EX-4.3 4 d661343dex43.htm EX-4.3 EX-4.3

Exhibit 4.3

Execution Version

WARRANT AGREEMENT

BETWEEN

CORE SCIENTIFIC, INC.

AND

COMPUTERSHARE TRUST COMPANY, N.A. AND COMPUTERSHARE INC.,

AS WARRANT AGENT

JANUARY 23, 2024


TABLE OF CONTENTS

 

         Page  

SECTION 1.

 

Appointment of Warrant Agent

     2  

SECTION 2.

 

Issuances; Exercise Price

     2  

SECTION 3.

 

Form of Warrants

     2  

SECTION 4.

 

Execution of Global Warrant Certificates

     3  

SECTION 5.

 

Registration and Countersignature

     3  

SECTION 6.

 

Registration of Transfers and Exchanges

     4  

SECTION 7.

 

Duration and Exercise of Warrants

     7  

SECTION 8.

 

Cancellation of Warrants

     12  

SECTION 9.

 

Mutilated or Missing Global Warrant Certificates

     12  

SECTION 10.

 

Reservation of Warrant Shares

     12  

SECTION 11.

 

List

     13  

SECTION 12.

 

Adjustments and Other Rights of Warrants

     13  

SECTION 13.

 

No Fractional Shares

     35  

SECTION 14.

 

Redemption

     35  

SECTION 15.

 

Notices to Warrantholders

     35  

SECTION 16.

 

Merger, Consolidation or Change of Name of Warrant Agent

     36  

SECTION 17.

 

Warrant Agent

     36  

SECTION 18.

 

Change of Warrant Agent

     41  

SECTION 19.

 

Warrantholder Not Deemed a Stockholder

     42  

SECTION 20.

 

Notices to Company and Warrant Agent

     42  

SECTION 21.

 

Withholding and Reporting Requirements

     43  

SECTION 22.

 

Supplements and Amendments

     43  

SECTION 23.

 

Successors

     44  

SECTION 24.

 

Termination

     44  

SECTION 25.

 

Governing Law Venue and Jurisdiction; Trial By Jury

     44  

SECTION 26.

 

Benefits of this Agreement

     45  

SECTION 27.

 

Counterparts

     45  

SECTION 28.

 

Headings

     45  

SECTION 29.

 

Severability

     45  

SECTION 30.

 

Entire Agreement

     45  

SECTION 31.

 

Meaning of Terms Used in Agreement

     46  

 

i


Exhibit A

   -     

Form of Tranche 1 Global Warrant Certificate

Exhibit B

   -     

Form of Tranche 2 Global Warrant Certificate

Exhibit C-1

   -     

Form of Election to Exercise Book-Entry

Exhibit C-2

   -      Form of Election to Exercise Direct Registration Warrants to be Completed by Direct Participant in the Depository Trust Company

Exhibit D

   -     

Form of Assignment

 

ii


WARRANT AGREEMENT

This WARRANT AGREEMENT (this “Agreement”), dated as of January 23, 2024 by and between CORE SCIENTIFIC, INC., a Delaware corporation (the “Company”), and Computershare Inc., a Delaware corporation (“Computershare”) and its affiliate, Computershare Trust Company, N.A., a federally chartered trust company, collectively, as warrant agent (the “Warrant Agent”) (each a “Party” and collectively, the “Parties”).

PRELIMINARY STATEMENTS

WHEREAS, on December 21, 2022, the Company, Core Scientific Mining LLC; Core Scientific Acquired Mining LLC; Core Scientific Operating Company; Radar Relay, Inc.; Core Scientific Specialty Mining (Oklahoma) LLC; American Property Acquisition, LLC; Starboard Capital LLC; RADAR LLC; American Property Acquisitions I, LLC; and American Property Acquisitions VII, LLC (collectively, the “Debtors”) commenced voluntary cases under chapter 11 (“Chapter 11”) of the United States Code (the “Bankruptcy Code”) in the U.S. Bankruptcy Court for the Southern District of Texas, Houston Division (the “Bankruptcy Court”), which cases are being jointly administered before the Bankruptcy Court under the caption In re Core Scientific, Inc., et al., Case No. 22-90341 (CML) (the “Chapter 11 Cases”)

WHEREAS, pursuant to the Fourth Amended Joint Chapter 11 Plan of Reorganization of Core Scientific, Inc. and its Affiliated Debtors (With Technical Modifications) the Debtors filed with the Bankruptcy Court on January 15, 2024 [D.I. 1722], (together with all exhibits, appendices and schedules thereto, and as may be amended, modified or supplemented from time to time, the “Plan”), the Company will issue or cause to be issued, on or as soon as reasonably practicable after the Effective Date of the Plan (as defined in the Plan) (the “Issue Date”) (i) warrants (the “Tranche 1 Warrants”) entitling holders thereof to initially purchase 98,381,418 shares of common stock of the Company, par value $0.00001 per share (the “Common Stock”) at an exercise price equal to $6.81 per share (as adjusted in accordance with this Agreement, the “Tranche 1 Exercise Price”), exercisable from the date hereof until the Tranche 1 Expiration Date (as defined herein), on the terms and subject to the conditions set forth in this Agreement; and (ii) warrants (the “Tranche 2 Warrants” and together with the Tranche 1 Warrants, the “Warrants”) entitling holders thereof to purchase 81,984,644 shares of Common Stock at an exercise price equal to $0.01 per share (the “Tranche 2 Exercise Price” and, together with the Tranche 1 Exercise Price, each an “Exercise Price”), exercisable from the Tranche 2 Exercisability Date (as defined herein) until the Tranche 2 Expiration Date (as defined herein), on the terms and subject to the conditions set forth in this Agreement;

WHEREAS, the Warrants are being issued pursuant to, and on the terms and subject to the conditions set forth in, the Plan in an offering in reliance on the exemption afforded by section 1145 of the Bankruptcy Code from the registration requirements of the Securities Act of 1933, as amended (the “Securities Act”), and of any applicable state securities or “blue sky” laws; and

WHEREAS, the Warrant Agent, at the request of the Company, has agreed to act as the agent of the Company in connection with the issuance, registration, transfer, exchange and exercise of the Warrants.


NOW, THEREFORE, in consideration of the premises and mutual agreements herein set forth, the parties hereto agree as follows:

SECTION 1. Appointment of Warrant Agent. The Company hereby appoints the Warrant Agent to act as agent for the Company in accordance with the express terms and conditions hereinafter set forth in this Agreement (and no implied terms or conditions); and the Warrant Agent hereby accepts such appointment, on the express terms and conditions hereinafter set forth.

SECTION 2. Issuances; Exercise Price. On the terms and subject to the conditions of this Agreement, in accordance with the terms of the Plan, on or as soon as reasonably practicable after the Effective Date, the Company will issue the Warrants in the amounts and to the recipients specified in the Plan. On such date, the Company will deliver, or cause to be delivered, to the Depository (as defined below), one or more global certificates (“Global Warrant Certificates”) evidencing a portion of each of the Tranche 1 Warrants and Tranche 2 Warrants. The remainder of the Warrants shall be issued by book-entry registration on the books of the Warrant Agent (“Book-Entry Warrants”) and shall be evidenced by statements issued by the Warrant Agent from time to time to the registered holder of Book-Entry Warrants reflecting such book-entry position (the “Warrant Statement”). Each Warrant evidenced thereby entitles the holder, upon proper exercise and payment of the applicable Exercise Price, to receive from the Company, as adjusted as provided herein, one fully-paid, non-assessable share of Common Stock. The shares of Common Stock or (as provided pursuant to Section 12 hereof) securities, Cash or other property deliverable upon proper exercise of the Warrants are referred to herein as the “Warrant Shares.”

SECTION 3. Form of Warrants. Subject to Section 6 of this Agreement, the Warrants shall be issued (1) via book-entry registration on the books and records of the Warrant Agent and evidenced by Warrant Statements, in customary form and substance or (2) in the form of one or more global certificates (the “Global Warrant Certificates”), the forms of election to exercise and of assignment to be printed on the reverse thereof, in substantially the form set forth in Exhibit A attached hereto, with respect to the Tranche 1 Warrants, and Exhibit B attached hereto, with respect to the Tranche 2 Warrants. The Global Warrant Certificates of each of the Tranche 1 Warrants and the Tranche 2 Warrants may bear such appropriate insertions, omissions, legends, substitutions and other variations as are required or permitted by this Agreement and may have such letters, numbers or other marks of identification and such legends or endorsements placed thereon as may be required to comply with any law or with any rules made pursuant thereto or with any rules of any securities exchange or as may, consistently herewith, be determined by, in the case of Global Warrant Certificates, the Appropriate Officers (as defined herein) executing such Global Warrant Certificates, as evidenced by their execution of the Global Warrant Certificates.

Any Global Warrant Certificates issued shall be deposited with the Warrant Agent as custodian for The Depository Trust Company (the “Depository”) and registered in the name of Cede & Co., or such other entity designated by the Depository, as the Depository’s nominee. Each Global Warrant Certificate shall represent such number of the outstanding Warrants as specified therein, and each shall provide that it shall represent the aggregate amount of outstanding Warrants from time to time endorsed thereon and that the aggregate amount of outstanding Warrants represented thereby may from time to time be reduced or increased, as appropriate, in accordance with the terms of this Agreement.

 

2


SECTION 4. Execution of Global Warrant Certificates. Global Warrant Certificates shall be signed on behalf of the Company by its Chief Executive Officer, its Chief Financial Officer, its President, its General Counsel, a Vice President, its Secretary, an Assistant Secretary or any other authorized person appointed by the board of directors (the “Board of Directors”) of the Company from time to time (each, an “Appropriate Officer”). Each such signature upon the Global Warrant Certificates may be in the form of a facsimile or electronic signature of any such Appropriate Officer and may be imprinted or otherwise reproduced on the Global Warrant Certificates and for that purpose the Company may adopt and use the facsimile or electronic signature of any Appropriate Officer.

If any Appropriate Officer who shall have signed any of the Global Warrant Certificates shall cease to be an Appropriate Officer before the Global Warrant Certificates so signed shall have been countersigned by the Warrant Agent or disposed of by the Company, such Global Warrant Certificates nevertheless may be countersigned and delivered or disposed of as though such Appropriate Officer had not ceased to be an Appropriate Officer of the Company, and any Global Warrant Certificate may be signed on behalf of the Company by any Person who, at the actual date of the execution of such Global Warrant Certificate, shall be an Appropriate Officer, although at the date of the execution of this Agreement such Person was not an Appropriate Officer. Global Warrant Certificates shall be dated the date of countersignature by the Warrant Agent and shall represent one or more whole Warrants.

SECTION 5. Registration and Countersignature. Upon written order of the Company, the Warrant Agent shall (i) register in the Warrant Register (as defined below) the Book-Entry Warrants as well as any Global Warrant Certificates and exchanges and transfers of outstanding Warrants in accordance with the procedures set forth in this Agreement and (ii) upon receipt of the Global Warrant Certificates duly executed on behalf of the Company, countersign by either manual, facsimile or other electronic signature one or more Global Warrant Certificates evidencing Warrants and shall deliver such Global Warrant Certificates to or upon the written order of the Company. Such written order of the Company shall specifically state the number of Warrants that are to be issued as Book-Entry Warrants and the number of Warrants that are to be issued as a Global Warrant Certificate. A Global Warrant Certificate shall be, and shall remain, subject to the provisions of this Agreement until such time as all of the Warrants evidenced thereby shall have been duly exercised or shall have expired or been canceled in accordance with the terms hereof. Each Person in whose name any Warrant is registered (each such registered holder, a “Warrantholder”) shall be bound by all of the terms and provisions of this Agreement (a copy of which is available on request to the Secretary of the Company) as fully and effectively as if such Warrantholder had signed the same.

No Global Warrant Certificate shall be valid for any purpose, and no Warrant evidenced thereby shall be exercisable, until such Global Warrant Certificate has been countersigned by the manual, facsimile or electronic signature of the Warrant Agent. Such signature by the Warrant Agent upon any Global Warrant Certificate executed by the Company shall be conclusive evidence that such Global Warrant Certificate so countersigned has been duly issued hereunder.

 

3


The Warrant Agent shall keep, at an office designated for such purpose, books (the “Warrant Register”) in which, subject to such reasonable regulations as it may prescribe, it shall register the Book-Entry Warrants as well as any Global Warrant Certificates and exchanges and transfers of outstanding Warrants in accordance with the procedures set forth in Section 6 of this Agreement, all in form reasonably satisfactory to the Company and the Warrant Agent. No service charge shall be made for any exchange or registration of transfer of the Warrants, but the Company may require payment of a sum sufficient to cover any stamp or other tax or other governmental charge that may be imposed on the Warrantholder in connection with any such exchange or registration of transfer. The Warrant Agent shall have no obligation to effect an exchange or register a transfer unless and until any payments required by the immediately preceding sentence have been made.

Prior to due presentment for registration of transfer or exchange of any Warrant in accordance with the procedures set forth in this Agreement, the Warrant Agent and the Company may deem and treat the Warrantholder as the absolute owner of such Warrant (notwithstanding any notation of ownership or other writing made in a Global Warrant Certificate by anyone), for the purpose of any exercise thereof, any distribution to the Warrantholder thereof and for all other purposes, and neither the Warrant Agent nor the Company shall be affected by notice to the contrary.

SECTION 6. Registration of Transfers and Exchanges.

(a) Transfer and Exchange of Global Warrant Certificates or Beneficial Interests Therein. The transfer and exchange of Global Warrant Certificates or beneficial interests therein shall be effected through the Depository, in accordance with this Agreement and the procedures of the Depository therefor.

(b) Exchange of a Beneficial Interest in a Global Warrant Certificate for a Book-Entry Warrant.

(i) Any Warrantholder of a beneficial interest in a Global Warrant Certificate may, upon request, exchange such beneficial interest for a Book-Entry Warrant. Upon receipt by the Warrant Agent from the Depository or its nominee of written instructions or such other form of instructions as is customary for the Depository on behalf of any Person having a beneficial interest in a Global Warrant Certificate, the Warrant Agent shall cause, in accordance with the standing instructions and procedures existing between the Depository and Warrant Agent, the number of Warrants represented by the Global Warrant Certificate to be reduced by the number of Warrants to be represented by the Book-Entry Warrants to be issued in exchange for the beneficial interest of such Person in the Global Warrant Certificate and, following such reduction, the Warrant Agent shall register in the name of the Warrantholder a Book-Entry Warrant and deliver to said Warrantholder a Warrant Statement.

(ii) Book-Entry Warrants issued in exchange for a beneficial interest in a Global Warrant Certificate pursuant to this Section 6(b) shall be registered in such names as the Depository, pursuant to instructions from its direct or indirect participants or otherwise, shall instruct the Warrant Agent. The Warrant Agent shall deliver such Warrant Statements to the Persons in whose names such Warrants are so registered.

 

4


(c) Transfer and Exchange of Book-Entry Warrants. Book-Entry Warrants surrendered for exchange or for registration of transfer pursuant to this Section 6(c) or Section 6(i)(v), shall be cancelled by the Warrant Agent. Such cancelled Book-Entry Warrants shall then be disposed of by or at the direction of the Company in accordance with applicable law. When Book-Entry Warrants are presented to or deposited with the Warrant Agent with a written request:

(i) to register the transfer of the Book-Entry Warrants; or

(ii) to exchange such Book-Entry Warrants for an equal number of Book-Entry Warrants of other authorized denominations;

then in each case the Warrant Agent shall register the transfer or make the exchange as requested if its requirements for such transactions are met; provided, however, that the Warrant Agent has received a written instruction of transfer in a form satisfactory to the Warrant Agent, duly executed by the Warrantholder thereof or by his attorney, duly authorized in writing.

(d) Restrictions on Exchange or Transfer of a Book-Entry Warrant for a Beneficial Interest in a Global Warrant Certificate. A Book-Entry Warrant may not be exchanged for a beneficial interest in a Global Warrant Certificate except upon satisfaction of the requirements set forth below. Upon receipt by the Warrant Agent of appropriate instruments of transfer with respect to a Book-Entry Warrant, in a form satisfactory to the Warrant Agent, together with written instructions directing the Warrant Agent to make, or to direct the Depository to make, an endorsement on the Global Warrant Certificate to reflect an increase in the number of Warrants represented by the Global Warrant Certificate equal to the number of Warrants represented by such Book-Entry Warrant (such instruments of transfer and instructions to be duly executed by the holder thereof or the duly appointed legal representative thereof or by his attorney, duly authorized in writing, such signatures to be guaranteed by an eligible guarantor institution participating in a signature guarantee program approved by a participant in the Securities Transfer Agent Medallion Program, the Stock Exchanges Medallion Program or the New York Stock Exchange, Inc. Medallion Signature Program (a “Signature Guarantee”)), then the Warrant Agent shall cancel such Book-Entry Warrant on the Warrant Register and cause, or direct the Depository to cause, in accordance with the standing instructions and procedures existing between the Depository and the Warrant Agent, the number of Warrants represented by the Global Warrant Certificate to be increased accordingly. If no Global Warrant Certificates are then outstanding, the Company shall issue and the Warrant Agent shall countersign a new Global Warrant Certificate representing the appropriate number of Warrants.

(e) Restrictions on Exchange or Transfer of Global Warrant Certificates. Notwithstanding any other provisions of this Agreement (other than the provisions set forth in Section 6(f)), unless and until it is exchanged in whole for a Book-Entry Warrant, a Global Warrant Certificate may not be transferred as a whole except by the Depository to a nominee of the Depository or by a nominee of the Depository to the Depository or another nominee of the Depository or by the Depository or any such nominee to a successor Depository or a nominee of such successor Depository.

 

5


(f) Book-Entry Warrants. If at any time, the Depository for the Global Warrant Certificates notifies the Company that the Depository is unwilling or unable to continue as Depository for the Global Warrant Certificates and a successor Depository for the Global Warrant Certificates is not appointed by the Company within ninety (90) days after delivery of such notice, then the Warrant Agent, upon written instructions signed by an Appropriate Officer of the Company and all other necessary information, shall register Book-Entry Warrants, in an aggregate number equal to the number of Warrants represented by the Global Warrant Certificates, in exchange for such Global Warrant Certificates, in such names and in such amounts as directed by the Depository or, in the absence of instructions from the Depository, the Company.

(g) Restrictions on Transfers of Warrants. No Warrants shall be sold, exchanged or otherwise transferred in violation of the Securities Act or applicable state securities laws. Each Warrantholder, by its acceptance of any Warrant under this Agreement, acknowledges and agrees that the Warrants (including any Warrant Shares issued upon exercise thereof) were issued pursuant to an exemption from the registration requirement of Section 5 of the Securities Act provided by Section 1145 of the Bankruptcy Code, and to the extent that a Warrantholder is an “underwriter” as defined in Section 1145(b)(1) of the Bankruptcy Code, such Warrantholder may not be able to sell or transfer any Warrant Shares in the absence of an effective registration statement under the Securities Act or an exemption from registration thereunder.

(h) Cancellation of Global Warrant Certificate. At such time as all beneficial interests in Global Warrant Certificates have either been exchanged for Book-Entry Warrants, redeemed, repurchased or cancelled, all Global Warrant Certificates shall be returned to, or retained and cancelled by, the Warrant Agent, upon written instructions from the Company satisfactory to the Warrant Agent.

(i) Obligations with Respect to Transfers and Exchanges of Warrants.

(i) To permit registrations of transfers and exchanges, the Company shall execute Global Warrant Certificates, if applicable, and the Warrant Agent is hereby authorized, in accordance with the provisions of Section 5 and this Section 6, to countersign such Global Warrant Certificates, if applicable, or register Book-Entry Warrants, if applicable, as required pursuant to the provisions of this Section 6 and for the purpose of any distribution of new Global Warrant Certificates contemplated by Section 9 or additional Global Warrant Certificates contemplated by Section 12.

(ii) All Book-Entry Warrants and Global Warrant Certificates issued upon any registration of transfer or exchange of Book-Entry Warrants or Global Warrant Certificates shall be the valid obligations of the Company, entitled to the same benefits under this Agreement as the Book-Entry Warrants or Global Warrant Certificates surrendered upon such registration of transfer or exchange.

(iii) No service charge shall be made to a Warrantholder for any registration, transfer or exchange but the Company may require payment of a sum sufficient to cover any stamp or other tax or other governmental charge that may be imposed on the Warrantholder in connection with any such exchange or registration of transfer. Neither the Company nor the Warrant Agent shall be required to pay any tax or taxes which may be payable in respect of any transfer involved in the issuance of Warrants or any certificates for Warrant Shares in a name other than that of the Warrantholder of the surrendered

 

6


Warrants, and the Company shall not be required to issue or deliver such Warrants or the certificates representing the Warrant Shares unless or until the Person or Persons requesting the issuance thereof shall have paid to the Company the amount of such tax or shall have established to the satisfaction of the Company that such tax has been paid. The Warrant Agent shall have no duty or obligation to deliver such Warrants or the certificates representing such Warrant Shares unless and until it is satisfied that all such taxes and charges have been paid.

(iv) So long as the Depository, or its nominee, is the registered owner of a Global Warrant Certificate, the Depository or such nominee, as the case may be, will be considered the sole owner or Warrantholder of the Warrants represented by such Global Warrant Certificate for all purposes under this Agreement. Except as provided in Sections 6(b) and 6(f) upon the exchange of a beneficial interest in a Global Warrant Certificate for Book-Entry Warrants, owners of beneficial interests in a Global Warrant Certificate will not be entitled to have any Warrants registered in their names, and will under no circumstances be entitled to receive physical delivery of any such Warrants and will not be considered the owners or Warrantholders thereof under the Warrants or this Agreement. Neither the Company nor the Warrant Agent, in its capacity as registrar for such Warrants, will have any responsibility or liability for any aspect of the records relating to beneficial interests in a Global Warrant Certificate or for maintaining, supervising or reviewing any records relating to such beneficial interests. Notwithstanding the foregoing, nothing herein shall prevent the Company, the Warrant Agent or any agent of the Company or the Warrant Agent from giving effect to any written certification, proxy or other authorization furnished by the Depository or impair the operations of customary practices of the Depository governing the exercise of the rights of a holder of a beneficial interest in a Global Warrant Certificate.

(v) Subject to Sections 6(b), 6(c) and 6(d) hereof, and this Section 6(i), the Warrant Agent shall, upon receipt of all information required to be delivered hereunder and any evidence of authority that may be reasonably required by the Warrant Agent, from time to time register the transfer of any outstanding Warrants in the Warrant Register, upon surrender of Global Warrant Certificates, if applicable, representing such Warrants at the Warrant Agent Office (as defined below), duly endorsed, and accompanied by a completed form of assignment substantially in the form of Exhibit D hereto (or with respect to a Book-Entry Warrant, only such completed form of assignment substantially in the form of Exhibit D hereto), duly signed by the Warrantholder thereof or by the duly appointed legal representative thereof or by a duly authorized attorney and accompanied by a Signature Guarantee. Upon any such registration of transfer, a new Global Warrant Certificate or a Warrant Statement, as the case may be, shall be issued to the transferee.

SECTION 7. Duration and Exercise of Warrants.

(a) Subject to the terms of this Agreement, (i) each Tranche 1 Warrant shall be exercisable, in whole or in part, at any time and from time to time beginning after the Issue Date and ending at 5:00 p.m., New York City time, on January 23, 2027 or, if such date is not a Business Day, the next subsequent Business Day (such date, the “Tranche 1 Expiration Date”), and (ii) each Tranche 2 Warrant shall be exercisable, in whole or in part, at any time and from time to time

 

7


beginning on the Tranche 2 Exercisability Date and ending at 5:00 p.m., New York City time on January 23, 2029, or, if such date is not a Business Day, the next subsequent Business Day (such date, the “Tranche 2 Expiration Date”, and together with the Tranche 1 Expiration Date, each an Expiration Date”). The Company shall promptly provide the Warrant Agent written notice of the Tranche 1 Expiration Date and the Tranche 2 Expiration Date, as applicable. After 5:00 p.m., New York City time, on the Tranche 1 Expiration Date or the Tranche 2 Expiration Date, as applicable, the Warrants will become void and of no value, and may not be exercised.

(b) The Tranche 2 Warrants shall become exercisable following the date on which the VWAP of the Company’s shares of Common Stock equals or exceeds $8.72 (such price being subject to adjustment in the same manner as the Tranche 1 Exercise Price pursuant to Section 12(a) hereof; provided that, no such adjustments shall be made pursuant to Section 12(a)(xiv) hereof) on each Trading Day for twenty (20) consecutive Trading Days (the “TEV Triggering Event”), as determined pursuant to this Section 7(b); provided that, such TEV Triggering Event occurs prior to the Tranche 2 Expiration Date. The Company shall, promptly following the occurrence of the TEV Triggering Event, and in any event no later than five (5) Business Days following the TEV Triggering Event, cause notice to be given to the Holder that the Tranche 2 Warrants have become exercisable. In lieu of such notice, the Company may provide public notice regarding the exercisability of the Tranche 2 Warrants by filing or furnishing a Form 8-K to the SEC (if applicable) or publishing a press release. The date of the occurrence of such TEV Triggering Event causing the Tranche 2 Warrants to become exercisable is the “Tranche 2 Exercisability Date.” The Company shall promptly provide notice to the Warrant Agent of the Tranche 2 Exercisability Date.

(c) Subject to the provisions of this Agreement, the Warrantholder may exercise the warrants as follows:

(i) registered holders of Book-Entry Warrants must provide written notice of such election (“Warrant Exercise Notice”) to exercise the Warrant to the Company and the Warrant Agent at the addresses set forth in Section 20 no later than 5:00 p.m., New York City time, on the applicable Expiration Date, which Warrant Exercise Notice shall be substantially in the form set forth in Exhibit C-1 hereto, properly completed and executed by the registered holder of the Book-Entry Warrant and paying (x) the applicable Exercise Price multiplied by the number of Warrant Shares in respect of which any Warrants are being exercised on the date the notice is provided to the Warrant Agent or (y) in the case of a Cashless Exercise of the Tranche 2 Warrants, paying the required consideration in the manner set forth in Section 7(d), in each case, together with any applicable taxes and governmental charges;

(ii) or, with respect to Warrants held through the book-entry facilities of the Depository, (x) a Warrant Exercise Notice to exercise the Warrant must be sent to the Company and the Warrant Agent at the addresses set forth in Section 20 no later than 5:00 p.m., New York City time, on the applicable Expiration Date, which Warrant Exercise Notice shall be substantially in the form set forth in Exhibit C-2 hereto, properly completed and executed by the Warrantholder; provided that such written notice may only be submitted with respect to Warrants held through the book-entry facilities of the Depository, by or through Persons that are direct participants in the Depository; (y) such Warrants shall

 

8


be delivered no later than 5:00 p.m., New York City time, on the Settlement Date, to the Warrant Agent by book-entry transfer through the facilities of the Depository, if such Warrants are represented by a Global Warrant Certificate; and (z) a payment must be made, of (A) the applicable Exercise Price multiplied by the number of Warrant Shares in respect of which any Warrants are being exercised or (B) in the case of a Cashless Exercise of the Tranche 2 Warrants, the required consideration in the manner set forth in Section 7(d), in each case, together with any applicable taxes and governmental charges.

(iii) The date that is two (2) Business Days after a Warrant Exercise Notice is timely and properly delivered is referred to for all purposes under this Agreement as the “Settlement Date.”

To the extent a Warrant Exercise Notice (as defined below) is delivered in respect of a Warrant no later than 5:00 p.m., New York City time, on the applicable Expiration Date, but the other deliveries and payments specified in clause (i) and (ii) above are effected thereafter but no later than 5:00 p.m., New York City time, on the Business Day immediately preceding the Settlement Date, the Warrants shall nonetheless be deemed exercised prior to the applicable Expiration Date for the purposes of this Agreement.

(d) The aggregate Exercise Price shall be payable in lawful money of the United States of America either by certified or official bank check payable to the order of the Company or by wire transfer of immediately available funds or otherwise as agreed with the Company.

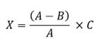
(e) In the case of the Tranche 2 Warrants, following the Tranche 2 Exercisability Date, in lieu of paying the aggregate Tranche 2 Exercise Price as set forth in Section 7(d), provided the Common Stock is listed or admitted for trading on a national securities exchange or an over-the-counter market or comparable system, subject to the provisions of this Agreement, each Tranche 2 Warrant shall entitle the Warrantholder, at the election of such Warrantholder, to exercise the Tranche 2 Warrant by authorizing the Company to withhold from issuance a number of Warrant Shares issuable upon exercise of all Tranche 2 Warrants being exercised by such Warrantholder at such time which, when multiplied by the Current Market Price of the Warrant Shares, is equal to the aggregate Tranche 2 Exercise Price, and such withheld Warrant Shares shall no longer be issuable under such Warrants (a “Cashless Exercise”). The formula for determining the number of Warrant Shares to be issued in a Cashless Exercise is as follows:

 

LOGO

Where:

 

  X =

the number of Warrant Shares issuable upon exercise pursuant to this Section 7(e).

  A =

the Current Market Price of a Warrant Share on the Business Day immediately preceding the date on which the Warrantholder delivers the Warrant Exercise Notice.

  B =

the Tranche 2 Exercise Price.

  C =

the number of Warrant Shares as to which a Warrant is then being exercised including the withheld Warrant Shares.

 

9


If the foregoing calculation results in a negative number, then no Warrant Shares shall be issuable via a Cashless Exercise. The number of Warrant Shares to be issued on such exercise will be determined by the Company (with written notice thereof to the Warrant Agent) using the formula set forth in this Section 7(e). The Warrant Agent shall have no duty or obligation to investigate or confirm whether the Company’s determination of the number of Warrant Shares to be issued on such exercise, pursuant to this Section 7(e), is accurate or correct.

Notwithstanding the foregoing, no Cashless Exercise shall be permitted if, as the result of any adjustment made pursuant to Section 12, at the time of such Cashless Exercise, Warrant Shares include a Cash component and the Company would be required to pay Cash to a Warrantholder upon an exercise of Warrants.

(f) Any exercise of a Warrant pursuant to the terms of this Agreement shall be irrevocable and shall constitute a binding agreement between the Warrantholder and the Company, enforceable in accordance with its terms.

(g) The Warrant Agent shall:

(i) examine all Warrant Exercise Notices and all other documents delivered to it by or on behalf of the Warrantholders as contemplated hereunder to ascertain whether or not, on their face, such Warrant Exercise Notices and any such other documents have been executed and completed in accordance with their terms and the terms hereof;

(ii) where a Warrant Exercise Notice or other document appears on its face to have been improperly completed or executed or some other irregularity in connection with the exercise of the Warrants exists, the Warrant Agent shall endeavor to inform the appropriate parties (including the Person submitting such instrument) of the need for fulfillment of all requirements, specifying those requirements which appear to be unfulfilled;

(iii) inform the Company of and cooperate with and assist the Company in resolving any discrepancies between Warrant Exercise Notices received and delivery of Warrants to the Warrant Agent’s account;

(iv) advise the Company no later than three (3) Business Days after receipt of a Warrant Exercise Notice, of (i) the receipt of such Warrant Exercise Notice and the number of Warrants exercised in accordance with the terms and conditions of this Agreement, (ii) the instructions with respect to delivery of the shares of Common Stock of the Company deliverable upon such exercise, subject to timely receipt from the Depository of the necessary information, and (iii) such other information as the Company shall reasonably require; and

(v) subject to Common Stock being made available to the Warrant Agent by or on behalf of the Company for delivery to the Depository, liaise with the Depository and endeavor to effect such delivery to the relevant accounts at the Depository in accordance with its requirements.

 

10


(h) All questions as to the validity, form and sufficiency (including time of receipt) of a Warrant Exercise Notice will be determined by the Company (acting in good faith). The Warrant Agent shall incur no liability for or in respect of such determination by the Company. The Company reserves the right to reject any and all Warrant Exercise Notices not in proper form or for which any corresponding agreement by the Company to exchange would, in the opinion of the Company, be unlawful. Such determination by the Company (acting in good faith) shall be final and binding on the Warrantholders, absent manifest error. The Company reserves the absolute right to waive any of the conditions to the exercise of Warrants or defects in Warrant Exercise Notices with regard to any particular exercise of Warrants. Neither the Company nor the Warrant Agent shall be under any duty to give notice to the Warrantholders of the Warrants of any irregularities in any exercise of Warrants, nor shall it incur any liability for the failure to give such notice.

(i) As soon as practicable after the exercise of any Warrant as set forth in Section 7(f), the Company shall issue, or otherwise deliver, or cause to be issued or delivered, in authorized denominations to or upon the order of the Warrantholder of the Warrants, either:

(i) if such Warrantholder holds the Warrants being exercised through the Depository’s book-entry transfer facilities, by same-day or next-day credit to the Depository for the account of such Warrantholder or for the account of a participant in the Depository the number of Warrant Shares to which such Warrantholder is entitled, in each case registered in such name and delivered to such account as directed in the Warrant Exercise Notice by such Warrantholder or by the direct participant in the Depository through which such Warrantholder is acting, or

(ii) if such Warrantholder holds the Warrants being exercised in the form of Book-Entry Warrants, a book-entry interest in the Warrant Shares registered on the books of the Company’s transfer agent or, at the Company’s option, by delivery to the address designated by such Warrantholder in its Warrant Exercise Notice of a physical certificate representing the number of Warrant Shares to which such Warrantholder is entitled, in fully registered form, registered in such name or names as may be directed by such Warrantholder. Such Warrant Shares shall be deemed to have been issued and any Person so designated to be named therein shall be deemed to have become a Warrantholder as of the Close of Business on the date of the delivery thereof.

If less than all of the Warrants evidenced by a Global Warrant Certificate surrendered upon the exercise of Warrants are exercised at any time prior to the date of expiration for the Warrants, a new Global Warrant Certificate or Certificates shall be issued for the remaining number of Warrants evidenced by the Global Warrant Certificate so surrendered, and the Warrant Agent is hereby authorized to countersign the required new Global Warrant Certificate or Certificates pursuant to the provisions of Section 5, Section 6 and this Section 7. The Person in whose name any certificate or certificates for the Warrant Shares are to be issued (or such Warrant Shares are to be registered, in the case of a book-entry transfer) upon exercise of a Warrant shall be deemed to have become the Warrantholder of such Warrant Shares on the date such Warrant Exercise Notice is delivered.

 

11


SECTION 8. Cancellation of Warrants. Upon the Tranche 1 Expiration Date or Tranche 2 Expiration Date, as applicable (if not already properly exercised), or if the Company shall purchase or otherwise acquire such Warrants, the Global Warrant Certificates and the Book-Entry Warrants representing such Warrants shall thereupon be delivered to the Warrant Agent, if applicable, and be cancelled by it and retired. The Warrant Agent shall cancel all Global Warrant Certificates surrendered for exchange, substitution, transfer or exercise in whole or in part. Such cancelled Global Warrant Certificates shall thereafter be disposed of in a manner satisfactory to the Company provided in writing to the Warrant Agent, subject to any applicable law, rule or regulation requiring the Warrant Agent to retain such cancelled certificates. The Warrant Agent shall (x) advise an authorized representative of the Company as directed by the Company by the end of each day or on the next Business Day following each day on which Warrants were exercised, of (i) the number of shares of Common Stock issued upon exercise of a Warrant, (ii) the delivery of Global Warrant Certificates evidencing the balance, if any, of the shares of Common Stock issuable after such exercise of the Warrant and (iii) such other information as the Company shall reasonably require and (y) forward funds received for warrant exercises in a given month by the fifth (5th) Business Day of the following month by wire transfer to an account designated by the Company. The Warrant Agent promptly shall confirm such information to the Company in writing. The Warrant Agent shall keep copies of this Agreement and any notices given or received hereunder.

SECTION 9. Mutilated or Missing Global Warrant Certificates. If any of the Global Warrant Certificates shall be mutilated, lost, stolen or destroyed, the Company shall issue, and the Warrant Agent shall countersign by either manual, electronic or facsimile signature and deliver, in exchange and substitution for and upon cancellation of the mutilated Global Warrant Certificate, or in lieu of and substitution for the Global Warrant Certificate lost, stolen or destroyed, a new Global Warrant Certificate of like tenor and representing an equivalent number of Warrants, but only (i) upon receipt of evidence reasonably satisfactory to the Company and the Warrant Agent of the loss, theft or destruction of such Global Warrant Certificate; (ii) upon receipt of an open penalty surety bond and holding the Warrant Agent and Company harmless, if requested by either the Company or the Warrant Agent, also satisfactory to them; and (iii) absent notice to the Warrant Agent that such certificates have been acquired by a bona fide purchaser. Applicants for such substitute Global Warrant Certificates shall also comply with such other reasonable regulations and pay such other reasonable charges as the Company or the Warrant Agent may prescribe and as required by Section 8-405 of the Uniform Commercial Code as in effect in the State of New York.

SECTION 10. Reservation of Warrant Shares. For the purpose of enabling it to satisfy any obligation to issue Warrant Shares upon exercise of Warrants, the Company will, at all times through the Tranche 1 Expiration Date and the Tranche 2 Expiration Date, as applicable (or, through 5:00 p.m., New York City time, on the Settlement Date with respect to any Warrant Exercise Notice delivered prior to 5:00 p.m., New York City time, on the Tranche 1 Expiration Date and the Tranche 2 Expiration Date, as applicable), reserve and keep available, free from preemptive rights and out of its aggregate authorized but unissued or treasury shares of Common Stock, shares of Common Stock equal to the number of Warrant Shares deliverable upon the exercise of all outstanding Warrants (as if no Warrants were exercised pursuant to a Cashless Exercise), and the transfer agent for the Company’s Common Stock (such agent, in such capacity, as may from time to time be appointed by the Company, the “Transfer Agent”) is hereby

 

12


irrevocably authorized and directed at all times to reserve such number of authorized and unissued or treasury shares of Common Stock as shall be required for such purpose. The Company will keep a copy of this Agreement on file with such Transfer Agent and with every transfer agent for any Warrant Shares issuable upon the exercise of Warrants pursuant to Section 7. The Warrant Agent is hereby irrevocably authorized to requisition from time to time from such Transfer Agent stock certificates issuable upon exercise of outstanding Warrants, and the Company will supply such Transfer Agent with duly executed stock certificates for such purpose.

The Company covenants that all Warrant Shares issued upon exercise of the Warrants will, upon issuance in accordance with the terms of this Agreement, be duly and validly issued, fully paid and nonassessable and free from all taxes, liens, charges and security interests created by or imposed upon the Company with respect to the issuance and holding thereof.

SECTION 11. List. The Company will use reasonable best efforts to list the Warrants on each securities exchange or market, if any, on which the Common Stock issued by the Company has been listed.

SECTION 12. Adjustments and Other Rights of Warrants.

(a) The Tranche 1 Exercise Price, the number of Warrant Shares issuable upon the exercise of each Tranche 1 Warrant and the number of Tranche 1 Warrants outstanding are subject to adjustment from time to time upon the occurrence of the following:

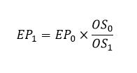
(i) The issuance of Common Stock as a dividend or distribution to all holders of Common Stock, or a subdivision or combination of Common Stock, in which event the Tranche 1 Exercise Price shall be adjusted based on the following formula:

 

LOGO

 

Where:      
EP0    =    the Tranche 1 Exercise Price in effect immediately prior to the Close of Business on the Record Date for such dividend or distribution, or immediately prior to the Open of Business on the effective date for such subdivision or combination, as the case may be;
EP1    =    the Tranche 1 Exercise Price in effect immediately after the Close of Business on the Record Date for such dividend or distribution, or immediately after the Open of Business on the effective date for such subdivision or combination, as the case may be;
OS0    =    the number of shares of Common Stock outstanding immediately prior to the Close of Business on the Record Date for such dividend, distribution, subdivision or combination, or immediately prior to the Open of Business on the effective date for such subdivision or combination, as the case may be; and

 

13


OS1    =    the number of shares of Common Stock that would be outstanding immediately after, and solely as a result of, such dividend, distribution, subdivision or combination.

Such adjustment shall become effective immediately after the Close of Business on the Record Date for such dividend or distribution, or immediately after the Open of Business on the effective date for such subdivision or combination, as the case may be. If any dividend or distribution or subdivision or combination of the type described in this Section 12(a)(i) is declared or announced but not so paid or made, the Tranche 1 Exercise Price shall again be adjusted to be the Tranche 1 Exercise Price that would then be in effect if the distribution or subdivision or combination had not been declared or announced, as the case may be.

(ii) The issuance to all holders of Common Stock of rights or warrants entitling them for a period expiring 60 days or less from the date of issuance of such rights or warrants to purchase shares of Common Stock (or securities convertible into Common Stock) at less than (or having a conversion price per share less than) the Current Market Price of Common Stock, in which event the Tranche 1 Exercise Price will be adjusted based on the following formula:

 

LOGO

 

Where:     
EP0    =    the Tranche 1 Exercise Price in effect immediately prior to the Close of Business on the Record Date for such issuance;
EP1    =    the Tranche 1 Exercise Price in effect immediately after the Close of Business on the Record Date for such issuance;
OS0    =    the number of shares of Common Stock outstanding immediately prior to the Close of Business on the Record Date for such issuance;
X    =    the total number of shares of Common Stock issuable pursuant to such rights, warrants or convertible securities; and
Y    =    the aggregate price payable to exercise such rights, warrants or convertible securities divided by the Current Market Price.

Such adjustment shall become effective immediately after the Close of Business on the Record Date for such issuance. In the event that the issuance of such rights, warrants or convertible securities is announced but such rights, warrants or convertible securities are not so issued, the Tranche 1 Exercise Price shall again be adjusted to be the Tranche 1 Exercise Price that would then be in effect if the Record Date for such issuance had not occurred. To the extent that such rights or warrants are not exercised prior to their expiration or shares of Common Stock are otherwise not delivered pursuant to such rights, warrants or convertible securities, upon the

 

14


expiration, termination or maturity of such rights, warrants or convertible securities, the Tranche 1 Exercise Price shall be readjusted to the Tranche 1 Exercise Price that would then be in effect had the adjustments made upon the issuance of such rights, warrants or convertible securities been made on the basis of the delivery of only the number of shares of Common Stock actually delivered. In determining the aggregate price payable for such shares of Common Stock, there shall be taken into account any consideration received for such rights or warrants, as well as any consideration received in connection with the conversion of any convertible securities issued upon exercise of such rights or warrants, and the value of such consideration, if other than Cash, shall be determined in good faith by the Board of Directors.

(iii) The dividend or distribution to all holders of Common Stock of (i) shares of the Company’s Capital Stock (other than Common Stock), (ii) evidences of the Company’s indebtedness, (iii) rights or warrants to purchase the Company’s securities (other than Common Stock) or the Company’s assets or (iv) property or Cash, in which event the Tranche 1 Exercise Price will be adjusted based on the following formula:

 

LOGO

 

Where:   
EP0    =    the Tranche 1 Exercise Price in effect immediately prior to the Close of Business on the Record Date for such dividend or distribution;
EP1    =    the Tranche 1 Exercise Price in effect immediately after the Close of Business on the Record Date for such dividend or distribution;
SP0    =    the Current Market Price; and
FMV    =    the Market Price, on the Record Date for such dividend or distribution, of the shares of Capital Stock, evidences of indebtedness or property, rights or warrants so distributed or the amount of Cash expressed as an amount per share of outstanding Common Stock.

However, if the transaction that gives rise to an adjustment pursuant to this subclause (c) is one pursuant to which the payment of a dividend or other distribution on Common Stock consists of shares of capital stock of, or similar equity interests in, a Subsidiary of the Company or other business unit of the Company (i.e., a spin-off) that are, or, when issued, will be, traded or quoted on any national or regional securities exchange or market, then the Tranche 1 Exercise Price will instead be adjusted based on the following formula:

 

LOGO

 

15


Where:  
EP0   =   the Tranche 1 Exercise Price in effect immediately prior to the Close of Business on the Record Date for such dividend or distribution;
EP1   =   the Tranche 1 Exercise Price in effect immediately after the Close of Business on the Record Date for such dividend or distribution;
FMV0   =   the average of the Closing Sale Prices of the Capital Stock or similar equity interests distributed to holders of Common Stock applicable to one share of Common Stock over the 10 consecutive Trading Days commencing on, and including, the third Trading Day after the Ex-Date for such dividend or distribution; and
MP0   =   the average of the Closing Sale Prices of the Common Stock over the 10 consecutive Trading Days commencing on, and including, the third Trading Day after the Ex-Date for such dividend or distribution.

Such decrease shall become effective immediately after the Ex-Date for such dividend or distribution. In the event that such dividend or distribution is declared or announced but not so paid or made, the Tranche 1 Exercise Price shall again be adjusted to be the Tranche 1 Exercise Price which would then be in effect if such distribution had not been declared or announced.

(iv) For the purposes of Section 12(a)(i), (ii) and (iii), any dividend or distribution to which Section 12(a)(iii) is applicable that also includes shares of Common Stock, or rights or warrants to subscribe for or purchase shares of Common Stock (or both) to which Section 12(a)(i) or (ii) is applicable, shall be deemed instead to be (x) a dividend or distribution of the indebtedness, assets or shares or other property to which Section 12(a)(iii) applies (and any Tranche 1 Exercise Price adjustment required by Section 12(a)(iii) with respect to such dividend or distribution shall be made in respect of such dividend or distribution) immediately followed (y) by a dividend or distribution of the shares of Common Stock or such rights or warrants to which Section 12(a)(i) or (ii), as applicable, applies (and any further Tranche 1 Exercise Price adjustment required by Section 12(a)(i) or (ii) with respect to such dividend or distribution shall then be made), except, for purposes of such adjustment, any shares of Common Stock included in such dividend or distribution shall not be deemed “outstanding immediately prior to the Close of Business on the Record Date.”

(v) If the Company or any of its Subsidiaries makes a payment in respect of a tender or exchange offer for the Common Stock (other than an odd-lot tender offer), to the extent that the Cash and value of any other consideration included in the payment per share of the Common Stock exceeds the average of the Closing Sale Prices of the Common Stock over the 10 consecutive Trading Day period commencing on, and including, the Trading Day next succeeding the last date on which tenders or exchanges may be made pursuant to such tender or exchange offer, the Tranche 1 Exercise Price shall be reduced based on the following formula:

 

LOGO

 

16


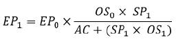
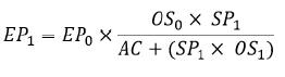
Where:   
EP0    =    the Tranche 1 Exercise Price in effect immediately prior to the Close of Business on the 10th Trading Day immediately following, and including, the Trading Day next succeeding the date such tender or exchange offer expires;
EP1    =    the Tranche 1 Exercise Price in effect immediately after the Close of Business on the 10th Trading Day immediately following, and including, the Trading Day next succeeding the date such tender or exchange offer expires;
AC    =    the aggregate value of all Cash and any other consideration (as determined by the Board of Directors in good faith) paid or payable for shares of Common Stock purchased in such tender or exchange offer;
OS0    =    the number of shares of Common Stock outstanding immediately prior to the date such tender or exchange offer expires (prior to giving effect to the purchase of all shares of Common Stock accepted for purchase or exchange in such tender or exchange offer);
OS1    =    the number of shares of Common Stock outstanding immediately after the date such tender or exchange offer expires (after giving effect to the purchase of all shares of Common Stock accepted for purchase or exchange in such tender or exchange offer); and
SP1    =    the average of the Closing Sale Prices of the Common Stock over the 10 consecutive Trading Day period commencing on, and including, the Trading Day next succeeding the date such tender or exchange offer expires.

(vi) Recapitalizations, Reclassifications and Other Changes other than a Change of Control Transaction.

(1) If any of the following events occur:

A. any recapitalization;

B. any reclassification or change of the outstanding shares of Common Stock (other than changes resulting from a subdivision or combination to which Section 12(a)(i) applies);

C. any consolidation, merger or combination involving the Company;

D. any sale or conveyance to a third party of all or substantially all of the Company’s assets; or

 

17


E. any statutory share exchange,

in each case, other than an event that constitutes a “Change of Control Transaction” as defined in Section 12(a)(xiv) below,

(each such event a “Reorganization Event”), in each case as a result of which the Common Stock would be converted into, or exchanged for, stock, other securities, other property or assets (including Cash or any combination thereof) (the “Reference Property”), then following the effective time of the transaction, the right to receive shares of Common Stock upon exercise of a Tranche 1 Warrant shall be changed to a right to receive, upon exercise of such Tranche 1 Warrant, the kind and amount of shares of stock, other securities or other property or assets (including Cash or any combination thereof) that a holder of one share of Common Stock would have owned or been entitled to receive in connection with such Reorganization Event (such kind and amount of Reference Property per share of Common Stock, a “Unit of Reference Property”). In the event holders of Common Stock have the opportunity to elect the form of consideration to be received in a Reorganization Event, the type and amount of consideration into which the Tranche 1 Warrants shall be exercisable from and after the effective time of such Reorganization Event shall be deemed to be the weighted average of the types and amounts of consideration received by the holders of Common Stock in such Reorganization Event.

(2) At any time from, and including, the effective time of a Reorganization Event:

A. each share of Common Stock per Tranche 1 Warrant shall be equal to a single Unit of Reference Property; and

B. the Closing Sale Price and the Current Market Price shall be calculated with respect to a Unit of Reference Property.

(3) The value of a Unit of Reference Property (the “Unit Value”) shall be determined as follows:

A. any shares of common stock of the successor or purchasing Person or any other Person that are traded on a national or regional stock exchange included in such Unit of Reference Property shall be valued as if such shares were “Common Stock” using procedures set forth in the definition of “Closing Sale Price”;

B. any other property (other than Cash) included in such Unit of Reference Property shall be valued in good faith by the Board of Directors (in a manner not materially inconsistent with the manner the Board of Directors valued such property for purposes of the Reorganization Event, if applicable) or by a firm selected by the Board of Directors; and

C. any Cash included in such Unit of Reference Property shall be valued at the amount thereof.

 

18


(4) On or prior to the effective time of any Reorganization Event, the Company or the successor or purchasing Person, as the case may be, shall execute an amendment to this Warrant Agreement providing that the Tranche 1 Warrants shall be exercisable for Units of Reference Property in accordance with the terms of this Section 12(a)(vi). If the Reference Property in connection with any Reorganization Event includes shares of stock or other securities and assets of a Person other than the successor or purchasing Person, as the case may be, in such Reorganization Event, then the Company shall cause such amendment to this Warrant Agreement to be executed by such other Person and such amendment shall contain such additional provisions to protect the interests of the Tranche 1 Warrantholders as the Board of Directors shall reasonably consider necessary by reason of the foregoing. Any such amendment to this Warrant Agreement shall provide for adjustments which shall be as nearly equivalent as may be practicable to the adjustments provided for in this Section 12. In the event the Company shall execute an amendment to this Warrant Agreement pursuant to this Section 12(a)(vi), the Company shall promptly file with the Warrant Agent a certificate executed by a duly authorized officer of the Company briefly stating the reasons therefor, the kind or amount of Cash, securities or property or asset that will comprise a Unit of Reference Property after the relevant Reorganization Event, any adjustment to be made with respect thereto and that all conditions precedent have been complied with. The Company shall cause notice of the execution of amendment to be mailed to each Tranche 1 Warrantholder, at its address appearing on the Warrant Register, within 20 Business Days after execution thereof. Failure to deliver such notice shall not affect the legality or validity of such amendment.

(vii) [Reserved.]

(viii) Other Action Affecting Common Stock Equivalents. If the Company shall at any time and from time to time issue or sell (i) any shares of any class constituting Common Stock Equivalents other than shares of Common Stock, (ii) any evidences of its indebtedness, shares of stock or other securities which are convertible into or exchangeable for Common Stock Equivalents, with or without the payment of additional consideration in Cash or property or (iii) any warrants or other rights to subscribe for or purchase any such Common Stock Equivalents or any such evidences, shares of stock or other securities, then in each such case such issuance shall be deemed to be of, or in respect of, the underlying shares of Common Stock for purposes of this Section 12(a).

(ix) Adjustments to Number of Warrants. Concurrently with any adjustment to the Tranche 1 Exercise Price under this Section 12(a) (including any deemed adjustment pursuant to Section 12(a)(xii)), the number of Warrant Shares for which each Tranche 1 Warrant is exercisable will be adjusted such that the number of Warrant Shares for each such Tranche 1 Warrant in effect immediately following the effectiveness of such adjustment will be equal to the number of Warrant Shares for each such Tranche 1 Warrant in effect immediately prior to such adjustment, multiplied by a fraction, (i) the numerator of which is the Tranche 1 Exercise Price in effect immediately prior to such adjustment and (ii) the denominator of which is the Tranche 1 Exercise Price in effect immediately following such adjustment.

 

19


(x) Deferral or Exclusion of Certain Adjustments. No adjustment to the Tranche 1 Exercise Price or number of Warrant Shares for each Tranche 1 Warrant shall be required hereunder unless such adjustment together with other adjustments carried forward as provided below, would result in an increase or decrease of at least one percent (1%) of the applicable Tranche 1 Exercise Price or Warrant Shares; provided that any adjustments which by reason of this Section 12(a)(x) are not required to be made shall be carried forward and taken into account in any subsequent adjustment. No adjustment need be made for a change in the par value of the shares of Common Stock or any other Common Stock Equivalents. All calculations under this Section 12(a)(x) shall be made to the nearest one-one thousandth (1/1,000th) of one cent ($0.01) or to the nearest one-one thousandth (1/1,000th) of a share, as the case may be.

(xi) Restrictions on Adjustments. In no event will the Company adjust the Tranche 1 Exercise Price or make a corresponding adjustment to the number of Warrant Shares for any Tranche 1 Warrant to the extent that the adjustment would reduce the Tranche 1 Exercise Price below the par value per share of Common Stock. No adjustment shall be made to the Tranche 1 Exercise Price or the Warrant Shares for any Tranche 1 Warrant for any of the transactions described in this Section 12(a) if the Company makes provisions for holders of Tranche 1 Warrants to participate in any such transaction without exercising their Tranche 1 Warrants on the same basis as holders of Common Stock and with notice that the Board of Directors determines in good faith to be fair and appropriate. If the Company takes a record of the holders of Common Stock for the purpose of entitling them to receive a dividend or other distribution, and thereafter (and before the dividend or distribution has been paid or delivered to stockholders) legally abandons its plan to pay or deliver such dividend or distribution, then thereafter no adjustment to the Tranche 1 Exercise Price or the number of Warrant Shares for any Tranche 1 Warrant then in effect shall be required by reason of the taking of such record.

(xii) Certain Calculations. For the purposes of any adjustment of the Tranche 1 Exercise Price and the number of Warrant Shares issuable upon exercise of a Tranche 1 Warrant pursuant to this Section 12(a), the following provisions shall be applicable:

(1) In the case of the issuance or sale of shares of Common Stock for cash, the amount of the consideration received by the Company shall be deemed to be the amount of the gross cash proceeds received by the Company for such securities before deducting therefrom any discounts or commissions allowed, paid or incurred by the Company for any underwriting or otherwise in connection with the issuance and sale thereof.

(2) In the case of the issuance or sale of shares of Common Stock (other than upon the conversion of shares of capital stock or other securities of the Company) for consideration in whole or in part other than cash, including securities acquired in exchange therefor (other than securities by their terms so exchangeable), the consideration other than cash shall be deemed to be the Market Price, before deducting therefrom any discounts or commissions allowed, paid or incurred by the Company for any underwriting or otherwise in connection with the issuance and sale thereof.

 

20


(3) In the case of the issuance of options, warrants or other rights to purchase or acquire shares of Common Stock (whether or not at the time exercisable):

A. the aggregate maximum number of shares of Common Stock deliverable upon exercise of such options, warrants or other rights to purchase or acquire shares of Common Stock shall be deemed to have been issued at the time such options, warrants or rights are issued and for a consideration equal to the consideration (determined in the manner provided in this Section 12(a)(xii)), if any, received by the Company upon the issuance or sale of such options, warrants or rights plus the minimum purchase price required to be paid to the Company pursuant to the terms of such options, warrants or rights required to be paid in exchange for the shares of Common Stock covered thereby;

B. if the Tranche 1 Exercise Price and the number of shares of Common Stock issuable upon exercise of a Tranche 1 Warrant shall have been duly adjusted in accordance with the terms of this Warrant Agreement upon the issuance or sale of any such options, warrants or rights, no further adjustment of the Tranche 1 Exercise Price or the number of shares of Common Stock issuable upon exercise of a Tranche 1 Warrant shall be made for the actual issuance of shares of Common Stock upon the exercise, conversion or exchange thereof.

(xiii) In the event of a cash exercise, the Company hereby instructs the Warrant Agent to record the cost basis for newly issued shares of Common Stock in a manner to be subsequently communicated by the Company in writing to the Warrant Agent.

(xiv) Change of Control Transactions.

(1) In the event the Company shall, at any time or from time to time after the Issue Date while the Tranche 1 Warrants remain outstanding and unexpired in whole or in part, consummate a Change of Control Transaction, each Tranche 1 Warrant shall be automatically redeemed, effective upon the date of consummation of such Change of Control Transaction (after which such Tranche 1 Warrant shall be void and may no longer be exercised), and each Holder of a Tranche 1 Warrant so redeemed shall be entitled, following consummation of the Change of Control Transaction and compliance by such Holder with the Change of Control Transaction Notice Procedures, for each Tranche 1 Warrant held by such holder upon the redemption thereof, to receive:

A. if the Change of Control Consideration shall consist in whole or in part of Cash Consideration, in respect of the Cash Consideration on the earlier of (x) the date on which holders of Common Stock receive such Cash Consideration or (y) within twenty-five (25) days of the consummation of such Change of Control Transaction, an amount of cash equal to the Tranche 1 Black-Scholes Value multiplied by the Cash Consideration Percentage;

 

21


B. if the Change of Control Consideration shall consist in whole or in part of Other Consideration on the earlier of (x) the date on which holders of shares of Common Stock receive Other Consideration or (y) within twenty-five (25) days of the consummation of such Change of Control Transaction, an amount of cash equal to the product of the Tranche 1 Black-Scholes Value multiplied by the Other Consideration Percentage; and/or

C. if the Change of Control Consideration shall consist in whole or in part of Stock Consideration, upon consummation of such Change of Control Transaction, in respect of the Stock Consideration, a New Tranche 1 Warrant exercisable for a number of shares of the Stock Consideration equal to (i) the Warrant Shares, multiplied by (ii) the Stock Consideration Percentage, multiplied by (iii) the Exchange Ratio, with such New Tranche 1 Warrant having an exercise price equal to the Tranche 1 Exercise Price in effect immediately prior to the consummation of the Change of Control Transaction divided by the Exchange Ratio, and otherwise having terms substantially the same as the terms of the Tranche 1 Warrants, mutatis mutandis.

In this Section 12(a)(xiv), and, to the extent applicable, Section 12(b)(xiv), the following terms shall have the meanings set forth below:

Calculation Agent” means any nationally recognized investment banking firm as selected reasonably, in good faith, by the Board of Directors.

Cash Consideration” means the cash, if any, that a holder of Common Stock receives or is entitled to receive in a Change of Control Transaction with respect to or in exchange for each share of Common Stock held by such holder immediately prior to the consummation of the Change of Control Transaction.

Cash Consideration Percentage” means, with respect to any Change of Control Consideration, a fraction expressed as a percentage equal to the (i) the amount of the Cash Consideration divided by (ii) the sum of (x) the amount of the Cash Consideration plus (y) the Market Price of the Stock Consideration plus (z) the Market Price of the Other Consideration, in each case measured at the time of announcement of such Change of Control Transaction.

Change of Control Transaction” means the occurrence of any of the following: (i) the sale, lease, transfer, conveyance or other disposition (other than by way of merger, amalgamation or consolidation), in one or a series of related transactions, of all or substantially all of the assets of the Company and its Subsidiaries taken as a whole to any Person or (ii) the consummation of any purchase offer, tender offer or exchange offer, or the Company consummates a stock or share purchase agreement or other business combination (including any merger or consolidation) the result of which is that any Person becomes the beneficial owner, directly or indirectly, of more than 50% of the voting stock of the Company, measured by voting power rather than number of shares. For avoidance of doubt, any scheme of arrangement effected for the purpose of implementing the Plan shall not constitute a Change of Control Transaction.

 

22


Change of Control Consideration” means the cash, stock, securities or other assets or property (or any combination thereof) that a holder of shares of Common Stock receives or is entitled to receive with respect to or in exchange for each share of Common Stock held by such holder upon consummation of a Change of Control Transaction; provided that if in the applicable Change of Control Transaction the holders of shares of Common Stock may make an election with respect to the consideration to be received, the type and amount of consideration into which the Tranche 1 Warrants shall be exercisable from and after the effective time of such Change of Control Transaction shall be deemed to be the weighted average of the types and amounts of consideration received by the holders of shares of Common Stock in such Change of Control Transaction.

Change of Control Notice Procedures” means the Company’s delivery of written notice to holders of Tranche 1 Warrants, including owners of beneficial interests in Global Warrant Certificates, setting forth any action to be taken by the Company that may constitute a Change of Control Transaction, the resulting effect of such action on the Tranche 1 Warrants, and the amount of cash and/or the number and kind of securities or other property to be received by the holders of Tranche 1 Warrants pursuant to such Change of Control Transaction (if any). Such notice shall be delivered by the Company (including by directing the Warrant Agent to so deliver such notice) to holders of Tranche 1 Warrants at such holders’ addresses appearing on the Warrant Register (and with respect to owners of beneficial interests in Global Warrant Certificates, to the Depository), and shall be delivered on a date calculated and by a method chosen by the Company to reasonably ensure that such notice shall be actually received by the Holders of Warrants as promptly as practicable and in any event the Company shall use commercially reasonable efforts to deliver such notice to the Holders of Warrants at least twenty (20) days prior to the consummation of the Change of Control Transaction.

Exchange Ratio” means (i) the number of shares of common stock, ordinary shares or other units of common equity, if any, in each case listed on a U.S. national securities exchange, of the issuer or payor of the Stock Consideration in the Change of Control Transaction as set forth in the definitive agreement for such Change of Control Transaction offered for each one share of Common Stock, divided by (ii) the Stock Consideration Percentage.

New Tranche 1 Warrant” means a warrant issued by the Person that is the issuer or payor of the Stock Consideration in the Change of Control Transaction, as the case may be.

Other Consideration” means the Change of Control Consideration other than Cash Consideration or Stock Consideration that a holder of shares of Common Stock receives or is entitled to receive in a Change of Control Transaction with respect to or in exchange for each share of Common Stock held by such holder immediately prior to the consummation of the Change of Control Transaction.

 

23


Other Consideration Percentage” means, with respect to any Change of Control Consideration, a fraction expressed as a percentage equal to (i) the Market Price of the Other Consideration divided by (ii) the sum of (x) the amount of the Cash Consideration plus (y) the Market Price of the Stock Consideration plus (z) the Market Price of the Other Consideration, if any, in each case measured at the time of announcement of such Change of Control Transaction.

Person” means an individual or corporation, partnership, trust, incorporated or unincorporated association, joint venture, limited liability company, joint stock company, government (or an agency or subdivision thereof) or other entity of any kind.

Stock Consideration” means the number of shares of common stock, ordinary shares or other units of common equity, if any, in each case listed on a U.S. national securities exchange, that a holder of Common Stock receives or is entitled to receive in a Change of Control Transaction with respect to or in exchange for each share of Common Stock held by such holder immediately prior to the consummation of the Change of Control Transaction.

Stock Consideration Percentage” means, with respect to any Change of Control Consideration, a fraction expressed as a percentage equal to (i) the Market Price of the Stock Consideration divided by (ii) the sum of (x) the amount of the Cash Consideration plus (y) the Market Price of the Stock Consideration plus (z) the Market Price of the Other Consideration, in each case measured at the time of announcement of such Change of Control Transaction.

Tranche 1 Black-Scholes Value” means the value of a Tranche 1 Warrant immediately prior to the date of the public announcement of the applicable Change of Control Transaction, as determined by the Board of Directors, in good faith, based upon the advice of a Calculation Agent, and shall be determined by customary investment banking practices using the Black-Scholes Option Pricing Model obtained from the “OVME” function on Bloomberg. For purposes of calculating such amount, (i) the term of the Tranche 1 Warrant will be the time from the date of consummation of the applicable Change of Control Transaction to the Tranche 1 Expiration Date and the exercise price shall be the then applicable Tranche 1 Exercise Price, (ii) the assumed volatility will be the lower of (a) sixty percent (60%) and (b) the six-month historical volatility of the Common Stock as of the date immediately prior to the date of the public announcement of the applicable Change of Control Transaction (or such shorter period that is available if the Common Stock has not been trading for such entire time period) as shown at the time of determination using the “HVT” function on Bloomberg or, if such information is not available, as determined in a commercially reasonable manner by the Board of Directors upon the advice of such Calculation Agent, (iii) the assumed risk-free rate will equal the interpolated rate on U.S. Treasury securities

 

24


having a maturity nearest to but not later than the applicable Expiration Date, (iv) a zero cost of borrow, (v) the dividend yield will equal the dividend yield as generated from Bloomberg, and (vi) the price of each share of Common Stock will be the sum of (a) the amount of the Cash Consideration (if any) plus (b) the Market Price of the Stock Consideration (if any) plus (c) the Market Price of the Other Consideration (if any) being offered in respect of each outstanding share of Common Stock pursuant to the Change of Control Transaction, in each case measured at the time of the public announcement of such Change of Control Transaction.

(2) If in any Change of Control Transaction a holder of shares of Common Stock shall be entitled to make an election to receive Cash Consideration, Stock Consideration or Other Consideration, or a combination thereof, with respect to each share of Common Stock Share held by such holder, for purposes of this Section 12(a)(xiv), the holder shall be deemed to receive or be entitled to receive for each such share of Common Stock the aggregate amount of Cash Consideration, Stock Consideration or Other Consideration, or combination thereof, received or receivable by all holders of shares of Common Stock divided by the total number of shares of Common Stock outstanding immediately prior to consummation of the Change of Control Transaction.

(3) The Company shall take such steps in connection with any Change of Control Transaction as may be necessary to assure that the provisions hereof shall be complied with (including the adjustment provisions of this Section 12), and shall not effect or otherwise participate in any Change of Control Transaction unless, prior to the consummation thereof, the surviving Person (if other than the Company) resulting from such Change of Control Transaction, shall assume, by written instrument substantially similar in form and substance to this Agreement in all material respects (including with respect to the provisions of this Section 12(a)(xiv)) and the obligation to distribute any New Tranche 1 Warrants or make any cash payments to the Holders of the Tranche 1 Warrants in accordance with this Section 12(a)(xiv).

(4) The provisions of this Section 12(a)(xiv) shall similarly apply to successive Change of Control Transactions.

(5) The provisions of this Section 12(a)(xiv) are subject, in all cases, to any applicable requirements under the Securities Act and the rules and regulations promulgated thereunder, in each case to the extent applicable to holders of shares of Common Stock in connection with the Change of Control Transaction.

 

25


(b) The Tranche 2 Exercise Price, the number of Warrant Shares issuable upon the exercise of each Tranche 2 Warrant and the number of Tranche 2 Warrants outstanding are subject to adjustment from time to time upon the occurrence of the following:

(i) The issuance of Common Stock as a dividend or distribution to all holders of Common Stock, or a subdivision or combination of Common Stock, in which event the Tranche 2 Exercise Price shall be adjusted based on the following formula:

 

LOGO

 

Where:   
EP0    =    the Tranche 2 Exercise Price in effect immediately prior to the Close of Business on the Record Date for such dividend or distribution, or immediately prior to the Open of Business on the effective date for such subdivision or combination, as the case may be;
EP1    =    the Tranche 2 Exercise Price in effect immediately after the Close of Business on the Record Date for such dividend or distribution, or immediately after the Open of Business on the effective date for such subdivision or combination, as the case may be;
OS0    =    the number of shares of Common Stock outstanding immediately prior to the Close of Business on the Record Date for such dividend, distribution, subdivision or combination, or immediately prior to the Open of Business on the effective date for such subdivision or combination, as the case may be; and
OS1    =    the number of shares of Common Stock that would be outstanding immediately after, and solely as a result of, such dividend, distribution, subdivision or combination.

Such adjustment shall become effective immediately after the Close of Business on the Record Date for such dividend or distribution, or immediately after the Open of Business on the effective date for such subdivision or combination, as the case may be. If any dividend or distribution or subdivision or combination of the type described in this Section 12(b)(i) is declared or announced but not so paid or made, the Tranche 2 Exercise Price shall again be adjusted to be the Tranche 2 Exercise Price that would then be in effect if the distribution or subdivision or combination had not been declared or announced, as the case may be.

(ii) In addition to any adjustments, if at any time the Company grants, issues or sells any Common Stock Equivalents or rights to purchase stock, warrants, securities or other property pro rata to the record holders of any class of shares of Common Stock (the “Purchase Rights”), then the holders of Tranche 2 Warrants will be entitled to acquire, upon the terms applicable to such Purchase Rights, the aggregate Purchase Rights which the holder of Tranche 2 Warrants could have acquired if the holder of Tranche 2 Warrants had held the number of shares of Common Stock acquirable upon complete exercise of a Tranche 2 Warrant immediately before the date on which a record is taken for the grant, issuance or sale of such Purchase Rights, or, if no such record is taken, the date as of which the record holders of shares of Common Stock are to be determined for the grant, issue or sale of such Purchase Rights.

 

26


(iii) If the Company shall declare or make any dividend or other distribution of its assets (or rights to acquire its assets) to holders of shares of Common Stock, by way of return of capital or otherwise (including, without limitation, any distribution of cash, stock or other securities, property or options by way of a dividend, spin off, reclassification, corporate rearrangement, scheme of arrangement or other similar transaction) (a “Distribution”), at any time after the issuance of a Tranche 2 Warrant, then, in each such case, the holder of Tranche 2 Warrants shall be entitled to participate in such Distribution to the same extent that the holder of Tranche 2 Warrants would have participated therein if the holder of Tranche 2 Warrants had held the number of shares of Common Stock acquirable upon complete exercise of a Tranche 2 Warrant immediately before the date of which a record is taken for such Distribution, or, if no such record is taken, the date as of which the record holders of shares of Common Stock are to be determined for the participation in such Distribution.

(iv) For the purposes of Section 12(b)(i), (ii) and (iii), any dividend or distribution to which Section 12(b)(iii) is applicable that also includes shares of Common Stock, or rights or warrants to subscribe for or purchase shares of Common Stock (or both) to which Section 12(b)(i) and/or (ii) is applicable, shall be deemed instead to be (x) a dividend or distribution of the indebtedness, assets or shares or other property to which Section 12(b)(iii) applies immediately followed (y) by a dividend or distribution of the shares of Common Stock or such rights or warrants to which Section 12(b)(i) and/or (ii), as applicable, applies, except, for purposes of such adjustment, any shares of Common Stock included in such dividend or distribution shall not be deemed “outstanding immediately prior to the Close of Business on the Record Date.”

(v) If the Company or any of its Subsidiaries makes a payment in respect of a tender or exchange offer for the Common Stock (other than an odd-lot tender offer), to the extent that the Cash and value of any other consideration included in the payment per share of the Common Stock exceeds the average of the Closing Sale Prices of the Common Stock over the 10 consecutive Trading Day period commencing on, and including, the Trading Day next succeeding the last date on which tenders or exchanges may be made pursuant to such tender or exchange offer, the Tranche 2 Exercise Price shall be reduced based on the following formula:

 

LOGO

 

Where:   
EP0    =    the Tranche 2 Exercise Price in effect immediately prior to the Close of Business on the 10th Trading Day immediately following, and including, the Trading Day next succeeding the date such tender or exchange offer expires;

 

27


EP1    =    the Tranche 2 Exercise Price in effect immediately after the Close of Business on the 10th Trading Day immediately following, and including, the Trading Day next succeeding the date such tender or exchange offer expires;
AC    =    the aggregate value of all Cash and any other consideration (as determined by the Board of Directors in good faith) paid or payable for shares of Common Stock purchased in such tender or exchange offer;
OS0    =    the number of shares of Common Stock outstanding immediately prior to the date such tender or exchange offer expires (prior to giving effect to the purchase of all shares of Common Stock accepted for purchase or exchange in such tender or exchange offer);
OS1    =    the number of shares of Common Stock outstanding immediately after the date such tender or exchange offer expires (after giving effect to the purchase of all shares of Common Stock accepted for purchase or exchange in such tender or exchange offer); and
SP1    =    the average of the Closing Sale Prices of the Common Stock over the 10 consecutive Trading Day period commencing on, and including, the Trading Day next succeeding the date such tender or exchange offer expires.

(vi) Recapitalizations, Reclassifications and Other Changes other than a Change of Control Transaction. If any Reorganization Event occurs, in each case as a result of which the Common Stock would be converted into, or exchanged for any Reference Property, then following the effective time of the transaction, the right to receive shares of Common Stock upon exercise of a Tranche 2 Warrant shall be changed to a right to receive, upon exercise of such Tranche 2 Warrant, a Unit of Reference Property. In the event holders of Common Stock have the opportunity to elect the form of consideration to be received in a Reorganization Event, the type and amount of consideration into which the Tranche 2 Warrants shall be exercisable from and after the effective time of such Reorganization Event shall be deemed to be the weighted average of the types and amounts of consideration received by the holders of Common Stock in such Reorganization Event.

(1) At any time from, and including, the effective time of a Reorganization Event:

A. if Cashless Exercise does not apply or is not elected upon exercise of a Tranche 2 Warrant, each share of Common Stock per Tranche 2 Warrant shall be equal to a single Unit of Reference Property;

B. if Cashless Exercise applies upon exercise of a Tranche 2 Warrant, the number of Tranche 2 Warrant Shares issuable upon a Cashless Exercise per Tranche 2 Warrant shall be a number of Units of Reference Property calculated as set forth in Section 7(d), except that the Market Price used to determine the number of Units of Reference Property issuable upon a Cashless Exercise on any Trading Day shall be the Unit Value for such Trading Day; and

 

28


C. the Closing Sale Price and the Current Market Price shall be calculated with respect to a Unit of Reference Property.

(2) The Unit Value shall be determined as follows:

A. any shares of common stock of the successor or purchasing Person or any other Person that are traded on a national or regional stock exchange included in such Unit of Reference Property shall be valued as if such shares were “Common Stock” using procedures set forth in the definition of “Closing Sale Price”;

B. any other property (other than Cash) included in such Unit of Reference Property shall be valued in good faith by the Board of Directors (in a manner not materially inconsistent with the manner the Board of Directors valued such property for purposes of the Reorganization Event, if applicable) or by a firm selected by the Board of Directors; and

C. any Cash included in such Unit of Reference Property shall be valued at the amount thereof.

(3) On or prior to the effective time of any Reorganization Event, the Company or the successor or purchasing Person, as the case may be, shall execute an amendment to this Warrant Agreement providing that the Tranche 2 Warrants shall be exercisable for Units of Reference Property in accordance with the terms of this Section 12(b)(vi). If the Reference Property in connection with any Reorganization Event includes shares of stock or other securities and assets of a Person other than the successor or purchasing Person, as the case may be, in such Reorganization Event, then the Company shall cause such amendment to this Warrant Agreement to be executed by such other Person and such amendment shall contain such additional provisions to protect the interests of the holder of Tranche 2 Warrants as the Board of Directors shall reasonably consider necessary by reason of the foregoing. Any such amendment to this Warrant Agreement shall provide for adjustments which shall be as nearly equivalent as may be practicable to the adjustments provided for in this Section 12. In the event the Company shall execute an amendment to this Warrant Agreement pursuant to this Section 12(b)(vi), the Company shall promptly file with the Warrant Agent a certificate executed by a duly authorized officer of the Company briefly stating the reasons therefor, the kind or amount of Cash, securities or property or asset that will comprise a Unit of Reference Property after the relevant Reorganization Event, any adjustment to be made with respect thereto and that all conditions precedent have been complied with. The Company shall cause notice of the execution of amendment to be mailed to each holder of Tranche 2 Warrants, at its address appearing on the Warrant Register, within 20 Business Days after execution thereof. Failure to deliver such notice shall not affect the legality or validity of such amendment.

(vii) [Reserved.]

 

29


(viii) Other Action Affecting Common Stock Equivalents. If the Company shall at any time and from time to time issue or sell (i) any shares of any class constituting Common Stock Equivalents other than shares of Common Stock, (ii) any evidences of its indebtedness, shares of stock or other securities which are convertible into or exchangeable for Common Stock Equivalents, with or without the payment of additional consideration in Cash or property or (iii) any warrants or other rights to subscribe for or purchase any such Common Stock Equivalents or any such evidences, shares of stock or other securities, then in each such case such issuance shall be deemed to be of, or in respect of, the underlying shares of Common Stock for purposes of this Section 12(b).

(ix) Adjustments to Number of Warrants. Concurrently with any adjustment to the Tranche 2 Exercise Price under this Section 12(b) (including any deemed adjustment pursuant to Section 12(b)(xi)), the number of Warrant Shares for which each Tranche 2 Warrant is exercisable will be adjusted such that the number of Warrant Shares for each such Tranche 2 Warrant in effect immediately following the effectiveness of such adjustment will be equal to the number of Warrant Shares for each such Tranche 2 Warrant in effect immediately prior to such adjustment, multiplied by a fraction, (i) the numerator of which is the Tranche 2 Exercise Price in effect immediately prior to such adjustment and (ii) the denominator of which is the Tranche 2 Exercise Price in effect immediately following such adjustment.

(x) Deferral or Exclusion of Certain Adjustments. No adjustment to the Tranche 2 Exercise Price or number of Warrant Shares for each Tranche 2 Warrant shall be required hereunder unless such adjustment together with other adjustments carried forward as provided below, would result in an increase or decrease of at least one percent (1%) of the Tranche 2 Exercise Price or Warrant Shares; provided that any adjustments which by reason of this Section 12(b)(x) are not required to be made shall be carried forward and taken into account in any subsequent adjustment. No adjustment need be made for a change in the par value of the shares of Common Stock or any other Common Stock Equivalents. All calculations under this Section 12(b)(x) shall be made to the nearest one-one thousandth (1/1,000th) of one cent ($0.01) or to the nearest one-one thousandth (1/1,000th) of a share, as the case may be.

(xi) Restrictions on Adjustments. In no event will the Company adjust the Tranche 2 Exercise Price to the extent that the adjustment would reduce the Tranche 2 Exercise Price below the par value per share of Common Stock. In such case, the number of Warrant Shares shall be adjusted as if the Tranche 2 Exercise Price had been adjusted as otherwise set forth in this Section 12(b) and each Warrant Share shall be exercisable for the par value per Warrant Share. No adjustment shall be made to the Tranche 2 Exercise Price or the Warrant Shares for any Tranche 2 Warrant for any of the transactions described in this Section 12(b) if the Company makes provisions for holders of Tranche 2 Warrants to participate in any such transaction without exercising their Tranche 2 Warrants on the same basis as holders of Common Stock and with notice that the Board of Directors determines in good faith to be fair and appropriate. If the Company takes a record of the holders of Common Stock for the purpose of entitling them to receive a dividend or other distribution, and thereafter (and before the dividend or distribution has been paid or delivered to stockholders) legally abandons its plan to pay or deliver such dividend or distribution, then thereafter no adjustment to the Tranche 2 Exercise Price or the number of Warrant Shares for any Tranche 2 Warrant then in effect shall be required by reason of the taking of such record.

 

30


(xii) Certain Calculations. For the purposes of any adjustment of the Tranche 2 Exercise Price and the number of Warrant Shares issuable upon exercise of a Tranche 2 Warrant pursuant to this Section 12(b), the following provisions shall be applicable:

(1) In the case of the issuance or sale of shares of Common Stock for cash, the amount of the consideration received by the Company shall be deemed to be the amount of the gross cash proceeds received by the Company for such securities before deducting therefrom any discounts or commissions allowed, paid or incurred by the Company for any underwriting or otherwise in connection with the issuance and sale thereof.

(2) In the case of the issuance or sale of shares of Common Stock (other than upon the conversion of shares of capital stock or other securities of the Company) for consideration in whole or in part other than cash, including securities acquired in exchange therefor (other than securities by their terms so exchangeable), the consideration other than cash shall be deemed to be the Market Price, before deducting therefrom any discounts or commissions allowed, paid or incurred by the Company for any underwriting or otherwise in connection with the issuance and sale thereof.

(3) In the case of the issuance of options, warrants or other rights to purchase or acquire shares of Common Stock (whether or not at the time exercisable):

A. the aggregate maximum number of shares of Common Stock deliverable upon exercise of such options, warrants or other rights to purchase or acquire shares of Common Stock shall be deemed to have been issued at the time such options, warrants or rights are issued and for a consideration equal to the consideration (determined in the manner provided in this Section 12(b)(xii)), if any, received by the Company upon the issuance or sale of such options, warrants or rights plus the minimum purchase price required to be paid to the Company pursuant to the terms of such options, warrants or rights required to be paid in exchange for the shares of Common Stock covered thereby; and

B. if the Tranche 2 Exercise Price and the number of shares of Common Stock issuable upon exercise of a Tranche 2 Warrant shall have been duly adjusted in accordance with the terms of this Warrant Agreement upon the issuance or sale of any such options, warrants or rights, no further adjustment of the Tranche 2 Exercise Price or the number of shares of Common Stock issuable upon exercise of a Tranche 2 Warrant shall be made for the actual issuance of shares of Common Stock upon the exercise, conversion or exchange of such options, warrants or rights.

 

31


(xiii) In the event of a cash exercise, the Company hereby instructs the Warrant Agent to record the cost basis for newly issued shares of Common Stock in a manner to be subsequently communicated by the Company in writing to the Warrant Agent. In the event of a Cashless Exercise: the Company shall provide cost basis for shares issued pursuant to a Cashless Exercise at the time the Company provides the cashless exercise ratio to the Warrant Agent pursuant to Section 7(d) hereof.

(xiv) Change of Control Transactions.

(1) In the event the Company shall, at any time or from time to time after the Issue Date while the Tranche 2 Warrants remain outstanding and unexpired in whole or in part, consummate a Change of Control Transaction, each Tranche 2 Warrant shall be automatically redeemed, effective upon the date of consummation of such Change of Control Transaction (after which such Tranche 2 Warrant shall be void and may no longer be exercised), and each Holder of a Tranche 2 Warrant so redeemed shall be entitled, following consummation of the Change of Control Transaction and compliance by such Holder with the Change of Control Transaction Notice Procedures, for each Tranche 2 Warrant held by such holder upon the redemption thereof, to receive:

A. if the Change of Control Consideration shall consist in whole or in part of Cash Consideration, in respect of the Cash Consideration on the earlier of (x) the date on which holders of Common Stock receive such Cash Consideration or (y) within twenty-five (25) days of the consummation of such Change of Control Transaction, an amount of cash equal to the Tranche 2 Black-Scholes Value multiplied by the Cash Consideration Percentage;

B. if the Change of Control Consideration shall consist in whole or in part of Other Consideration on the earlier of (x) the date on which holders of shares of Common Stock receive Other Consideration or (y) within twenty-five (25) days of the consummation of such Change of Control Transaction, an amount of cash equal to the product of the Tranche 2 Black-Scholes Value multiplied by the Other Consideration Percentage; and/or

C. if the Change of Control Consideration shall consist in whole or in part of Stock Consideration, upon consummation of such Change of Control Transaction, in respect of the Stock Consideration, (i) first, each Tranche 2 Warrant will be converted into a non-penny warrant of the Company exercisable for a number of Warrant Shares and with an exercise price calculated as though the Tranche 2 Warrants had a per-share exercise price of $7.50 (subject to adjustment in the same manner as the Tranche 1 Exercise Price pursuant to Section 12(a) hereof, excluding, for avoidance of doubt, any adjustment pursuant to Section 12(a)(xiv)) (each, a “Converted Tranche 2 Warrant”), then (ii) such Converted Tranche 2 Warrant will be replaced with a New Tranche 2 Warrant exercisable for a number of shares of the Stock Consideration equal to (i) the Warrant Shares multiplied by (ii) the Stock Consideration Percentage, multiplied by (iii) the Exchange Ratio, with such New Tranche 2 Warrant having an exercise price equal to the exercise price of the Converted Tranche 2 Warrant divided by the Exchange Ratio (the “New Tranche 2 Exercise Price”), otherwise having terms substantially the same as the terms of the Tranche 1 Warrants, mutatis mutandis.

 

32


In this Section 12(b)(xiv), any terms not otherwise defined shall have the definitions set forth in Section 12(a)(xiv) or Section 30(b), as applicable, and the following terms shall have the meanings set forth below:

Change of Control Consideration” means the cash, stock, securities or other assets or property (or any combination thereof) that a holder of shares of Common Stock receives or is entitled to receive with respect to or in exchange for each share of Common Stock held by such holder upon consummation of a Change of Control Transaction; provided that if in the applicable Change of Control Transaction the holders of shares of Common Stock may make an election with respect to the consideration to be received, the type and amount of consideration into which the Tranche 2 Warrants shall be exercisable from and after the effective time of such Change of Control Transaction shall be deemed to be the weighted average of the types and amounts of consideration received by the holders of shares of Common Stock in such Change of Control Transaction.

Change of Control Notice Procedures” means the Company’s delivery of written notice to holders of Tranche 2 Warrants, including owners of beneficial interests in Global Warrant Certificates, setting forth any action to be taken by the Company that may constitute a Change of Control Transaction, the resulting effect of such action on the Tranche 2 Warrants, and the amount of cash and/or the number and kind of securities or other property to be received by the holders of Tranche 2 Warrants pursuant to such Change of Control Transaction (if any). Such notice shall be delivered by the Company (including by directing the Warrant Agent to so deliver such notice) to holders of Tranche 2 Warrants at such holders’ addresses appearing on the Warrant Register (and with respect to owners of beneficial interests in Global Warrant Certificates, to the Depository), and shall be delivered on a date calculated and by a method chosen by the Company to reasonably ensure that such notice shall be actually received by the Holders of Warrants as promptly as practicable and in any event the Company shall use commercially reasonable efforts to deliver such notice to the Holders of Warrants at least twenty (20) days prior to the consummation of the Change of Control Transaction.

New Tranche 2 Warrant” means a warrant issued by the Person that is the issuer or payor of the Stock Consideration in the Change of Control Transaction, as the case may be.

Tranche 2 Black-Scholes Value” means the value of a Warrant immediately prior to the date of the public announcement of the applicable Change of Control Transaction, as determined by the Board of Directors, in good faith, based upon the advice of a Calculation Agent, and shall be determined by customary investment banking practices using the Black-Scholes Option Pricing Model obtained from the “OVME” function on Bloomberg. For purposes of calculating such amount, (i) the

 

33


term of the Tranche 2 Warrants will be the time from the date of consummation of the applicable Change of Control Transaction to the Tranche 2 Expiration Date and the exercise price shall be as though the Tranche 2 Warrants had a per-share exercise price of $7.50 (subject to adjustment in the same manner as the Tranche 1 Exercise Price pursuant to Section 12(a) hereof, excluding, for avoidance of doubt, any adjustment pursuant to Section 12(a)(xiv)), (ii) the assumed volatility will be the lower of (a) sixty percent (60%) and (b) the six-month historical volatility of the Common Stock as of the date immediately prior to the date of the public announcement of the applicable Change of Control Transaction (or such shorter period that is available if the Common Stock has not been trading for such entire time period) as shown at the time of determination using the “HVT” function on Bloomberg or, if such information is not available, as determined in a commercially reasonable manner by the Board of Directors upon the advice of such Calculation Agent, (iii) the assumed risk-free rate will equal the interpolated rate on U.S. Treasury securities having a maturity nearest to but not later than the applicable Expiration Date, (iv) a zero cost of borrow, (v) the dividend yield will equal the dividend yield as generated from Bloomberg, and (vi) the price of each share of Common Stock will be the sum of (a) the amount of the Cash Consideration (if any) plus (b) the Market Price of the Stock Consideration (if any) plus (c) the Market Price of the Other Consideration (if any) being offered in respect of each outstanding share of Common Stock pursuant to the Change of Control Transaction, in each case measured at the time of the public announcement of such Change of Control Transaction.

(2) If in any Change of Control Transaction a holder of shares of Common Stock shall be entitled to make an election to receive Cash Consideration, Stock Consideration or Other Consideration, or a combination thereof, with respect to each share of Common Stock Share held by such holder, for purposes of this Section 12(b)(xiv), the holder shall be deemed to receive or be entitled to receive for each such share of Common Stock the aggregate amount of Cash Consideration, Stock Consideration or Other Consideration, or combination thereof, received or receivable by all holders of shares of Common Stock divided by the total number of shares of Common Stock outstanding immediately prior to consummation of the Change of Control Transaction.

(3) The Company shall take such steps in connection with any Change of Control Transaction as may be necessary to assure that the provisions hereof shall be complied with (including the adjustment provisions of this Section 12), and shall not effect or otherwise participate in any Change of Control Transaction unless, prior to the consummation thereof, the surviving Person (if other than the Company) resulting from such Change of Control Transaction, shall assume, by written instrument substantially similar in form and substance to this Agreement in all material respects (including with respect to the provisions of this Section 12(b)(xiv)) and the obligation to distribute any warrants or make any cash payments to the Holders of the Tranche 2 Warrants in accordance with this Section 12(b)(xiv).

 

34


(4) The provisions of this Section 12(b)(xiv) shall similarly apply to successive Change of Control Transactions.

(5) The provisions of this Section 12(b)(xiv) are subject, in all cases, to any applicable requirements under the Securities Act and the rules and regulations promulgated thereunder, in each case to the extent applicable to holders of shares of Common Stock of the Company in connection with the Change of Control Transaction.

SECTION 13. No Fractional Shares. The Company shall not be required to issue Warrants to purchase fractions of Warrant Shares, or to issue fractions of Warrant Shares upon exercise of the Warrants, or to distribute certificates which evidence fractional Warrant Shares and no Cash shall be distributed in lieu of such fractional shares or rights. If more than one Warrant shall be presented for exercise in full at the same time by the same Warrantholder, the number of full Warrant Shares which shall be issuable upon the exercise thereof shall be computed on the basis of the aggregate number of Warrant Shares purchasable on exercise of the Warrants so presented. If any fraction of a share would, except for the provisions of this Section 13, be issuable on the exercise of any Warrants (or specified portion thereof), as applicable, such share shall be rounded to the next higher whole number.

SECTION 14. Redemption. The Warrants shall not be redeemable by the Company or any other Person, other than as specified herein.

SECTION 15. Notices to Warrantholders. Upon any adjustment of an Exercise Price or the number of Warrant Shares purchasable upon exercise of each Warrant, the Company, within ten (10) Business Days thereafter, shall (x) cause to be filed with the Warrant Agent a certificate signed by an Appropriate Officer of the Company setting forth the event giving rise to such adjustment and any new or amended exercise terms, including the applicable Exercise Price and either the number of Warrant Shares purchasable upon exercise of each Warrant or the additional number of Warrants to be issued for each previously outstanding Warrant, as the case may be, after such adjustment and setting forth the method of calculation, which certificate shall be conclusive evidence of the correctness of the matters set forth therein, and (y) direct the Warrant Agent to give written notice thereof to each of the Warrantholders at such Warrantholder’s address appearing on the Warrant Register. Where appropriate, such notice may be given in advance and included as a part of the notice required to be mailed under the other provisions of this Section 15. The Warrant Agent shall have no obligation under any Section of this Agreement to determine whether such an adjustment event has occurred or to calculate any of the adjustments set forth herein. The Warrant Agent shall be fully protected in relying on any such certificate and in making any adjustment described therein and shall have no duty with respect to, and shall not be deemed to have knowledge of, any adjustment unless and until it shall have received such a certificate, in each case, absent gross negligence, bad faith or willful misconduct (each as determined by a final non-appealable order, judgment, ruling or decree of a court of competent jurisdiction).

 

35


If:

(a) the Company proposes to take any action that would require an adjustment pursuant to Section 12; or

(b) there shall be a dissolution, liquidation or winding up of the Company (other than in connection with a consolidation, merger or sale of all or substantially all of its property, assets and business as an entirety), then the Company shall (i) cause written notice of such event to be filed with the Warrant Agent and (ii) use commercially reasonable efforts to the extent permissible and practicable to cause written notice of such event to be given to each of the Warrantholders at such Warrantholder’s address appearing on the Warrant Register at least twenty (20) days prior to the effective date of such action (or at least ten (10) days prior to the applicable Record Date for such action if earlier). Notwithstanding the foregoing, it shall be sufficient for the Company to notify Warrantholders if it files or furnishes a Form 8-K to the SEC (if applicable) or publishes a press release. Such notice shall specify the proposed effective date of such action and, if applicable, the Record Date and the material terms of such action. The failure to give the notice required by this Section 15 or any defect therein shall not affect the legality or validity of any action, distribution, right, warrant, dissolution, liquidation or winding up or the vote upon or any other action taken in connection therewith.

SECTION 16. Merger, Consolidation or Change of Name of Warrant Agent. Any Person into which the Warrant Agent may be merged or converted or with which it may be consolidated, or any Person resulting from any merger, conversion or consolidation to which the Warrant Agent is a party, or any Person succeeding to the shareholder services business of the Warrant Agent or any successor Warrant Agent, shall be the successor to the Warrant Agent hereunder without the execution or filing of any document or any further act on the part of any of the parties hereto, if such Person would be eligible for appointment as a successor Warrant Agent under the provisions of Section 18. If any of the Global Warrant Certificates have been countersigned but not delivered at the time such successor to the Warrant Agent succeeds under this Agreement, any such successor to the Warrant Agent may adopt the countersignature of the original Warrant Agent; and if at that time any of the Global Warrant Certificates shall not have been countersigned, any successor to the Warrant Agent may countersign such Global Warrant Certificates either in the name of the predecessor Warrant Agent or in the name of the successor Warrant Agent; and in all such cases such Global Warrant Certificates shall have the full force provided in the Global Warrant Certificates and in this Agreement.

If at any time the name of the Warrant Agent is changed and at such time any of the Global Warrant Certificates have been countersigned but not delivered, the Warrant Agent whose name has changed may adopt the countersignature under its prior name; and if at that time any of the Global Warrant Certificates have not been countersigned, the Warrant Agent may countersign such Global Warrant Certificates either in its prior name or in its changed name; and in all such cases such Global Warrant Certificates shall have the full force provided in the Global Warrant Certificates and in this Agreement.

SECTION 17. Warrant Agent. The Warrant Agent undertakes only the duties and obligations expressly imposed by this Agreement and the Global Warrant Certificates, in each case upon the following terms and conditions, by all of which the Company and the Warrantholders, by their acceptance thereof, shall be bound:

(a) The statements and recitals contained herein and in the Global Warrant Certificates shall be taken as statements of the Company, and the Warrant Agent shall not be liable for or by reason of any of the statements of fact or recitals contained in this Agreement or in the Global Warrant Certificates or be required to verify the same (except as to its countersignature on such Global Warrant Certificates). Except as expressly provided herein, the Warrant Agent assumes no responsibility with respect to the execution, delivery or distribution of the Global Warrant Certificates.

 

36


(b) The Warrant Agent shall not be responsible for any failure of the Company to comply with any of the covenants contained in this Agreement or in the Global Warrant Certificates to be complied with by the Company, nor shall it at any time be under any duty or responsibility to any Warrantholder to make or cause to be made any adjustment in the Exercise Price or in the number of Warrants Shares any Warrant is exercisable for (except as instructed in writing by the Company), or to determine whether any facts exist that may require any such adjustments, or with respect to the nature or extent of or method employed in making any such adjustments when made.

(c) The Warrant Agent may consult at any time with counsel satisfactory to it (who may be counsel for the Company or an employee of the Warrant Agent), and the advice or opinion of such counsel will be full and complete authorization and protection to the Warrant Agent as to any action taken, suffered or omitted by it in accordance with such advice or opinion, absent gross negligence, bad faith or willful misconduct in the selection and continued retention of such counsel and the reliance on such counsel’s advice or opinion (each as determined by a final non-appealable order, judgment, ruling or decree of a court of competent jurisdiction).

(d) The Warrant Agent shall be authorized and protected and shall incur no liability or responsibility to the Company or to any Warrantholder for any action taken, suffered or omitted to be taken by it in reliance on any written notice, resolution, waiver, consent, order, certificate or other paper, document or instrument believed by it to be genuine and to have been signed, sent or presented by the proper party or parties. The Warrant Agent shall not be deemed to have knowledge of any event of which it was supposed to receive notice thereof hereunder, and the Warrant Agent shall be fully protected and shall incur no liability for failing to take action in connection therewith unless and until it has received such notice in writing. The Warrant Agent shall not take any instructions or directions except those given in accordance with this Agreement.

(e) The Company agrees to pay to the Warrant Agent reasonable compensation for all services rendered by the Warrant Agent under this Agreement in accordance with a fee schedule to be mutually agreed upon, to reimburse the Warrant Agent upon demand for all reasonable and documented out-of-pocket expenses, including counsel fees and other disbursements, incurred by the Warrant Agent in the preparation, negotiation, administration, delivery, execution and amendment of this Agreement and the exercise and performance of its duties under this Agreement and to indemnify the Warrant Agent and save it harmless against any and all losses, liabilities and expenses, including judgments, damages, fines, penalties, claims, demands and costs (including reasonable out-of-pocket counsel fees and expenses), for anything done or omitted by the Warrant Agent arising out of or in connection with this Agreement except as a result of its gross negligence, bad faith or willful misconduct (each as determined by a final non-appealable order, judgment, ruling or decree of a court of competent jurisdiction). The costs and expenses incurred by the Warrant Agent in enforcing the right to indemnification shall be paid by the Company except to the extent that the Warrant Agent is not entitled to indemnification due to its gross negligence, bad faith or willful misconduct (each as determined by a final non-appealable order, judgment, ruling or decree of a court of competent jurisdiction). Notwithstanding the foregoing, the Company shall not be responsible for any settlement made without its written consent; provided that nothing in this sentence shall limit the Company’s obligations contained in this paragraph other than pursuant to such a settlement.

 

37


(f) The Warrant Agent shall be under no obligation to institute any action, suit or legal proceeding or to take any other action likely to involve expense or liability, including, without limiting the generality of the foregoing, any duty or responsibility to initiate or attempt to initiate any proceedings at law or otherwise or to make any demand upon the Company. All rights of action under this Agreement or under any of the Warrants may be enforced by the Warrant Agent without the possession of any of the Warrants or the production thereof at any trial or other proceeding relative thereto, and any such action, suit or proceeding instituted by the Warrant Agent shall be brought in its name as Warrant Agent, and any recovery or judgment shall be for the ratable benefit of the Warrantholders, as their respective rights or interests may appear.

(g) The Warrant Agent, and any member, stockholder, affiliate, director, officer or employee thereof, may buy, sell or deal in any of the Warrants or other securities of the Company or become pecuniarily interested in any transaction in which the Company is interested, or contract with or lend money to the Company or otherwise act as fully and freely as though it was not the Warrant Agent under this Agreement, or a member, stockholder director, officer or employee of the Warrant Agent, as the case may be. Nothing herein shall preclude the Warrant Agent from acting in any other capacity for the Company or for any other legal entity.

(h) The Warrant Agent shall act hereunder solely as agent for the Company, and its duties shall be determined solely by the provisions hereof. The Warrant Agent shall not be liable for anything that it may do or refrain from doing in connection with this Agreement except in connection with its own gross negligence, bad faith or willful misconduct (each as determined by a final non-appealable order, judgment, ruling or decree of a court of competent jurisdiction). Notwithstanding anything in this Agreement to the contrary, in no event will the Warrant Agent be liable for special, indirect, incidental, punitive or consequential loss or damage of any kind whatsoever (including, but not limited to, lost profits), even if the Warrant Agent has been advised of the possibility of such loss or damage and regardless of the form of the action.

(i) The Company agrees that it will perform, execute, acknowledge and deliver or cause to be performed, executed, acknowledged and delivered all such further and other acts, instruments and assurances as may reasonably be required by the Warrant Agent for the carrying out or performing of the provisions of this Agreement.

(j) The Warrant Agent shall not be under any responsibility in respect of the validity of this Agreement or the execution and delivery hereof (except the due and validly authorized execution hereof by the Warrant Agent) or in respect of the validity or execution of any Global Warrant Certificate (except its due and validly authorized countersignature thereof), nor shall the Warrant Agent by any act hereunder be deemed to make any representation or warranty as to the authorization or reservation of the Warrant Shares to be issued pursuant to this Agreement or any Warrant or as to whether the Warrant Shares will when issued be validly issued, fully paid and nonassessable or as to the Exercise Price or the number of Warrant Shares a Warrant is exercisable for. The Warrant Agent shall not at any time be under any duty or responsibility to any Holder to

 

38


determine whether any facts exist that may require an adjustment, or the calculation of any adjustments or any amounts due in connection with any exercise of the Warrants. Provided the Warrant Agent has performed its duties as soon as commercially practicable, the Warrant Agent shall not be liable for the Company’s failure to timely deliver shares of Common Stock pursuant to the terms of the Warrants, nor shall the Warrant Agent be liable for any damages associated therewith.

(k) Whenever in the performance of its duties under this Agreement the Warrant Agent deems it necessary or desirable that any fact or matter be proved or established by the Company prior to taking, suffering or omitting to take any action hereunder, the Warrant Agent is hereby authorized and directed to accept instructions with respect to the performance of its duties hereunder from an Appropriate Officer of the Company and to apply to such Appropriate Officer for advice or instructions in connection with its duties, and such instructions shall be full authorization and protection to the Warrant Agent and, absent gross negligence, bad faith or willful misconduct (each as determined by a final non-appealable order, judgment, ruling or decree of a court of competent jurisdiction), the Warrant Agent shall not be liable for any action taken, suffered to be taken, or omitted to be taken by it in accordance with instructions of any such Appropriate Officer or in reliance upon any statement signed by any one of such Appropriate Officers of the Company with respect to any fact or matter (unless other evidence in respect thereof is herein specifically prescribed) which may be deemed to be conclusively proved and established by such signed statement. The Warrant Agent shall not be held to have notice of any change of authority of any person, until receipt of written notice thereof from Company.

(l) Notwithstanding anything contained herein to the contrary, the Warrant Agent’s aggregate liability during any term of this Agreement with respect to, arising from, or arising in connection with this Agreement, or from all services provided or omitted to be provided under this Agreement, whether in contract, or in tort, or otherwise, is limited to, and shall not exceed, the amounts paid hereunder by the Company to the Warrant Agent as fees and charges, but not including reimbursable expenses, during the twelve (12) months immediately preceding the event for which recovery from Warrant Agent is being sought.

(m) No provision of this Agreement shall require the Warrant Agent to expend or risk its own funds or otherwise incur any financial liability in the performance of any of its duties hereunder or in the exercise of its rights if it believes that repayment of such funds or adequate indemnification against such risk or liability is not reasonably assured to it.

(n) If the Warrant Agent shall receive any notice or demand (other than notice of or demand for exercise of Warrants) addressed to the Company by any Warrantholder pursuant to the provisions of the Warrants, the Warrant Agent shall promptly forward such notice or demand to the Company.

(o) The Warrant Agent may execute and exercise any of the rights or powers hereby vested in it or perform any duty hereunder either itself or by or through its attorneys, accountants, agents or other experts, and the Warrant Agent will not be answerable or accountable for any act, default, neglect or misconduct of any such attorneys or agents or for any loss to the Company or the Warrantholders resulting from any such act, default, neglect or misconduct, absent gross negligence, bad faith or willful misconduct in the selection and continued employment thereof (each as determined by a final non-appealable order, judgment, ruling or decree of a court of competent jurisdiction).

 

39


(p) The Warrant Agent will not be under any duty or responsibility to ensure compliance with any applicable federal or state securities laws in connection with the issuance, transfer or exchange of the Warrants.

(q) The Warrant Agent shall have no duties, responsibilities or obligations as the Warrant Agent except those which are expressly set forth herein, and in any modification or amendment hereof to which the Warrant Agent has consented in writing, and no duties, responsibilities or obligations shall be implied or inferred. Without limiting the foregoing, unless otherwise expressly provided in this Agreement, the Warrant Agent shall not be subject to, nor be required to comply with, or determine if any Person has complied with, the Warrants or any other agreement between or among the parties hereto, even though reference thereto may be made in this Agreement, or to comply with any notice, instruction, direction, request or other communication, paper or document other than as expressly set forth in this Agreement.

(r) The Warrant Agent shall not incur any liability for not performing any act, duty, obligation or responsibility by reason of any occurrence beyond the control of the Warrant Agent (including without limitation any act or provision of any present or future law or regulation or governmental authority, any act of God, war, civil disorder or failure of any means of communication, terrorist acts, pandemics, epidemics, shortage of supply, breakdowns or malfunctions, interruptions or malfunction of computer facilities, or loss of data due to power failures or mechanical difficulties with information storage or retrieval systems, labor difficulties).

(s) In the event the Warrant Agent believes any ambiguity or uncertainty exists hereunder or in any notice, instruction, direction, request or other communication, paper or document received by the Warrant Agent hereunder, or is for any reason unsure as to what action to take hereunder, the Warrant Agent shall notify the Company in writing as soon as practicable, and upon delivery of such notice may, in its sole discretion, refrain from taking any action, and shall be fully protected and shall not be liable in any way to the Company or any Warrantholder or other Person for refraining from taking such action, unless the Warrant Agent receives written instructions signed by the Company which eliminates such ambiguity or uncertainty to the satisfaction of Warrant Agent.

(t) The Warrant Agent and the Company agree that all books, records, information and data pertaining to the business of the other party, including inter alia, personal, non-public Warrantholder information, which are exchanged or received pursuant to the negotiation or the carrying out of this Agreement including the fees for services set forth in the attached schedule shall remain confidential, and shall not be voluntarily disclosed to any other person, except as may be required by law, including, without limitation, pursuant to subpoenas from state or federal government authorities (e.g., in divorce and criminal actions).

(u) All funds received by Computershare under this Agreement that are to be distributed or applied by Computershare in the performance of Services (the “Funds”) shall be held by Computershare as agent for the Company and deposited in one or more bank accounts to be maintained by Computershare in its name as agent for the Company. Until paid pursuant to

 

40


this Agreement, Computershare may hold or invest the Funds through such accounts in: (a) funds backed by obligations of, or guaranteed by, the United States of America; (b) debt or commercial paper obligations rated A-1 or P-1 or better by S&P Global Inc. (“S&P”) or Moody’s Investors Service, Inc. (“Moody’s”), respectively; (c) Government and Treasury backed AAA-rated Fixed NAV money market funds that comply with Rule 2a-7 of the Investment Company Act of 1940, as amended; or (d) short term certificates of deposit, bank repurchase agreements, and bank accounts with commercial banks with Tier 1 capital exceeding $1 billion, or with an investment grade rating by S&P (LT Local Issuer Credit Rating), Moody’s (Long Term Rating) and Fitch Ratings, Inc. (LT Issuer Default Rating) (each as reported by Bloomberg Finance L.P.). The Warrant Agent shall have no responsibility or liability for any diminution of the Funds that may result from any deposit or investment made by Computershare in accordance with this paragraph, including any losses resulting from a default by any bank, financial institution or other third party. Computershare may from time to time receive interest, dividends or other earnings in connection with such deposits or investments. Computershare shall not be obligated to pay such interest, dividends or earnings to the Company, any holder or any other party.

(v) The provisions of this Section 17 shall survive the termination of this Agreement, the termination, exercise or expiration of the Warrants and the resignation or removal of the Warrant Agent.

(w) No provision of this Agreement shall be construed to relieve the Warrant Agent from liability for fraud, or its own gross negligence, bad faith or its willful misconduct (each as determined by a final non-appealable order, judgment, ruling or decree of a court of competent jurisdiction).

SECTION 18. Change of Warrant Agent. If the Warrant Agent resigns (such resignation to become effective not earlier than thirty (30) calendar days after the giving of written notice thereof to the Company) or shall be adjudged bankrupt or insolvent, or shall file a voluntary petition in bankruptcy or make an assignment for the benefit of its creditors or consent to the appointment of a receiver of all or any substantial part of its property or affairs or shall generally not pay its debts as such debts become due, or shall admit in writing its inability to pay or meet its debts generally as they become due, or if an order of any court shall be entered approving any petition filed by or against the Warrant Agent under the provisions of bankruptcy laws or any similar legislation, or if a receiver, trustee or other similar official of it or of all or any substantial part of its property shall be appointed, or if any public officer shall take charge or control of it or of its property or affairs, for the purpose of rehabilitation, conservation, protection, relief, winding up or liquidation, or becomes incapable of acting as Warrant Agent or if the Board of Directors of the Company by resolution removes the Warrant Agent (such removal to become effective not earlier than thirty (30) calendar days after the filing of a certified copy of such resolution with the Warrant Agent and the giving of written notice of such removal to the Warrantholders), the Company shall appoint a successor to the Warrant Agent. If the Company fails to make such appointment within a period of thirty (30) calendar days after such removal or after it has been so notified in writing of such resignation or incapacity by the Warrant Agent, then any Warrantholder may apply to any court of competent jurisdiction for the appointment of a successor to the Warrant Agent. Pending appointment of a successor to the Warrant Agent, either by the Company or by such a court, the duties of the Warrant Agent shall be carried out by the Company. Any successor Warrant Agent, whether appointed by the Company or by such a court, shall be an entity, in good

 

41


standing, incorporated under the laws of any state or of the United States of America. As soon as practicable after appointment of the successor Warrant Agent, the Company shall cause written notice of the change in the Warrant Agent to be given to each of the Warrantholders at such Warrantholder’s address appearing on the Warrant Register. After appointment, the successor Warrant Agent shall be vested with the same powers, rights, duties and responsibilities as if it had been originally named as Warrant Agent without further act or deed. The former Warrant Agent shall deliver and transfer to the successor Warrant Agent any property at the time held by it hereunder and execute and deliver, at the expense of the Company, any further assurance, conveyance, act or deed necessary for the purpose; provided that, the predecessor Warrant Agent shall not be required to make any additional expenditure or assume any additional liability in connection with the foregoing. Failure to give any notice provided for in this Section 18 or any defect therein, shall not affect the legality or validity of the removal of the Warrant Agent or the appointment of a successor Warrant Agent, as the case may be.

SECTION 19. Warrantholder Not Deemed a Stockholder. Nothing contained in this Agreement or in any of the Warrants shall be construed as conferring upon the Warrantholders thereof the right to vote or to receive dividends or to participate in any transaction that would give rise to an adjustment under Section 12 or to consent or to receive notice as stockholders in respect of the meetings of stockholders or for the election of directors of the Company or any other matter, or any rights whatsoever as stockholders of the Company.

SECTION 20. Notices to Company and Warrant Agent. Any notice or demand authorized or permitted by this Agreement to be given or made by the Warrant Agent or by any Warrantholder to or on the Company to be effective shall be in writing (including by facsimile or email, as applicable), and shall be deemed to have been duly given or made when delivered by hand, or when sent if delivered to a recognized courier or deposited in the mail, first class and postage prepaid or, in the case email or facsimile notice, when received, addressed as follows (until another address, facsimile number or email address is filed in writing by the Company with the Warrant Agent):

Core Scientific, Inc.

838 Walker Road Suite 21-2105

Dover, DE 19904

Attention: Legal

Email: legal@corescientific.com

with a copy to:

Weil, Gotshal & Manges LLP

767 5th Avenue

New York, NY 10153

Attention: Merritt S. Johnson, Esq.

Email: merritt.johnson@weil.com

 

42


Any notice or demand pursuant to this Agreement to be given by the Company or by any Warrantholder to the Warrant Agent shall be sufficiently given if sent in the same manner as notices or demands are to be given or made to or on the Company (as set forth above), except email and facsimile, to the Warrant Agent at the office maintained by the Warrant Agent (the “Warrant Agent Office”) as follows (until another address is filed in writing by the Warrant Agent with the Company, which other address shall become the address of the Warrant Agent Office for the purposes of this Agreement):

Computershare Trust Company, N.A.,

Computershare Inc.

150 Royall Street

Canton, MA 02021

Attention: Client Services

SECTION 21. Withholding and Reporting Requirements. The Company shall comply with all applicable tax withholding and reporting requirements imposed by any governmental and regulatory authority, and all distributions or other situations requiring withholding under applicable law (including deemed distributions) pursuant to the Warrants will be subject to applicable withholding and reporting requirements. Notwithstanding any provision to the contrary, the Company shall be authorized to: (a) take any actions that may be necessary or appropriate to comply with such withholding and reporting requirements, (b) apply a portion of any cash distribution to be made under the Warrants to pay applicable withholding taxes, (c) holdback and liquidate a portion of any non-cash distribution to be made under the Warrants to generate sufficient funds to pay applicable withholding taxes, (d) require reimbursement from any Warrantholder to the extent any withholding is required in the absence of any distribution, or (e) establish any other mechanisms the Company believes are reasonable and appropriate, including requiring Warrantholders to submit appropriate tax and withholding certifications (such as IRS Forms W-9 and the appropriate IRS Form W-8, as applicable) that are necessary to comply with this Section 21.

SECTION 22. Supplements and Amendments. The Company and the Warrant Agent may from time to time amend, modify or supplement (i) this Agreement (with respect to the Tranche 1 Warrants) or the Tranche 1 Warrants with the prior written consent of Warrantholders holding at least a majority of the Warrant Shares then issuable upon exercise of the Tranche 1 Warrants then outstanding, pursuant to a written amendment or supplement executed by the Company and the Warrant Agent or (ii) this Agreement (with respect to the Tranche 2 Warrants) or the Tranche 2 Warrants with the prior written consent of Warrantholders holding at least a majority of the Warrant Shares then issuable upon exercise of the Tranche 2 Warrants then outstanding, pursuant to a written amendment or supplement executed by the Company and the Warrant Agent; provided however, that any amendment or supplement to this Agreement that would reasonably be expected to materially and adversely affect any right of a Warrantholder of a series relative to the other Warrantholders of such series shall require the written consent of such holder. In addition, the consent of each Warrantholder affected shall be required for any amendment pursuant to which the applicable Exercise Price would be increased, the number of Warrant Shares issuable upon exercise of Warrants would be decreased (other than pursuant to adjustments provided in this Agreement) or the applicable Expiration Date would be revised to an earlier date, provided however, that the Company and the Warrant Agent may amend this Agreement without the consent of Warrantholders to (i) to cure any ambiguity; (ii) to correct or supplement any provision herein which may be defective or inconsistent with any other provision herein; or (iii) to make any other provisions with respect to matters or questions arising under this

 

43


Agreement as long as the new provisions do not adversely affect (other than a de minimis adverse effect) the interest of the Warrantholders. Notwithstanding anything to the contrary herein, upon the delivery of a certificate from an Appropriate Officer of the Company which states that the proposed supplement or amendment is in compliance with the terms of this Section 22 and provided that such supplement or amendment does not adversely affect the Warrant Agent’s rights, duties, liabilities, immunities or obligations hereunder, the Warrant Agent shall execute such supplement or amendment. Any amendment, modification or waiver effected pursuant to and in accordance with the provisions of this Section 22 will be binding upon all Warrantholders and upon each future Warrantholder, the Company and the Warrant Agent. In the event of any amendment, modification, supplement or waiver, the Company will give prompt notice thereof to all Warrantholders and, if appropriate, notation thereof will be made on all Global Warrant Certificates thereafter surrendered for registration of transfer or exchange. Notwithstanding anything in this Agreement to the contrary, the Warrant Agent may, but shall not be obligated to, enter into any supplement or amendment that adversely affects the Warrant Agent’s own rights, duties, immunities or obligations under this Agreement.

SECTION 23. Successors. All the covenants and provisions of this Agreement by or for the benefit of the Company or the Warrant Agent shall bind and inure to the benefit of their respective successors and assigns hereunder.

SECTION 24. Termination. This Agreement shall terminate at 5:00 p.m., New York City time, on the applicable Expiration Date (or, at 5:00 p.m., New York City time, on the Settlement Date with respect to any Warrant Exercise Notice delivered prior to 5:00 p.m., New York City time, on the applicable Expiration Date) with respect to the applicable tranche of Warrants. Notwithstanding the foregoing, this Agreement will terminate on such earlier date on which all outstanding Warrants have been exercised. Termination of this Agreement shall not relieve the Company or the Warrant Agent of any of their obligations arising prior to the date of such termination or in connection with the settlement of any Warrant exercised prior to 5:00 p.m., New York City time, on the applicable Expiration Date. The provisions of Section 17, this Section 24, Section 25 and Section 26 shall survive such termination and the resignation or removal of the Warrant Agent.

SECTION 25. Governing Law Venue and Jurisdiction; Trial By Jury. This Agreement and each Warrant issued hereunder shall be deemed to be a contract made under the laws of the State of New York and for all purposes shall be governed by and construed in accordance with the laws of such state. Each party hereto consents and submits to the jurisdiction of the courts of the State of New York and any federal courts located in such state in connection with any action or proceeding brought against it that arises out of or in connection with, that is based upon, or that relates to this Agreement or the transactions contemplated hereby. In connection with any such action or proceeding in any such court, each party hereto hereby waives personal service of any summons, complaint or other process and hereby agrees that service thereof may be made in accordance with the procedures for giving notice set forth in Section 20 hereof, provided that, nothing contained herein shall be deemed to limit in any way any right to serve process in any other manner permitted by law. Each party hereto hereby waives any objection to jurisdiction or venue in any such court in any such action or proceeding and agrees not to assert any defense based on lack of jurisdiction or venue in any such court in any such action or proceeding. Each of the parties hereto hereby irrevocably waives, to the fullest

 

44


extent permitted by applicable law, any right it may have to a trial by jury in respect of any action, proceeding or counterclaim as between the parties directly or indirectly arising out of, under or in connection with this Agreement or the transactions contemplated hereby or disputes relating hereto. Each of the parties hereto (i) certifies that no representative, agent or attorney of any other party hereto has represented, expressly or otherwise that such other party hereto would not, in the event of litigation, seek to enforce the foregoing waiver and (ii) acknowledges that it and the other parties hereto have been induced to enter into this Agreement by, among other things, the mutual waivers and certifications in this Section 25.

SECTION 26. Benefits of this Agreement. Nothing in this Agreement shall be construed to give to any Person other than the Company, the Warrant Agent and the Warrantholders any legal or equitable right, remedy or claim under this Agreement, and this Agreement shall be for the sole and exclusive benefit of the Company, the Warrant Agent and the Warrantholders.

SECTION 27. Counterparts. This Agreement may be executed (including by means of facsimile or electronically transmitted portable document format (.pdf) signature pages) in any number of counterparts and each such counterpart shall for all purposes be deemed to be an original, and all such counterparts shall together constitute but one and the same instrument.

SECTION 28. Headings. The headings of sections of this Agreement have been inserted for convenience of reference only, are not to be considered a part hereof and in no way modify or restrict any of the terms or provisions hereof.

SECTION 29. Severability. Whenever possible, each provision of this Agreement shall be interpreted in such manner as to be effective and valid under applicable law, but if any provision of this Agreement is held to be invalid, illegal or unenforceable in any respect under any applicable law in any jurisdiction, such invalidity, illegality or unenforceability shall not affect the validity, legality or enforceability of any other provision of this Agreement in such jurisdiction or affect the validity, legality or enforceability of any provision in any other jurisdiction, and the invalid, illegal or unenforceable provision shall be interpreted and applied so as to produce as near as may be the economic result intended by the parties hereto. Upon determination that any term or other provision is invalid, illegal or incapable of being enforced, the parties hereto shall negotiate in good faith to modify this Agreement so as to effect the original intent of the parties as closely as possible in an acceptable manner to the end that the transactions contemplated hereby are fulfilled to the extent possible; provided, however, that if such excluded provision shall materially and adversely affect the rights, immunities, liabilities, duties or obligations of the Warrant Agent, the Warrant Agent shall be entitled to resign immediately upon written notice to the Company.

SECTION 30. Entire Agreement.

This Agreement constitutes the entire agreement and supersedes all other prior agreements and understandings, both written and oral, among the parties, or any of them, with respect to the subject matter hereof and may not be amended, except in a writing signed by both of them. Notwithstanding anything to the contrary contained in this Agreement, in the event of inconsistency between any provision in this Agreement and any provision in a Warrant Certificate, as it may from time to time be amended, this Agreement shall prevail. The Company shall not amend any provisions of the Warrant Certificate without the prior consent of the Warrant Agent, not to be unreasonably withheld or delayed.

 

45


SECTION 31. Meaning of Terms Used in Agreement.

(a) The language used in this Agreement shall be deemed to be the language chosen by the parties to express their mutual intent, and no rule of strict construction shall be applied against any party. Any references to any federal, state, local or foreign statute or law shall also refer to all rules and regulations promulgated thereunder, unless the context otherwise requires. Unless the context otherwise requires: (a) a term has the meaning assigned to it by this Agreement; (b) forms of the word “include” mean that the inclusion is not limited to the items listed; (c) “or” is disjunctive but not exclusive; (d) words in the singular include the plural, and in the plural include the singular; and (e) provisions apply to successive events and transactions; (f) “hereof”, “hereunder”, “herein” and “hereto” refer to the entire Agreement and not any section or subsection.

(b) The following terms used in this Agreement shall have the meanings set forth below:

$” shall mean the currency of the United States.

Business Day” means any day that is not a Saturday, a Sunday or other day on which banks are required or authorized by law or other governmental action to be closed in New York, New York.

Cash” means such coin or currency of the United States as at any time of payment is legal tender for the payment of public and private debts.

Close of Business” means 5:00 p.m., New York City time.

Closing Sale Price” means, as of any date, the last reported per share sales price of a share of Common Stock or any other security on such date (or, if no last reported sale price is reported, the average of the bid and ask prices or, if more than one in either case, the average of the average bid and the average ask prices on such date) as reported by the principal U.S. national or regional securities exchange or quotation system on which the Common Stock or such other security is then listed or quoted; provided, however, that in the absence of such quotations, the Board of Directors will make a good faith determination of the Closing Sale Price.

Common Stock Equivalent” means any warrant, right or option to acquire any shares of Common Stock or any security convertible into or exchangeable for shares of Common Stock.

Control” means, with respect to any Person, (i) the possession, directly or indirectly, of the power to direct or cause the direction of the management and policies of such Person, whether through the ownership of voting securities, by contract or agency or otherwise, or (ii) the ownership of at least 50% of the equity securities in such Person. “Controlled” shall have a correlative meaning.

 

46


Current Market Price” means, in connection with a dividend, issuance or distribution, the volume weighted average price per share of Common Stock for the twenty (20) Trading Days ending on, but excluding, the earlier of the date in question and the Trading Day immediately preceding the Ex-Date for such dividend, issuance or distribution for the regular trading session (including any extensions thereof, without regard to pre-open or after hours trading outside of such regular trading session) as reported by the principal U.S. national or regional securities exchange or quotation system on which the Common Stock or such other security is then listed or quoted, whichever is applicable, as published by Bloomberg at 4:15 P.M., New York City time (or 15 minutes following the end of any extension of the regular trading session), on such Trading Day, or if such volume weighted average price is unavailable or in manifest error as reasonably determined in good faith by the Board of Directors, the market value of one share of Common Stock during such twenty (20) Trading Day period determined using a volume weighted average price method by an independent nationally recognized investment bank or other qualified financial institution selected by the Board of Directors and reasonably acceptable to the Warrant Agent. If the Common Stock is not traded on any U.S. national or regional securities exchange or quotation system, the Current Market Price shall be the price per share of Common Stock that the Company could obtain from a willing buyer for shares of Common Stock sold by the Company from authorized but unissued shares of Common Stock, as such price shall be reasonably determined in good faith by the Board of Directors.

Ex-Date” means, when used with respect to any issuance of or distribution in respect of the Common Stock or any other securities, the first date on which the Common Stock or such other securities trade without the right to receive such issuance or distribution.

Market Price” means (w) if in reference to cash, the current cash value on the date of measurement in U.S. dollars, (x) if in reference to equity securities or securities included within Other Property, which are listed or admitted for trading on a national securities exchange or quotation system, the average closing price of a share (or similar relevant unit) of such securities as reported on the principal national securities exchange or quotation system on which the shares (or similar relevant units) of such securities are listed or admitted for trading, or (y) in all other cases, the value as determined in good faith by the Board of Directors of the Company. In each such case, the average price shall be averaged over a period of twenty-one (21) consecutive trading days consisting of the trading day immediately preceding the day on which the “Market Price” is being determined and the twenty (20) consecutive trading days prior to such day.

Open of Business” means 9:00 a.m., New York City time.

Record Date” means, with respect to any dividend, distribution or other transaction or event in which the holders of Common Stock have the right to receive any Cash, securities or other property or in which Common Stock (or other applicable security) is exchanged for or converted into any combination of Cash, securities or other property, the date fixed for determination of holders of Common Stock entitled to receive such Cash, securities or other property (whether such date is fixed by the Board of Directors or by statute, contract or otherwise).

Subsidiary” means, with respect to any Person, any corporation, partnership, joint venture or other legal entity as to which such Person (either alone or through or together with any other Subsidiary), (a) owns, directly or indirectly, more than fifty percent (50%) of the stock or other equity interests, (b) has the power to elect a majority of the board of directors or similar governing body, or (c) has the power to direct the business and policies.

 

47


Trading Day” means (i) if the applicable security is listed on the New York Stock Exchange, a day on which trades may be made thereon or (ii) if the applicable security is listed or admitted for trading on the American Stock Exchange, the NASDAQ Global Select Market, the NASDAQ Global Market or other national securities exchange or market, a day on which the American Stock Exchange, the NASDAQ Global Select Market, the NASDAQ Global Market or such other national securities exchange or market is open for business or (iii) if the applicable security is not so listed, admitted for trading or quoted, any Business Day.

Volume-Weighted Average Price” or “VWAP” means, for any Trading Day, the per share volume-weighted average price of the Common Stock as displayed under the heading “Bloomberg VWAP” on Bloomberg page “[CORZ] <EQUITY> AQR” (or, if such page is not available, its equivalent successor page) in respect of the period from the scheduled open of trading until the scheduled close of trading of the primary trading session on such Trading Day (or, if such volume-weighted average price is unavailable, the market value of one share of Common Stock on such Trading Day, determined, using a volume-weighted average price method, by a nationally recognized independent investment banking firm selected by the Company). The VWAP will be determined without regard to after-hours trading or any other trading outside of the regular session.

[The next page is the signature page]

 

48


IN WITNESS WHEREOF, the parties hereto have caused this Agreement to be executed and delivered as of the day and year first above written.

 

CORE SCIENTIFIC, INC.
By:   /s/ Todd M. DuChene
Name:   Todd M. DuChene
Title:   Chief Legal Officer, Chief Administrative Officer and Secretary

 

COMPUTERSHARE INC. and

COMPUTERSHARE TRUST COMPANY, N.A.

as Warrant Agent

On behalf of both entities

By:   /s/ Collin Ekeogu
Name:   Collin Ekeogu
Title:   Manager, Corporate Actions

 

[Signature Page to Warrant Agreement]


EXHIBIT A

FORM OF TRANCHE 1 GLOBAL WARRANT CERTIFICATE

VOID AFTER JANUARY 23, 2027

This Global Warrant Certificate is held by The Depository Trust Company (the “Depository”) or its nominee in custody for the benefit of the beneficial owners hereof, and is not transferable to any Person under any circumstances except that (i) this Global Warrant Certificate may be exchanged in whole but not in part pursuant to Section 6(a) of the Warrant Agreement, (ii) this Global Warrant Certificate may be delivered to the Warrant Agent for cancellation pursuant to Section 6(h) of the Warrant Agreement and (iii) this Global Warrant Certificate may be transferred to a successor Depository with the prior written consent of the Company.

Unless this Global Warrant Certificate is presented by an authorized representative of the Depository to the Company or the Warrant Agent for registration of transfer, exchange or payment and any certificate issued is registered in the name of Cede & Co. or such other entity as is requested by an authorized representative of the Depository (and any payment hereon is made to Cede & Co. or to such other entity as is requested by an authorized representative of the Depository), any transfer, pledge or other use hereof for value or otherwise by or to any Person is wrongful because the registered owner hereof, Cede & Co., has an interest herein.

Transfers of this Global Warrant Certificate shall be limited to transfers in whole, but not in part, to nominees of the Depository or to a successor thereof or such successor’s nominee, and transfers of portions of this Global Warrant Certificate shall be limited to transfers made in accordance with the restrictions set forth in Section 6 of the Warrant Agreement.

No registration or transfer of the securities issuable pursuant to the Warrant will be recorded on the books of the Company until such provisions have been complied with.

 

EXHIBIT A-1


   CUSIP No. 21874A114
No.                                    

WARRANT TO PURCHASE _______

SHARES OF COMMON STOCK

CORE SCIENTIFIC, INC.

GLOBAL WARRANT TO PURCHASE COMMON STOCK

FORM OF FACE OF TRANCHE 1 WARRANT CERTIFICATE

VOID AFTER JANUARY 23, 2027

This Warrant Certificate (“Warrant Certificate”) certifies that [•] or its registered assigns is the registered holder (the “Warrantholder”) of a Warrant (the “Warrant”) of CORE SCIENTIFIC, INC., a Delaware corporation (the “Company”), to purchase the number of shares (the “Warrant Shares”) of Common Stock, par value $0.00001 per share (the “Common Stock”) of the Company set forth above. This warrant expires on January 23, 2027 (such date, the “Tranche 1 Expiration Date”), and entitles the holder to purchase from the Company the number of fully paid and non-assessable Warrant Shares set forth above at the exercise price (the “Tranche 1 Exercise Price”) multiplied by the number of Warrant Shares set forth above (the “Exercise Amount”), payable to the Company either by certified or official bank check payable to the order of the Company, or by wire transfer in immediately available funds of the Exercise Amount to an account of the Warrant Agent specified in writing by the Warrant Agent for such purpose, no later than 5:00 p.m. New York City time, on the business day immediately prior to the Settlement Date. The initial Tranche 1 Exercise Price shall be $6.81. The Tranche 1 Exercise Price and the number of Warrant Shares purchasable upon exercise of this Warrant are subject to adjustment upon the occurrence of certain events as set forth in the Warrant Agreement.

No Warrant may be exercised after the Tranche 1 Expiration Date. After the Tranche 1 Expiration Date, the Warrants will become wholly void and of no value.

REFERENCE IS HEREBY MADE TO THE FURTHER PROVISIONS OF THIS WARRANT CERTIFICATE SET FORTH ON THE REVERSE HEREOF. SUCH FURTHER PROVISIONS SHALL FOR ALL PURPOSES HAVE THE SAME EFFECT AS THOUGH FULLY SET FORTH AT THIS PLACE.

This Warrant Certificate shall not be valid unless countersigned by the Warrant Agent.

 

EXHIBIT A-2


IN WITNESS WHEREOF, the Company has caused this Warrant Certificate to be executed by its duly authorized officer.

Dated:                        

 

CORE SCIENTIFIC, INC.

By:

   

Name:

 

Title:

 

 

COMPUTERSHARE INC. and

COMPUTERSHARE TRUST COMPANY, N.A.

as Warrant Agent

On behalf of both entities

By:

   
 

Name:

 

Title:

 

EXHIBIT A-3


FORM OF REVERSE OF GLOBAL TRANCHE 1 WARRANT CERTIFICATE

CORE SCIENTIFIC, INC.

The Warrant evidenced by this Warrant Certificate is a part of a duly authorized issue of Warrants to purchase a maximum of 98,381,418 shares of common stock issued pursuant to that certain Warrant Agreement, dated as of the Issue Date (the “Warrant Agreement”), duly executed and delivered by the COMPANY and COMPUTERSHARE INC., a Delaware corporation and its affiliate, COMPUTERSHARE TRUST COMPANY, N.A., a federally chartered trust company, collectively, as Warrant Agent (the “Warrant Agent”). The Warrant Agreement hereby is incorporated by reference in and made a part of this instrument and is hereby referred to for a description of the rights, limitation of rights, obligations, duties and immunities thereunder of the Warrant Agent, the Company and the Warrantholders. A copy of the Warrant Agreement may be inspected at the Warrant Agent office and is available upon written request addressed to the Company. All capitalized terms used in this Warrant Certificate but not defined that are defined in the Warrant Agreement shall have the meanings assigned to them therein.

Warrants may be exercised to purchase Warrant Shares from the Company from the Issue Date through 5:00 p.m. New York City time on the Tranche 1 Expiration Date, at the Tranche 1 Exercise Price set forth on the face hereof, subject to adjustment as described in the Warrant Agreement. Subject to the terms and conditions set forth herein and in the Warrant Agreement, the Warrantholder evidenced by this Warrant Certificate may exercise such Warrant by:

(i) providing written notice of such election (“Warrant Exercise Notice”) to exercise the Warrant to the Warrant Agent at the address set forth in the Warrant Agreement, “Re: Warrant Exercise”, by hand or by facsimile, no later than 5:00 p.m., New York City time, on the Tranche 1 Expiration Date, which Warrant Exercise Notice shall substantially be in the form of an election to purchase Warrant Shares set forth herein, properly completed and executed by the Warrantholder;

(ii) delivering no later than 5:00 p.m., New York City time, on the business day immediately prior to the Settlement Date, the Warrant Certificates evidencing such Tranche 1 Warrants to the Warrant Agent; and

(iii) paying the applicable Exercise Amount, together with any applicable taxes and governmental charges.

In the event that upon any exercise of the Tranche 1 Warrant evidenced hereby the number of Warrant Shares actually purchased shall be less than the total number of Warrant Shares purchasable upon exercise of the Tranche 1 Warrant evidenced hereby, there shall be issued to the Warrantholder hereof, or such Warrantholder’s assignee, a new Warrant Certificate evidencing a Warrant to purchase the Warrant Shares not so purchased. No adjustment shall be made for any cash dividends on any Warrant Shares issuable upon exercise of this Tranche 1 Warrant. After the Tranche 1 Expiration Date, unexercised Tranche 1 Warrants shall become wholly void and of no value.

 

EXHIBIT A-4


The Company shall not be required to issue fractions of Warrant Shares or any certificates that evidence fractional Warrant Shares.

Warrant Certificates, when surrendered by book-entry delivery through the facilities of the Depository may be exchanged, in the manner and subject to the limitations provided in the Warrant Agreement, but without payment of any service charge, for another Warrant Certificate or Warrant Certificates of like tenor evidencing a Warrant to purchase in the aggregate a like number of Warrant Shares.

No Tranche 1 Warrants may be sold, exchanged or otherwise transferred in violation of the Warrant Agreement. The securities represented by this instrument (including any securities issued upon exercise hereof) have not been registered under the Securities Act of 1933, as amended (the “Securities Act”) or the securities laws of any state and were issued pursuant to an exemption from the registration requirement of Section 5 of the Securities Act provided by section 1145 of Chapter 11 of Title 11 of the United States Code (the “Bankruptcy Code”), and to the extent that a Warrantholder is an “underwriter” as defined in section 1145(b)(1) of Chapter 11 of the Bankruptcy Code, such holder may not be able to sell or transfer any securities represented by this instrument (including any securities issued upon exercise hereof) in the absence of an effective registration statement relating thereto under the Securities Act and in accordance with applicable state securities laws or pursuant to an exemption from registration under such act or such laws.

The Company and Warrant Agent may deem and treat the registered holder hereof as the absolute owner of this Warrant Certificate (notwithstanding any notation of ownership or other writing hereon made by anyone) for the purpose of any exercise hereof and for all other purposes, and neither the Company nor the Warrant Agent shall be affected by any notice to the contrary.

[Balance of page intentionally remains blank]

 

EXHIBIT A-5


EXHIBIT B

FORM OF TRANCHE 2 GLOBAL WARRANT CERTIFICATE

VOID AFTER JANUARY 23, 2029

This Global Warrant Certificate is held by The Depository Trust Company (the “Depository”) or its nominee in custody for the benefit of the beneficial owners hereof, and is not transferable to any Person under any circumstances except that (i) this Global Warrant Certificate may be exchanged in whole but not in part pursuant to Section 6(a) of the Warrant Agreement, (ii) this Global Warrant Certificate may be delivered to the Warrant Agent for cancellation pursuant to Section 6(h) of the Warrant Agreement and (iii) this Global Warrant Certificate may be transferred to a successor Depository with the prior written consent of the Company.

Unless this Global Warrant Certificate is presented by an authorized representative of the Depository to the Company or the Warrant Agent for registration of transfer, exchange or payment and any certificate issued is registered in the name of Cede & Co. or such other entity as is requested by an authorized representative of the Depository (and any payment hereon is made to Cede & Co. or to such other entity as is requested by an authorized representative of the Depository), any transfer, pledge or other use hereof for value or otherwise by or to any Person is wrongful because the registered owner hereof, Cede & Co., has an interest herein.

Transfers of this Global Warrant Certificate shall be limited to transfers in whole, but not in part, to nominees of the Depository or to a successor thereof or such successor’s nominee, and transfers of portions of this Global Warrant Certificate shall be limited to transfers made in accordance with the restrictions set forth in Section 6 of the Warrant Agreement.

No registration or transfer of the securities issuable pursuant to the Warrant will be recorded on the books of the Company until such provisions have been complied with.

 

B-1


   CUSIP No. 21874A130
No.                                            

WARRANT TO PURCHASE _______

SHARES OF COMMON STOCK

CORE SCIENTIFIC, INC.

GLOBAL WARRANT TO PURCHASE COMMON STOCK

FORM OF FACE OF TRANCHE 2 WARRANT CERTIFICATE

VOID AFTER JANUARY 23, 2029

This Warrant Certificate (“Warrant Certificate”) certifies that [•] or its registered assigns is the registered holder (the “Warrantholder”) of a Warrant (the “Warrant”) of CORE SCIENTIFIC, INC., a Delaware corporation (the “Company”), to purchase the number of shares (the “Warrant Shares”) of Common Stock, par value $0.00001 per share (the “Common Stock”) of the Company set forth above. This warrant expires on January 23, 2029 (such date, the “Tranche 2 Expiration Date”), and entitles the holder, at any time after the Tranche 2 Exercisability Date, to purchase from the Company the number of fully paid and non-assessable Warrant Shares set forth above at the exercise price (the “Tranche 2 Exercise Price”) multiplied by the number of Warrant Shares set forth above (the “Exercise Amount”), payable to the Company either by certified or official bank check payable to the order of the Company, or by wire transfer in immediately available funds of the Exercise Amount to an account of the Warrant Agent specified in writing by the Warrant Agent for such purpose, no later than 5:00 p.m. New York City time, on the business day immediately prior to the Settlement Date. The initial Tranche 2 Exercise Price shall be $0.01 per warrant. The Tranche 2 Exercise Price and the number of Warrant Shares purchasable upon exercise of this Warrant are subject to adjustment upon the occurrence of certain events as set forth in the Warrant Agreement.

In lieu of paying the Exercise Amount as set forth in the preceding paragraph, subject to the provisions of the Warrant Agreement (as defined on the reverse hereof), each Warrant shall entitle the Warrantholder thereof, at the election of such Warrantholder, to a Cashless Exercise pursuant to Section 7(e) of the Warrant Agreement.

No Warrant may be exercised after the Tranche 2 Expiration Date. After the Tranche 2 Expiration Date, the Warrants will become wholly void and of no value.

REFERENCE IS HEREBY MADE TO THE FURTHER PROVISIONS OF THIS WARRANT CERTIFICATE SET FORTH ON THE REVERSE HEREOF. SUCH FURTHER PROVISIONS SHALL FOR ALL PURPOSES HAVE THE SAME EFFECT AS THOUGH FULLY SET FORTH AT THIS PLACE.

This Warrant Certificate shall not be valid unless countersigned by the Warrant Agent.

 

B-2


IN WITNESS WHEREOF, the Company has caused this Warrant Certificate to be executed by its duly authorized officer.

Dated:                                     

 

CORE SCIENTIFIC, INC.

By:

   

Name:

 

Title:

 

 

COMPUTERSHARE INC. and

COMPUTERSHARE TRUST COMPANY, N.A.

as Warrant Agent

On behalf of both entities

By:

   
 

Name:

 

Title:

 

B-3


FORM OF REVERSE OF GLOBAL TRANCHE 2 WARRANT CERTIFICATE

CORE SCIENTIFIC, INC.

The Warrant evidenced by this Warrant Certificate is a part of a duly authorized issue of Warrants to purchase a maximum of 81,984,644 shares of common stock issued pursuant to that certain Warrant Agreement, dated as of the Issue Date (the “Warrant Agreement”), duly executed and delivered by the COMPANY and COMPUTERSHARE INC., a Delaware corporation and its affiliate COMPUTERSHARE TRUST COMPANY, N.A., a federally chartered trust company, collectively, as Warrant Agent (the “Warrant Agent”). The Warrant Agreement hereby is incorporated by reference in and made a part of this instrument and is hereby referred to for a description of the rights, limitation of rights, obligations, duties and immunities thereunder of the Warrant Agent, the Company and the Warrantholders. A copy of the Warrant Agreement may be inspected at the Warrant Agent office and is available upon written request addressed to the Company. All capitalized terms used in this Warrant Certificate but not defined that are defined in the Warrant Agreement shall have the meanings assigned to them therein.

Warrants may be exercised to purchase Warrant Shares from the Company from the Tranche 2 Exercisability Date through 5:00 p.m. New York City time on the Tranche 2 Expiration Date, at the Tranche 2 Exercise Price set forth on the face hereof, subject to adjustment as described in the Warrant Agreement. Subject to the terms and conditions set forth herein and in the Warrant Agreement, the Warrantholder evidenced by this Warrant Certificate may exercise such Warrant by:

(i) providing written notice of such election (“Warrant Exercise Notice”) to exercise the Warrant to the Warrant Agent at the address set forth in the Warrant Agreement, “Re: Warrant Exercise”, by hand or by facsimile, no later than 5:00 p.m., New York City time, on the Tranche 2 Expiration Date, which Warrant Exercise Notice shall substantially be in the form of an election to purchase Warrant Shares set forth herein, properly completed and executed by the Warrantholder;

(ii) delivering no later than 5:00 p.m., New York City time, on the business day immediately prior to the Settlement Date, the Warrant Certificates evidencing such Tranche 2 Warrants to the Warrant Agent; and

(iii) paying the applicable Exercise Amount, together with any applicable taxes and governmental charges.

In lieu of paying the Exercise Amount as set forth in the preceding paragraph, subject to the provisions of the Warrant Agreement, each Warrant shall entitle the Warrantholder thereof, at the election of such Warrantholder, to a Cashless Exercise pursuant to Section 7(e) of the Warrant Agreement. Notwithstanding the foregoing, no Cashless Exercise shall be permitted if, as the result of such adjustment provided for in Section 12 of the Warrant Agreement at the time of such Cashless Exercise, Warrant Shares include a cash component and the Company would be required to pay cash to a Warrantholder upon exercise of Warrants.

 

B-4


In the event that upon any exercise of the Tranche 2 Warrant evidenced hereby the number of Warrant Shares actually purchased shall be less than the total number of Warrant Shares purchasable upon exercise of the Tranche 2 Warrant evidenced hereby, there shall be issued to the Warrantholder hereof, or such Warrantholder’s assignee, a new Warrant Certificate evidencing a Warrant to purchase the Warrant Shares not so purchased. No adjustment shall be made for any cash dividends on any Warrant Shares issuable upon exercise of this Tranche 2 Warrant. After the Tranche 2 Expiration Date, unexercised Tranche 2 Warrants shall become wholly void and of no value.

The Company shall not be required to issue fractions of Warrant Shares or any certificates that evidence fractional Warrant Shares.

Warrant Certificates, when surrendered by book-entry delivery through the facilities of the Depository may be exchanged, in the manner and subject to the limitations provided in the Warrant Agreement, but without payment of any service charge, for another Warrant Certificate or Warrant Certificates of like tenor evidencing a Warrant to purchase in the aggregate a like number of Warrant Shares.

No Tranche 2 Warrants may be sold, exchanged or otherwise transferred in violation of the Warrant Agreement. The securities represented by this instrument (including any securities issued upon exercise hereof) have not been registered under the Securities Act of 1933, as amended (the “Securities Act”) or the securities laws of any state and were issued pursuant to an exemption from the registration requirement of Section 5 of the Securities Act provided by section 1145 of Chapter 11 of Title 11 of the United States Code (the “Bankruptcy Code”), and to the extent that a Warrantholder is an “underwriter” as defined in section 1145(b)(1) of Chapter 11 of the Bankruptcy Code, such holder may not be able to sell or transfer any securities represented by this instrument (including any securities issued upon exercise hereof) in the absence of an effective registration statement relating thereto under the Securities Act and in accordance with applicable state securities laws or pursuant to an exemption from registration under such act or such laws.

The Company and Warrant Agent may deem and treat the registered holder hereof as the absolute owner of this Warrant Certificate (notwithstanding any notation of ownership or other writing hereon made by anyone) for the purpose of any exercise hereof and for all other purposes, and neither the Company nor the Warrant Agent shall be affected by any notice to the contrary.

[Balance of page intentionally remains blank]

 

B-5


EXHIBIT C-1

FORM OF ELECTION TO EXERCISE BOOK-ENTRY

WARRANTS (TO BE EXECUTED UPON EXERCISE OF THE WARRANT)

The undersigned hereby irrevocably elects to exercise the right, represented by this Warrant Statement, to purchase                  newly issued shares of Common Stock of CORE SCIENTIFIC, INC. (the “Company”) at the [Tranche 1][Tranche 2] Exercise Price of [Tranche 1: $6.81][Tranche 2: $0.01] per share, as adjusted pursuant to the Warrant Agreement.

The undersigned represents, warrants and promises that it has the full power and authority to exercise and deliver the Warrants exercised hereby. The undersigned represents, warrants and promises that it has delivered or will deliver in payment for such shares $            by certified or official bank or bank cashier’s check payable to the order of the Company [Tranche 2:, or through a Cashless Exercise (as described below)], no later than 5:00 p.m., New York City time, on the business day immediately prior to the Settlement Date.

[Tranche 2: ☐ Please check if the undersigned, in lieu of paying the Tranche 2 Exercise Price as set forth in the preceding paragraph, elects to a Cashless Exercise of the Tranche 2 Warrants pursuant the Warrant Agreement.]

The undersigned requests that a certificate representing the shares of Common Stock be delivered as follows:

 

Name

Address:

 

 

Delivery Address (if different):

 
 

 

C-1-1


If such number of shares of Common Stock is less than the aggregate number of shares of Common Stock purchasable hereunder, the undersigned requests that a new Book-Entry Warrant representing the balance of such Warrants shall be registered, with the appropriate Warrant Statement delivered as follows:

 

Name
Address:
 

 

Delivery Address (if different):
 
Social Security or Other Taxpayer Identification Number of Warrantholder:
 
Signature

Note: The above signature must correspond with the name as written upon the Warrant Statement in every particular, without alteration or enlargement or any change whatsoever. If the certificate representing the shares of Common Stock or any Warrant Statement representing Warrants not exercised is to be registered in a name other than that in which this Warrant Statement is registered, the signature of the holder hereof must be guaranteed.

SIGNATURE GUARANTEED

By:                                                 

Signatures must be guaranteed by a participant in the Securities Transfer Agent Medallion Program, the Stock Exchanges Medallion Program or the New York Stock Exchange, Inc. Medallion Signature Program.

 

C-1-2


EXHIBIT C-2

FORM OF ELECTION TO EXERCISE DIRECT REGISTRATION WARRANTS

TO BE COMPLETED BY DIRECT PARTICIPANT

IN THE DEPOSITORY TRUST COMPANY

CORE SCIENTIFIC, INC.

Warrants to Purchase              Shares of Common Stock

(TO BE EXECUTED UPON EXERCISE OF THE WARRANT)

The undersigned hereby irrevocably elects to exercise the right, represented by             Warrants held for its benefit through the book-entry facilities of The Depository Trust Company (the “Depository”), to purchase newly issued shares of Common Stock of CORE SCIENTIFIC, INC. (the “Company”) at the [Tranche 1][Tranche 2] Exercise Price of [Tranche 1: $6.81][Tranche 2: $0.01] per share, as adjusted pursuant to the Warrant Agreement.

The undersigned represents, warrants and promises that it has the full power and authority to exercise and deliver the Warrants exercised hereby. The undersigned represents, warrants and promises that it has delivered or will deliver in payment for such shares $                by certified or official bank or bank cashier’s check payable to the order of the Company, or by wire transfer in immediately available funds of the aggregate [Tranche 1][Tranche 2] Exercise Price to an account of the Warrant Agent specified in writing by the Warrant Agent for such purpose [Tranche 2: or through a Cashless Exercise (as described below)], no later than 5:00 p.m., New York City time, on the business day immediately prior to the Settlement Date.

[Tranche 2: ☐ Please check if the undersigned, in lieu of paying the Tranche 2 Exercise Price as set forth in the preceding paragraph, elects to a Cashless Exercise of the Tranche 2 Warrants pursuant to the Warrant Agreement.]

The undersigned requests that the shares of Common Stock purchased hereby be in registered form in the authorized denominations, registered in such names and delivered, all as specified in accordance with the instructions set forth below, provided that if the shares of Common Stock are evidenced by global securities, the shares of Common Stock shall be registered in the name of the Depository or its nominee.

Dated:                                         

NOTE: THIS EXERCISE NOTICE MUST BE DELIVERED TO THE WARRANT AGENT, PRIOR TO 5:00 P.M., NEW YORK CITY TIME, ON THE [TRANCHE 1 EXPIRATION DATE][TRANCHE 2 EXPIRATION DATE]. THE WARRANT AGENT SHALL NOTIFY YOU (THROUGH THE CLEARING SYSTEM) OF (1) THE WARRANT AGENT’S ACCOUNT AT THE DEPOSITORY TO WHICH YOU MUST DELIVER YOUR WARRANTS ON THE EXERCISE DATE AND (2) THE ADDRESS, PHONE NUMBER AND FACSIMILE NUMBER WHERE YOU CAN CONTACT THE WARRANT AGENT AND TO WHICH WARRANT EXERCISE NOTICES ARE TO BE SUBMITTED.

 

C-2-1


NAME OF DIRECT PARTICIPANT IN THE DEPOSITORY:             
   
(PLEASE PRINT)      
ADDRESS      
CONTACT NAME:      
ADDRESS:      
TELEPHONE (INCLUDING INTERNATIONAL CODE):      
   
FAX (INCLUDING INTERNATIONAL CODE):      
SOCIAL SECURITY OR OTHER TAXPAYER IDENTIFICATION NUMBER (IF APPLICABLE):      
   
ACCOUNT FROM WHICH WARRANTS ARE BEING DELIVERED:      
   
DEPOSITORY ACCOUNT NO.:      

WARRANT EXERCISE NOTICES WILL ONLY BE VALID IF DELIVERED IN ACCORDANCE WITH THE INSTRUCTIONS SET FORTH IN THIS NOTIFICATION (OR AS OTHERWISE DIRECTED), MARKED TO THE ATTENTION OF “WARRANT EXERCISE”. WARRANTHOLDER DELIVERING WARRANTS, IF OTHER THAN THE DIRECT DTC PARTICIPANT DELIVERING THIS WARRANT EXERCISE NOTICE:

 

NAME:

(PLEASE PRINT)

            
   
CONTACT NAME:    
TELEPHONE (INCLUDING INTERNATIONAL CODE):    
FAX (INCLUDING INTERNATIONAL CODE):    
SOCIAL SECURITY OR OTHER TAXPAYER IDENTIFICATION NUMBER (IF APPLICABLE):    

 

EXHIBIT C-2-2


ACCOUNT TO WHICH THE SHARES OF COMMON STOCK ARE TO BE CREDITED:    
DEPOSITORY ACCOUNT NO.:    

FILL IN FOR DELIVERY OF THE COMMON STOCK, IF OTHER THAN TO THE PERSON DELIVERING THIS WARRANT EXERCISE NOTICE:

 

NAME: (PLEASE PRINT) ADDRESS:      
   
CONTACT NAME:      
TELEPHONE (INCLUDING INTERNATIONAL CODE):      
   
FAX (INCLUDING INTERNATIONAL CODE):      
SOCIAL SECURITY OR OTHER TAXPAYER IDENTIFICATION NUMBER (IF APPLICABLE):      
   
NUMBER OF WARRANTS BEING EXERCISED      
   
(ONLY ONE EXERCISE PER WARRANT EXERCISE NOTICE)    
Signature:      
Name:      
Capacity in which Signing:      
Signature Guaranteed BY:      

Signatures must be guaranteed by a participant in the Securities Transfer

Agent Medallion Program, the Stock Exchanges Medallion Program

or the New York Stock Exchange, Inc. Medallion Signature Program.

 

EXHIBIT C-2-3


EXHIBIT D

FORM OF ASSIGNMENT

(TO BE EXECUTED BY THE REGISTERED WARRANTHOLDER IF

SUCH WARRANTHOLDER DESIRES TO TRANSFER A WARRANT)

FOR VALUE RECEIVED, the undersigned registered holder hereby sells, assigns and transfers unto

 

 

Name of Assignee

 

 

Address of Assignee

                 Warrants to purchase shares of Common Stock held by the undersigned, together with all right, title and interest therein, and does irrevocably constitute and appoint                      attorney, to transfer such Warrants on the books of the Warrant Agent, with full power of substitution.

 

Dated      
Signature      
Social Security or Other Taxpayer Identification Number of Assignee      
   
SIGNATURE GUARANTEED BY:      

Signatures must be guaranteed by a participant in the Securities Transfer

Agent Medallion Program, the Stock Exchanges Medallion Program

or the New York Stock Exchange, Inc. Medallion Signature Program.

 

EXHIBIT D