EX-4.1 2 tm2411210d1_ex4-1.htm EXHIBIT 4.1

Exhibit 4.1

 

Execution Version

 

NEITHER THIS SECURITY NOR THE SECURITIES AS TO WHICH THIS SECURITY MAY BE EXERCISED HAVE BEEN REGISTERED WITH THE SECURITIES AND EXCHANGE COMMISSION OR THE SECURITIES COMMISSION OF ANY STATE IN RELIANCE UPON AN EXEMPTION FROM REGISTRATION UNDER THE SECURITIES ACT OF 1933, AS AMENDED (THE “SECURITIES ACT”), AND, ACCORDINGLY, MAY NOT BE OFFERED OR SOLD EXCEPT PURSUANT TO AN EFFECTIVE REGISTRATION STATEMENT UNDER THE SECURITIES ACT OR PURSUANT TO AN AVAILABLE EXEMPTION FROM, OR IN A TRANSACTION NOT SUBJECT TO, THE REGISTRATION REQUIREMENTS OF THE SECURITIES ACT AND IN ACCORDANCE WITH APPLICABLE STATE SECURITIES LAWS AS EVIDENCED BY A LEGAL OPINION OF COUNSEL TO THE TRANSFEROR TO SUCH EFFECT. THIS SECURITY AND THE SECURITIES ISSUABLE UPON EXERCISE OF THIS SECURITY MAY BE PLEDGED IN CONNECTION WITH A BONA FIDE MARGIN ACCOUNT OR OTHER LOAN SECURED BY SUCH SECURITIES.

 

COMMON STOCK PURCHASE WARRANT

 

NKGEN BIOTECH, INC.

 

Warrant Shares: 330,000

Date of Issuance: April 1, 2024 (“Issuance Date”)

 

This COMMON STOCK PURCHASE WARRANT (the “Warrant”) certifies that, for value received (in connection with the issuance of the unsecured promissory note in the principal amount of $330,000.00 to the Holder (as defined below) of even date) (the “Note”), AJB CAPITAL INVESTMENTS LLC, a Delaware limited liability company (including any permitted and registered assigns, the “Holder”), is entitled, upon the terms and subject to the limitations on exercise and the conditions hereinafter set forth, at any time on or after the date of issuance hereof, to purchase from NKGEN BIOTECH, INC., a Delaware corporation (the “Company”), 330,000 shares of Common Stock (the “Warrant Shares”) (whereby such number may be adjusted from time to time pursuant to the terms and conditions of this Warrant) at the Exercise Price per share then in effect. This Warrant is issued by the Company as of the date hereof in connection with that certain securities purchase agreement dated April 1, 2024, by and among the Company and the Holder (the “Purchase Agreement”).

 

Capitalized terms used in this Warrant shall have the meanings set forth in the Purchase Agreement unless otherwise defined in the body of this Warrant or in Section 16 below. For purposes of this Warrant, the term “Exercise Price” shall mean $2.00, subject to adjustment as provided herein (including but not limited to cashless exercise), and the term “Exercise Period” shall mean the period commencing on the Issuance Date and ending on 5:00 p.m. eastern standard time on the five-year anniversary thereof.

 

1.              EXERCISE OF WARRANT.

 

(a)           Mechanics of Exercise. Subject to the terms and conditions hereof, the rights represented by this Warrant may be exercised in whole or in part at any time or times during the Exercise Period by delivery of a written notice, in the form attached hereto as Exhibit A (the “Exercise Notice”), of the Holder’s election to exercise this Warrant. The Holder shall not be required to deliver the original Warrant in order to effect an exercise hereunder. Partial exercises of this Warrant resulting in purchases of a portion of the total number of Warrant Shares available hereunder shall have the effect of lowering the outstanding number of Warrant Shares purchasable hereunder in an amount equal to the applicable number of Warrant Shares purchased. On or before the second Trading Day (the “Warrant Share Delivery Date”) following the date on which the Holder sent the Exercise Notice to the Company or the Company’s transfer agent, and upon receipt by the Company of payment to the Company of an amount equal to the applicable Exercise Price multiplied by the number of Warrant Shares as to which all or a portion of this Warrant is being exercised (the “Aggregate Exercise Price” and together with the Exercise Notice, the “Exercise Delivery Documents”) in cash or by wire transfer of immediately available funds (or by cashless exercise, in which case there shall be no Aggregate Exercise Price provided), the Company shall (or direct its transfer agent to) issue and deliver by overnight courier to the address as specified in the Exercise Notice, a certificate, registered in the Company’s share register in the name of the Holder or its designee, for the number of shares of Common Stock to which the Holder is entitled pursuant to such exercise (or deliver such shares of Common Stock in electronic format if requested by the Holder). Upon delivery of the Exercise Delivery Documents, the Holder shall be deemed for all corporate purposes to have become the holder of record of the Warrant Shares with respect to which this Warrant has been exercised, irrespective of the date of delivery of the certificates evidencing such Warrant Shares. If this Warrant is submitted in connection with any exercise and the number of Warrant Shares represented by this Warrant submitted for exercise is greater than the number of Warrant Shares being acquired upon an exercise, then the Company shall as soon as practicable and in no event later than three Business Days after any exercise and at its own expense, issue a new Warrant (in accordance with Section 7) representing the right to purchase the number of Warrant Shares purchasable immediately prior to such exercise under this Warrant, less the number of Warrant Shares with respect to which this Warrant is exercised.

 

 

 

 

If the Company fails to cause its transfer agent to issue to the Holder the respective shares of Common Stock by the respective Warrant Share Delivery Date, then the Holder will have the right to rescind such exercise in Holder’s sole discretion in addition to all other rights and remedies at law, under this Warrant, or otherwise, and such failure shall also be deemed an Event of Default under the Note (as defined in the Purchase Agreement) (the “Note”) (any Event of Default (as defined in the Note) under the Note, including but not limited to the share delivery failure described in this sentence, shall be referred to in this Warrant as an “Event of Default”), a material breach under this Warrant, and a material breach under the Purchase Agreement.

 

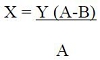
If the Market Price of one share of Common Stock is greater than the Exercise Price, then the Holder may elect to receive Warrant Shares pursuant to a cashless exercise, in lieu of a cash exercise, equal to the value of this Warrant determined in the manner described below (or of any portion thereof remaining unexercised) by surrender of this Warrant and an Exercise Notice, in which event the Company shall issue to Holder a number of Common Stock computed using the following formula:

 

 

 

Where X =   the number of Shares to be issued to Holder.
     
Y =   the number of Warrant Shares that the Holder elects to purchase under this Warrant (at the date of such calculation).
     
A =   the Market Price (at the date of such calculation).
     
B =   Exercise Price (as adjusted to the date of such calculation).

 

(b)              No Fractional Shares. No fractional shares shall be issued upon the exercise of this Warrant as a consequence of any adjustment pursuant hereto. All Warrant Shares (including fractions) issuable upon exercise of this Warrant may be aggregated for purposes of determining whether the exercise would result in the issuance of any fractional share. If, after aggregation, the exercise would result in the issuance of a fractional share, the Company shall, in lieu of issuance of any fractional share, pay the Holder otherwise entitled to such fraction a sum in cash equal to the product resulting from multiplying the then-current fair market value of a Warrant Share by such fraction.

 

2

 

 

(c)           Holder’s Exercise Limitations; Exchange Cap. Notwithstanding anything to the contrary contained herein, the Company shall not effect any exercise of this Warrant, and a Holder shall not have the right to exercise any portion of this Warrant, pursuant to Section 1 or otherwise, to the extent that after giving effect to such issuance after exercise as set forth on the applicable Exercise Notice, the Holder (together with the Holder’s Affiliates), and any other Persons acting as a group together with the Holder or any of the Holder’s Affiliates (such Persons, “Attribution Parties”)), would beneficially own in excess of the Beneficial Ownership Limitation (as defined below). For purposes of the foregoing sentence, the number of shares of Common Stock beneficially owned by the Holder and Attribution Parties shall include the number of shares of Common Stock issuable upon exercise of this Warrant with respect to which such determination is being made, but shall exclude the number of shares of Common Stock which would be issuable upon (i) exercise of the remaining, nonexercised portion of this Warrant beneficially owned by the Holder or any of its Affiliates or Attribution Parties and (ii) exercise or conversion of the unexercised or nonconverted portion of any other securities of the Company (including, without limitation, any other Common Stock Equivalents) subject to a limitation on conversion or exercise analogous to the limitation contained herein beneficially owned by the Holder or any of its Affiliates or Attribution Parties. Except as set forth in the preceding sentence, for purposes of this Section 1(c), beneficial ownership shall be calculated in accordance with Section 13(d) of the Exchange Act and the rules and regulations promulgated thereunder, it being acknowledged by the Holder that the Holder is solely responsible for any schedules required to be filed in accordance therewith. In addition, a determination as to any group status as contemplated above shall be determined in accordance with Section 13(d) of the Exchange Act and the rules and regulations promulgated thereunder. For purposes of this Section 1(c), in determining the number of outstanding shares of Common Stock, a Holder may rely on the number of outstanding shares of Common Stock as reflected in (A) the Company’s most recent periodic or annual report filed with the U.S. Securities and Exchange Commission, as the case may be, (B) a more recent public announcement by the Company or (C) a more recent written notice by the Company or the Company’s transfer agent setting forth the number of shares of Common Stock outstanding. Upon the written or oral request of a Holder, the Company shall within two Trading Days confirm orally and in writing to the Holder the number of shares of Common Stock then outstanding. In any case, the number of outstanding shares of Common Stock shall be determined after giving effect to the conversion or exercise of securities of the Company, including this Warrant, by the Holder or its Affiliates or Attribution Parties since the date as of which such number of outstanding shares of Common Stock was reported. The “Beneficial Ownership Limitation” shall be 4.99% of the number of shares of the Common Stock outstanding at the time of the respective calculation hereunder. In addition to the beneficial ownership limitations provided in this Warrant, the sum of the number of shares of Common Stock that may be issued under this Warrant shall be limited to the amount described in Section 4(r) of the Purchase Agreement, unless the Shareholder Approval (as defined in the Purchase Agreement) (“Shareholder Approval”) is obtained by the Company. In the event that the Company is prohibited from issuing any shares of Common Stock pursuant to this Warrant due to the Company’s failure to obtain the Shareholder Approval (such number of shares that are prohibited from being issued are referred to herein as the “Exchange Cap Shares”), in lieu of issuing and delivering such Exchange Cap Shares to the Holder, the Company shall pay cash to the Holder in exchange for the cancellation of such portion of this Warrant exercisable into such Exchange Cap Shares (the “Exchange Cap Payment Amount”) at a price equal to the sum of (x) the product of (A) such number of Exchange Cap Shares and (B) the greatest Closing Sale Price of the Common Stock on any Trading Day during the period commencing on the date the Holder delivers the applicable Exercise Notice with respect to such Exchange Cap Shares to the Company and ending on the date of the aforementioned payment under this Section 1(c) and (y) to the extent the Holder purchases (in an open market transaction or otherwise) shares of Common Stock to deliver in satisfaction of a sale by the Holder of Exchange Cap Shares, any brokerage commissions and other out-of-pocket expenses, if any, of the Holder incurred in connection therewith. The limitations contained in this paragraph shall apply to a successor holder of this Warrant.

 

3

 

 

(d)           Compensation for Buy-In on Failure to Timely Deliver Warrant Shares Upon Exercise. In addition to any other rights available to the Holder, if the Company fails to cause the Company’s transfer agent to transmit to the Holder the Warrant Shares in accordance with the provisions of this Warrant (including but not limited to Section 1(a) above pursuant to an exercise on or before the respective Warrant Share Delivery Date, and if after such date the Holder is required by its broker to purchase (in an open market transaction or otherwise) or the Holder’s brokerage firm otherwise purchases, shares of Common Stock to deliver in satisfaction of a sale by the Holder of the Warrant Shares which the Holder anticipated receiving upon such exercise (a “Buy-In”), then the Company shall (A) pay in cash to the Holder, within one (1) Business Day of Holder’s request, the amount, if any, by which (x) the Holder’s total purchase price (including brokerage commissions, if any) for the shares of Common Stock so purchased exceeds (y) the product of (1) the number of Warrant Shares that the Company was required to deliver to the Holder in connection with the exercise at issue times (2) the price at which the sell order giving rise to such purchase obligation was executed, and (B) at the option of the Holder, either reinstate the portion of the Warrant and equivalent number of Warrant Shares for which such exercise was not honored (in which case such exercise shall be deemed rescinded) or deliver to the Holder within one (1) Business Day of Holder’s request the number of shares of Common Stock that would have been issued had the Company timely complied with its exercise and delivery obligations hereunder. For example, if the Holder purchases, or effectuates a cashless exercise hereunder for, Common Stock having a total purchase price of $11,000 to cover a Buy-In with respect to an attempted exercise of shares of Common Stock with an aggregate sale price giving rise to such purchase obligation of $10,000, under clause (A) of the immediately preceding sentence, the Company shall be required to pay the Holder $1,000. The Holder shall provide the Company written notice indicating the amounts payable to the Holder in respect of the Buy-In and, upon request of the Company, evidence of the amount of such loss. Nothing herein shall limit a Holder’s right to pursue any other remedies available to it hereunder, at law or in equity including, without limitation, a decree of specific performance and/or injunctive relief with respect to the Company’s failure to timely deliver shares of Common Stock upon exercise of the Warrant as required pursuant to the terms hereof.

 

2.              ADJUSTMENTS. The Exercise Price and number of Warrant Shares issuable upon exercise of this Warrant are subject to adjustment from time to time as set forth in this Section 2.

 

(a)           Stock Dividends and Splits. Without limiting any provision of Section 2(b), Section 3 or Section 4, if the Company, at any time on or after the Issuance Date, (i) pays a stock dividend on one or more classes of its then outstanding shares of Common Stock or otherwise makes a distribution on any class of capital stock that is payable in shares of Common Stock, (ii) subdivides (by any stock split, stock dividend, recapitalization or otherwise) one or more classes of its then outstanding shares of Common Stock into a larger number of shares or (iii) combines (by combination, reverse stock split or otherwise) one or more classes of its then outstanding shares of Common Stock into a smaller number of shares, then in each such case the Exercise Price shall be multiplied by a fraction of which the numerator shall be the number of shares of Common Stock outstanding immediately before such event and of which the denominator shall be the number of shares of Common Stock outstanding immediately after such event. Any adjustment made pursuant to clause (i) of this paragraph shall become effective immediately after the record date for the determination of stockholders entitled to receive such dividend or distribution, and any adjustment pursuant to clause (ii) or (iii) of this paragraph shall become effective immediately after the effective date of such subdivision or combination. If any event requiring an adjustment under this paragraph occurs during the period that an Exercise Price is calculated hereunder, then the calculation of such Exercise Price shall be adjusted appropriately to reflect such event.

 

4

 

 

(b)           Adjustment Upon Issuance of Shares of Common Stock. If and whenever on or after the Issuance Date, the Company grants, issues or sells (or enters into any agreement to grant, issue or sell), or in accordance with this Section 2 is deemed to have granted, issued or sold, any shares of Common Stock (including the issuance or sale of shares of Common Stock owned or held by or for the account of the Company) for a consideration per share (the “New Issuance Price”) less than a price equal to the Exercise Price in effect immediately prior to such granting, issuance or sale or deemed granting, issuance or sale (such Exercise Price then in effect is referred to herein as the “Applicable Price”) (the foregoing a “Dilutive Issuance”), then immediately after such Dilutive Issuance, the Exercise Price then in effect shall be reduced to an amount equal to the New Issuance Price, provided that the issuance of Common Stock and warrants under (i) the contemplated transactions disclosed in Schedule 4(d) of the Purchase Agreement and (ii) the Company’s forward purchase agreements, as may continue to be amended, which were entered into among the Company and the various parties thereto initially on September 22, 2023, September 26, 2023 and September 29, 2023 (the “Excluded Issuances”), shall not be deemed a Dilutive Issuance. For all purposes of the foregoing (including, without limitation, determining the adjusted Exercise Price and the New Issuance Price under this Section 2(b)), the following shall be applicable:

 

(i)              Issuance of Options. If the Company in any manner grants, issues or sells (or enters into any agreement to grant, issue or sell) any Options and the lowest price per share for which one share of Common Stock is at any time issuable upon the exercise of any such Option or upon conversion, exercise or exchange of any Convertible Securities issuable upon exercise of any such Option or otherwise pursuant to the terms thereof is less than the Applicable Price, then such share of Common Stock shall be deemed to be outstanding and to have been issued and sold by the Company at the time of the granting, issuance or sale (or the time of execution of such agreement to grant, issue or sell, as applicable) of such Option for such price per share. For purposes of this Section 2(b)(i), the “lowest price per share for which one share of Common Stock is at any time issuable upon the exercise of any such Options or upon conversion, exercise or exchange of any Convertible Securities issuable upon exercise of any such Option or otherwise pursuant to the terms thereof” shall be equal to (1) the lower of (x) the sum of the lowest amounts of consideration (if any) received or receivable by the Company with respect to any one share of Common Stock upon the granting, issuance or sale (or pursuant to the agreement to grant, issue or sell, as applicable) of such Option, upon exercise of such Option and upon conversion, exercise or exchange of any Convertible Security issuable upon exercise of such Option or otherwise pursuant to the terms thereof and (y) the lowest exercise price set forth in such Option for which one share of Common Stock is issuable (or may become issuable assuming all possible market conditions) upon the exercise of any such Options or upon conversion, exercise or exchange of any Convertible Securities issuable upon exercise of any such Option or otherwise pursuant to the terms thereof minus (2) the sum of all amounts paid or payable to the holder of such Option (or any other Person) upon the granting, issuance or sale (or the agreement to grant, issue or sell, as applicable) of such Option, upon exercise of such Option and upon conversion, exercise or exchange of any Convertible Security issuable upon exercise of such Option or otherwise pursuant to the terms thereof plus the value of any other consideration received or receivable by, or benefit conferred on, the holder of such Option (or any other Person). Except as contemplated below, no further adjustment of the Exercise Price shall be made upon the actual issuance of such shares of Common Stock or of such Convertible Securities upon the exercise of such Options or otherwise pursuant to the terms of or upon the actual issuance of such shares of Common Stock upon conversion, exercise or exchange of such Convertible Securities.

 

(ii)             Issuance of Convertible Securities. If the Company in any manner issues or sells (or enters into any agreement to issue or sell) any Convertible Securities and the lowest price per share for which one share of Common Stock is at any time issuable upon the conversion, exercise or exchange thereof or otherwise pursuant to the terms thereof is less than the Applicable Price, then such share of Common Stock shall be deemed to be outstanding and to have been issued and sold by the Company at the time of the issuance or sale (or the time of execution of such agreement to issue or sell, as applicable) of such Convertible Securities for such price per share. For the purposes of this Section 2(b)(ii), the “lowest price per share for which one share of Common Stock is at any time issuable upon the conversion, exercise or exchange thereof or otherwise pursuant to the terms thereof” shall be equal to (1) the lower of (x) the sum of the lowest amounts of consideration (if any) received or receivable by the Company with respect to one share of Common Stock upon the issuance or sale (or pursuant to the agreement to issue or sell, as applicable) of the Convertible Security and upon conversion, exercise or exchange of such Convertible Security or otherwise pursuant to the terms thereof and (y) the lowest conversion price set forth in such Convertible Security for which one share of Common Stock is issuable (or may become issuable assuming all possible market conditions) upon conversion, exercise or exchange thereof or otherwise pursuant to the terms thereof minus (2) the sum of all amounts paid or payable to the holder of such Convertible Security (or any other Person) upon the issuance or sale (or the agreement to issue or sell, as applicable) of such Convertible Security plus the value of any other consideration received or receivable by, or benefit conferred on, the holder of such Convertible Security (or any other Person). Except as contemplated below, no further adjustment of the Exercise Price shall be made upon the actual issuance of such shares of Common Stock upon conversion, exercise or exchange of such Convertible Securities or otherwise pursuant to the terms thereof, and if any such issuance or sale of such Convertible Securities is made upon exercise of any Options for which adjustment of this Warrant has been or is to be made pursuant to other provisions of this Section 2(b), except as contemplated below, no further adjustment of the Exercise Price shall be made by reason of such issuance or sale.

 

5

 

 

(iii)            Change in Option Price or Rate of Conversion. If the purchase or exercise price provided for in any Options, the additional consideration, if any, payable upon the issue, conversion, exercise or exchange of any Convertible Securities, or the rate at which any Convertible Securities are convertible into or exercisable or exchangeable for shares of Common Stock increases or decreases at any time (other than proportional changes in conversion or exercise prices, as applicable, in connection with an event referred to in Section 2(a)), the Exercise Price in effect at the time of such increase or decrease shall be adjusted to the Exercise Price which would have been in effect at such time had such Options or Convertible Securities provided for such increased or decreased purchase price, additional consideration or increased or decreased conversion rate, as the case may be, at the time initially granted, issued or sold. For purposes of this Section 2(b)(iii), if the terms of any Option or Convertible Security (including, without limitation, any Option or Convertible Security that was outstanding as of the Issuance Date) are increased or decreased in the manner described in the immediately preceding sentence, then such Option or Convertible Security and the shares of Common Stock deemed issuable upon exercise, conversion or exchange thereof shall be deemed to have been issued as of the date of such increase or decrease. No adjustment pursuant to this Section 2(b) shall be made if such adjustment would result in an increase of the Exercise Price then in effect.

 

(iv)            Calculation of Consideration Received. If any Option and/or Convertible Security and/or Adjustment Right is issued in connection with the issuance or sale or deemed issuance or sale of any other securities of the Company (as determined jointly by the Holder and the Company), the “Primary Security”, and such Option and/or Convertible Security and/or Adjustment Right, the “Secondary Securities”), together comprising one integrated transaction, (or one or more transactions if such issuances or sales or deemed issuances or sales of securities of the Company either (A) have at least one investor or purchaser in common, (B) are consummated in reasonable proximity to each other and/or (C) are consummated under the same plan of financing) the aggregate consideration per share of Common Stock with respect to such Primary Security shall be deemed to be equal to the difference of (x) the lowest price per share for which one share of Common Stock was issued (or was deemed to be issued pursuant to Section 2(b)(i) or 2(b)(ii) above, as applicable) in such integrated transaction solely with respect to such Primary Security, minus (y) with respect to such Secondary Securities, the sum of (I) the Black Scholes Consideration Value of each such Option, if any, (II) the fair market value (as reasonably determined jointly by the Holder and the Company in good faith) or the Black Scholes Consideration Value, as applicable, of such Adjustment Right, if any, and (III) the fair market value (as reasonably determined jointly by the Holder and the Company) of such Convertible Security, if any, in each case, as determined on a per share basis in accordance with this Section 2(b)(iv). If any shares of Common Stock, Options or Convertible Securities are issued or sold or deemed to have been issued or sold for cash, the consideration received therefor (for the purpose of determining the consideration paid for such Common Stock, Option or Convertible Security, but not for the purpose of the calculation of the Black Scholes Consideration Value) will be deemed to be the net amount of consideration received by the Company therefor. If any shares of Common Stock, Options or Convertible Securities are issued or sold for a consideration other than cash, the amount of such consideration received by the Company (for the purpose of determining the consideration paid for such Common Stock, Option or Convertible Security, but not for the purpose of the calculation of the Black Scholes Consideration Value) will be the fair value of such consideration, except where such consideration consists of publicly traded securities, in which case the amount of consideration received by the Company for such securities will be the arithmetic average of the VWAPs of such security for each of the five (5) Trading Days immediately preceding the date of receipt. If any shares of Common Stock, Options or Convertible Securities are issued to the owners of the non-surviving entity in connection with any merger in which the Company is the surviving entity, the amount of consideration therefor (for the purpose of determining the consideration paid for such Common Stock, Option or Convertible Security, but not for the purpose of the calculation of the Black Scholes Consideration Value) will be deemed to be the fair value of such portion of the net assets and business of the non-surviving entity as is attributable to such shares of Common Stock, Options or Convertible Securities (as the case may be). The fair value of any consideration other than cash or publicly traded securities will be reasonably determined jointly by the Company and the Holder. If such parties are unable to reach agreement within ten (10) days after the occurrence of an event requiring valuation (the “Valuation Event”), the fair value of such consideration will be determined within five (5) Trading Days after the tenth (10th) day following such Valuation Event by an independent, reputable appraiser jointly selected by the Company and the Holder. The determination of such appraiser shall be final and binding upon all parties absent manifest error and the fees and expenses of such appraiser shall be borne by the Company.

  

6

 

 

(v)            Record Date. If the Company takes a record of the holders of shares of Common Stock for the purpose of entitling them (A) to receive a dividend or other distribution payable in shares of Common Stock, Options or in Convertible Securities or (B) to subscribe for or purchase shares of Common Stock, Options or Convertible Securities, then such record date will be deemed to be the date of the issuance or sale of the shares of Common Stock deemed to have been issued or sold upon the declaration of such dividend or the making of such other distribution or the date of the granting of such right of subscription or purchase (as the case may be).

 

(c)           Holder’s Right of Alternative Exercise Price Following Issuance of Certain Options or Convertible Securities. In addition to and not in limitation of the other provisions of this Section 2, if the Company in any manner issues or sells or enters into any agreement to issue or sell, any Common Stock, Options or Convertible Securities (any such securities, “Variable Price Securities”) after the Issuance Date that are issuable pursuant to such agreement or convertible into or exchangeable or exercisable for shares of Common Stock at a price which varies or may vary with the market price of the shares of Common Stock, including by way of one or more reset(s) to a fixed price, but exclusive of such formulations reflecting customary anti-dilution provisions (such as share splits, share combinations, share dividends and similar transactions) (each of the formulations for such variable price being herein referred to as, the “Variable Price”), the Company shall provide written notice thereof via electronic mail and overnight courier to the Holder on the date of such agreement and the issuance of such Common Stock, Convertible Securities or Options. From and after the date the Company enters into such agreement or issues any such Variable Price Securities, the Holder shall have the right, but not the obligation, in its sole discretion to substitute the Variable Price, as calculated pursuant to the agreements governing such Variable Price Securities, for the Exercise Price upon exercise of this Warrant by designating in the Exercise Notice delivered upon any exercise of this Warrant that solely for purposes of such exercise the Holder is relying on the Variable Price rather than the Exercise Price then in effect. The Holder’s election to rely on a Variable Price for a particular exercise of this Warrant shall not obligate the Holder to rely on a Variable Price for any future exercises of this Warrant.

 

(d)           Stock Combination Event Adjustment. If at any time and from time to time on or after the Issuance Date there occurs any stock split, stock dividend, stock combination recapitalization or other similar transaction involving the Common Stock (each, a “Stock Combination Event”, and such date thereof, the “Stock Combination Event Date”) and the Event Market Price is less than the Exercise Price then in effect (after giving effect to the adjustment in clause 2(a) above), then on the sixteenth (16th) Trading Day immediately following such Stock Combination Event, the Exercise Price then in effect on such sixteenth (16th) Trading Day (after giving effect to the adjustment in clause 2(a) above) shall be reduced (but in no event increased) to the Event Market Price. For the avoidance of doubt, if the adjustment in the immediately preceding sentence would otherwise result in an increase in the Exercise Price hereunder, no adjustment shall be made.

 

(e)           Other Events. In the event that the Company (or any Subsidiary (as defined in the Purchase Agreement)) shall take any action to which the provisions hereof are not strictly applicable, or, if applicable, would not operate to protect the Holder from actual dilution or if any event occurs of the type contemplated by the provisions of this Section 2 but not expressly provided for by such provisions (including, without limitation, the granting of stock appreciation rights, phantom stock rights or other rights with equity features), then the Company’s board of directors shall in good faith determine and implement an appropriate adjustment in the Exercise Price and the number of Warrant Shares (if applicable) so as to protect the rights of the Holder, provided that no such adjustment pursuant to this Section 2(e) will increase the Exercise Price or decrease the number of Warrant Shares as otherwise determined pursuant to this Section 2, provided further that if the Holder does not accept such adjustments as appropriately protecting its interests hereunder against such dilution, then the Company’s board of directors and the Holder shall agree, in good faith, upon an independent investment bank of nationally recognized standing to make such appropriate adjustments, whose determination shall be final and binding absent manifest error and whose fees and expenses shall be borne by the Company.

 

7

 

 

(f)            Calculations. All calculations under this Section 2 shall be made by rounding to the nearest cent or the nearest 1/100th of a share, as applicable. The number of shares of Common Stock outstanding at any given time shall not include shares owned or held by or for the account of the Company, and the disposition of any such shares shall be considered an issuance or sale of Common Stock

 

(g)           Voluntary Adjustment By Company. Subject to the rules and regulations of the Principal Market, the Company may at any time during the term of this Warrant, with the prior written consent of the Holder, reduce the then current Exercise Price to any amount and for any period of time deemed appropriate by the board of directors of the Company.

 

(h)           Number of Warrant Shares. Simultaneously with any adjustment to the Exercise Price pursuant to this Section 2, the number of Warrant Shares that may be purchased upon exercise of this Warrant shall be increased or decreased proportionately, so that after such adjustment the aggregate Exercise Price payable hereunder for the adjusted number of Warrant Shares shall be the same as the aggregate Exercise Price in effect immediately prior to such adjustment (without regard to any limitations on exercise contained herein). For the avoidance of doubt, the aggregate Exercise Price payable prior to such adjustment is calculated as follows: the total number of Warrant Shares issuable upon exercise of this Warrant immediately prior to such adjustment (without regard to the Beneficial Ownership Limitation) multiplied by the Exercise Price in effect immediately prior to such adjustment. By way of example, if E is the total number of Warrant Shares issuable upon exercise of this Warrant immediately prior to such adjustment (without regard to the Beneficial Ownership Limitation), F is the Exercise Price in effect immediately prior to such adjustment, and G is the Exercise Price in effect immediately after such adjustment, the adjustment to the number of Warrant Shares can be expressed in the following formula: Total number of Warrant Shares after such adjustment = the number obtained from dividing [E x F] by G.

 

(i)             Notice. In addition to all other notice(s) required under this Section 2, the Company shall also notify the Holder in writing, no later than the Trading Day following any adjustment to the Warrant under this Section 2, indicating therein the occurrence of such applicable exercise price and warrant share adjustment (such notice the “Adjustment Notice”). For purposes of clarification, regardless of whether (i) the Company provides an Adjustment Notice pursuant to this Section 2 or (ii) the Holder accurately refers to the number of Warrant Shares or Exercise Price in the Exercise Notice, the Holder is entitled to receive the adjustments to the number of Warrant Shares and Exercise Price at all times on and after the date of such adjustment event.

 

3.              RIGHTS UPON DISTRIBUTION OF ASSETS. In addition to any adjustments pursuant to Section 2 above or Section 4(a) below, if the Company shall declare or make any dividend or other distribution of its assets (or rights to acquire its assets) to holders of shares of Common Stock, by way of return of capital or otherwise (including, without limitation, any distribution of cash, stock or other securities, property, options, evidence of indebtedness or any other assets by way of a dividend, spin off, reclassification, corporate rearrangement, scheme of arrangement or other similar transaction) (a “Distribution”), at any time after the issuance of this Warrant, then, in each such case, the Holder shall be entitled to participate in such Distribution to the same extent that the Holder would have participated therein if the Holder had held the number of shares of Common Stock acquirable upon complete exercise of this Warrant (without regard to any limitations or restrictions on exercise of this Warrant, including without limitation, the Beneficial Ownership Limitation) immediately before the date on which a record is taken for such Distribution, or, if no such record is taken, the date as of which the record holders of shares of Common Stock are to be determined for the participation in such Distribution (provided, however, that to the extent that the Holder’s right to participate in any such Distribution would result in the Holder and the other Attribution Parties exceeding the Beneficial Ownership Limitation, then the Holder shall not be entitled to participate in such Distribution to the extent of the Beneficial Ownership Limitation (and shall not be entitled to beneficial ownership of such shares of Common Stock as a result of such Distribution (and beneficial ownership) to the extent of any such excess) and the portion of such Distribution shall be held in abeyance for the benefit of the Holder until such time or times, if ever, as its right thereto would not result in the Holder and the other Attribution Parties exceeding the Beneficial Ownership Limitation, at which time or times the Holder shall be granted such Distribution (and any Distributions declared or made on such initial Distribution or on any subsequent Distribution held similarly in abeyance) to the same extent as if there had been no such limitation).

 

8

 

 

4.              PURCHASE RIGHTS; FUNDAMENTAL TRANSACTIONS.

 

(a)           Purchase Rights. In addition to any adjustments pursuant to Sections 2 or 3 above, if at any time the Company grants, issues or sells any Options, Convertible Securities or rights to purchase stock, warrants, securities or other property pro rata to the record holders of any class of Common Stock (the “Purchase Rights”), then the Holder will be entitled to acquire, upon the terms applicable to such Purchase Rights, the aggregate Purchase Rights which the Holder could have acquired if the Holder had held the number of shares of Common Stock acquirable upon complete exercise of this Warrant (without regard to any limitations or restrictions on exercise of this Warrant, including without limitation, the Beneficial Ownership Limitation) immediately before the date on which a record is taken for the grant, issuance or sale of such Purchase Rights, or, if no such record is taken, the date as of which the record holders of shares of Common Stock are to be determined for the grant, issuance or sale of such Purchase Rights (provided, however, that to the extent that the Holder’s right to participate in any such Purchase Right would result in the Holder and the other Attribution Parties exceeding the Beneficial Ownership Limitation, then the Holder shall not be entitled to participate in such Purchase Right to the extent of the Beneficial Ownership Limitation (and shall not be entitled to beneficial ownership of such shares of Common Stock as a result of such Purchase Right (and beneficial ownership) to the extent of any such excess) and such Purchase Right to such extent shall be held in abeyance for the benefit of the Holder until such time or times, if ever, as its right thereto would not result in the Holder and the other Attribution Parties exceeding the Beneficial Ownership Limitation, at which time or times the Holder shall be granted such right (and any Purchase Right granted, issued or sold on such initial Purchase Right or on any subsequent Purchase Right held similarly in abeyance) to the same extent as if there had been no such limitation).

 

(b)           Fundamental Transactions. The Company shall not enter into or be party to a Fundamental Transaction unless the Successor Entity assumes in writing all of the obligations of the Company under this Warrant and the other Transaction Documents (as defined in the Purchase Agreement) in accordance with the provisions of this Section 4(b) pursuant to written agreements in form and substance satisfactory to the Holder and approved by the Holder prior to such Fundamental Transaction, including agreements to deliver to the Holder in exchange for this Warrant a security of the Successor Entity evidenced by a written instrument substantially similar in form and substance to this Warrant, including, without limitation, which is exercisable for a corresponding number of shares of capital stock equivalent to the shares of Common Stock acquirable and receivable upon exercise of this Warrant (without regard to any limitations on the exercise of this Warrant) prior to such Fundamental Transaction, and with an exercise price which applies the exercise price hereunder to such shares of capital stock (but taking into account the relative value of the shares of Common Stock pursuant to such Fundamental Transaction and the value of such shares of capital stock, such adjustments to the number of shares of capital stock and such exercise price being for the purpose of protecting the economic value of this Warrant immediately prior to the consummation of such Fundamental Transaction). Upon the consummation of each Fundamental Transaction, the Successor Entity shall succeed to, and be substituted for (so that from and after the date of the applicable Fundamental Transaction, the provisions of this Warrant and the other Transaction Documents referring to the “Company” shall refer instead to the Successor Entity), and may exercise every right and power of the Company and shall assume all of the obligations of the Company under this Warrant and the other Transaction Documents with the same effect as if such Successor Entity had been named as the Company herein. Upon consummation of each Fundamental Transaction, the Successor Entity shall deliver to the Holder confirmation that there shall be issued upon exercise of this Warrant at any time after the consummation of the applicable Fundamental Transaction, in lieu of the shares of Common Stock (or other securities, cash, assets or other property (except such items still issuable under Sections 3 and 4(a) above, which shall continue to be receivable thereafter)) issuable upon the exercise of this Warrant prior to the applicable Fundamental Transaction, such shares of publicly traded common stock (or its equivalent) of the Successor Entity (including its Parent Entity) which the Holder would have been entitled to receive upon the happening of the applicable Fundamental Transaction had this Warrant been exercised immediately prior to the applicable Fundamental Transaction (without regard to any limitations on the exercise of this Warrant), as adjusted in accordance with the provisions of this Warrant. Notwithstanding the foregoing, and without limiting Section 1(c) hereof, the Holder may elect, at its sole option, by delivery of written notice to the Company to waive this Section 4(b) to permit the Fundamental Transaction without the assumption of this Warrant. In addition to and not in substitution for any other rights hereunder, prior to the consummation of each Fundamental Transaction pursuant to which holders of shares of Common Stock are entitled to receive securities or other assets with respect to or in exchange for shares of Common Stock (a “Corporate Event”), the Company shall make appropriate provision to insure that the Holder will thereafter have the right to receive upon an exercise of this Warrant at any time after the consummation of the applicable Fundamental Transaction but prior to the Expiration Date, in lieu of the shares of the Common Stock (or other securities, cash, assets or other property (except such items still issuable under Sections 3 and 4(a) above, which shall continue to be receivable thereafter)) issuable upon the exercise of the Warrant prior to such Fundamental Transaction, such shares of stock, securities, cash, assets or any other property whatsoever (including warrants or other purchase or subscription rights) which the Holder would have been entitled to receive upon the happening of the applicable Fundamental Transaction had this Warrant been exercised immediately prior to the applicable Fundamental Transaction (without regard to any limitations on the exercise of this Warrant) (the “Corporate Event Consideration”). Provision made pursuant to the preceding sentence shall be in a form and substance reasonably satisfactory to the Holder.

 

9

 

 

(c)           Black Scholes Value.

 

(i)              Change of Control Redemption. Notwithstanding the foregoing and the provisions of Section 4(b) above, at the request of the Holder delivered at any time commencing on the earliest to occur of (A) the public disclosure of any Change of Control, (B) the consummation of any Change of Control and (C) the Holder first becoming aware of any Change of Control through the date that is ninety (90) days after the public disclosure of the consummation of such Change of Control by the Company pursuant to a Report on Form 8-K or Report of Foreign Issuer on Form 6-K filed with the SEC, the Company or the Successor Entity (as the case may be) shall exchange this Warrant for consideration equal to the Black Scholes Value of such portion of this Warrant subject to exchange (collectively, the “Aggregate Black Scholes Value”) in the form of, at the Holder’s election (such election to pay in cash or by delivery of the Rights (as defined below), a “Consideration Election”), either (I) rights (with a beneficial ownership limitation in the form of Section 1(c) hereof, mutatis mutandis) (collectively, the “Rights”), convertible in whole, or in part, at any time, without the requirement to pay any additional consideration, at the option of the Holder, into such Corporate Event Consideration applicable to such Change of Control equal in value to the Aggregate Black Scholes Value (as determined in accordance with Section 2(b)(iv) above, but with the aggregate number of Successor Shares (as defined below) issuable upon conversion of the Rights to be determined in increments of 10% (or such greater percentage as the Holder may notify the Company from time to time) of the portion of the Aggregate Black Scholes Value attributable to such Successor Shares (the “Successor Share Value Increment”), with the aggregate number of Successor Shares issuable upon exercise of the Rights with respect to the first Successor Share Value Increment determined based on 70% of the Closing Bid Price of the Successor Shares on the date the Rights are issued and on each of the nine (9) subsequent Trading Days, in each case, the aggregate number of additional Successor Shares issuable upon exercise of the Rights shall be determined based upon a Successor Share Value Increment at 70% of the Closing Bid Price of the Successor Shares in effect for such corresponding Trading Day (such ten (10) Trading Day period commencing on, and including, the date the Rights are issued, the “Rights Measuring Period”)), or (II) in cash; provided, that the Company shall not consummate a Change of Control if the Corporate Event Consideration includes share capital or other equity interest (the “Successor Shares”) either in an entity that is not listed on an Eligible Market or an entity in which the daily share volume for the applicable Successor Shares for each of the twenty (20) Trading Days prior to the date of consummation of such Change of Control is less than the aggregate number of Successor Shares issuable to the Holder upon conversion in full of the applicable Rights (without regard to any limitations on conversion therein, assuming the exercise in full of the Rights on the date of issuance of the Rights and assuming the Closing Bid Price of the Successor Shares for each Trading Day in the Rights Measuring Period is the Closing Bid Price on the Trading Day ended immediately prior to the time of consummation of the Change of Control). The Company shall give the Holder written notice of each Consideration Election at least twenty (20) Trading Days prior to the time of consummation of such Change of Control. Payment of such amounts or delivery of the Rights, as applicable, shall be made by the Company (or at the Company’s direction) to the Holder on or prior to the later of (x) the second (2nd) Trading Day after the date of such request and (y) the date of consummation of such Change of Control (or, with respect to any Right, if applicable, such later time that holders of Common Stock are initially entitled to receive Corporate Event Consideration with respect to the Common Stock of such holder). Any Corporate Event Consideration included in the Right, if any, pursuant to this Section 4(c)(i) is pari passu with the Corporate Event Consideration to be paid to holders of Common Stock and the Company shall not permit a payment of any Corporate Event Consideration to the holders of Common Stock without on or prior to such time delivering the Right to the Holder hereunder.

 

(ii)             Event of Default Redemption. Notwithstanding the foregoing and the provisions of Section 4(b) above, at the request of the Holder delivered at any time after the occurrence of an Event of Default (as defined in the Note) under the Note, the Company or the Successor Entity (as the case may be) shall purchase this Warrant from the Holder on the date of such request by paying to the Holder cash in an amount equal to the Event of Default Black Scholes Value.

 

10

 

 

(d)           Application. The provisions of this Section 4 shall apply similarly and equally to successive Fundamental Transactions and Corporate Events and shall be applied as if this Warrant (and any such subsequent warrants) were fully exercisable and without regard to any limitations on the exercise of this Warrant (provided that the Holder shall continue to be entitled to the benefit of the Beneficial Ownership Limitation, applied however with respect to shares of capital stock registered under the 1934 Act and thereafter receivable upon exercise of this Warrant (or any such other warrant)).

 

5.              NON-CIRCUMVENTION. The Company covenants and agrees that it will not, by amendment of its articles of incorporation, bylaws or through any reorganization, transfer of assets, consolidation, merger, scheme of arrangement, dissolution, issue or sale of securities, or any other voluntary action, avoid or seek to avoid the observance or performance of any of the terms of this Warrant, and will at all times in good faith carry out all the provisions of this Warrant and take all action as may be required to protect the rights of the Holder. Without limiting the generality of the foregoing, the Company (i) shall not increase the par value of any shares of Common Stock receivable upon the exercise of this Warrant above the Exercise Price then in effect, (ii) shall take all such actions as may be necessary or appropriate in order that the Company may validly and legally issue fully paid and non-assessable shares of Common Stock upon the exercise of this Warrant, and (iii) shall, for so long as this Warrant is outstanding, have authorized and reserved, free from preemptive rights, five (5) times the number of shares of Common Stock into which the Warrants are then exercisable into to provide for the exercise of the rights represented by this Warrant (without regard to any limitations on exercise).

 

6.              WARRANT HOLDER NOT DEEMED A STOCKHOLDER. Except as otherwise specifically provided herein, the Holder, solely in its capacity as a holder of this Warrant, shall not be entitled to vote or receive dividends or be deemed the holder of share capital of the Company for any purpose, nor shall anything contained in this Warrant be construed to confer upon the Holder, solely in its capacity as the Holder of this Warrant, any of the rights of a stockholder of the Company or any right to vote, give or withhold consent to any corporate action (whether any reorganization, issue of stock, reclassification of stock, consolidation, merger, conveyance or otherwise), receive notice of meetings, receive dividends or subscription rights, or otherwise, prior to the issuance to the Holder of the Warrant Shares which it is then entitled to receive upon the due exercise of this Warrant. In addition, nothing contained in this Warrant shall be construed as imposing any liabilities on the Holder to purchase any securities (upon exercise of this Warrant or otherwise) or as a stockholder of the Company, whether such liabilities are asserted by the Company or by creditors of the Company. Notwithstanding this Section 6, the Company shall provide the Holder with copies of the same notices and other information given to the stockholders of the Company generally, contemporaneously with the giving thereof to the stockholders.

 

11

 

 

7. REISSUANCE.

 

(a)            Lost, Stolen or Mutilated Warrant. If this Warrant is lost, stolen, mutilated or destroyed, the Company will, on such terms as to indemnity or otherwise as it may reasonably impose (which shall, in the case of a mutilated Warrant, include the surrender thereof), issue a new Warrant of like denomination and tenor as this Warrant so lost, stolen, mutilated or destroyed.

 

(b)           Issuance of New Warrants. Whenever the Company is required to issue a new Warrant pursuant to the terms of this Warrant, such new Warrant shall be of like tenor with this Warrant, and shall have an issuance date, as indicated on the face of such new Warrant which is the same as the Issuance Date.

 

8.              TRANSFER. This Warrant shall be binding upon the Company and its successors and assigns, and shall inure to be the benefit of the Holder and its successors and assigns. Notwithstanding anything to the contrary herein, the rights, interests or obligations of the Company hereunder may not be assigned, by operation of law or otherwise, in whole or in part, by the Company without the prior signed written consent of the Holder, which consent may be withheld at the sole discretion of the Holder (any such assignment or transfer shall be null and void if the Company does not obtain the prior signed written consent of the Holder). This Warrant or any of the severable rights and obligations inuring to the benefit of or to be performed by Holder hereunder may be assigned by Holder to a third party, in whole or in part, without the need to obtain the Company’s consent thereto.

 

9.              NOTICES. Whenever notice is required to be given under this Warrant, unless otherwise provided herein, such notice shall be given in accordance with the notice provisions contained in the Purchase Agreement. The Company shall provide the Holder with prompt written notice (i) immediately upon any adjustment of the Exercise Price, setting forth in reasonable detail, the calculation of such adjustment and (ii) at least 20 days prior to the date on which the Company closes its books or takes a record (A) with respect to any dividend or distribution upon the shares of Common Stock, (B) with respect to any grants, issuances or sales of any stock or other securities directly or indirectly convertible into or exercisable or exchangeable for shares of Common Stock or other property, pro rata to the holders of shares of Common Stock or (C) for determining rights to vote with respect to any Fundamental Transaction, dissolution or liquidation, provided in each case that such information shall be made known to the public prior to or in conjunction with such notice being provided to the Holder.

 

10.            DISCLOSURE. Upon delivery by the Company to the Holder (or receipt by the Company from the Holder) of any notice in accordance with the terms of this Warrant, unless the Company has in good faith determined that the matters relating to such notice do not constitute material, non-public information relating to the Company or any of its Subsidiaries, the Company shall on or prior to 9:00 am, New York city time on the Business Day immediately following such notice delivery date, publicly disclose such material, non-public information on a Current Report on Form 8-K or otherwise. In the event that the Company believes that a notice contains material, non-public information relating to the Company or any of its Subsidiaries, the Company so shall indicate to the Holder explicitly in writing in such notice (or immediately upon receipt of notice from the Holder, as applicable), and in the absence of any such written indication in such notice (or notification from the Company immediately upon receipt of notice from the Holder), the Holder shall be entitled to presume that information contained in the notice does not constitute material, non-public information relating to the Company or any of its Subsidiaries. Nothing contained in this Section 10 shall limit any obligations of the Company, or any rights of the Holder, under the Purchase Agreement.

 

12

 

 

11.           ABSENCE OF TRADING AND DISCLOSURE RESTRICTIONS. The Company acknowledges and agrees that the Holder is not a fiduciary or agent of the Company and that the Holder shall have no obligation to (a) maintain the confidentiality of any information provided by the Company or (b) refrain from trading any securities while in possession of such information in the absence of a written non-disclosure agreement signed by an officer of the Holder that explicitly provides for such confidentiality and trading restrictions. In the absence of such an executed, written non-disclosure agreement and subject to compliance with any applicable securities laws, the Company acknowledges that the Holder may freely trade in any securities issued by the Company, may possess and use any information provided by the Company in connection with such trading activity, and may disclose any such information to any third party.

 

12.           AMENDMENT AND WAIVER. The terms of this Warrant may be amended or waived (either generally or in a particular instance and either retroactively or prospectively) only with the signed written consent of the Company and the Holder.

 

13.           ARBITRATION OF CLAIMS; GOVERNING LAW; AND VENUE. The Company and Holder shall submit all Claims (as defined in Exhibit D of the Purchase Agreement) (the “Claims”) arising under this Warrant or any other agreement between the parties and their affiliates or any Claim relating to the relationship of the parties to binding arbitration pursuant to the arbitration provisions set forth in Exhibit D of the Purchase Agreement (the “Arbitration Provisions”). The Company and Holder hereby acknowledge and agree that the Arbitration Provisions are unconditionally binding on the Company and Holder hereto and are severable from all other provisions of this Warrant. By executing this Warrant, Company represents, warrants and covenants that Company has reviewed the Arbitration Provisions carefully, consulted with legal counsel about such provisions (or waived its right to do so), understands that the Arbitration Provisions are intended to allow for the expeditious and efficient resolution of any dispute hereunder, agrees to the terms and limitations set forth in the Arbitration Provisions, and that Company will not take a position contrary to the foregoing representations. The Company acknowledges and agrees that Holder may rely upon the foregoing representations and covenants of the Company regarding the Arbitration Provisions. This Warrant shall be construed and enforced in accordance with, and all questions concerning the construction, validity, interpretation and performance of this Warrant shall be governed by, the internal laws of the State of Delaware, without giving effect to any choice of law or conflict of law provision or rule (whether of the State of Delaware or any other jurisdictions) that would cause the application of the laws of any jurisdictions other than the State of Delaware. The Company and Holder consent to and expressly agree that the exclusive venue for arbitration of any Claims arising under this Warrant or any other agreement between the Company and Holder or their respective affiliates (including but not limited to the Transaction Documents) or any Claim relating to the relationship of the Company and Holder or their respective affiliates shall be in the State of Delaware. Without modifying the Company’s and Holder’s obligations to resolve disputes hereunder pursuant to the Arbitration Provisions, for any litigation arising in connection with any of the Transaction Documents (and notwithstanding the terms (specifically including any governing law and venue terms) of any transfer agent services agreement or other agreement between the Company’s transfer agent and the Company, such litigation specifically includes, without limitation any action between or involving Company and the Company’s transfer agent under the Irrevocable Transfer Agent Instructions (as defined in the Purchase Agreement) or otherwise related to Holder in any way (specifically including, without limitation, any action where Company seeks to obtain an injunction, temporary restraining order, or otherwise prohibit the Company’s transfer agent from issuing shares of Common Stock to Holder for any reason)), each party hereto hereby (i) consents to and expressly submits to the exclusive personal jurisdiction of any state or federal court sitting in the State of Delaware, (ii) expressly submits to the exclusive venue of any such court for the purposes hereof, (iii) agrees to not bring any such action (specifically including, without limitation, any action where Company seeks to obtain an injunction, temporary restraining order, or otherwise prohibit the Company’s transfer agent from issuing shares of Common Stock to Holder for any reason) outside of any state or federal court sitting in the State of Delaware, and (iv) waives any claim of improper venue and any claim or objection that such courts are an inconvenient forum or any other claim, defense or objection to the bringing of any such proceeding in such jurisdiction or to any claim that such venue of the suit, action or proceeding is improper. Notwithstanding anything in the foregoing to the contrary, nothing herein (i) shall limit, or shall be deemed or construed to limit, the ability of the Holder to realize on any collateral or any other security, or to enforce a judgment or other court ruling in favor of the Holder, including through a legal action in any court of competent jurisdiction, or (ii) shall limit, or shall be deemed or construed to limit, any provision of Section 15 of this Warrant. The Company hereby irrevocably waives, and agrees not to assert in any suit, action or proceeding, any objection to jurisdiction and venue of any action instituted hereunder, any claim that it is not personally subject to the jurisdiction of any such court, and any claim that such suit, action or proceeding is brought in an inconvenient forum or that the venue of such suit, action or proceeding is improper (including but not limited to based upon forum non conveniens). THE COMPANY HEREBY IRREVOCABLY WAIVES ANY RIGHT IT MAY HAVE, AND AGREES NOT TO REQUEST, A JURY TRIAL FOR THE ADJUDICATION OF ANY DISPUTE HEREUNDER OR IN CONNECTION WITH OR ARISING OUT OF THIS WARRANT OR ANY TRANSACTIONS CONTEMPLATED HEREBY. The Company irrevocably waives personal service of process and consents to process being served in any suit, action or proceeding in connection with this Warrant or any other agreement, certificate, instrument or document contemplated hereby or thereby by mailing a copy thereof via registered or certified mail or overnight delivery (with evidence of delivery) to Company at the address in effect for notices to it under this Warrant and agrees that such service shall constitute good and sufficient service of process and notice thereof. Nothing contained herein shall be deemed to limit in any way any right to serve process in any other manner permitted by law. The prevailing party in any action or dispute brought in connection with this Warrant or any other agreement, certificate, instrument or document contemplated hereby or thereby shall be entitled to recover from the other party its reasonable attorney’s fees and costs. If any provision of this Warrant shall be invalid or unenforceable in any jurisdiction, such invalidity or unenforceability shall not affect the validity or enforceability of the remainder of this Warrant in that jurisdiction or the validity or enforceability of any provision of this Warrant in any other jurisdiction.

 

13

 

 

14.           ACCEPTANCE. Receipt of this Warrant by the Holder shall constitute acceptance of and agreement to all of the terms and conditions contained herein.

 

15.           DISPUTE RESOLUTION.

 

(a)           Submission to Dispute Resolution.

 

(i)              Notwithstanding anything to the contrary in this Warrant, in the case of a dispute relating to the Exercise Price, the Closing Sale Price, the Closing Bid Price, Black Scholes Consideration Value, Event of Default Black Scholes Value, Black Scholes Value or fair market value or the arithmetic calculation of the number of Warrant Shares (as the case may be) (including, without limitation, a dispute relating to the determination of any of the foregoing) (the “Warrant Calculations”), the Company or the Holder (as the case may be) shall submit the dispute to the other party via electronic mail (A) if by the Company, within two (2) Trading Days after the occurrence of the circumstances giving rise to such dispute or (B) if by the Holder, at any time after the Holder learned of the circumstances giving rise to such dispute. If the Holder and the Company are unable to agree upon such determination or calculation within two (2) Trading Days following such initial notice by the Company or the Holder (as the case may be) of such dispute to the Company or the Holder (as the case may be), then the Holder may, at its sole option, submit the dispute to an independent, reputable investment bank or independent, outside accountant selected by the Holder (the “Independent Third Party”), and the Company shall pay all expenses of such Independent Third Party.

 

(ii)             The Holder and the Company shall each deliver to such Independent Third Party (A) a copy of the initial dispute submission so delivered in accordance with the first sentence of this Section 15(a) and (B) written documentation supporting its position with respect to such dispute, in each case, no later than 5:00 p.m. (New York time) by second (2nd) Business Day immediately following the date on which the Holder selected such Independent Third Party (the “Dispute Submission Deadline”) (the documents referred to in the immediately preceding clauses (A) and (B) are collectively referred to herein as the “Required Dispute Documentation”) (it being understood and agreed that if either the Holder or the Company fails to so deliver all of the Required Dispute Documentation by the Dispute Submission Deadline, then the party who fails to so submit all of the Required Dispute Documentation shall no longer be entitled to (and hereby waives its right to) deliver or submit any written documentation or other support to such Independent Third Party with respect to such dispute and such Independent Third Party shall resolve such dispute based solely on the Required Dispute Documentation that was delivered to such Independent Third Party prior to the Dispute Submission Deadline). Unless otherwise agreed to in writing by both the Company and the Holder or otherwise requested by such Independent Third Party, neither the Company nor the Holder shall be entitled to deliver or submit any written documentation or other support to such Independent Third Party in connection with such dispute, other than the Required Dispute Documentation.

 

(iii)            The Company and the Holder shall cause such Independent Third Party to determine the resolution of such dispute and notify the Company and the Holder of such resolution no later than five (5) Business Days immediately following the Dispute Submission Deadline. The fees and expenses of such Independent Third Party shall be borne solely by the Company, and such Independent Third Party’s resolution of such dispute shall be final and binding upon all parties absent manifest error.

 

14

 

 

(b)           Miscellaneous. The Company expressly acknowledges and agrees that (i) this Section 15 constitutes an agreement to arbitrate between the Company and the Holder (and constitutes an arbitration agreement) under the rules then in effect under the Delaware Rules of Civil Procedure (“DRCP”) and that the Holder is authorized to apply for an order to compel arbitration pursuant to the DRCP in order to compel compliance with this Section 15, (ii) a dispute relating to the Warrant Calculations includes, without limitation, disputes as to (A) whether an issuance or sale or deemed issuance or sale of Common Stock occurred under Section 2 of this Warrant, (B) the consideration per share at which an issuance or deemed issuance of Common Stock occurred, (C) whether any issuance or sale or deemed issuance or sale of Common Stock was an issuance or sale or deemed issuance or sale, (D) whether an agreement, instrument, security or the like constitutes an Option or Convertible Security and (E) whether a Dilutive Issuance occurred, (iii) the terms of this Warrant and each other applicable Transaction Document shall serve as the basis for the selected Independent Third Party’s resolution of the applicable dispute, such Independent Third Party shall be entitled (and is hereby expressly authorized) to make all findings, determinations and the like that such Independent Third Party determines are required to be made by such Independent Third Party in connection with its resolution of such dispute (including, without limitation, determining (A) whether an issuance or sale or deemed issuance or sale of Common Stock occurred under Section 2 of this Warrant, (B) the consideration per share at which an issuance or deemed issuance of Common Stock occurred, (C) whether any issuance or sale or deemed issuance or sale of Common Stock was an issuance or sale or deemed issuance or sale, (D) whether an agreement, instrument, security or the like constitutes an Option or Convertible Security and (E) whether a Dilutive Issuance occurred) and in resolving such dispute such Independent Third Party shall apply such findings, determinations and the like to the terms of this Warrant and any other applicable Transaction Documents, and (iv) nothing in this Section 15 shall limit the Holder from obtaining any injunctive relief or other equitable remedies (including, without limitation, with respect to any matters described in this Section 15).

 

16.            CERTAIN DEFINITIONS. For purposes of this Warrant, the following terms shall have the following meanings:

 

(a)            “Affiliate” means, with respect to any Person, any other Person that directly or indirectly controls, is controlled by, or is under common control with, such Person, it being understood for purposes of this definition that “control” of a Person means the power directly or indirectly either to vote 10% or more of the stock having ordinary voting power for the election of directors of such Person or direct or cause the direction of the management and policies of such Person whether by contract or otherwise.

 

(b)           “Black Scholes Consideration Value” means the value of the applicable Option, Convertible Security or Adjustment Right (as the case may be) as of the date of issuance thereof calculated using the Black Scholes Option Pricing Model obtained from the “OV” function on Bloomberg utilizing (i) an underlying price per share equal to the Closing Sale Price of the Common Stock on the Trading Day immediately preceding the public announcement of the execution of definitive documents with respect to the issuance of such Option or Convertible Security (as the case may be), (ii) a risk-free interest rate corresponding to the U.S. Treasury rate for a period equal to the remaining term of such Option, Convertible Security or Adjustment Right (as the case may be) as of the date of issuance of such Option, Convertible Security or Adjustment Right (as the case may be), (iii) a zero cost of borrow and (iv) an expected volatility equal to the greater of 100% and the 30 day volatility obtained from the “HVT” function on Bloomberg (determined utilizing a 365 day annualization factor) as of the Trading Day immediately following the date of issuance of such Option, Convertible Security or Adjustment Right (as the case may be).

 

15

 

 

(c)           “Black Scholes Value” means the value of the unexercised portion of this Warrant remaining on the date of the Holder’s request pursuant to Section 4(c)(i), which value is calculated using the Black Scholes Option Pricing Model obtained from the “OV” function on Bloomberg utilizing (i) an underlying price per share equal to the greater of (1) the highest Closing Sale Price of the Common Stock during the period beginning on the Trading Day immediately preceding the announcement of the applicable Change of Control (or the consummation of the applicable Change of Control, if earlier) and ending on the Trading Day of the Holder’s request pursuant to Section 4(c)(i) and (2) the sum of the price per share being offered in cash in the applicable Change of Control (if any) plus the value of the non-cash consideration being offered in the applicable Change of Control (if any), (ii) a strike price equal to the Exercise Price in effect on the date of the Holder’s request pursuant to Section 4(c)(i), (iii) a risk-free interest rate corresponding to the U.S. Treasury rate for a period equal to the greater of (1) the remaining term of this Warrant as of the date of the Holder’s request pursuant to Section 4(c)(i) and (2) the remaining term of this Warrant as of the date of consummation of the applicable Change of Control or as of the date of the Holder’s request pursuant to Section 4(c)(i) if such request is prior to the date of the consummation of the applicable Change of Control, (iv) a zero cost of borrow and (v) an expected volatility equal to the greater of 100% and the 30 day volatility obtained from the “HVT” function on Bloomberg (determined utilizing a 365 day annualization factor) as of the Trading Day immediately following the earliest to occur of (A) the public disclosure of the applicable Change of Control and (B) the date of the Holder’s request pursuant to Section 4(c)(i).

 

(d)           “Bloomberg” means Bloomberg, L.P.

 

(e)           “Business Day” means any day other than Saturday, Sunday or other day on which commercial banks in the State of Delaware are authorized or required by law to remain closed; provided, however, for clarification, commercial banks shall not be deemed to be authorized or required by law to remain closed due to “stay at home”, “shelter-in-place”, “non-essential employee”  or any other similar orders or restrictions or the closure of any physical branch locations at the direction of any governmental authority so long as the electronic funds transfer systems (including for wire transfers) of commercial banks in the State of Delaware generally are open for use by customers on such day.

 

(f)            “Change of Control” means any Fundamental Transaction other than (i) any merger of the Company or any of its, direct or indirect, wholly-owned Subsidiaries with or into any of the foregoing Persons, (ii) any reorganization, recapitalization or reclassification of the shares of Common Stock in which holders of the Company’s voting power immediately prior to such reorganization, recapitalization or reclassification continue after such reorganization, recapitalization or reclassification to hold publicly traded securities and, directly or indirectly, are, in all material respects, the holders of the voting power of the surviving entity (or entities with the authority or voting power to elect the members of the board of directors (or their equivalent if other than a corporation) of such entity or entities) after such reorganization, recapitalization or reclassification, (iii) pursuant to a migratory merger effected solely for the purpose of changing the jurisdiction of incorporation of the Company or any of its Subsidiaries or (iv) bone fide arm’s length acquisitions by the Company with one or more third parties as long as holders of the Company’s voting power as of the Issuance Date continue after such acquisition to hold publicly traded securities and, directly or indirectly, are, in all material respects, the holders of at least 51% of the voting power of the surviving entity (or entities with the authority or voting power to elect the members of the board of directors (or their equivalent if other than a corporation) of such entity or entities) after such acquisition.

 

(g)           “Closing Bid Price” and “Closing Sale Price” means, for any security as of any date, (i) the last closing bid price and last closing trade price, respectively, for such security on the Principal Market, as reported by Quotestream or other similar quotation service provider designated by the Holder, or, if the Principal Market begins to operate on an extended hours basis and does not designate the closing trade price, then the last trade price of such security prior to 4:00 p.m., New York time, as reported by Quotestream or other similar quotation service provider designated by the Holder, or (ii) if the foregoing does not apply, the last trade price of such security in the over-the-counter market for such security as reported by Quotestream or other similar quotation service provider designated by the Holder, or (iii) if no last trade price is reported for such security by Quotestream or other similar quotation service provider designated by the Holder, the average of the bid and ask prices of any market makers for such security as reported by Quotestream or other similar quotation service provider designated by the Holder. If the Closing Sale Price cannot be calculated for a security on a particular date on any of the foregoing bases, the Closing Sale Price of such security on such date shall be the fair market value as mutually determined by the Company and the Holder. If the Company and the Holder are unable to agree upon the fair market value of such security, then such dispute shall be resolved in accordance with the procedures in Section 15. All such determinations to be appropriately adjusted for any stock dividend, stock split, stock combination or other similar transaction during the applicable calculation period.

 

16

 

 

(h)           “Common Stock” means the Company’s common stock, par value $0.0001, and any other class of securities into which such securities may hereafter be reclassified or changed.

 

(i)            “Common Stock Equivalents” means any securities of the Company that would entitle the holder thereof to acquire at any time Common Stock, including without limitation any debt, preferred stock, rights, options, warrants or other instrument that is at any time convertible into or exercisable or exchangeable for, or otherwise entitles the holder thereof to receive, Common Stock.

 

(j)            “Convertible Securities” means any stock or other security (other than Options) that is at any time and under any circumstances, directly or indirectly, convertible into, exercisable or exchangeable for, or which otherwise entitles the holder thereof to acquire, any shares of Common Stock.

 

(k)           “Eligible Market” means The New York Stock Exchange, the NYSE American, the Nasdaq Global Select Market, the Nasdaq Global Market, Nasdaq Capital Market, or equivalent national securities exchange.

 

(l)            “Event Market Price” means, with respect to any Stock Combination Event Date, the quotient determined by dividing (x) the sum of the VWAP of the Common Stock for each of the five (5) lowest Trading Days during the twenty (20) consecutive Trading Day period ending and including the Trading Day immediately preceding the sixteenth (16th) Trading Day after such Stock Combination Event Date, divided by (y) five (5). All such determinations shall be appropriately adjusted for any stock dividend, stock split, stock combination, recapitalization or other similar transaction during such period.

 

(m)          “Event of Default Black Scholes Value” means the value of the unexercised portion of this Warrant remaining on the date of the Holder’s request pursuant to Section 4(c)(ii), which value is calculated using the Black Scholes Option Pricing Model obtained from the “OV” function on Bloomberg utilizing (i) an underlying price per share equal to the highest Closing Sale Price of the Common Stock during the period beginning on the date of the occurrence of the Event of Default through the date that the Note is extinguished in the entirety or, if earlier, the Trading Day of the Holder’s request pursuant to Section 4(c)(ii), (ii) a strike price equal to the Exercise Price in effect on the date of the Holder’s request pursuant to Section 4(c)(ii), (iii) a risk-free interest rate corresponding to the U.S. Treasury rate for a period equal to the greater of (1) the remaining term of this Warrant as of the date of the Holder’s request pursuant to Section 4(c)(ii) and (2) the remaining term of this Warrant as of the date of the occurrence of such Event of Default, (iv) a zero cost of borrow and (v) an expected volatility equal to the greater of 100% and the 30 day volatility obtained from the “HVT” function on Bloomberg (determined utilizing a 365 day annualization factor) as of the Trading Day immediately following later of (x) the date of the occurrence of such Event of Default and (y) the date of the public announcement of such Event of Default.

 

(n)           “Options” means any rights, warrants or options to subscribe for or purchase shares of Common Stock or Convertible Securities.

 

17

 

 

(o)           “Fundamental Transaction” means (A) that the Company shall, directly or indirectly, including through subsidiaries, Affiliates or otherwise, in one or more related transactions, (i) consolidate or merge with or into (whether or not the Company is the surviving corporation) another Subject Entity, or (ii) sell, assign, transfer, convey or otherwise dispose of all or substantially all of the properties or assets of the Company or any of its “significant subsidiaries” (as defined in Rule 1-02 of Regulation S-X) to one or more Subject Entities, or (iii) make, or allow one or more Subject Entities to make, or allow the Company to be subject to or have its Common Stock be subject to or party to one or more Subject Entities making, a purchase, tender or exchange offer that is accepted by the holders of at least either (x) 50% of the outstanding shares of Common Stock, (y) 50% of the outstanding shares of Common Stock calculated as if any shares of Common Stock held by all Subject Entities making or party to, or Affiliated with any Subject Entities making or party to, such purchase, tender or exchange offer were not outstanding; or (z) such number of shares of Common Stock such that all Subject Entities making or party to, or Affiliated with any Subject Entity making or party to, such purchase, tender or exchange offer, become collectively the beneficial owners (as defined in Rule 13d-3 under the 1934 Act) of at least 50% of the outstanding shares of Common Stock, or (iv) consummate a stock or share purchase agreement or other business combination (including, without limitation, a reorganization, recapitalization, spin-off or scheme of arrangement) with one or more Subject Entities whereby all such Subject Entities, individually or in the aggregate, acquire, either (x) at least 50% of the outstanding shares of Common Stock, (y) at least 50% of the outstanding shares of Common Stock calculated as if any shares of Common Stock held by all the Subject Entities making or party to, or Affiliated with any Subject Entity making or party to, such stock purchase agreement or other business combination were not outstanding; or (z) such number of shares of Common Stock such that the Subject Entities become collectively the beneficial owners (as defined in Rule 13d-3 under the 1934 Act) of at least 50% of the outstanding shares of Common Stock, or (v) reorganize, recapitalize or reclassify its Common Stock, (B) that the Company shall, directly or indirectly, including through subsidiaries, Affiliates or otherwise, in one or more related transactions, allow any Subject Entity individually or the Subject Entities in the aggregate to be or become the “beneficial owner” (as defined in Rule 13d-3 under the 1934 Act), directly or indirectly, whether through acquisition, purchase, assignment, conveyance, tender, tender offer, exchange, reduction in outstanding shares of Common Stock, merger, consolidation, business combination, reorganization, recapitalization, spin-off, scheme of arrangement, reorganization, recapitalization or reclassification or otherwise in any manner whatsoever, of either (x) at least 50% of the aggregate ordinary voting power represented by issued and outstanding Common Stock, (y) at least 50% of the aggregate ordinary voting power represented by issued and outstanding Common Stock not held by all such Subject Entities as of the date of this Warrant calculated as if any shares of Common Stock held by all such Subject Entities were not outstanding, or (z) a percentage of the aggregate ordinary voting power represented by issued and outstanding shares of Common Stock or other equity securities of the Company sufficient to allow such Subject Entities to effect a statutory short form merger or other transaction requiring other shareholders of the Company to surrender their shares of Common Stock without approval of the shareholders of the Company or (C) directly or indirectly, including through subsidiaries, Affiliates or otherwise, in one or more related transactions, the issuance of or the entering into any other instrument or transaction structured in a manner to circumvent, or that circumvents, the intent of this definition in which case this definition shall be construed and implemented in a manner otherwise than in strict conformity with the terms of this definition to the extent necessary to correct this definition or any portion of this definition which may be defective or inconsistent with the intended treatment of such instrument or transaction.

  

(p)           “Parent Entity” of a Person means an entity that, directly or indirectly, controls the applicable Person and whose common stock or equivalent equity security is quoted or listed on an Eligible Market, or, if there is more than one such Person or Parent Entity, the Person or Parent Entity with the largest public market capitalization as of the date of consummation of the Fundamental Transaction.

 

(q)           “Person” and “Persons” means an individual, a limited liability company, a partnership, a joint venture, a corporation, a trust, an unincorporated organization, any other entity and any governmental entity or any department or agency thereof.

 

(r)            “Principal Market” means the principal securities exchange or trading market where such Common Stock is listed or quoted, including but not limited to any tier of the OTC Markets, any tier of the NASDAQ Stock Market (including NASDAQ Capital Market), or the NYSE American, or any successor to such markets.

 

18

 

 

(s)            “Market Price” means the highest traded price of the Common Stock during the thirty Trading Days prior to the date of the respective Exercise Notice.

 

(t)            “Successor Entity” means the Person (or, if so elected by the Holder, the Parent Entity) formed by, resulting from or surviving any Fundamental Transaction or the Person (or, if so elected by the Holder, the Parent Entity) with which such Fundamental Transaction shall have been entered into.

 

(u)           “Trading Day” means any day on which the Common Stock is listed or quoted on its Principal Market, provided, however, that if the Common Stock is not then listed or quoted on any Principal Market, then any calendar day.

  

(v)           “VWAP” means, for any security as of any date, the dollar volume-weighted average price for such security on the Principal Market (or, if the Principal Market is not the principal trading market for such security, then on the principal securities exchange or securities market on which such security is then traded), during the period beginning at 9:30 a.m., New York time, and ending at 4:00 p.m., New York time, as reported by Quotestream or other similar quotation service provider designated by the Holder through its “VAP” function (set to 09:30 start time and 16:00 end time) or, if the foregoing does not apply, the dollar volume-weighted average price of such security in the over-the-counter market on the electronic bulletin board for such security during the period beginning at 9:30 a.m., New York time, and ending at 4:00 p.m., New York time, as reported by Quotestream or other similar quotation service provider designated by the Holder, or, if no dollar volume-weighted average price is reported for such security by Quotestream or other similar quotation service provider designated by the Holder for such hours, the average of the highest closing bid price and the lowest closing ask price of any of the market makers for such security as reported in The Pink Open Market (or a similar organization or agency succeeding to its functions of reporting prices). If the VWAP cannot be calculated for such security on such date on any of the foregoing bases, the VWAP of such security on such date shall be the fair market value as mutually determined by the Company and the Holder. If the Company and the Holder are unable to agree upon the fair market value of such security, then such dispute shall be resolved in accordance with the procedures in Section 15. All such determinations shall be appropriately adjusted for any stock dividend, stock split, stock combination, recapitalization or other similar transaction during such period.

 

* * * * * * *

 

19

 

 

IN WITNESS WHEREOF, the Company has caused this Warrant to be duly executed as of the Issuance Date set forth above.

 

  NKGEN BIOTECH, INC.
   
  /s/ Paul Song
  Name: Paul Song
  Title: Chief Executive Officer

 

 

 

EXHIBIT A

 

EXERCISE NOTICE

 

(To be executed by the registered holder to exercise this Common Stock Purchase Warrant)

 

THE UNDERSIGNED holder hereby exercises the right to purchase__________________of the shares of Common Stock (“Warrant Shares”) of NKGEN BIOTECH, INC., a Delaware corporation (the “Company”), evidenced by the attached copy of the Common Stock Purchase Warrant (the “Warrant”). Capitalized terms used herein and not otherwise defined shall have the respective meanings set forth in the Warrant.

 

1.Form of Exercise Price. The Holder intends that payment of the Exercise Price shall be made as (check one):

 

¨a cash exercise with respect to________________Warrant Shares; or
¨by cashless exercise pursuant to the Warrant.

 

2.Payment of Exercise Price. If cash exercise is selected above, the holder shall pay the applicable Aggregate Exercise Price in the sum of $_____________to the Company in accordance with the terms of the Warrant.

 

3.Delivery of Warrant Shares. The Company shall deliver to the holder___________________Warrant Shares in accordance with the terms of the Warrant.

 

 

Date: ___________________________

 

 

  (Print Name of Registered Holder)
   
  By:            
  Name:  
  Title:  

 

 

 

EXHIBIT B

 

ASSIGNMENT OF WARRANT

 

(To be signed only upon authorized transfer of the Warrant)

 

FOR VALUE RECEIVED, the undersigned hereby sells, assigns, and transfers unto____________________ the right to purchase__________________shares of common stock of NKGEN BIOTECH, INC., to which the within Common Stock Purchase Warrant relates and appoints      , as attorney-in-fact, to transfer said right on the books of NKGEN BIOTECH, INC. with full power of substitution and re-substitution in the premises. By accepting such transfer, the transferee has agreed to be bound in all respects by the terms and conditions of the within Warrant.

 

Dated: ______________

 

 

  (Signature) *
   
   
  (Name)
   
   
  (Address)
   
   
  (Social Security or Tax Identification No.)

 

* The signature on this Assignment of Warrant must correspond to the name as written upon the face of the Common Stock Purchase Warrant in every particular without alteration or enlargement or any change whatsoever. When signing on behalf of a corporation, partnership, trust or other entity, please indicate your position(s) and title(s) with such entity.