EX-3.1 2 ex3-1.htm

 

Exhibit 3.1

 

 

 

 

 

 

 

 

 

 

 

 

 

 

 

 

 

 

 

 

 

ARTICLES OF AMENDMENT

TO THE ARTICLES OF INCORPORATION

OF

Reliance Global Group, Inc.

 

Pursuant to Section 607.1006 of the Florida Business Corporation Act (the “FBCA”), Reliance Global Group, Inc., a Florida corporation (the “Corporation”), hereby amends (“Articles of Amendment”) its articles of incorporation, as amended (the “Articles of Incorporation”), as follows:

 

  1. Upon the effectiveness of these Articles of Amendment pursuant to the FBCA (the “Effective Time”), each share of the Corporation’s common stock, par value $0.086 per share (the “Common Stock”), shall automatically and without any action on the part of the holder thereof be combined and reclassified such that each seventeen (17) shares of the Common Stock issued and outstanding as of the Effective Time (collectively, the “Pre-Split Common Stock”) shall become one (1) share of Common Stock (i.e., a one-for-seventeen reverse split), with any resulting fractional shares of Common Stock being rounded up to the nearest whole share of Common Stock (the “Reverse Split”). Each certificate that immediately prior to the Effective Time represented shares of Pre-Split Common Stock (“Old Certificates”), shall thereafter represent that number of shares of Common Stock into which the shares of Common Stock represented by the Old Certificate shall have been combined and reclassified as a result of the Reverse Split. The number of authorized shares of Common Stock, and the par value per share of Common Stock, shall not be affected by the Reverse Split.
     
  2. Upon the Effective Time, Article 4, Section 1 of the Articles of Incorporation of the Corporation is amended and restated in its entirety to provide as follows:

 

Section 1. Authorized Shares. The aggregate number of shares which the Corporation shall have authority to issue is a total eight hundred and seven hundred and fifty seven million, eight hundred and sixty seven million, six hundred and forty seven thousand and fifty eight (867,647,058) shares consisting of two classes of stock, to be designated, respectively, “Common Stock” and “Preferred Stock,” with all of such shares having a par value of $.086 per share. The total number of shares of Common Stock that the Corporation shall have authority to issue is one hundred and seventeen million, six hundred and forty seven thousand and fifty eight (117,647,058) shares. The total number of shares of Preferred Stock that the Corporation shall have the authority to issue is seven hundred fifty million (750,000,000) shares. The Preferred Stock may be issued in one or more series, each series to be appropriately designated by a distinguishing letter or title, prior to the issuance of any shares thereof. The voting powers, designations preferences, limitations, restrictions, and relative participating, optional and other rights of the Preferred Stock and the qualifications, limitations, or restrictions relating thereto shall hereinafter be prescribed by resolution or the Board of Directors pursuant to Section 3 of this Article IV.

 

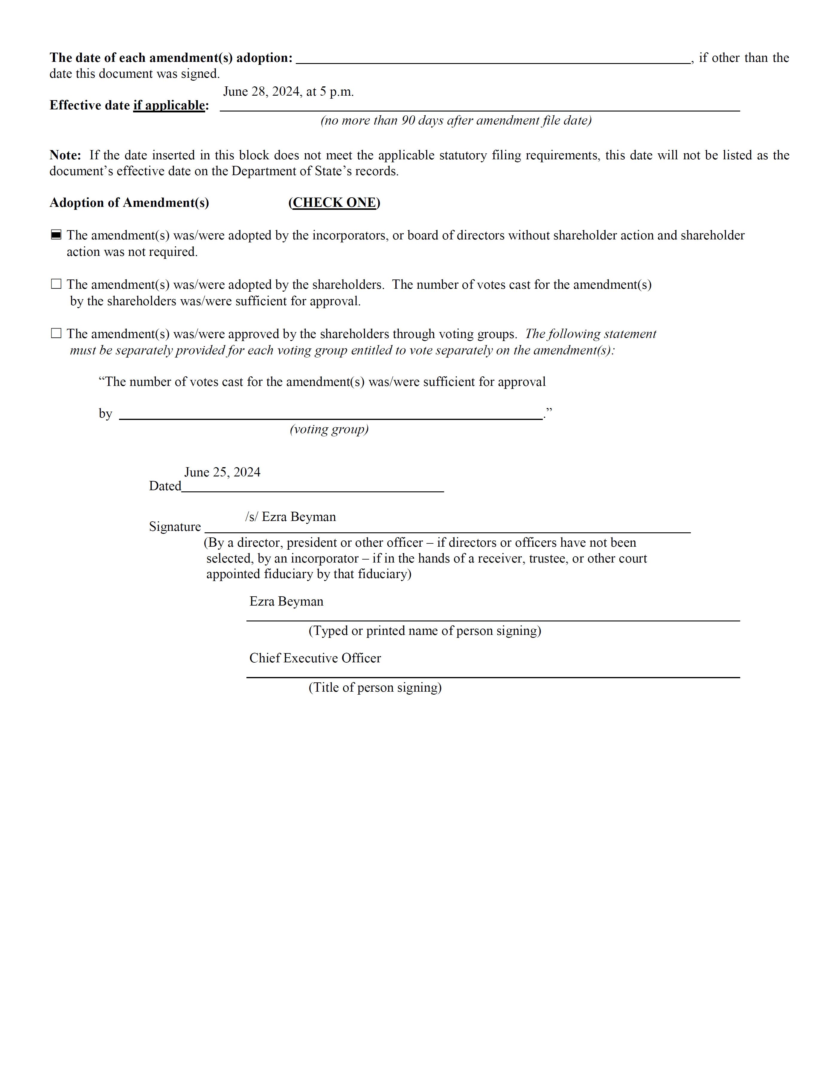
  3. These Articles of Amendment shall become effective as of June 28, 2024 at 5 p.m.
     
  4. These Articles of Amendment were duly adopted in accordance with Section 607.1001 and Section 607.10025 of the FBCA. The Board of Directors of the Corporation duly adopted resolutions setting forth and approving these Articles of Amendment. Pursuant to the provisions of Section 607.10025 of the FBCA, the approval of the shareholders of the Corporation was not required.

 

1

 

 

IN WITNESS WHEREOF, the undersigned has executed these Articles of Amendment to the Articles of Incorporation as of June 25, 2024.

 

  Reliance Global Group, Inc.
     
  By: /s/ Ezra Beyman
  Name: Ezra Beyman
  Title: Chief Executive Officer

 

2