the Company or any of its Significant Subsidiaries, or for any substantial part of the property of the Company or any of its Significant Subsidiaries;
(3)    orders the winding up or liquidation of the Company or any of its Significant Subsidiaries; or
(4)    grants any similar relief under any foreign Bankruptcy Law,
and, in each case under this Section 7.01(A)(ix), such order or decree remains unstayed and in effect for at least sixty (60) days.
(B)    Cause Irrelevant. Each of the events set forth in Section 7.01(A) will constitute an Event of Default regardless of the cause thereof or whether voluntary or involuntary or effected by operation of law or pursuant to any judgment, decree or order of any court or any order, rule or regulation of any administrative or governmental body.

- 70 -
    


Section 7.02. Acceleration.
(A)    Automatic Acceleration in Certain Circumstances. If an Event of Default set forth in Section 7.01(A)(viii) or 7.01(A)(ix) occurs with respect to the Company (and not solely with respect to a Significant Subsidiary of the Company), then the principal amount of, and all accrued and unpaid interest on, all of the Notes then outstanding will immediately become due and payable without any further action or notice by any Person.
(B)    Optional Acceleration. Subject to Section 7.03, if an Event of Default (other than an Event of Default set forth in Section 7.01(A)(viii) or 7.01(A)(ix) with respect to the Company and not solely with respect to a Significant Subsidiary of the Company) occurs and is continuing, then the Trustee, by notice to the Company, or Holders of at least twenty five percent (25%) of the aggregate principal amount of Notes then outstanding, by notice to the Company and the Trustee, may declare the principal amount of, and all accrued and unpaid interest on, all of the Notes then outstanding to become due and payable immediately.
(C)    Rescission of Acceleration. Notwithstanding anything to the contrary in this Indenture or the Notes, the Holders of a majority in aggregate principal amount of the Notes then outstanding, by notice to the Company and the Trustee, may, on behalf of all Holders, rescind any acceleration of the Notes and its consequences if (i) such rescission would not conflict with any judgment or decree of a court of competent jurisdiction; and (ii) all existing Events of Default (except the non-payment of principal of, or interest on, the Notes that has become due solely because of such acceleration) have been cured or waived. No such rescission will affect any subsequent Default or impair any right consequent thereto.
(D)    Certain Cures. For the avoidance of doubt, any failure by the Company to provide any notice under this Indenture other than as set forth in Section 7.01(A)(iii) shall be subject to Section 7.01(A)(vi) (including the sixty (60) day cure period contained therein), and any related Default or Event of Default shall be deemed cured upon delivery of such notice to the applicable recipient prior to (i) the expiration of such sixty (60) day period provided for in Section 7.01(A)(vi) or (ii) if later, the delivery of a notice of acceleration with respect to such Default or Event of Default, in each case whether or not the events or circumstances that are the subject of such notice have already occurred at the time such notice is given.
Section 7.03. Sole Remedy for a Failure to Report.
(A)    Generally. Notwithstanding anything to the contrary in this Indenture or the Notes, the Company may elect that the sole remedy for any Event of Default (a “Reporting Event of Default”) pursuant to Section 7.01(A)(vi) arising from the Company’s failure to comply with Section 3.02 will, for each of the first three hundred sixty-five (365) calendar days on which a Reporting Event of Default has occurred and is continuing, consist exclusively of the accrual of Special Interest on the Notes. If the Company has made such an election, then (i) the Notes will be subject to acceleration pursuant to Section 7.02 on account of the relevant Reporting Event of Default from, and including, the three hundred sixty-sixth (366th) calendar day on which a Reporting Event of Default has occurred and is continuing or if the Company fails to pay any accrued and unpaid Special Interest when due; and (ii) Special Interest will cease to accrue on any Notes from, and including, such three hundred sixty-sixth (366th) calendar day (it being understood that interest on any defaulted Special Interest will nonetheless accrue pursuant to Section 2.05(B)).
- 71 -
    


(B)    Amount and Payment of Special Interest. Any Special Interest that accrues on a Note pursuant to Section 7.03(A) will be payable on the same dates and in the same manner as the Stated Interest on such Note and will accrue at a rate per annum equal to one quarter of one percent (0.25%) of the principal amount thereof for the first one hundred eighty (180) days on which Special Interest accrues and, thereafter, at a rate per annum equal to one half of one percent (0.50%) of the principal amount thereof; provided, however, that in no event will Special Interest, together with any Additional Interest, accrue on any day on a Note at a combined rate per annum that exceeds one percent (1.00%). For the avoidance of doubt, any Special Interest that accrues on a Note will be in addition to the Stated Interest that accrues on such Note and, subject to the proviso of the immediately preceding sentence, in addition to any Additional Interest that accrues on such Note. If a Reporting Event of Default giving rise to the Company’s obligation to pay Special Interest pursuant to Section 7.03(A) initially occurs on or after the Close of Business on a Regular Record Date and prior to the Open of Business on the corresponding Interest Payment Date, the Special Interest that accrues during such period will be due on the Interest Payment Date next succeeding such corresponding Interest Payment Date, and no interest shall accrue in respect of such delay.
(C)    Notice of Election. To make the election set forth in Section 7.03(A), the Company must send to the Holders, the Trustee and the Paying Agent, before the date on which each Reporting Event of Default first occurs, a written notice that (i) briefly describes the report(s) that the Company failed to file with the SEC; (ii) states that the Company is electing that the sole remedy for such Reporting Event of Default consist of the accrual of Special Interest; and (iii) briefly describes the periods during which and rate at which Special Interest will accrue and the circumstances under which the Notes will be subject to acceleration on account of such Reporting Event of Default.
For the avoidance of doubt, if (x) the Company timely elects to pay Special Interest pursuant to Section 7.03(A) as the sole remedy during the first three hundred sixty-five (365) calendar days after the occurrence of a Reporting Event of Default in accordance with the immediately preceding paragraph, (y) the Company pays such Special Interest in accordance with Section 7.03 and this Indenture and (z) the Company files the delinquent reports that were required to be filed and that gave rise to the relevant Reporting Event of Default (in each case in clause (z) pursuant to the provisions set forth in Section 3.02) prior to the three hundred sixty-sixth (366th) calendar day after the occurrence of such Reporting Event of Default (or prior to the delivery of any related notice of acceleration on or after such three hundred sixty-sixth (366th) calendar day), then the Event of Default related to such Reporting Event of Default shall be deemed cured and the Notes shall not be subject to acceleration as a result of the initial failure to comply with the Company’s obligations as set forth in Section 3.02.
(D)    Notice to Trustee and Paying Agent; Trustee’s Disclaimer. If Special Interest accrues on any Note, then, no later than five (5) Business Days before each date on which such Special Interest is to be paid, the Company will deliver an Officer’s Certificate to the Trustee and the Paying Agent stating (i) that the Company is obligated to pay Special Interest on such Note on such date of payment; and (ii) the amount of such Special Interest that is payable on such date of payment. The Trustee will have no duty to determine whether any Special Interest is payable or the amount thereof.
(E)    No Effect on Other Events of Default. No election pursuant to this Section 7.03 with respect to a Reporting Event of Default will affect the rights of any Holder with respect to any other Event of Default, including with respect to any other Reporting Event of Default.

- 72 -
    


Section 7.04. Other Remedies.
(A)    Trustee May Pursue All Remedies. If an Event of Default occurs and is continuing, then the Trustee may pursue any available remedy to collect the payment of any amounts due with respect to the Notes or to enforce the performance of any provision of this Indenture or the Notes.
(B)    Procedural Matters. The Trustee may maintain a proceeding even if it does not possess any of the Notes or does not produce any of them in such proceeding. A delay or omission by the Trustee or any Holder in exercising any right or remedy following an Event of Default will not impair the right or remedy or constitute a waiver of, or acquiescence in, such Event of Default. All remedies will be cumulative to the extent permitted by law.
Section 7.05. Waiver of Past Defaults.
An Event of Default pursuant to clause (i), (ii), (iv) or (vi) of Section 7.01(A) (that, in the case of clause (vi) only, results from a Default under any covenant that cannot be amended without the consent of each affected Holder), and a Default that could lead to such an Event of Default, can be waived only with the consent of each affected Holder. Each other Default or Event of Default may be waived, on behalf of all Holders, by the Holders of a majority in aggregate principal amount of the Notes then outstanding. If an Event of Default is so waived, then it will cease to exist. If a Default is so waived, then it will be deemed to be cured and any Event of Default arising therefrom will be deemed not to occur. However, no such waiver will extend to any subsequent or other Default or Event of Default or impair any right arising therefrom.
Section 7.06. Control by Majority.
Subject to the last sentence of this paragraph, Holders of a majority in aggregate principal amount of the Notes then outstanding may direct the time, method and place of conducting any proceeding for exercising any remedy available to the Trustee or exercising any trust or power conferred on it. However, the Trustee may refuse to follow any direction that conflicts with law, this Indenture or the Notes, or that the Trustee determines may be unduly prejudicial to the rights of other Holders (it being understood that the Trustee does not have an affirmative duty to determine whether any direction is prejudicial to any Holder) or may involve the Trustee in liability. Prior to taking any action under this Indenture, the Trustee is entitled to security and indemnity satisfactory to the Trustee against any loss, liability or expense to the Trustee that may result from the Trustee’s following such direction.

- 73 -
    


Section 7.07. Limitation on Suits.
No Holder may pursue any remedy with respect to this Indenture or the Notes (except to enforce (x) its rights to receive the principal of, or the Redemption Price, Fundamental Change Repurchase Price or Optional Repurchase Price for, or interest on, any Notes; or (y) the Company’s obligations to convert any Notes pursuant to Article 5), unless:
(A)    such Holder has previously delivered to the Trustee notice that an Event of Default is continuing;
(B)    Holders of at least twenty five percent (25%) in aggregate principal amount of the Notes then outstanding deliver a written request to the Trustee to pursue such remedy;
(C)    such Holder or Holders offer and, if requested, provide to the Trustee security and indemnity satisfactory to the Trustee against any loss, liability or expense to the Trustee that may result from the Trustee’s following such request;
(D)    the Trustee does not comply with such request within sixty (60) calendar days after its receipt of such request and such offer of security or indemnity; and
(E)    during such sixty (60) calendar day period, Holders of a majority in aggregate principal amount of the Notes then outstanding do not deliver to the Trustee a direction that is inconsistent with such request.
A Holder of a Note may not use this Indenture to prejudice the rights of another Holder or to obtain a preference or priority over another Holder. The Trustee will have no duty to determine whether any Holder’s use of this Indenture complies with the preceding sentence.
Section 7.08. Absolute Right of Holders to Institute Suit for the Enforcement of the Right to Receive Payment and Conversion Consideration.
Notwithstanding anything to the contrary in this Indenture or the Notes (but without limiting Section 8.01), the right of each Holder of a Note to bring suit for the enforcement of any payment or delivery, as applicable, of the principal of, or the Redemption Price, Fundamental Change Repurchase Price or Optional Repurchase Price for, or any interest on, or the Conversion Consideration due pursuant to Article 5 upon conversion of, such Note on or after the respective due dates therefor provided in this Indenture and the Notes, will not be impaired or affected without the consent of such Holder.

- 74 -
    


Section 7.09. Collection Suit by Trustee.
The Trustee will have the right, upon the occurrence and continuance of an Event of Default pursuant to clause (i), (ii) or (iv) of Section 7.01(A), to recover judgment in its own name and as trustee of an express trust against the Company for the total unpaid or undelivered principal of, or Redemption Price, Fundamental Change Repurchase Price or Optional Repurchase Price for, or interest on, or Conversion Consideration due pursuant to Article 5 upon conversion of, the Notes, as applicable, and, to the extent lawful, any Default Interest on any Defaulted Amounts, and such further amounts sufficient to cover the costs and expenses of collection, including compensation provided for in Section 10.06.
Section 7.10. Trustee May File Proofs of Claim.
The Trustee has the right to (A) file such proofs of claim and other papers or documents as may be necessary or advisable in order to have the claims of the Trustee and the Holders allowed in any judicial proceedings relative to the Company (or any other obligor upon the Notes) or its creditors or property and (B) collect, receive and distribute any money or other property payable or deliverable on any such claims. Each Holder authorizes any custodian in such proceeding to make such payments to the Trustee, and, if the Trustee consents to the making of such payments directly to the Holders, to pay to the Trustee any amount due to the Trustee for the reasonable compensation, expenses, disbursements and advances of the Trustee, and its agents and counsel, and any other amounts payable to the Trustee pursuant to Section 10.06. To the extent that the payment of any such compensation, expenses, disbursements, advances and other amounts out of the estate in such proceeding, is denied for any reason, payment of the same will be secured by a lien on, and will be paid out of, any and all distributions, dividends, money, securities and other properties that the Holders may be entitled to receive in such proceeding (whether in liquidation or under any plan of reorganization or arrangement or otherwise). Nothing in this Indenture will be deemed to authorize the Trustee to authorize, consent to, accept or adopt on behalf of any Holder any plan of reorganization, arrangement, adjustment or composition affecting the Notes or the rights of any Holder, or to authorize the Trustee to vote in respect of the claim of any Holder in any such proceeding.
Section 7.11. Priorities.
The Trustee will pay or deliver in the following order any money or other property that it collects pursuant to this Article 7:
First:    to the Trustee, the other Note Agents and each of their respective agents and attorneys for amounts due under Section 10.06, including payment of all fees, compensation, expenses and liabilities incurred, and all advances made, by the Trustee and the Note Agents and the costs and expenses of collection;
Second:    to Holders for unpaid amounts or other property due on the Notes, including the principal of, or the Redemption Price, Fundamental Change Repurchase Price or Optional Repurchase Price for, or any interest on, or any Conversion Consideration due upon conversion of, the Notes, ratably, and without preference or priority of any kind, according to such amounts or other property due and payable on all of the Notes; and
Third:    to the Company or such other Person as a court of competent jurisdiction directs.
The Trustee may fix a record date and payment date for any payment or delivery to the Holders pursuant to this Section 7.11, in which case the Trustee will instruct the Company to, and the Company will, deliver, at least fifteen (15) calendar days before such record date, to each Holder and the Trustee a notice stating such record date, such payment date and the amount of such payment or nature of such delivery, as applicable.
- 75 -
    


Section 7.12. Undertaking for Costs.
In any suit for the enforcement of any right or remedy under this Indenture or the Notes or in any suit against the Trustee for any action taken or omitted by it as Trustee, a court, in its discretion, may (A) require the filing by any litigant party in such suit of an undertaking to pay the costs of such suit; and (B) assess reasonable costs (including reasonable attorneys’ fees) against any litigant party in such suit, having due regard to the merits and good faith of the claims or defenses made by such litigant party; provided, however, that this Section 7.12 does not apply to any suit by the Trustee, any suit by a Holder pursuant to Section 7.08 or any suit by one or more Holders of more than ten percent (10%) in aggregate principal amount of the Notes then outstanding.
Article 8    AMENDMENTS, SUPPLEMENTS AND WAIVERS
Section 8.01. Without the Consent of Holders.
Notwithstanding anything to the contrary in Section 8.02, the Company and the Trustee may amend or supplement this Indenture or the Notes without the consent of any Holder to:
(A)    cure any ambiguity or correct any omission, defect or inconsistency in this Indenture or the Notes;
(B)    add guarantees with respect to the Company’s obligations under this Indenture or the Notes;
(C)    secure the Notes;
(D)    add to the Company’s covenants or Events of Default for the benefit of the Holders or surrender any right or power conferred on the Company under this Indenture;
(E)    provide for the assumption of the Company’s obligations under this Indenture and the Notes pursuant to, and in compliance with, Article 6;
(F)    enter into supplemental indentures pursuant to, and in accordance with, Section 5.09 in connection with a Common Stock Change Event;
(G)    irrevocably elect or eliminate any Settlement Method or Specified Dollar Amount; provided, however, that no such election or elimination will affect any Settlement Method theretofore elected (or deemed to be elected) with respect to any Note pursuant to Section 5.03(A);
(H)    evidence or provide for the acceptance of the appointment, under this Indenture, of a successor Trustee;
(I)    conform the provisions of this Indenture and the Notes to the “Description of Notes” section of the Company’s preliminary offering memorandum, dated November 11, 2025, as supplemented by the related pricing term sheet, dated November 11, 2025;
(J)    provide for or confirm the issuance of additional Notes pursuant to Section 2.03(B);
(K)    comply with any requirement of the SEC in connection with any qualification of this Indenture or any supplemental indenture under the Trust Indenture Act, as then in effect; or
(L)    make any other change to this Indenture or the Notes that does not, individually or in the aggregate with all other such changes, adversely affect the rights of the Holders, as such, in any material respect, as determined by the Company in good faith.
- 76 -
    


At the written request of any Holder of a Note or owner of a beneficial interest in a Global Note, the Company will provide a copy of the “Description of Notes” section and pricing term sheet referred to in Section 8.01(I).
Section 8.02. With the Consent of Holders.
(A)    Generally. Subject to Sections 8.01, 7.05 and 7.08 and the immediately following sentence, the Company and the Trustee may, with the consent of the Holders of a majority in aggregate principal amount of the Notes then outstanding, amend or supplement this Indenture or the Notes or waive compliance with any provision of this Indenture or the Notes. Notwithstanding anything to the contrary in the foregoing sentence, but subject to Section 8.01, without the consent of each affected Holder, no amendment or supplement to this Indenture or the Notes, or waiver of any provision of this Indenture or the Notes, may:
(i)    reduce the principal, or extend the stated maturity, of any Note;
(ii)    reduce the Redemption Price, Fundamental Change Repurchase Price or Optional Repurchase Price for any Note or change the times at which, or the circumstances under which, the Notes may or will be redeemed or repurchased by the Company;
(iii)    reduce the rate, or extend the time for the payment, of interest on any Note;
(iv)    make any change that adversely affects the conversion rights of any Note;
(v)    impair the rights of any Holder set forth in Section 7.08 (as such section is in effect on the Issue Date);
(vi)    change the ranking of the Notes;
(vii)    make any Note payable in money, or at a place of payment, other than that stated in this Indenture or the Note;
(viii)    reduce the amount of Notes whose Holders must consent to any amendment, supplement, waiver or other modification; or
(ix)    make any direct or indirect change to any amendment, supplement, waiver or modification provision of this Indenture or the Notes that requires the consent of each affected Holder.
For the avoidance of doubt, pursuant to clauses (i), (ii), (iii) and (iv) of this Section 8.02(A), no amendment or supplement to this Indenture or the Notes, or waiver of any provision of this Indenture or the Notes, may change the amount or type of consideration due on any Note (whether on an Interest Payment Date, Redemption Date, Fundamental Change Repurchase Date, Optional Repurchase Date or the Maturity Date or upon conversion, or otherwise), or the date(s) or time(s) such consideration is payable or deliverable, as applicable, without the consent of each affected Holder.
(B)    Holders Need Not Approve the Particular Form of any Amendment. A consent of any Holder pursuant to this Section 8.02 need approve only the substance, and not necessarily the particular form, of the proposed amendment, supplement or waiver.

- 77 -
    


Section 8.03. Notice of Amendments, Supplements and Waivers.
As soon as reasonably practicable after any amendment, supplement or waiver pursuant to Section 8.01 or 8.02 becomes effective, the Company will send to the Holders and the Trustee notice that (A) describes the substance of such amendment, supplement or waiver in reasonable detail and (B) states the effective date thereof; provided, however, that the Company will not be required to provide such notice to the Holders if such amendment, supplement or waiver is included in a periodic report filed by the Company with the SEC within four (4) Business Days of its effectiveness. The failure to send, or the existence of any defect in, such notice will not impair or affect the validity of such amendment, supplement or waiver.
Section 8.04. Revocation, Effect and Solicitation of Consents; Special Record Dates; Etc.
(A)    Revocation and Effect of Consents. The consent of a Holder of a Note to an amendment, supplement or waiver will bind (and constitute the consent of) each subsequent Holder of any Note to the extent the same evidences any portion of the same indebtedness as the consenting Holder’s Note, subject to the right of any Holder of a Note to revoke (if not prohibited pursuant to Section 8.04(B)) any such consent with respect to such Note by delivering notice of revocation to the Trustee before the time such amendment, supplement or waiver becomes effective.
(B)    Special Record Dates. The Company may, but is not required to, fix a record date for the purpose of determining the Holders entitled to consent or take any other action in connection with any amendment, supplement or waiver pursuant to this Article 8. If a record date is fixed, then, notwithstanding anything to the contrary in Section 8.04(A), only Persons who are Holders as of such record date (or their duly designated proxies) will be entitled to give such consent, to revoke any consent previously given or to take any such action, regardless of whether such Persons continue to be Holders after such record date; provided, however, that no such consent will be valid or effective for more than one hundred and twenty (120) calendar days after such record date.
(C)    Solicitation of Consents. For the avoidance of doubt, each reference in this Indenture or the Notes to the consent of a Holder will be deemed to include any such consent obtained in connection with a repurchase of, or tender or exchange offer for, any Notes.
(D)    Effectiveness and Binding Effect. Each amendment, supplement or waiver pursuant to this Article 8 will become effective in accordance with its terms and, when it becomes effective with respect to any Note (or any portion thereof), will thereafter bind every Holder of such Note (or such portion).

- 78 -
    


Section 8.05. Notations and Exchanges.
If any amendment, supplement or waiver changes the terms of a Note, then the Trustee or the Company may, in its discretion, require the Holder of such Note to deliver such Note to the Trustee so that the Trustee may place an appropriate notation prepared by the Company on such Note and return such Note to such Holder. Alternatively, at its discretion, the Company may, in exchange for such Note, issue, execute and deliver, and the Trustee will authenticate, in each case in accordance with Section 2.02, a new Note that reflects the changed terms. The failure to make any appropriate notation or issue a new Note pursuant to this Section 8.05 will not impair or affect the validity of such amendment, supplement or waiver.
Section 8.06. Trustee to Execute Supplemental Indentures.
The Trustee will execute and deliver any amendment or supplemental indenture authorized pursuant to this Article 8; provided, however, that the Trustee need not (but may, in its sole and absolute discretion) execute or deliver any such amendment or supplemental indenture that adversely affects the Trustee’s rights, duties, liabilities or immunities. In executing any amendment or supplemental indenture, the Trustee will be entitled to receive, and (subject to Sections 10.01 and 10.02) will be fully protected in relying on, an Officer’s Certificate and an Opinion of Counsel stating that (A) the execution and delivery of such amendment or supplemental indenture is authorized or permitted by this Indenture; and (B) in the case of the Opinion of Counsel, such amendment or supplemental indenture is valid, binding and enforceable against the Company in accordance with its terms.

- 79 -
    


Article 9    SATISFACTION AND DISCHARGE
Section 9.01. Termination of Company’s Obligations.
This Indenture will be discharged, and will cease to be of further effect as to all Notes issued under this Indenture, when:
(A)    all Notes then outstanding (other than Notes replaced pursuant to Section 2.12) have (i) been delivered to the Trustee for cancellation; or (ii) become due and payable (whether on a Redemption Date, a Fundamental Change Repurchase Date, an Optional Repurchase Date, the Maturity Date, upon conversion or otherwise) for an amount of cash or Conversion Consideration, as applicable, that has been fixed;
(B)    the Company has caused there to be irrevocably deposited with the Trustee, or with the Paying Agent (or, with respect to Conversion Consideration, the Conversion Agent), in each case for the benefit of the Holders, or has otherwise caused there to be delivered to the Holders, cash (or, with respect to Notes to be converted, Conversion Consideration) sufficient to satisfy all amounts or other property due on all Notes then outstanding (other than Notes replaced pursuant to Section 2.12);
(C)    the Company has paid all other amounts payable by it under this Indenture; and
(D)    the Company has delivered to the Trustee an Officer’s Certificate and an Opinion of Counsel, each stating that the conditions precedent to the discharge of this Indenture have been satisfied;
provided, however, that Section 2.10(E), Article 10 and Section 11.01 will survive such discharge and, until no Notes remain outstanding, Section 2.14 and the obligations of the Trustee, the Paying Agent and the Conversion Agent with respect to money or other property deposited with them will survive such discharge.
At the Company’s request, the Trustee will acknowledge the satisfaction and discharge of this Indenture.
Section 9.02. Repayment to Company.
Subject to applicable unclaimed property law, the Trustee, the Paying Agent and the Conversion Agent will promptly notify the Company if there exists (and, at the Company’s request, promptly deliver to the Company) any cash, Conversion Consideration or other property held by any of them for payment or delivery on the Notes that remain unclaimed two (2) years after the date on which such payment or delivery was due. After such delivery to the Company, the Trustee, the Paying Agent and the Conversion Agent will have no further liability to any Holder with respect to such cash, Conversion Consideration or other property, and Holders entitled to the payment or delivery of such cash, Conversion Consideration or other property must look to the Company for payment as a general creditor of the Company.

- 80 -
    


Section 9.03. Reinstatement.
If the Trustee, the Paying Agent or the Conversion Agent is unable to apply any cash or other property deposited with it pursuant to Section 9.01 because of any legal proceeding or any order or judgment of any court or other governmental authority that enjoins, restrains or otherwise prohibits such application, then the discharge of this Indenture pursuant to Section 9.01 will be rescinded; provided, however, that if the Company thereafter pays or delivers any cash or other property due on the Notes to the Holders thereof, then the Company will be subrogated to the rights of such Holders to receive such cash or other property from the cash or other property, if any, held by the Trustee, the Paying Agent or the Conversion Agent, as applicable.
Article 10    TRUSTEE
Section 10.01. Duties of the Trustee.
(A)    If an Event of Default has occurred and is continuing (and has not been cured) of which a Responsible Officer of the Trustee has written notice or actual knowledge, the Trustee will exercise such of the rights and powers vested in it by this Indenture, and use the same degree of care and skill in its exercise, as a prudent person would exercise or use under the circumstances in the conduct of such person’s own affairs; provided that the Trustee will be under no obligation to exercise any of the rights or powers under this Indenture at the request or direction of any of the Holder unless such Holders have offered, and if requested, provided, to the Trustee indemnity or security satisfactory to Trustee against any loss, liability or expense that might be incurred by it in compliance with such request or direction.
(B)    Except during the continuance of an Event of Default:
(i)    the duties of the Trustee will be determined solely by the express provisions of this Indenture, and the Trustee need perform only those duties that are specifically set forth in this Indenture and no others, and no implied covenants or obligations will be read into this Indenture against the Trustee; and
(ii)    in the absence of bad faith or willful misconduct on its part, the Trustee may conclusively rely, as to the truth of the statements and the correctness of the opinions expressed therein, upon Officer’s Certificates or Opinions of Counsel that are provided to the Trustee and conform to the requirements of this Indenture. However, the Trustee will examine the certificates and opinions to determine whether or not they conform to the requirements of this Indenture (but need not confirm or investigate the accuracy of mathematical calculations or other facts stated therein).
(C)    The Trustee may not be relieved from liabilities for its negligence or willful misconduct as determined by a final non-appealable order of a court of competent jurisdiction, except that:
(i)    this paragraph will not limit the effect of Section 10.01(B);
(ii)    the Trustee will not be liable for any error of judgment made in good faith by a Responsible Officer, unless it is proved that the Trustee was negligent in ascertaining the pertinent facts;
(iii)    the Trustee will not be liable with respect to any action it takes or omits to take in good faith in accordance with a direction received by it pursuant to Section 7.06; and
(iv)    no provision of this Indenture will require the Trustee to expend or risk its own funds or incur any liability in the performance of any of its duties under this Indenture, or in the exercise of any of its rights or powers, if it has reasonable grounds to believe that repayment of such funds or adequate indemnity against such liability is not reasonably assured to it.
- 81 -
    


(D)    Each provision of this Indenture that in any way relates to the Trustee is subject to paragraphs (A), (B) and (C) of this Section 10.01, regardless of whether such provision so expressly provides.
(E)    No provision of this Indenture will require the Trustee to expend or risk its own funds or incur any liability in the performance of any of its duties or in the exercise of any of its rights or powers.
(F)    The Trustee will not be liable for interest on any money received by it, except as the Trustee may agree in writing with the Company. Money held in trust by the Trustee need not be segregated from other funds, except to the extent required by law.
(G)    Whether or not therein provided, every provision of this Indenture relating to the conduct or affecting the liability of, or affording protection to, the Trustee will be subject to the provisions of this Section 10.01.
(H)    The Trustee will not be liable in respect of any payment (as to the correctness of amount, entitlement to receive or any other matters relating to payment) or notice effected by the Company or any Paying Agent (except in its capacity as Paying Agent pursuant to the terms of this Indenture) or any records maintained by any co-Note Registrar with respect to the Notes.
(I)    Under no circumstances will the Trustee be liable in its individual capacity for the obligations evidenced by the Notes.
Section 10.02. Rights of the Trustee.
(A)    The Trustee may conclusively rely on any document that it believes to be genuine and signed or presented by the proper Person, and the Trustee need not investigate any fact or matter stated in such document.
(B)    Before the Trustee acts or refrains from acting, it may require, and may conclusively rely on, an Officer’s Certificate, an Opinion of Counsel or both. The Trustee will not be liable for any action it takes or omits to take in good faith in reliance on such Officer’s Certificate or Opinion of Counsel. The Trustee may consult with counsel; and the written advice of such counsel, or any Opinion of Counsel, will constitute full and complete authorization of the Trustee to take or omit to take any action in good faith in reliance thereon without liability.
(C)    The Trustee may act through its attorneys and agents and will not be responsible for the misconduct or negligence of any such agent appointed with due care.
(D)    The Trustee will not be liable for any action it takes or omits to take in good faith and that it believes to be authorized or within the rights or powers vested in it by this Indenture.
(E)    Unless otherwise specifically provided in this Indenture, any demand, request, direction or notice from the Company will be sufficient if signed by an Officer.
(F)    The Trustee need not exercise any rights or powers vested in it by this Indenture at the request or direction of any Holder unless such Holder has offered, and if requested, provided the Trustee security or indemnity satisfactory to the Trustee against any loss, liability or expense that it may incur in complying with such request or direction.
(G)    The Trustee will not be responsible or liable for any punitive, special, indirect, incidental or consequential loss or damage (including lost profits), even if the Trustee has been advised of the likelihood of such loss or damage and regardless of the form of action.
- 82 -
    


(H)    The Trustee will not be bound to make any investigation into the facts or matters stated in any resolution, certificate, statement, instrument, opinion, report, notice, request, direction, consent, order, bond, debenture, note, other evidence of indebtedness or other paper or document, but the Trustee, in its discretion, may make such further inquiry or investigation into such facts or matters as it may see fit, and the Trustee will incur no liability or additional liability of any kind by reason of such inquiry or investigation.
(I)    The Trustee will not be deemed to have notice of any Default or Event of Default unless written notice of any event that is a Default or Event of Default is received by a Responsible Officer of the Trustee at the corporate trust office of the Trustee, and such notice references the Notes and this Indenture and states that it is a “Notice of Default.”
(J)    If any party fails to deliver a notice relating to an event the fact of which, pursuant to this Indenture, requires notice to be sent to the Trustee, the Trustee may conclusively rely on its failure to receive such notice as reason to act as if no such event occurred.
(K)    The rights, privileges, protections, immunities and benefits given to the Trustee, including its right to be indemnified, are extended to, and will be enforceable by, the Trustee in each of its capacities under this Indenture, including as Note Agent.
(L)    The Trustee may request that the Company deliver a certificate setting forth the names of individuals or titles of officers authorized at such time to take specified actions pursuant to this Indenture.
(M)    The permissive rights of the Trustee enumerated herein will not be construed as duties.
(N)    The Trustee will not be required to give any bond or surety in respect of the execution of the trusts and powers under this Indenture.
(O)    Neither the Trustee nor any Note Agent will have any responsibility or liability for any actions taken or not taken by the Depositary.
(P)    Unless a Responsible Officer of the Trustee has received notice from the Company that Additional Interest is owing on the Notes or that the Company has elected to pay Special Interest on the Notes, the Trustee may assume no Additional Interest or Special Interest, as applicable, is payable.

- 83 -
    


Section 10.03. Individual Rights of the Trustee.
The Trustee, in its individual or any other capacity, may become the owner or pledgee of any Note and may otherwise deal with the Company or any of its Affiliates with the same rights that it would have if it were not Trustee; provided, however, that if the Trustee acquires a “conflicting interest” (within the meaning of Section 310(b) of the Trust Indenture Act), then it must eliminate such conflict within ninety (90) days or resign as Trustee. Each Note Agent will have the same rights and duties as the Trustee under this Section 10.03.
Section 10.04. Trustee’s Disclaimer.
The Trustee will not be (A) responsible for, and makes no representation as to, the validity or adequacy of this Indenture or the Notes; (B) accountable for the Company’s use of the proceeds from the Notes or any money paid to the Company or upon the Company’s direction under any provision of this Indenture; (C) responsible for the use or application of any money received by any Paying Agent other than the Trustee; and (D) responsible for any statement or recital in this Indenture, the Notes or any other document relating to the sale of the Notes or this Indenture, other than the Trustee’s certificate of authentication.
Section 10.05. Notice of Defaults.
If a Default or Event of Default occurs and is continuing and is known to a Responsible Officer of the Trustee, then the Trustee will send Holders a notice of such Default or Event of Default within ninety (90) days after it occurs or, if it is not known to the Trustee at such time, within twenty (20) Business Days after it becomes known to a Responsible Officer; provided, however, that, except in the case of a Default or Event of Default in the payment of the principal of, or interest on, any Note, or a default in the payment or delivery of the Conversion Consideration, the Trustee may withhold such notice if and for so long as it in good faith determines that withholding such notice is in the interests of the Holders. For the avoidance of doubt, the Trustee will not be required to deliver such notice at any time after such Default or Event of Default is cured or waived. The Trustee will not be deemed to have notice or be charged with knowledge of any Default or Event of Default unless (A) written notice thereof has been received by a Responsible Officer; and (B) such notice references the Notes and this Indenture and states on its face that a Default or Event of Default has occurred.

- 84 -
    


Section 10.06. Compensation and Indemnity.
(A)    The Company will, from time to time, pay the Trustee and the Note Agents reasonable compensation for its acceptance of this Indenture and services under this Indenture as the Company shall from time to time agree in writing. The Trustee’s compensation will not be limited by any law on compensation of a trustee of an express trust. In addition to the compensation for the Trustee’s services, the Company will reimburse the Trustee promptly upon request for all reasonable disbursements, advances and expenses incurred or made by it under this Indenture, including the reasonable compensation, disbursements and expenses of the Trustee’s agents and counsel.
(B)    The Company will indemnify the Trustee (in each of its capacities) against any and all losses, liabilities or expenses incurred by it arising out of or in connection with the acceptance or administration of its duties under this Indenture, including the costs and expenses of enforcing this Indenture against the Company (including this Section 10.06) and defending itself against any claim (whether asserted by the Company, any Holder or any other Person) or liability in connection with the exercise or performance of any of its powers or duties under this Indenture, except to the extent any such loss, liability or expense may be attributable to its negligence or willful misconduct, as determined by a final, non-appealable order of a court of competent jurisdiction. The Trustee will promptly notify the Company of any claim for which it may seek indemnity, but the Trustee’s failure to so notify the Company will not relieve the Company of its obligations under this Section 10.06(B), except to the extent the Company is materially prejudiced by such failure. The Company will defend such claim, and the Trustee will cooperate in such defense. If the Trustee is advised by counsel that it may have defenses available to it that are in conflict with the defenses available to the Company, or that there is an actual or potential conflict of interest, then the Trustee may retain separate counsel, and the Company will pay the reasonable fees and expenses of such counsel (including the reasonable fees and expenses of counsel to the Trustee incurred in evaluating whether such a conflict exists). The Company need not pay for any settlement of any such claim made without its consent, which consent will not be unreasonably withheld.
(C)    The obligations of the Company under this Section 10.06 will survive the resignation or removal of the Trustee and the discharge of this Indenture.
(D)    To secure the Company’s payment obligations in this Section 10.06, the Trustee will have a lien prior to the Notes on all money or property held or collected by the Trustee, except that held in trust to pay principal of, or interest on, particular Notes, which lien will survive the discharge of this Indenture.
(E)    If the Trustee incurs expenses or renders services after an Event of Default pursuant to clause (viii) or (ix) of Section 7.01(A) occurs, then such expenses and the compensation for such services (including the fees and expenses of its agents and counsel) are intended to constitute expenses of administration under any Bankruptcy Law.

- 85 -
    


Section 10.07. Replacement of the Trustee.
(A)    Notwithstanding anything to the contrary in this Section 10.07, a resignation or removal of the Trustee, and the appointment of a successor Trustee, will become effective only upon such successor Trustee’s acceptance of appointment as provided in this Section 10.07.
(B)    The Trustee may resign at any time and be discharged from the trust created by this Indenture by so notifying the Company. The Holders of a majority in aggregate principal amount of the Notes then outstanding may remove the Trustee by so notifying the Trustee and the Company in writing. The Company may remove the Trustee if:
(i)    the Trustee fails to comply with Section 10.09;
(ii)    the Trustee is adjudged to be bankrupt or insolvent or an order for relief is entered with respect to the Trustee under any Bankruptcy Law;
(iii)    a custodian or public officer takes charge of the Trustee or its property; or
(iv)    the Trustee becomes incapable of acting.
(C)    If the Trustee resigns or is removed, or if a vacancy exists in the office of the Trustee for any reason, then (i) the Company will promptly appoint a successor Trustee; and (ii) at any time within one (1) year after the successor Trustee takes office, the Holders of a majority in aggregate principal amount of the Notes then outstanding may appoint a successor Trustee to replace such successor Trustee appointed by the Company.
(D)    If a successor Trustee does not take office within sixty (60) days after the retiring Trustee resigns or is removed, then the retiring Trustee, the Company or the Holders of at least ten percent (10%) in aggregate principal amount of the Notes then outstanding may petition any court of competent jurisdiction for the appointment of a successor Trustee.
(E)    If the Trustee, after written request by a Holder of at least six (6) months (or, such lesser period since the Issue Date), fails to comply with Section 10.09, then such Holder may petition any court of competent jurisdiction for the removal of the Trustee and the appointment of a successor Trustee.
(F)    A successor Trustee will deliver a written acceptance of its appointment to the retiring Trustee and to the Company, upon which notice the resignation or removal of the retiring Trustee will become effective and the successor Trustee will have all the rights, powers and duties of the Trustee under this Indenture. The successor Trustee will send notice of its succession to Holders. The retiring Trustee will, upon payment of all amounts due to it under this Indenture, promptly transfer all property held by it as Trustee to the successor Trustee, which property will, for the avoidance of doubt, be subject to the lien provided for in Section 10.06(D).
Section 10.08. Successor Trustee by Merger, Etc.
Any organization or entity into which the Trustee may be merged or converted or with which it may be consolidated, or any organization or entity resulting from any merger, conversion or consolidation to which the Trustee shall be a party, or any organization or entity succeeding to all or substantially all of the corporate trust business of the Trustee, shall be the successor of the Trustee hereunder; provided such organization or entity shall be otherwise qualified and eligible under this Article 10, without the execution or filing of any paper or any further act on the part of any of the parties hereto.

- 86 -
    


Section 10.09. Eligibility; Disqualification.
There will at all times be a Trustee under this Indenture that is a corporation organized and doing business under the laws of the United States of America or of any state thereof, that is authorized under such laws to exercise corporate trustee power, that is subject to supervision or examination by federal or state authorities and that has a combined capital and surplus of at least $100.0 million as set forth in its most recent published annual report of condition.
Article 11    MISCELLANEOUS
Section 11.01. Notices.
Any notice or communication by the Company or the Trustee to the other will be deemed to have been duly given if in writing and delivered in person or by first class mail (registered or certified, return receipt requested), facsimile transmission, electronic transmission or other similar means of unsecured electronic communication or overnight air courier guaranteeing next day delivery, or to the other’s address, which initially is as follows:
If to the Company:
Lucid Group, Inc.
7373 Gateway Blvd
Newark, CA 94560
Attention: Legal Department

with a copy (which will not constitute notice) to:

Skadden, Arps, Slate, Meagher & Flom LLP
525 University Ave
Palo Alto, CA 94301
Attention: Thomas J. Ivey

If to the Trustee:
U.S. Bank Trust Company, National Association
633 W. Fifth Street, 24th Floor
Los Angeles, CA 90071
Facsimile: (213) 615-6197
Attention: B. Scarbrough (Lucid Group)
Notwithstanding anything to the contrary in the preceding paragraph, notices to the Trustee or any Note Agent must be in writing and will be deemed to have been given upon actual receipt by the Trustee or such Note Agent, as applicable.
The Company or the Trustee, by notice to the other, may designate additional or different addresses (including facsimile numbers and electronic addresses) for subsequent notices or communications.

- 87 -
    


All notices and communications (other than those sent to Holders) will be deemed to have been duly given: (A) at the time delivered by hand, if personally delivered; (B) five (5) Business Days after being deposited in the mail, postage prepaid, if mailed; (C) when receipt acknowledged, if transmitted by facsimile, electronic transmission or other similar means of unsecured electronic communication; and (D) the next Business Day after timely delivery to the courier, if sent by overnight air courier guaranteeing next day delivery.
All notices or communications required to be made to a Holder pursuant to this Indenture must be made in writing and will be deemed to be duly sent or given in writing if mailed by first class mail, certified or registered, return receipt requested, or by overnight air courier guaranteeing next day delivery, to its address shown on the Register; provided, however, that a notice or communication to a Holder of a Global Note may, but need not, instead be sent pursuant to the Depositary Procedures (in which case, such notice will be deemed to be duly sent or given in writing). The failure to send a notice or communication to a Holder, or any defect in such notice or communication, will not affect its sufficiency with respect to any other Holder.
If the Trustee is then acting as the Depositary’s custodian for the Notes, then, at the reasonable request of the Company to the Trustee, the Trustee will cause any notice prepared by the Company to be sent to any Holder(s) pursuant to the Depositary Procedures, provided such request is evidenced in a Company Order delivered, together with the text of such notice, to the Trustee at least two (2) Business Days before the date such notice is to be so sent. For the avoidance of doubt, such Company Order need not be accompanied by an Officer’s Certificate or Opinion of Counsel. The Trustee will not have any liability relating to the contents of any notice that it sends to any Holder pursuant to any such Company Order.
If a notice or communication is mailed or sent in the manner provided above within the time prescribed, it will be deemed to have been duly given, whether or not the addressee receives it.
Notwithstanding anything to the contrary in this Indenture or the Notes, (A) whenever any provision of this Indenture requires a party to send notice to another party, no such notice need be sent if the sending party and the recipient are the same Person acting in different capacities; and (B) whenever any provision of this Indenture requires a party to send notice to more than one receiving party, and each receiving party is the same Person acting in different capacities, then only one such notice need be sent to such Person.

- 88 -
    


Section 11.02. Delivery of Officer’s Certificate and Opinion of Counsel as to Conditions Precedent.
Upon any request or application by the Company to the Trustee to take any action under this Indenture (other than the initial authentication of Notes under this Indenture), the Company will furnish to the Trustee:
(A)    an Officer’s Certificate in form reasonably satisfactory to the Trustee that complies with Section 11.03 and states that, in the opinion of the signatory thereto, all conditions precedent and covenants, if any, provided for in this Indenture relating to such action have been satisfied; and
(B)    an Opinion of Counsel in form reasonably satisfactory to the Trustee that complies with Section 11.03 and states that, in the opinion of such counsel, all such conditions precedent and covenants, if any, have been satisfied.
Section 11.03. Statements Required in Officer’s Certificate and Opinion of Counsel.
Each Officer’s Certificate (other than an Officer’s Certificate pursuant to Section 3.05) or Opinion of Counsel with respect to compliance with a covenant or condition provided for in this Indenture will include:
(A)    a statement that the signatory thereto has read such covenant or condition;
(B)    a brief statement as to the nature and scope of the examination or investigation upon which the statements or opinions contained therein are based;
(C)    a statement that, in the opinion of such signatory, he, she or it has made such examination or investigation as is necessary to enable him, her or it to express an informed opinion as to whether or not such covenant or condition has been satisfied; and
(D)    a statement as to whether, in the opinion of such signatory, such covenant or condition has been satisfied.
Section 11.04. Rules by the Trustee, the Registrar, the Paying Agent and the Conversion Agent.
The Trustee may make reasonable rules for action by or at a meeting of Holders. Each of the Registrar, the Paying Agent and the Conversion Agent may make reasonable rules and set reasonable requirements for its functions.
Section 11.05. No Personal Liability of Directors, Officers, Employees and Stockholders.
No past, present or future director, officer, employee, incorporator or stockholder of the Company, as such, will have any liability for any obligations of the Company under this Indenture or the Notes or for any claim based on, in respect of, or by reason of, such obligations or their creation. By accepting any Note, each Holder waives and releases all such liability. Such waiver and release are part of the consideration for the issuance of the Notes.

- 89 -
    


Section 11.06. Governing Law; Waiver of Jury Trial.
THIS INDENTURE AND THE NOTES, AND ANY CLAIM, CONTROVERSY OR DISPUTE ARISING UNDER OR RELATED TO THIS INDENTURE OR THE NOTES, WILL BE GOVERNED BY AND CONSTRUED IN ACCORDANCE WITH THE LAWS OF THE STATE OF NEW YORK. EACH OF THE COMPANY AND THE TRUSTEE IRREVOCABLY WAIVES, TO THE FULLEST EXTENT PERMITTED BY APPLICABLE LAW, ANY AND ALL RIGHT TO TRIAL BY JURY IN ANY LEGAL PROCEEDING ARISING OUT OF OR RELATING TO THIS INDENTURE, THE NOTES OR THE TRANSACTIONS CONTEMPLATED BY THIS INDENTURE OR THE NOTES.
Section 11.07. Submission to Jurisdiction.
Any legal suit, action or proceeding arising out of or based upon this Indenture or the transactions contemplated by this Indenture may be instituted in the federal courts of the United States of America located in The City of New York or the courts of the State of New York, in each case located in The City of New York (collectively, the “Specified Courts”), and each party irrevocably submits to the non-exclusive jurisdiction of such courts in any such suit, action or proceeding. Service of any process, summons, notice or document by mail (to the extent allowed under any applicable statute or rule of court) to such party’s address set forth in Section 11.01 will be effective service of process for any such suit, action or proceeding brought in any such court. Each of the Company, the Trustee and each Holder (by its acceptance of any Note) irrevocably and unconditionally waives any objection to the laying of venue of any suit, action or other proceeding in the Specified Courts and irrevocably and unconditionally waives and agrees not to plead or claim any such suit, action or other proceeding has been brought in an inconvenient forum.
Section 11.08. No Adverse Interpretation of Other Agreements.
Neither this Indenture nor the Notes may be used to interpret any other indenture, note, loan or debt agreement of the Company or its Subsidiaries or of any other Person, and no such indenture, note, loan or debt agreement may be used to interpret this Indenture or the Notes.
Section 11.09. Successors.
All agreements of the Company in this Indenture and the Notes will bind its successors. All agreements of the Trustee in this Indenture will bind its successors.
Section 11.10. Force Majeure.
The Trustee and each Note Agent will not incur any liability for not performing any act or fulfilling any duty, obligation or responsibility under this Indenture or the Notes by reason of any occurrence beyond its control (including any act or provision of any present or future law or regulation or governmental authority, pandemic, act of God or war, civil unrest, local or national disturbance or disaster, act of terrorism or unavailability of the Federal Reserve Bank wire or facsimile or other wire or communication facility).

- 90 -
    


Section 11.11. U.S.A. PATRIOT Act.
The Company acknowledges that, in accordance with Section 326 of the U.S.A. PATRIOT Act, the Trustee, like all financial institutions, in order to help fight the funding of terrorism and money laundering, is required to obtain, verify and record information that identifies each person or legal entity that establishes a relationship or opens an account with the Trustee. The Company agrees to provide the Trustee with such information as it may request to enable the Trustee to comply with the U.S.A. PATRIOT Act.
Section 11.12. Calculations.
Except as otherwise provided in this Indenture, the Company will be responsible for making all calculations called for under this Indenture or the Notes, including determinations of the Last Reported Sale Price, the Daily Conversion Value, the Daily Cash Amount, the Daily Share Amount, the Trading Price of the Notes, the Daily VWAPs, accrued interest on the Notes, the Conversion Rate (including any adjustments to the Conversion Rate) and the Redemption Price.
The Company will make all calculations in good faith, and, absent manifest error, its calculations will be final and binding on all Holders. The Company will provide a schedule of its calculations to the Trustee and the Conversion Agent, and each of the Trustee and the Conversion Agent may rely conclusively on the accuracy of the Company’s calculations without independent verification. The Trustee will promptly forward a copy of each such schedule to a Holder upon its written request therefor.
For the avoidance of doubt, neither the Trustee nor the Conversion Agent will have any responsibility to make or confirm any calculations under this Indenture, nor will the Trustee or the Conversion Agent be charged with knowledge of or have any duties to monitor the Stock Price or any Observation Period. The Trustee and the Conversion Agent may rely conclusively on the calculations and information provided to them by the Company as to the Daily VWAP, the Daily Conversion Values, the Trading Price and the Last Reported Sale Price.
Section 11.13. Severability.
If any provision of this Indenture or the Notes is invalid, illegal or unenforceable, then the validity, legality and enforceability of the remaining provisions of this Indenture or the Notes will not in any way be affected or impaired thereby.
Section 11.14. Counterparts.
The parties may sign any number of copies of this Indenture. Each signed copy will be an original, and all of them together represent the same agreement. Delivery of an executed counterpart of this Indenture by facsimile, electronically in portable document format or in any other format will be effective as delivery of a manually or electronically executed counterpart. All notices, approvals, consents, requests and any communications hereunder must be in writing (provided that any communication sent to Trustee hereunder that is required to be signed must be in the form of a document that is signed manually or by way of a digital signature provided by DocuSign (or such other digital signature provider as specified in writing to Trustee by the authorized representative), in English). The Company agrees to assume all risks arising out of the use of using digital signatures and electronic methods to submit communications to Trustee, including without limitation the risk of Trustee acting on unauthorized instructions, and the risk of interception and misuse by third parties.

- 91 -
    


Section 11.15. Table of Contents, Headings, Etc.
The table of contents and the headings of the Articles and Sections of this Indenture have been inserted for convenience of reference only, are not to be considered a part of this Indenture and will in no way modify or restrict any of the terms or provisions of this Indenture.
Section 11.16. Withholding Taxes.
Each Holder of a Note agrees, and each beneficial owner of an interest in a Global Note, by its acquisition of such interest, is deemed to agree, that if the Company or other applicable withholding agent pays withholding taxes or backup withholding on behalf of such Holder or beneficial owner as a result of an adjustment or the non-occurrence of an adjustment to the Conversion Rate, then the Company or such withholding agent, as applicable, may, at its option, withhold from or set off such payments against payments of cash or the delivery of other Conversion Consideration on such Note, any payments on the Common Stock or sales proceeds received by, or other funds or assets of, such Holder or the beneficial owner of such Note.
[The Remainder of This Page Intentionally Left Blank; Signature Page Follows]

- 92 -
    


IN WITNESS WHEREOF, the parties to this Indenture have caused this Indenture to be duly executed as of the date first written above.

LUCID GROUP, INC.
By:/s/ Taoufiq Boussaid
Name:Taoufiq Boussaid
Title:Chief Financial Officer
U.S. Bank Trust Company, National Association, as Trustee
By:/s/ Bradley E. Scarbrough
Name:Bradley E. Scarbrough
Title:Vice President





[Signature Page to Indenture]
    


EXHIBIT A
FORM OF NOTE
[Insert Global Note Legend, if applicable]
[Insert Restricted Note Legend, if applicable]
[Insert Non-Affiliate Legend]
Lucid Group, Inc.
7.00% Convertible Senior Note due 2031

CUSIP No.:[___]Certificate No. [___]
ISIN No.:[___]


Lucid Group, Inc., a Delaware corporation, for value received, promises to pay to [Cede & Co.], or its registered assigns, the principal sum of [___] dollars ($[___]) [(as revised by the attached Schedule of Exchanges of Interests in the Global Note)]* on November 1, 2031 and to pay interest thereon, as provided in the Indenture referred to below, until the principal and all accrued and unpaid interest are paid or duly provided for.
Interest Payment Dates:
May 1 and November 1 of each year, commencing on [date].
Regular Record Dates:
April 15 and October 15.

Additional provisions of this Note are set forth on the other side of this Note.
[The Remainder of This Page Intentionally Left Blank; Signature Page Follows]

*    Insert bracketed language for Global Notes only.
A-1
    


IN WITNESS WHEREOF, Lucid Group, Inc. has caused this instrument to be duly executed as of the date set forth below.
Lucid Group, Inc.
Date:
By:

Name:

Title:



A-2
    


TRUSTEE’S CERTIFICATE OF AUTHENTICATION
U.S. Bank Trust Company, National Association, as Trustee, certifies that this is one of the Notes referred to in the within-mentioned Indenture.
Lucid Group, Inc.
Date:
By:

Authorized Signatory

A-3
    


Lucid Group, Inc.
7.00% Convertible Senior Note due 2031
This Note is one of a duly authorized issue of notes of Lucid Group, Inc., a Delaware corporation (the “Company”), designated as its 7.00% Convertible Senior Notes due 2031 (the “Notes”), all issued or to be issued pursuant to an indenture, dated as of November 17, 2025 (as the same may be amended from time to time, the “Indenture”), between the Company and U.S. Bank Trust Company, National Association, as trustee. Capitalized terms used in this Note without definition have the respective meanings ascribed to them in the Indenture.
The Indenture sets forth the rights and obligations of the Company, the Trustee and the Holders and the terms of the Notes. Notwithstanding anything to the contrary in this Note, to the extent that any provision of this Note conflicts with the provisions of the Indenture, the provisions of the Indenture will control.
1.    Interest. This Note will accrue interest at a rate and in the manner set forth in Section 2.05 of the Indenture. Stated Interest on this Note will begin to accrue from, and including, [date].
2.    Maturity. This Note will mature on November 1, 2031, unless earlier repurchased, redeemed or converted.
3.    Method of Payment. Cash amounts due on this Note will be paid in the manner set forth in Section 2.04 of the Indenture.
4.    Persons Deemed Owners. The Holder of this Note will be treated as the owner of this Note for all purposes.
5.    Denominations; Transfers and Exchanges. All Notes will be in registered form, without coupons, in principal amounts equal to any Authorized Denominations. Subject to the terms of the Indenture, the Holder of this Note may transfer or exchange this Note by presenting it to the Registrar and delivering any required documentation or other materials.
6.    Right of Holders to Require the Company to Repurchase Notes upon a Fundamental Change. If a Fundamental Change (other than an Exempted Fundamental Change) occurs, then each Holder will have the right to require the Company to repurchase such Holder’s Notes (or any portion thereof in an Authorized Denomination) for cash in the manner, and subject to the terms, set forth in Section 4.02 of the Indenture.
7.    Right of the Company to Redeem the Notes. The Company will have the right to redeem the Notes for cash in the manner, and subject to the terms, set forth in Section 4.03 of the Indenture.
8.    Repurchase of Notes by the Company at Option of Holders. Each Holder has the right, at such Holder’s option, to require the Company to repurchase for cash all of such Holder’s Notes (or any portion thereof in an Authorized Denomination) on the Optional Repurchase Date at a price equal to the Optional Repurchase Price in the manner, and subject to the terms, set forth in Section 4.04 of the Indenture.
9.    Conversion. The Holder of this Note may convert this Note into Conversion Consideration in the manner, and subject to the terms, set forth in Article 5 of the Indenture.
10.    When the Company May Merge, Etc. Article 6 of the Indenture places limited restrictions on the Company’s ability to be a party to a Business Combination Event.
11.    Defaults and Remedies. If an Event of Default occurs, then the principal amount of, and all accrued and unpaid interest on, all of the Notes then outstanding may (and, in certain circumstances, will automatically) become due and payable in the manner, and subject to the terms, set forth in Article 7 of the Indenture.
A-4
    


12.    Amendments, Supplements and Waivers. The Company and the Trustee may amend or supplement the Indenture or the Notes or waive compliance with any provision of the Indenture or the Notes in the manner, and subject to the terms, set forth in Section 7.05 and Article 8 of the Indenture.
13.    No Personal Liability of Directors, Officers, Employees and Stockholders. No past, present or future director, officer, employee, incorporator or stockholder of the Company, as such, will have any liability for any obligations of the Company under the Indenture or the Notes or for any claim based on, in respect of, or by reason of, such obligations or their creation. By accepting any Note, each Holder waives and releases all such liability. Such waiver and release are part of the consideration for the issuance of the Notes.
14.    Authentication. No Note will be valid until it is authenticated by the Trustee. A Note will be deemed to be duly authenticated only when an authorized signatory of the Trustee (or a duly appointed authenticating agent) manually signs the certificate of authentication of such Note.
15.    Abbreviations. Customary abbreviations may be used in the name of a Holder or its assignee, such as TEN COM (tenants in common), TEN ENT (tenants by the entireties), JT TEN (joint tenants with right of survivorship and not as tenants in common), CUST (custodian), and U/G/M/A (Uniform Gift to Minors Act).
16.    Governing Law. THIS NOTE, AND ANY CLAIM, CONTROVERSY OR DISPUTE ARISING UNDER OR RELATED TO THIS NOTE, WILL BE GOVERNED BY AND CONSTRUED IN ACCORDANCE WITH THE LAWS OF THE STATE OF NEW YORK.
* * *
To request a copy of the Indenture, which the Company will provide to any Holder at no charge, please send a written request to the following address:

A-5
    


Lucid Group, Inc.
7373 Gateway Blvd
Newark, CA 94560
Attention: Legal Department

A-6
    


SCHEDULE OF EXCHANGES OF INTERESTS IN THE GLOBAL NOTE*
INITIAL PRINCIPAL AMOUNT OF THIS GLOBAL NOTE: $[___]
The following exchanges, transfers or cancellations of this Global Note have been made:
Date
Amount of Increase (Decrease) in
Principal Amount of this Global Note
Principal Amount of this Global Note
 After Such Increase (Decrease)
Signature of Authorized Signatory of Trustee

































































*    Insert for Global Notes only.
A-7
    


CONVERSION NOTICE
Lucid Group, Inc.
7.00% Convertible Senior Notes due 2031
Subject to the terms of the Indenture, by executing and delivering this Conversion Notice, the undersigned Holder of the Note identified below directs the Company to convert (check one):
    the entire principal amount of
    $                     * aggregate principal amount of
the Note identified by CUSIP No.                      and Certificate No.                     .
The undersigned acknowledges that if the Conversion Date of a Note to be converted is after a Regular Record Date and before the next Interest Payment Date, then such Note, when surrendered for conversion, must, in certain circumstances, be accompanied with an amount of cash equal to the interest that would have accrued on such Note to, but excluding, such Interest Payment Date.
Date:

(Legal Name of Holder)
By:
Name:
Title:
Signature Guaranteed:
Participant in a Recognized Signature
Guarantee Medallion Program
By:
Authorized Signatory


*    Must be an Authorized Denomination.
A-8
    


FUNDAMENTAL CHANGE REPURCHASE NOTICE
Lucid Group, Inc.
7.00% Convertible Senior Notes due 2031
Subject to the terms of the Indenture, by executing and delivering this Fundamental Change Repurchase Notice, the undersigned Holder of the Note identified below is exercising its Fundamental Change Repurchase Right with respect to (check one):
    the entire principal amount of
    $                     * aggregate principal amount of
the Note identified by CUSIP No.                      and Certificate No.                     .
The undersigned acknowledges that this Note, duly endorsed for transfer, must be delivered to the Paying Agent before the Fundamental Change Repurchase Price will be paid.
Date:
(Legal Name of Holder)
By:
Name:
Title:
Signature Guaranteed:
Participant in a Recognized Signature
Guarantee Medallion Program
By:
Authorized Signatory



*    Must be an Authorized Denomination.
A-9
    


OPTIONAL REPURCHASE NOTICE
Lucid Group, Inc.
7.00% Convertible Senior Notes due 2031

To:    U.S. Bank Trust Company, National Association
633 W. Fifth Street, 24th Floor
Los Angeles, CA 90071
Facsimile: (213) 615-6197
Attention: B. Scarbrough (Lucid Group)

The undersigned registered owner of this Note hereby acknowledges receipt of a notice from Lucid Group, Inc. (the “Company”) regarding the right of Holders to elect to require the Company to repurchase their Notes on the Optional Repurchase Date and requests and instructs the Company to repurchase the entire principal amount of this Note, or the portion thereof (that is $1,000 principal amount or an integral multiple thereof) below designated, in accordance with Section 4.04 of the Indenture referred to in this Note, at the Optional Repurchase Price from the registered holder hereof.
In the case of Physical Notes, the certificate numbers of the Notes to be repurchased are as set forth below:
Dated:
Signature(s)
Social Security or Other Taxpayer
Identification Number
Principal amount to be repurchased (if less than all):
$______,000
NOTICE: The above signature(s) of the Holder(s) hereof must correspond with the name as written upon the face of the Note in every particular without alteration or enlargement or any change whatsoever.

A-10



ASSIGNMENT FORM
Lucid Group, Inc.
7.00% Convertible Senior Notes due 2031
Subject to the terms of the Indenture, the undersigned Holder of the within Note assigns to:
Name:
Address:
Social security or tax identification number:
the within Note and all rights thereunder irrevocably appoints:
as agent to transfer the within Note on the books of the Company. The agent may substitute another to act for him/her.
Date:
(Legal Name of Holder)
By:
Name:
Title:
Signature Guaranteed:
Participant in a Recognized Signature
Guarantee Medallion Program
By:
Authorized Signatory





A-11
    


TRANSFEROR ACKNOWLEDGMENT
If the within Note bears a Restricted Note Legend, the undersigned further certifies that (check one):
1.        Such Transfer is being made to the Company or a Subsidiary of the Company.
2.        Such Transfer is being made pursuant to, and in accordance with, a registration statement that is effective under the Securities Act at the time of the Transfer.
3.        Such Transfer is being made pursuant to, and in accordance with, Rule 144A under the Securities Act, and, accordingly, the undersigned further certifies that the within Note is being transferred to a Person that the undersigned reasonably believes is purchasing the within Note for its own account, or for one or more accounts with respect to which such Person exercises sole investment discretion, and such Person and each such account is a person reasonably believed to be a “qualified institutional buyer” within the meaning of Rule 144A under the Securities Act in a transaction meeting the requirements of Rule 144A.
4.        Such Transfer is being made pursuant to, and in accordance with, any other available exemption from the registration requirements of the Securities Act (including, if available, the exemption provided by Rule 144 under the Securities Act).
Dated:
(Legal Name of Holder)
By:
Name:
Title:
Signature Guaranteed:
(Participant in a Recognized Signature
Guarantee Medallion Program)
By:
Authorized Signatory



A-12
    


EXHIBIT B-1
FORM OF RESTRICTED NOTE LEGEND
THE OFFER AND SALE OF THIS NOTE AND THE SHARES OF COMMON STOCK, IF ANY, ISSUABLE UPON CONVERSION OF THIS NOTE HAVE NOT BEEN REGISTERED UNDER THE SECURITIES ACT OF 1933, AS AMENDED (THE “SECURITIES ACT”), AND THIS NOTE MAY NOT BE OFFERED, SOLD OR OTHERWISE TRANSFERRED EXCEPT IN ACCORDANCE WITH THE FOLLOWING SENTENCE. BY ITS ACQUISITION HEREOF OR OF A BENEFICIAL INTEREST HEREIN, THE ACQUIRER:
(1)    REPRESENTS THAT IT AND ANY ACCOUNT FOR WHICH IT IS ACTING IS A “QUALIFIED INSTITUTIONAL BUYER” (WITHIN THE MEANING OF RULE 144A UNDER THE SECURITIES ACT) AND THAT IT EXERCISES SOLE INVESTMENT DISCRETION WITH RESPECT TO EACH SUCH ACCOUNT; AND
(2)    AGREES FOR THE BENEFIT OF THE COMPANY THAT IT WILL NOT OFFER, SELL OR OTHERWISE TRANSFER THIS NOTE OR ANY BENEFICIAL INTEREST HEREIN, EXCEPT ONLY:
(A)    TO THE COMPANY OR ANY SUBSIDIARY THEREOF;
(B)    PURSUANT TO A REGISTRATION STATEMENT THAT HAS BECOME EFFECTIVE UNDER THE SECURITIES ACT;
(C)    TO A QUALIFIED INSTITUTIONAL BUYER IN COMPLIANCE WITH RULE 144A UNDER THE SECURITIES ACT;
(D)    PURSUANT TO RULE 144 UNDER THE SECURITIES ACT; OR
(E)    PURSUANT TO ANY OTHER EXEMPTION FROM, OR IN A TRANSACTION NOT SUBJECT TO, THE REGISTRATION REQUIREMENTS OF THE SECURITIES ACT.
BEFORE THE REGISTRATION OF ANY SALE OR TRANSFER IN ACCORDANCE WITH (2)(D) OR (E) ABOVE, THE COMPANY, THE TRUSTEE AND THE REGISTRAR RESERVE THE RIGHT TO REQUIRE THE DELIVERY OF SUCH CERTIFICATES OR OTHER DOCUMENTATION OR EVIDENCE AS THEY MAY REASONABLY REQUIRE IN ORDER FOR THE COMPANY TO DETERMINE THAT THE PROPOSED SALE OR TRANSFER IS BEING MADE IN COMPLIANCE WITH THE SECURITIES ACT AND APPLICABLE STATE SECURITIES LAWS.

B1-1
    


EXHIBIT B-2
FORM OF GLOBAL NOTE LEGEND
THIS IS A GLOBAL NOTE WITHIN THE MEANING OF THE INDENTURE HEREINAFTER REFERRED TO AND IS REGISTERED IN THE NAME OF THE DEPOSITARY OR A NOMINEE OF THE DEPOSITARY, WHICH MAY BE TREATED BY THE COMPANY, THE TRUSTEE AND ANY AGENT THEREOF AS THE OWNER AND HOLDER OF THIS NOTE FOR ALL PURPOSES.
UNLESS THIS CERTIFICATE IS PRESENTED BY AN AUTHORIZED REPRESENTATIVE OF THE DEPOSITORY TRUST COMPANY (“DTC”) TO THE COMPANY OR ITS AGENT FOR REGISTRATION OF TRANSFER, EXCHANGE OR PAYMENT, AND ANY CERTIFICATE ISSUED IS REGISTERED IN THE NAME OF CEDE & CO. OR IN SUCH OTHER NAME AS IS REQUESTED BY AN AUTHORIZED REPRESENTATIVE OF DTC (AND ANY PAYMENT HEREON IS MADE TO CEDE & CO. OR TO SUCH OTHER ENTITY AS IS REQUESTED BY AN AUTHORIZED REPRESENTATIVE OF DTC), ANY TRANSFER, PLEDGE OR OTHER USE HEREOF FOR VALUE OR OTHERWISE BY OR TO ANY PERSON IS WRONGFUL SINCE THE REGISTERED OWNER HEREOF, CEDE & CO., HAS AN INTEREST HEREIN.
TRANSFERS OF THIS GLOBAL NOTE WILL BE LIMITED TO TRANSFERS IN WHOLE, BUT NOT IN PART, TO NOMINEES OF DTC, OR TO A SUCCESSOR THEREOF OR SUCH SUCCESSOR’S NOMINEE, AND TRANSFERS OF PORTIONS OF THIS GLOBAL NOTE WILL BE LIMITED TO TRANSFERS MADE IN ACCORDANCE WITH THE RESTRICTIONS SET FORTH IN ARTICLE 2 OF THE INDENTURE HEREINAFTER REFERRED TO.

B2-1
    


EXHIBIT B-3
FORM OF NON-AFFILIATE LEGEND
NO AFFILIATE (AS DEFINED IN RULE 144 UNDER THE SECURITIES ACT OF 1933, AS AMENDED) OF THE COMPANY, OR ANY PERSON OR ENTITY THAT WAS AN AFFILIATE (AS DEFINED UNDER RULE 144 UNDER THE SECURITIES ACT OF 1933, AS AMENDED) OF THE COMPANY WITHIN THE THREE MONTHS IMMEDIATELY PRECEDING MAY PURCHASE OR OTHERWISE ACQUIRE THIS NOTE OR ANY BENEFICIAL INTEREST HEREIN.
B3-1