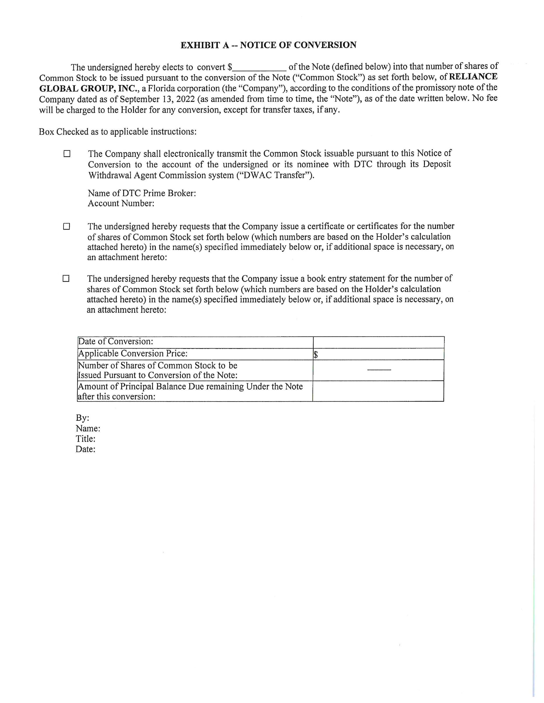
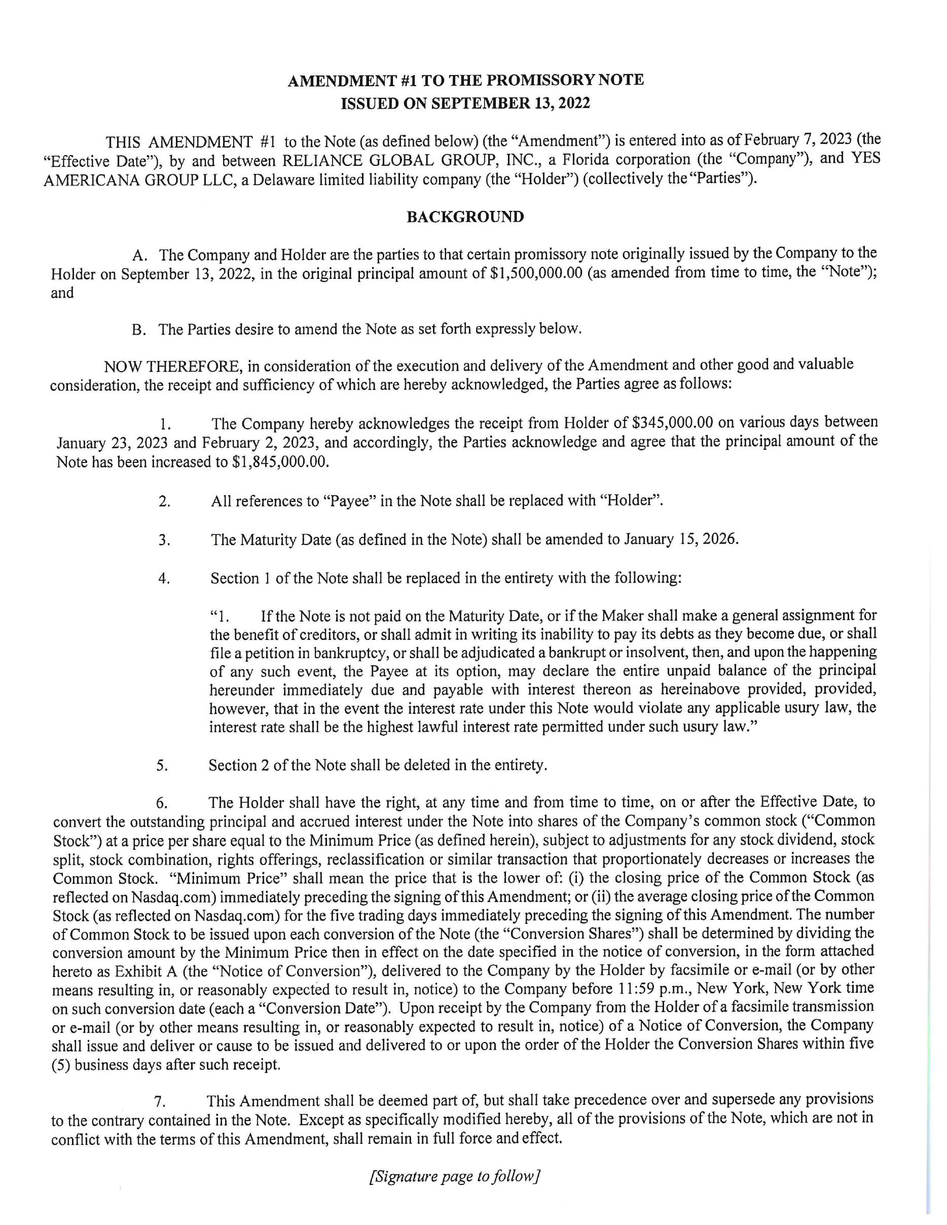
EX-10.1 2 ex10-1.htm

 

Exhibit 10.1