EX-10.1 2 creditagreementcincinnat.htm EX-10.1 creditagreementcincinnat
EXECUTION VERSION $400,000,000 REVOLVING CREDIT FACILITY CREDIT AGREEMENT by and among CINCINNATI FINANCIAL CORPORATION, and CFC INVESTMENT COMPANY, as Borrowers, THE LENDERS PARTY HERETO and FIFTH THIRD BANK, NATIONAL ASSOCIATION, as Administrative Agent FIFTH THIRD BANK, NATIONAL ASSOCIATION, as Joint Lead Arranger and Sole Bookrunner THE HUNTINGTON NATIONAL BANK, as Joint Lead Arranger Dated as of October 10, 2025


 
i TABLE OF CONTENTS SECTION HEADING PAGE 1. CERTAIN DEFINITIONS ................................................................................................ 1 1.1. Certain Definitions ................................................................................................. 1 1.2. Construction ......................................................................................................... 21 1.3. Accounting ........................................................................................................... 21 1.4. Benchmark Replacement Notification ................................................................. 22 2 REVOLVING CREDIT AND SWING LOAN FACILITIES ......................................... 22 2.1. Revolving Credit Commitments .......................................................................... 22 2.1.1. Revolving Credit Loans ....................................................................................... 22 2.1.2. Swing Loan Commitment .................................................................................... 22 2.2. Nature of Lenders’ Obligations with Respect to Revolving Credit Loans .......... 22 2.3. Commitment Fees ................................................................................................ 22 2.4. Revolving Credit Loan Requests; Swing Loan Requests .................................... 23 2.4.1. Revolving Credit Loan Requests ......................................................................... 23 2.4.2. Swing Loan Requests ........................................................................................... 23 2.5. Making Revolving Credit Loans and Swing Loans; Presumptions by the Administrative Agent; Repayment of Revolving Credit Loans; Borrowings to Repay Swing Loans ......................................................................................... 24 2.5.1. Making Revolving Credit Loans .......................................................................... 24 2.5.2. Presumptions by the Administrative Agent ......................................................... 24 2.5.3. Making Swing Loans ........................................................................................... 24 2.5.4. Repayment of Revolving Credit Loans................................................................ 24 2.5.5. Borrowings to Repay Swing Loans ..................................................................... 25 2.5.6. Participation Obligations Unconditional .............................................................. 25 2.6. Notes .................................................................................................................... 25 2.7. Use of Proceeds .................................................................................................... 26 2.8. Letter of Subfacility ............................................................................................. 26 2.8.1. Letters of Credit ................................................................................................... 26 2.8.2. Letter of Credit Fees ............................................................................................ 26 2.9. Reduction of Revolving Credit Commitment ...................................................... 27 2.10. Increase in Revolving Credit Commitments ........................................................ 27 2.10.1. Increasing Lenders and New Lenders .................................................................. 27


 
ii 2.10.2. Treatment of Outstanding Loans and Letters of Credit ....................................... 28 2.11. Cash Collateral ..................................................................................................... 28 2.11.1. Grant of Security Interest ..................................................................................... 28 2.11.2. Application ........................................................................................................... 29 2.11.3. Termination of Requirement ................................................................................ 29 2.12. Defaulting Lenders ............................................................................................... 29 2.12.1. Defaulting Lender Adjustments ........................................................................... 29 2.12.2. Defaulting Lender Cure ....................................................................................... 31 2.12.3. New Swing Loans/Letters of Credit .................................................................... 31 2.13. Extension of Expiration Date ............................................................................... 31 3 INTEREST RATES ......................................................................................................... 32 3.1. Interest Rate Options ............................................................................................ 32 3.1.1. Revolving Credit Interest Rate Options; Swing Line Interest Rate ..................... 33 3.1.2. Rate Quotations .................................................................................................... 33 3.2. Interest Periods; Conforming Changes Relating to the Term SOFR Rate ........... 33 3.2.1. Interest Periods..................................................................................................... 33 3.2.2. Conforming Changes Relating to the Term SOFR Rate ...................................... 33 3.3. Interest After Default ........................................................................................... 33 3.3.1. Letter of Credit Fees, Interest Rate ...................................................................... 34 3.3.2. Other Obligations ................................................................................................. 34 3.3.3. Acknowledgment ................................................................................................. 34 3.4. Rate Unascertainable; Increased Costs; Illegality; Benchmark Replacement Setting ............................................................................................ 34 3.4.1. Unascertainable; Increased Costs ........................................................................ 34 3.4.2. Illegality ............................................................................................................... 34 3.4.3. Administrative Agent’s and Lender’s Rights ...................................................... 34 3.4.4. Benchmark Replacement Setting ......................................................................... 35 3.5. Selection of Interest Rate Options ....................................................................... 37 4. PAYMENTS .................................................................................................................... 37 4.1. Payments .............................................................................................................. 37 4.2. Pro Rata Treatment of Lenders ............................................................................ 37 4.3. Sharing of Payment by Lenders ........................................................................... 37 4.4. Presumptions by Administrative Agent ............................................................... 38


 
iii 4.5. Interest Payment Dates ........................................................................................ 39 4.6. Voluntary Prepayments ........................................................................................ 39 4.6.1. Right to Prepay .................................................................................................... 39 4.6.2. Replacement of a Lender ..................................................................................... 40 4.7. Increased Costs .................................................................................................... 40 4.7.1. Increased Costs Generally .................................................................................... 40 4.7.2. Capital Requirements ........................................................................................... 41 4.7.3. Certificates for Reimbursement; Repayment of Outstanding Loans; Borrowing of New Loans..................................................................................... 41 4.7.4. Delay in Requests ................................................................................................ 41 4.8. Taxes .................................................................................................................... 42 4.8.1. Payment Free of Taxes ......................................................................................... 42 4.8.2. Payment of Other Taxes by the Borrowers .......................................................... 42 4.8.3. Indemnification by the Borrowers ....................................................................... 42 4.8.4. Indemnification by the Lenders ........................................................................... 42 4.8.5. Evidence of Payments .......................................................................................... 42 4.8.6. Status of Lenders .................................................................................................. 43 4.8.7. Treatment of Certain Refunds .............................................................................. 45 4.8.8. Survival ................................................................................................................ 45 4.8.9. Issuing Lender ...................................................................................................... 45 4.9. Indemnity ............................................................................................................. 45 4.10. Settlement Date Procedures ................................................................................. 46 5. REPRESENTATIONS AND WARRANTIES ................................................................ 46 5.1. Representations and Warranties ........................................................................... 46 5.1.1. Organization and Qualification; Power and Authority; Compliance With Laws; Title to Properties; Event of Default ......................................................... 46 5.1.2. Subsidiaries and Owners; Investment Companies ............................................... 47 5.1.3. Validity and Binding Effect ................................................................................. 47 5.1.4. No Conflict; Material Agreements; Consents ...................................................... 47 5.1.5. Litigations ............................................................................................................ 48 5.1.6. Financial Statements ............................................................................................ 48 5.1.7. Margin Stock ........................................................................................................ 48 5.1.8. Full Disclosure ..................................................................................................... 49


 
iv 5.1.9. Taxes .................................................................................................................... 49 5.1.10. Patents, Trademarks, Copyrights, Licenses, Etc. ................................................. 49 5.1.11. Insurance .............................................................................................................. 49 5.1.12. ERISA Compliance .............................................................................................. 49 5.1.13. Environmental Matters......................................................................................... 50 5.1.14. Solvency ............................................................................................................... 50 5.1.14. Insurance Licenses ............................................................................................... 50 5.1.16. Certificate of Beneficial Ownership .................................................................... 50 5.1.17. Anti-Terrorism Laws; Sanctions .......................................................................... 50 6. CONDITIONS OF LENDING AND ISSUANCE OF LETTERS OF CREDIT ............ 50 6.1. First Loans and Letters of Credit ......................................................................... 50 6.1.1. Deliveries ............................................................................................................. 51 6.1.2. Payment of Fees ................................................................................................... 51 6.2. Each Loan or Letter of Credit .............................................................................. 51 7. COVENANTS ................................................................................................................. 52 7.1. Affirmative Covenants ......................................................................................... 52 7.1.1. Preservation of Existence, Etc. ............................................................................ 52 7.1.2. Payment of Liabilities, Including Taxes, Etc. ...................................................... 52 7.1.3. Maintenance of Insurance .................................................................................... 52 7.1.4. Maintenance of Properties and Leases ................................................................. 52 7.1.5. Visitation Rights .................................................................................................. 52 7.1.6. Keeping of Records and Books of Account ......................................................... 53 7.1.7. Compliance with Laws; Use of Proceeds ............................................................ 53 7.1.8. Certificate of Beneficial Ownership and Other Additional Information ............. 53 7.2. Negative Covenants ............................................................................................. 53 7.2.1. Indebtedness ......................................................................................................... 53 7.2.2. Liens; Lien Covenants ......................................................................................... 54 7.2.3. Guaranties ............................................................................................................ 54 7.2.4. Dividends and Related Distributions ................................................................... 54 7.2.5. Liquidations, Mergers, Consolidations, Acquisitions .......................................... 54 7.2.6. Dispositions of Assets or Subsidiaries ................................................................. 55 7.2.7. Affiliate Transactions ........................................................................................... 55 7.2.8. Continuation of or Change in Business ............................................................... 55


 
v 7.2.9. Fiscal Year ........................................................................................................... 55 7.2.10. Changes in Organizational Documents ................................................................ 55 7.2.11. Limitations on Certain Restrictions on Subsidiaries ............................................ 55 7.2.12. Anti-Terrorism Laws ........................................................................................... 56 7.2.13. Consolidated Debt to Total Capitalization ........................................................... 56 7.3. Reporting Requirements ...................................................................................... 56 7.3.1. Quarterly Financial Statements ............................................................................ 56 7.3.2. Annual Financial Statements ............................................................................... 57 7.3.3. Certificate of the Company .................................................................................. 57 7.3.4. Notices ................................................................................................................. 57 7.3.4.1. Default................................................................................................................. 57 7.3.4.2. Litigation ............................................................................................................. 57 7.3.4.3. ERISA Event ....................................................................................................... 57 7.3.4.4. Other Reports ...................................................................................................... 57 7.3.4.5. Syndicate Arrangements ..................................................................................... 58 8. DEFAULT ....................................................................................................................... 58 8.1. Events of Default ................................................................................................. 58 8.1.1. Payments Under Loan Documents ....................................................................... 58 8.1.2. Breach of Warranty .............................................................................................. 58 8.1.3. Breach of Negative Covenants or Visitation Rights ............................................ 58 8.1.4. Breach of Other Covenants .................................................................................. 58 8.1.5. Defaults in Other Agreements or Indebtedness ................................................... 59 8.1.6. Final Judgments or Orders ................................................................................... 59 8.1.7. Loan Documents Unenforceable .......................................................................... 59 8.1.8. Uninsured Losses; Proceedings Against Assets .................................................. 59 8.1.9. Events Relating to Plans and Benefit Arrangements ........................................... 59 8.1.10. Change of Control ................................................................................................ 59 8.1.11. Regulatory Orders ................................................................................................ 60 8.1.12. Insurance Licenses ............................................................................................... 60 8.1.13. Relief Proceedings ............................................................................................... 60 8.2. Consequences of Event of Default ....................................................................... 60 8.2.1. Events of Default Other Than Bankruptcy, Insolvency or Reorganization Proceedings .......................................................................................................... 60


 
vi 8.2.2. Bankruptcy, Insolvency or Reorganization Proceedings ....................................... 61 8.2.3. Set-off .................................................................................................................. 61 8.2.4. Application of Proceeds ....................................................................................... 61 9 THE ADMINISTRATIVE AGENT ................................................................................ 62 9.1. Appointment and Authority ................................................................................. 62 9.2. Rights as a Lender ................................................................................................ 62 9.3. Exculpatory Provisions ........................................................................................ 62 9.4. Reliance by Administrative Agent ....................................................................... 63 9.5. Delegation of Duties ............................................................................................ 63 9.6. Resignation of Administrative Agent .................................................................. 64 9.7. Non-Reliance on Administrative Agent and Other Lenders ................................ 64 9.8. No Other Duties ................................................................................................... 65 9.9. Administrative Agent’s Fee ................................................................................. 65 9.10. Non-Reliance on Administrative Agent’s Customer Identification Program ...... 65 9.11. Erroneous Payments ............................................................................................. 65 10. MISCELLANEOUS ........................................................................................................ 66 10.1. Modifications, Amendments or Waivers ............................................................. 66 10.1.1. Increase of Commitment ...................................................................................... 66 10.1.2. Extension of Payment; Reduction of Principal Interest or Fees; Modification of Terms of Payment ...................................................................... 66 10.1.3. Miscellaneous ...................................................................................................... 67 10.2. No Implied Waivers; Cumulative Remedies ....................................................... 67 10.3. Expenses; Indemnity; Damage Waiver ................................................................ 67 10.3.1. Costs and Expenses .............................................................................................. 67 10.3.2. Indemnification by the Borrowers ....................................................................... 67 10.3.3. Reimbursement by Lenders ................................................................................. 68 10.3.4. Waiver of Consequential Damages, Etc. ............................................................. 68 10.3.5. Payments .............................................................................................................. 68 10.4. Holidays ............................................................................................................... 68 10.5. Notices; Effectiveness; Electronic Communication ............................................ 69 10.5.1. Notices Generally ................................................................................................. 69 10.5.2. Electronic Communications ................................................................................. 69 10.5.3. Change of Address ............................................................................................... 69


 
vii 10.6. Severability .......................................................................................................... 70 10.7. Duration; Survival ................................................................................................ 70 10.8. Successors and Assigns ........................................................................................ 70 10.8.1. Successors and Assigns Generally ....................................................................... 70 10.8.2. Assignments by Lenders ...................................................................................... 70 10.8.3. Register ................................................................................................................ 72 10.8.4. Participations........................................................................................................ 72 10.8.5. Limitations upon Participant Rights Successors and Assigns Generally ............. 73 10.8.6. Certain Pledges; Successor and Assigns Generally ............................................. 73 10.9. Confidentiality ..................................................................................................... 73 10.9.1. General ................................................................................................................. 73 10.9.2. Sharing Information With Affiliates of the Lenders ............................................ 74 10.10. Counterparts; Integration; Effectiveness ............................................................... 74 10.10.1 Counterparts; Integration; Effectiveness ............................................................. 74 10.11. CHOICE OF LAW; SUBMISSION TO JURISDICTION; WAIVER OF VENUE; SERVICE OF PROCESS; WAIVER OF JURY TRIAL ..................... 74 10.11.1. Governing Law .................................................................................................. 74 10.11.2. Counterparts; Integration; Effectiveness ............................................................ 74 10.11.3. WAIVER OF VENUE ....................................................................................... 75 10.11.4. SERVICE OF PROCESS .................................................................................. 75 10.11.5. WAIVER OF JURY TRIAL .............................................................................. 75 10.12. USA Patriot Act Notice ....................................................................................... 75 10.13. Contractual Recognition of Bail-In ...................................................................... 76


 
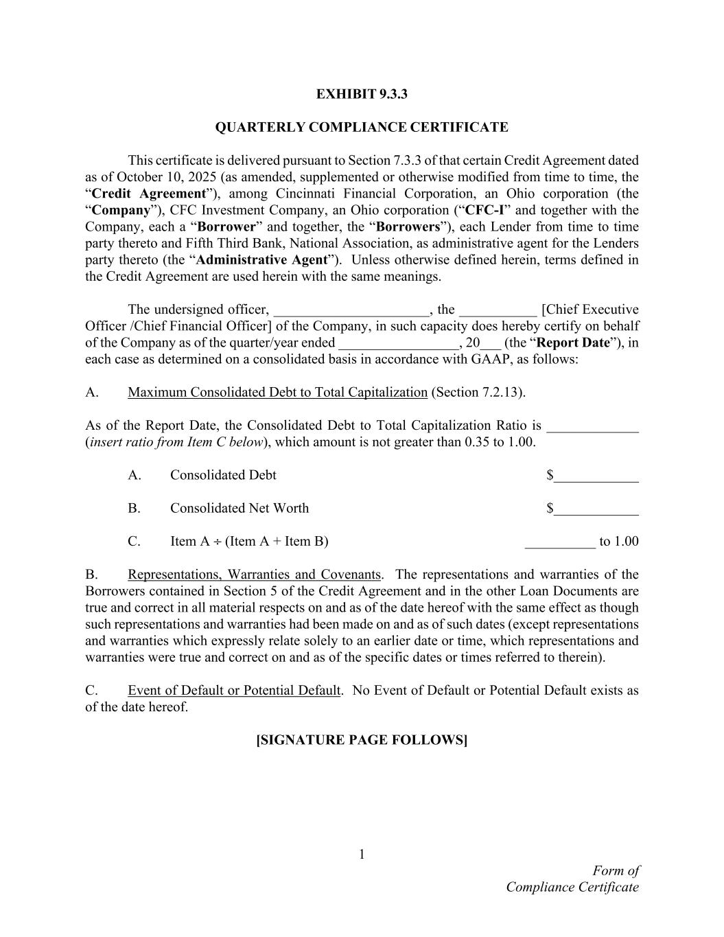
viii LIST OF SCHEDULES AND EXHIBITS SCHEDULES SCHEDULE 1.1(A) - PRICING GRID SCHEDULE 1.1(B) - COMMITMENTS OF LENDERS AND ADDRESSES FOR NOTICES SCHEDULE 1.1(P) - PERMITTED LIENS SCHEDULE 5.1.2 - SUBSIDIARIES SCHEDULE 5.1.10 - INTELLECTUAL PROPERTY EXHIBITS EXHIBIT 1.1(A) - ASSIGNMENT AND ASSUMPTION AGREEMENT EXHIBIT 1.1(N)(1) - REVOLVING CREDIT NOTE EXHIBIT 1.1(N)(2) - SWING LOAN NOTE EXHIBIT 2.10 - JOINDER AGREEMENT EXHIBIT 2.4.1 - LOAN REQUEST EXHIBIT 2.4.2 - SWING LOAN REQUEST EXHIBIT 4.8 - U.S. TAX COMPLIANCE CERTIFICATE EXHIBIT 7.3.3 - QUARTERLY COMPLIANCE CERTIFICATE


 
CREDIT AGREEMENT THIS CREDIT AGREEMENT (as amended, restated, supplemented or otherwise modified from time to time, this “Agreement”) is dated as of October 10, 2025 and is made by and among CINCINNATI FINANCIAL CORPORATION, an Ohio corporation (the “Company”), CFC INVESTMENT COMPANY, an Ohio corporation (“CFC-I” and together with the Company, each a “Borrower” and together, the “Borrowers”), the LENDERS (as hereinafter defined), the Lenders party hereto, and FIFTH THIRD BANK, NATIONAL ASSOCIATION, in its capacity as administrative agent for the Lenders under this Agreement (hereinafter referred to in such capacity as the “Administrative Agent”). WHEREAS, Borrowers desire that Lenders extend certain revolving credit facilities to Borrowers to provide funds necessary for the purpose of refinancing certain indebtedness of Borrowers and providing (a) working capital financing for Borrowers, (b) funds for other general corporate purposes of Borrowers, and (c) funds for other purposes permitted hereunder. NOW, THEREFORE, in consideration of their mutual covenants and agreements hereinafter set forth and intending to be legally bound hereby, the parties hereto covenant and agree as follows: 1. CERTAIN DEFINITIONS 1.1 Certain Definitions. In addition to words and terms defined elsewhere in this Agreement, the following words and terms shall have the following meanings, respectively, unless the context hereof clearly requires otherwise: “Administrative Agent” shall mean Fifth Third Bank, National Association, in its capacity as administrative agent hereunder, and its successors and assigns. “Administrative Agent’s Fee” shall have the meaning specified in Section 9.9. “Administrative Agent’s Letter” shall have the meaning specified in Section 9.9. “Affiliate” as to any Person shall mean any other Person (i) which directly or indirectly controls, is controlled by, or is under common control with such Person, (ii) which beneficially owns or holds 5% or more of any class of the voting or other equity interests of such Person, or (iii) 5% or more of any class of voting interests or other equity interests of which is beneficially owned or held, directly or indirectly, by such Person. “Anti-Terrorism Laws” shall mean any Laws relating to terrorism, trade sanctions programs and embargoes, import/export licensing, money laundering or bribery, and any regulation, order, or directive promulgated, issued or enforced pursuant to such Laws, including Executive Order No. 13224, the USA Patriot Act, the Laws comprising or implementing the Bank Secrecy Act, and the Laws administered by the United States Treasury Department’s Office of Foreign Asset Control (“OFAC”) (as any of the foregoing Laws may from time to time be amended, renewed, extended, or replaced).


 
- 2 - “Commitment Fee Rate” shall mean the percentage rate per annum based on the Debt Rating then in effect according to the pricing grid on Schedule 1.1(A) below the heading “Commitment Fee.” “Applicable Insurance Regulatory Authority” shall mean, with respect to any Insurance Company, the insurance department or similar administrative authority or agency of the jurisdiction in which such Insurance Company is domiciled. “Applicable Margin” shall mean, as applicable: (a) the percentage spread to be added to the Base Rate applicable to Revolving Credit Loans under the Base Rate Option based on the Debt Ratings then in effect according to the pricing grid on Schedule 1.1(A) below the heading “Revolving Credit Base Rate Spread”, or (b) the percentage spread to be added to the Term SOFR Rate applicable to Revolving Credit Loans under the Term SOFR Rate Option based on the Debt Ratings then in effect according to the pricing grid on Schedule 1.1(A) below the heading “Revolving Credit Term SOFR Rate Spread”. “Approved Fund” shall mean any fund that is engaged in making, purchasing, holding or investing in bank loans and similar extensions of credit in the ordinary course of business and that is administered or managed by (a) a Lender, (b) an Affiliate of a Lender or (c) an entity or an Affiliate of an entity that administers or manages a Lender. “Assignment and Assumption Agreement” shall mean an assignment and assumption agreement entered into by a Lender and an assignee permitted under Section 10.8, in substantially the form of Exhibit 1.1(A). “Authorized Officer” shall mean, with respect to any Borrower, the Chief Executive Officer and Chief Financial Officer of such Borrower or such other individuals, designated by written notice to the Administrative Agent from such Borrower, authorized to execute notices, reports and other documents on behalf of such Borrower required hereunder. Each Borrower may amend such list of individuals from time to time by giving written notice of such amendment to the Administrative Agent. “Bail-In Action” shall mean the exercise of any Write-down and Conversion Powers. “Bail-In Legislation” shall mean: (a) in relation to an EEA Member Country which has implemented, or which at any time implements, Article 55 of Directive 2014/59/EU establishing a framework for the recovery and resolution of credit institutions and investment firms, the relevant implementing law or regulation as described in the EU Bail-In Legislation Schedule from time to time; and


 
- 3 - (b) in relation to any other state, any analogous law or regulation from time to time which requires contractual recognition of any Write-down and Conversion Powers contained in that law or regulation. “Base Rate” shall mean, for any day, a fluctuating per annum rate of interest equal to the Prime Rate; provided, however, if the Base Rate as determined above would be less than zero, then such rate shall be deemed to be zero. Any change in the Base Rate (or any component thereof) shall take effect at the opening of business on the day such change occurs. “Base Rate Loan” shall mean a Loan that bears interest based on Base Rate. “Base Rate Option” shall mean the option of the applicable Borrower to have Loans bear interest at the rate and under the terms set forth in Section 3.1.1(i). “Beneficial Owner” shall mean, for each Borrower, each of the following: (a) each individual, if any, who, directly or indirectly, owns 25% or more of such Borrower’s equity interests; and (b) a single individual with significant responsibility to control, manage, or direct such Borrower. “Beneficial Ownership Regulation” shall mean 31 C.F.R. § 1010.230. “Borrowing Date” shall mean, with respect to any Loan, the date for the making thereof or the renewal or conversion thereof at or to the same or a different Interest Rate Option, which shall be a Business Day. “Borrowing Tranche” shall mean specified portions of Loans outstanding as follows: (i) any Loans to which a Term SOFR Rate Option applies which become subject to the same Interest Rate Option under the same Loan Request by the applicable Borrower and which have the same Interest Period shall constitute one Borrowing Tranche, and (ii) all Loans to which a Base Rate Option applies shall constitute one Borrowing Tranche. “Business Day” shall mean any day other than a Saturday or Sunday or a legal holiday on which commercial banks are authorized or required to be closed, or are in fact closed, for business in New York, New York or Cincinnati, Ohio (or, if otherwise, the lending office of the Administrative Agent); provided that, when used in connection with an amount that bears interest at a rate based on SOFR or any direct or indirect calculation or determination of SOFR, the term “Business Day” means any such day that is also a U.S. Government Securities Business Day. “Cash Collateral” shall have the meaning ascribed to it on Annex A to the Agreement. “Cash Collateralize” shall mean to pledge and deposit with or deliver to Administrative Agent, for the benefit of the Administrative Agent, Issuing Lender and the Lenders, as collateral for the Letter of Credit Obligations, cash or deposit account balances pursuant to documentation satisfactory to Administrative Agent and the Issuing Lender (which documents are hereby consented to by the Lenders).


 
- 4 - “Certificate of Beneficial Ownership shall mean, for each Borrower, a certificate in form and substance acceptable to the Administrative Agent (as amended or modified by the Administrative Agent from time to time in its sole discretion), certifying, among other things, the Beneficial Owner of such Borrower. “Change in Law” shall mean the occurrence, after the Closing Date, of any of the following: (a) the adoption or taking effect of any Law, (b) any change in any Law or in the administration, interpretation, implementation or application thereof by any Official Body or (c) the making or issuance of any request, guideline or directive (whether or not having the force of Law) by any Official Body; provided that notwithstanding anything herein to the contrary, (x) the Dodd-Frank Wall Street Reform and Consumer Protection Act and all requests, rules, guidelines or directives thereunder or issued in connection therewith and (y) all requests, rules, guidelines or directives promulgated by the Bank for International Settlements, the Basel Committee on Banking Supervision (or any successor or similar authority) or the United States or foreign regulatory authorities, in each case pursuant to Basel III, shall in each case be deemed to be a “Change in Law”, regardless of the date enacted, adopted or issued. “Closing Date” shall mean October 10, 2025. “Code” shall mean the Internal Revenue Code of 1986, as the same may be amended or supplemented from time to time, and any successor statute of similar import, and the rules and regulations thereunder, as from time to time in effect. “Commitment” shall mean as to any Lender the aggregate of its Revolving Credit Commitment and, in the case of the Swing Lender, its Swing Loan Commitment, and “Commitments shall mean the aggregate of the Revolving Credit Commitments and Swing Loan Commitment of all of the Lenders. “Commitment Fee” shall have the meaning specified in Section 2.3. “Company” shall have the meaning specified in the Preamble hereto. “Compliance Certificate” shall have the meaning specified in Section 7.3.3. “Conforming Changes” shall mean, with respect to either the use or administration of Daily Simple SOFR or the use, administration, adoption or implementation of any Successor Rate, any technical, administrative or operational changes (including changes to the definition of “Base Rate,” the definition of “Business Day,” the determination of any interest period or any similar or analogous definition (or the addition of a concept of “interest period”), the definition of “U.S. Government Securities Business Day,” timing and frequency of determining rates and making payments of interest, timing of borrowing requests or prepayment, conversion or continuation notices, the applicability and length of lookback periods or observation shifts, the applicability of Section 3.4.4, and other technical, administrative or operational matters) that Administrative Agent decides may be appropriate to reflect the adoption and implementation of any such rate or to permit the use and administration thereof by Administrative Agent in a manner substantially consistent with market practice (or, if Administrative Agent decides that adoption of any portion of such market practice is not administratively feasible or if Administrative Agent determines that no market practice for the administration of any such rate exists, in such other


 
- 5 - manner of administration as Administrative Agent decides is reasonably necessary in connection with the administration of this Agreement and the other Loan Documents). “Consolidated Debt” shall mean the consolidated Indebtedness of the Company and its consolidated Subsidiaries, including without limitation the principal amount of the Loans, but excluding permitted Indebtedness described in Sections 7.2.1(ii), (iii), (iv), and (v), and any obligation relating to an undrawn letter of credit that is issued in connection with a liability for which a reserve has been established by the Company and its consolidated Subsidiaries in accordance with GAAP. “Consolidated Net Income” shall mean, for any period, for the Company and its Subsidiaries on a consolidated basis, the net income of the Company and its Subsidiaries for that period. “Consolidated Net Worth” shall mean, at any time, the consolidated shareholders’ equity of the Company and its Subsidiaries at such time. “Corporate Member” shall mean Cincinnati Global Dedicated No 2 Limited, a corporation incorporated under the laws of England & Wales, which is a Member. “Daily Simple SOFR” shall mean, for any day (a “SOFR Rate Day”), a rate of interest (rounded upwards to the next 1/8th of 1%) adjusted for reserves if Administrative Agent is required to maintain reserves with respect to relevant advances) per annum equal to the greater of (a) SOFR for the day (such day “i”) that is five (5) U.S. Government Securities Business Days prior to (i) if such SOFR Rate Day is a U.S. Government Securities Business Day, such SOFR Rate Day or (ii) if such SOFR Rate Day is not a U.S. Government Securities Business Day, the U.S. Government Securities Business Day immediately preceding such SOFR Rate Day, in each case, as such SOFR is published by the SOFR Administrator on the SOFR Administrator’s Website, and (b) the SOFR Floor. If by 5:00 pm (New York City time) on the second (2nd) U.S. Government Securities Business Day immediately following any day “i”, the SOFR in respect of such day “i” has not been published on the SOFR Administrator’s Website and a Successor Rate with respect to the Daily Simple SOFR has not been implemented under the terms of this Agreement, then the SOFR for such day “i” will be the SOFR as published in respect of the first preceding U.S. Government Securities Business Day for which such SOFR was published on the SOFR Administrator’s Website; provided that any SOFR determined pursuant to this sentence shall be utilized for purposes of calculation of Daily Simple SOFR for no more than three (3) consecutive SOFR Rate Days. Any change in Daily Simple SOFR due to a change in SOFR shall be effective from and including the effective date of such change in SOFR without notice to Borrower. Each determination by Administrative Agent of Daily Simple SOFR shall be conclusive and binding in the absence of manifest error. “Debt Rating” shall have the meaning specified in Schedule 1.1(A). “Defaulting Lender” shall mean, subject to Section 2.12.2, any Lender that (a) has failed to (i) fund all or any portion of its Loans within two (2) Business Days of the date such Loans were required to be funded hereunder unless such Lender notifies the Administrative Agent and the Borrowers in writing that such failure is the result of such Lender’s determination that one


 
- 6 - or more conditions precedent to funding (each of which conditions precedent, together with any applicable default, shall be specifically identified in such writing) has not been satisfied, or (ii) pay to the Administrative Agent, the Issuing Lender, the Swing Lender or any other Lender any other amount required to be paid by it hereunder (including in respect of its participation in Letters of Credit or Swing Loans) within two (2) Business Days of the date when due, (b) has notified the Borrowers, the Administrative Agent, the Issuing Lender or the Swing Lender in writing that it does not intend to comply with its funding obligations hereunder, or has made a public statement to that effect (unless such writing or public statement relates to such Lender’s obligation to fund a Loan hereunder and states that such position is based on such Lender’s determination that a condition precedent to funding (which condition precedent, together with any applicable default, shall be specifically identified in such writing or public statement) cannot be satisfied), (c) has failed, within three (3) Business Days after written request by the Administrative Agent or the Borrowers, to confirm in writing to the Administrative Agent and the Borrowers that it will comply with its prospective funding obligations hereunder (provided that such Lender shall cease to be a Defaulting Lender pursuant to this clause (c) upon receipt of such written confirmation by the Administrative Agent and the Company), or (d) has, or has a direct or indirect parent company that has, (i) become the subject of a Relief Proceeding, or (ii) had appointed for it a receiver, custodian, conservator, trustee, administrator, assignee for the benefit of creditors or similar Person charged with reorganization or liquidation of its business or assets, including the Federal Deposit Insurance Corporation or any other state or federal regulatory authority acting in such a capacity; provided that a Lender shall not be a Defaulting Lender solely by virtue of the ownership or acquisition of any equity interest in that Lender or any direct or indirect parent company thereof by an Official Body so long as such ownership interest does not result in or provide such Lender with immunity from the jurisdiction of courts within the United States or from the enforcement of judgments or writs of attachment on its assets or permit such Lender (or such Official Body) to reject, repudiate, disavow or disaffirm any contracts or agreements made with such Lender. Any determination by the Administrative Agent that a Lender is a Defaulting Lender under any one or more of clauses (a) through (d) above shall be conclusive and binding absent manifest error, and such Lender shall be deemed to be a Defaulting Lender (subject to Section 2.12.2) upon delivery of written notice of such determination to the Borrowers, the Issuing Lender, the Swing Lender and each Lender. “Dollar” and the symbol “$” shall mean lawful money of the United States of America. “EEA Member Country” shall mean any member state of the European Union, Iceland, Liechtenstein and Norway. “Environmental Laws” shall mean all applicable federal, state, local, tribal, territorial and foreign Laws (including common law), constitutions, statutes, treaties, regulations, rules, ordinances and codes and any consent decrees, settlement agreements, judgments, orders, directives, policies or programs issued by or entered into with an Official Body pertaining or relating to: (i) pollution or pollution control; (ii) protection of human health from exposure to regulated substances; (iii) protection of the environment and/or natural resources; (iv) employee safety in the workplace; (v) the presence, use, management, generation, manufacture, processing, extraction, treatment, recycling, refining, reclamation, labeling, packaging, sale, transport, storage, collection, distribution, disposal or release or threat of release of regulated substances; (vi) the


 
- 7 - presence of contamination; (vii) the protection of endangered or threatened species; and (viii) the protection of environmentally sensitive areas. “ERISA” shall mean the Employee Retirement Income Security Act of 1974, as the same may be amended or supplemented from time to time, and any successor statute of similar import, and the rules and regulations thereunder, as from time to time in effect. “ERISA Affiliate” shall mean, at any time, any trade or business (whether or not incorporated) under common control with a Borrower and are treated as a single employer under Section 414 of the Code. “ERISA Event” shall mean (a) a reportable event (under Section 4043 of ERISA and regulations thereunder) with respect to a Pension Plan; (b) a withdrawal by a Borrower or any ERISA Affiliate from a Pension Plan subject to Section 4063 of ERISA during a plan year in which it was a substantial employer (as defined in Section 4001(a)(2) of ERISA) or a cessation of operations that is treated as such a withdrawal under Section 4062(e) of ERISA; (c) a complete or partial withdrawal by a Borrower or any ERISA Affiliate from a Multiemployer Plan or notification that a Multiemployer Plan is in reorganization; (d) the filing of a notice of intent to terminate, the treatment of a Plan amendment as a termination under Sections 4041 or 4041A of ERISA, or the commencement of proceedings by the PBGC to terminate a Pension Plan or Multiemployer Plan; (e) an event or condition which constitutes grounds under Section 4042 of ERISA for the termination of, or the appointment of a trustee to administer, any Pension Plan or Multiemployer Plan; or (f) the imposition of any liability under Title IV of ERISA, other than for PBGC premiums due but not delinquent under Section 4007 of ERISA, upon a Borrower or any ERISA Affiliate. “ERISA Group” shall mean, at any time, each Borrower and all members of a controlled group of corporations and all trades or businesses (whether or not incorporated) under common control and all other entities which, together with the Borrowers, are treated as a single employer under Section 414 of the Code. “EU Bail-In Legislation Schedule” shall mean the document described as such and published by the Loan Market Association (or any successor person) from time to time. “Event of Default” shall mean any of the events described in Section 8.1 and referred to therein as an “Event of Default.” “Excluded Taxes” shall mean any of the following Taxes imposed on or with respect to a Recipient or required to be withheld or deducted from a payment to a Recipient, (a) Taxes imposed on or measured by net income (however denominated), franchise Taxes, and branch profits Taxes, in each case, (i) imposed as a result of such Recipient being organized under the laws of, or having its principal office or, in the case of any Lender, its applicable lending office located in, the jurisdiction imposing such Tax (or any political subdivision thereof) or (ii) that are Other Connection Taxes, (b) in the case of a Lender, U.S. federal withholding Taxes imposed on amounts payable to or for the account of such Lender with respect to an applicable interest in a Loan or Commitment pursuant to a law in effect on the date on which (i) such Lender acquires such interest in the Loan or Commitment (other than pursuant to an assignment request by the


 
- 8 - Company under Section 4.6.2) or (ii) such Lender changes its lending office, except in each case to the extent that, pursuant to Section 4.8, amounts with respect to such Taxes were payable either to such Lender’s assignor immediately before such Lender became a party hereto or to such Lender immediately before it changed its lending office, (c) Taxes attributable to such Recipient’s failure to comply with Section 4.8.6 and (d) any U.S. federal withholding Taxes imposed under FATCA. “Executive Order No. 13224” shall mean the Executive Order No. 13224 on Terrorist Financing, effective September 24, 2001, as the same has been, or shall hereafter be, renewed, extended, amended or replaced. “Expiration Date” shall mean, with respect to the Revolving Credit Commitments, October 10, 2030, or such later date as determined in accordance with Section 2.13. “FATCA” shall mean Sections 1471 through 1474 of the Code, as of the date of this Agreement (or any amended or successor version that is substantively comparable and not materially more onerous to comply with) and any current or future regulations or official interpretations thereof and any agreement entered into pursuant to Section 1471(b)(1) of the Code. “Federal Funds Rate” shall mean, for any day, a floating rate equal to the weighted average of the rates on overnight federal funds transactions among members of the Federal Reserve System, as determined by Administrative Agent in its sole discretion, which determination shall be final, binding and conclusive (absent manifest error). “Fifth Third” shall mean Fifth Third Bank, National Association. “Financial Strength Rating” shall mean with respect to any Insurance Company, the financial strength rating of such Insurance company as determined by A.M. Best Company, Inc., Standard & Poor’s or Moody’s. “Foreign Lender” shall mean a Lender that is not a U.S. Person. “Fronting Exposure” shall mean, at any time there is a Defaulting Lender, (a) with respect to the Issuing Lender, such Defaulting Lender’s Ratable Share of the outstanding Letter of Credit Obligations with respect to Letters of Credit issued by the Issuing Lender other than Letter of Credit Obligations as to which such Defaulting Lender’s participation obligation has been reallocated to other Lenders or Cash Collateralized in accordance with the terms hereof, and (b) with respect to the Swing Lender, such Defaulting Lender’s Ratable Share of outstanding Swing Loans made by the Swing Lender other than Swing Loans as to which such Defaulting Lender’s participation obligation has been reallocated to other Lenders. “GAAP” shall mean generally accepted accounting principles in the United States of America as are in effect from time to time, subject to the provisions of Section 1.3, and applied on a consistent basis both as to classification of items and amounts. “Guaranty” of any Person shall mean any obligation of such Person guaranteeing or having the economic effect of guaranteeing any liability or obligation of any other Person in any manner, whether directly or indirectly, including any agreement to indemnify or hold harmless any other Person, except endorsement of negotiable or other instruments for deposit or collection


 
- 9 - in the ordinary course of business; provided however, that term Guaranty shall not include (a) trade payables (including payables under insurance contracts and reinsurance payables) and accrued expenses, in each case arising in the ordinary course of business, (b) obligations with respect to surety and appeal bonds, performance bonds and other obligations of a like nature incurred in the ordinary course of business and (c) obligations with respect to Policies. “IFRS” shall mean the International Financial Reporting Standards issued by the International Accounting Standards Board (“IASB”) (including those International Accounting Standards issued by the International Accounting Standards Committee (“IASC”) which have been adopted by the IASB, as well as interpretations of International Financial Reporting Standards developed by the International Financial Reporting Interpretations Committee (and predecessor bodies) and approved by the IASB, as endorsed by the European Union, from time to time in effect and applied on a consistent basis both as to classification of items and amounts. “Increasing Lender” shall have the meaning specified in Section 9.9. “Indebtedness” shall mean, as to any Person at any time, any and all indebtedness, obligations or liabilities (whether matured or unmatured, liquidated or unliquidated, direct or indirect, absolute or contingent, or joint or several) of such Person for or in respect of: (i) borrowed money, (ii) amounts raised under or liabilities in respect of any note purchase or acceptance credit facility, (iii) reimbursement obligations (contingent or otherwise) under any letter of credit agreement, (iv) obligations under any currency swap agreement, interest rate swap, cap, collar or floor agreement or other interest rate management device, (v) any other transaction (including forward sale or purchase agreements, capitalized leases and conditional sales agreements) having the commercial effect of a borrowing of money entered into by such Person to finance its operations or capital requirements (but not including trade payables and accrued expenses incurred in the ordinary course of business which are not represented by a promissory note or other evidence of indebtedness and which are not more than sixty (60) days past due), or (vi) any Guaranty of Indebtedness for borrowed money; provided that Indebtedness shall not include (x) trade payables (including payables under insurance contracts and reinsurance payables) and accrued expenses, in each case arising in the ordinary course of business and (y) obligations with respect to Policies. “Indemnified Taxes” shall mean (a) Taxes, other than Excluded Taxes, imposed on or with respect to any payment made by or on account of any obligation of any Borrower under any Loan Document and (b) to the extent not otherwise described in (a), Other Taxes. “Indemnitee” shall have the meaning specified in Section 10.3.2. “Information” shall mean all information received from the Borrowers or any of their Subsidiaries relating to the Borrowers or any of such Subsidiaries or any of their respective businesses, other than any such information that is available to the Administrative Agent, the Issuing Lender or any Lender on a non-confidential basis prior to disclosure by the Borrowers or any of their Subsidiaries. “Insignificant Subsidiary” shall mean any Subsidiary which has revenues in an amount less than 5% of the consolidated revenues of the Company and its Subsidiaries as of the end of the most recent fiscal quarter of the Company for which financial statements are available.


 
- 10 - “Insurance Code” shall mean, with respect to any Insurance Company, the applicable insurance code or Law (including regulations) of such Insurance Company’s domicile which governs the licensing of companies who engage in the insurance or reinsurance business and the issuance of insurance or reinsurance. “Insurance Company” shall mean any Subsidiary which is subject to the regulation of, and is required to file statements with, any governmental body, agency or official in any jurisdiction which regulates insurance and/ or reinsurance companies or the doing of an insurance and/ or reinsurance business therein. “Intercompany Subordination Agreement” shall mean a Subordination Agreement among the Borrowers and certain of their Subsidiaries, in form and substance reasonably acceptable to the Administrative Agent. “Interest Payment Date” shall mean, all as determined by Administrative Agent in accordance with the Loan Documents and Administrative Agent’s loan systems and procedures periodically in effect: (a) as to any Base Rate Loans, the first Business Day of each month, and (b) as to any Term SOFR Rate Loan, the last day of the applicable Interest Period; provided that, in addition to the foregoing, each of (x) the date upon which all of the Commitments have been terminated and the Loans have been paid in full and (y) the Expiration Date shall be deemed to be an “Interest Payment Date” with respect to any interest that has then accrued under the Agreement. “Interest Period” shall mean with respect to any Loans to which a Term SOFR Rate Option applies, a period commencing on the date of such Loan and ending on the numerically corresponding day in the calendar month that is one or three months thereafter (or with respect to the initial Interest Period for any Loan to which a Term SOFR Rate Option applies beginning on the Closing Date, such other period of time acceptable to the Administrative Agent) as designated by Borrowers to Administrative Agent from time to time pursuant to the terms of this Agreement, as determined by Administrative Agent in accordance with the Agreement and Administrative Agent’s loan systems and procedures periodically in effect, including in accordance with the following terms and conditions, as applicable. (a) in the case of immediately successive Interest Periods with respect to a continued Loan to which a Term SOFR Rate Option applies, each successive Interest Period shall commence on the day on which the immediately preceding Interest Period expires, with interest for such day to be calculated based upon the interest rate in effect for the new Interest Period; (b) if an Interest Period would otherwise end on a day that is not a Business Day, such Interest Period shall end on the next succeeding Business Day; provided that, if the next succeeding Business Day falls in a new month, such Interest Period shall end on the immediately preceding Business Day; and (c) if any Interest Period begins on a Business Day for which there is no numerically corresponding day in the calendar month at the end of such Interest Period, then the Interest Period shall end on the last Business Day of the calendar month ending at the end of such Interest Period.


 
- 11 - “Interest Rate Option” shall mean any Term SOFR Rate Option or Base Rate Option. “IRS” shall mean the Internal Revenue Service. “ISP98” shall have the meaning specified in Section 10.11.1. “Issuing Lender” shall mean Fifth Third, in its individual capacity as issuer of Letters of Credit hereunder, and any other Lender that the Borrowers, Administrative Agent and such other Lender may agree may from time to time issue Letters of Credit hereunder. “Knowledge” shall mean any “named executive officer” (as defined in rules promulgated by the SEC). “Law” shall mean any law (including common law), constitution, statute, treaty, regulation, rule, ordinance, ruling, order, injunction, writ, decree or judgment, including the interpretation or administration thereof by any Official Body charged with the enforcement, interpretation or administration thereof, and all applicable administrative orders, directed duties, requests, licenses, authorizations and permits of, and agreements with, any Official Body, in each case whether or not having the force of law. “Lenders” shall mean the financial institutions named on Schedule 1.1(B) and their respective successors and assigns as permitted hereunder, each of which is referred to herein as a Lender. “Letter of Credit” shall mean a commercial or standby letter of credit issued for the account of any Borrower or any Subsidiary by the Issuing Lender, for which Administrative Agent and Lenders have incurred Letter of Credit Obligations. “Letter of Credit Fee” shall have the meaning specified in Section 2.8.2. “Letter of Credit Obligation” shall mean, as of any date of determination, all outstanding obligations incurred by Administrative Agent, Lenders and Issuing Lender at the request of Borrowers (or any of them), whether direct or indirect, contingent or otherwise, due or not due, in connection with the issuance of Letters of Credit by Issuing Lender or the purchase of a participation as set forth in Annex A to this Agreement with respect to any Letter of Credit. The amount of the Letter of Credit Obligations at any time shall equal the maximum amount that may be payable by Issuing Lender, Administrative Agent or Lenders thereupon or pursuant thereto “Letter of Credit Sublimit” shall have the meaning specified in Annex A. “Licenses” shall have the meaning specified in Section 5.1.15. “Lien” shall mean any mortgage, deed of trust, pledge, lien, security interest, charge or other encumbrance or security arrangement of any nature whatsoever, whether voluntarily or involuntarily given, including any conditional sale or title retention arrangement, and any assignment, deposit arrangement or lease intended as, or having the effect of, security and any


 
- 12 - filed financing statement or other notice of any of the foregoing (whether or not a lien or other encumbrance is created or exists at the time of the filing). “Lloyd’s” shall mean the Society incorporated by the Lloyd’s Act 1871 by the name Lloyd’s. “Loan Documents” shall mean this Agreement, the Administrative Agent’s Letter, the Intercompany Subordination Agreement (if any), the Notes, and any other instruments, certificates or documents delivered in connection herewith or therewith. “Loan Request” shall have the meaning specified in Section 2.4. “Loans” shall mean collectively and “Loan” shall mean separately all Revolving Credit Loans and Swing Loans or any Revolving Credit Loan or Swing Loan. “Managed Syndicate” shall mean Cincinnati Global Syndicate 318; provided, that, the Managed Syndicate shall at all times be managed by the Managing Agent. “Managing Agent” shall mean Cincinnati Global Underwriting Agency Ltd. “Material Adverse Change” shall mean any set of circumstances or events which (a) has any material adverse effect whatsoever upon the validity or enforceability of this Agreement or any other Loan Document, (b) is material and adverse to the business, properties, assets, financial condition or results of operations of the Borrowers taken as a whole, (c) materially impairs the ability of the Borrowers taken as a whole to duly and punctually pay or perform any of the Obligations, or (d) impairs materially the ability of the Administrative Agent or any of the Lenders, to the extent permitted, to enforce their legal remedies pursuant to this Agreement or any other Loan Document. “Member” shall mean an underwriting member of Lloyd’s. “Moody’s” shall mean Moody’s Investor Service, Inc. and any successor thereto. “Multiemployer Plan” shall mean any employee benefit plan which is a “multiemployer plan” within the meaning of Section 4001(a)(3) of ERISA and to which the Company or any member of the ERISA Group is then making or accruing an obligation to make contributions or, within the preceding five Plan years, has made or had an obligation to make such contributions. “New Lender” shall have the meaning specified in Section 9.9. “Non-Defaulting Lender” shall mean, at any time, each Lender that is not a Defaulting Lender at such time. “Notes” shall mean, collectively, the promissory notes in the form of Exhibit 1.1(N)(1) evidencing the Revolving Credit Loans and in the form of Exhibit 1.1(N)(2) evidencing the Swing Loans.


 
- 13 - “Obligation” shall mean any obligation or liability of any of the Borrowers, howsoever created, arising or evidenced, whether direct or indirect, absolute or contingent, now or hereafter existing, or due or to become due, under or in connection with this Agreement, the Notes, the Letters of Credit, the Administrative Agent’s Letter or any other Loan Document whether to the Administrative Agent, any of the Lenders or their Affiliates or other persons provided for under such Loan Documents. “Official Body” shall mean the government of the United States of America or any other nation, or of any political subdivision thereof, whether state or local, and any agency, authority, instrumentality, regulatory body, court, central bank or other entity exercising executive, legislative, judicial, taxing, regulatory or administrative powers or functions of or pertaining to government (including any supra-national bodies such as the European Union or the European Central Bank). “Other Connection Taxes” shall mean, with respect to any Recipient, Taxes imposed as a result of a present or former connection between such Recipient and the jurisdiction imposing such Tax (other than connections arising from such Recipient having executed, delivered, become a party to, performed its obligations under, received payments under, received or perfected a security interest under, engaged in any other transaction pursuant to or enforced any Loan Document, or sold or assigned an interest in any Loan or Loan Document). “Other Taxes” shall mean all present or future stamp, court or documentary, intangible, recording, filing or similar Taxes that arise from any payment made under, from the execution, delivery, performance, enforcement or registration of, from the receipt or perfection of a security interest under, or otherwise with respect to, any Loan Document, except any such Taxes that are Other Connection Taxes imposed with respect to an assignment (other than an assignment made pursuant to Section 4.6.2). “Participant” shall have the meaning specified in Section 10.8.4. “Participant Register” shall have the meaning specified in Section 10.8.4. “Payment” shall have the meaning specified in Section 9.11. “Payment Notice” shall have the meaning specified in Section 9.11. “Payment In Full” shall mean the indefeasible payment in full in cash of the Loans and other Obligations hereunder, termination of the Commitments and expiration or termination of all Letters of Credit. “PBGC” shall mean the Pension Benefit Guaranty Corporation established pursuant to Subtitle A of Title IV of ERISA or any successor. “Pension Plan” shall mean any “employee pension benefit plan” (as such term is defined in Section 3(2) of ERISA), other than a Multiemployer Plan, that is subject to Title IV of ERISA and is sponsored or maintained by the Company or any ERISA Affiliate or to which the Company or any ERISA Affiliate contributes or has an obligation to contribute, or in the case of a


 
- 14 - multiple employer or other plan described in Section 4064(a) of ERISA, has made contributions at any times during the immediately preceding five plan years. “Permitted Liens” shall mean: (i) Liens for taxes, assessments, or similar charges, incurred in the ordinary course of business and which are not yet due and payable; (ii) Pledges or deposits made in the ordinary course of business to secure payment of workmen’s compensation, or to participate in any fund in connection with workmen’s compensation, unemployment insurance, old-age pensions or other social security programs; (iii) Liens of mechanics, materialmen, warehousemen, carriers, or other like Liens, securing obligations incurred in the ordinary course of business that are not yet due and payable and Liens of landlords securing obligations to pay lease payments that are not yet due and payable or in default; (iv) Encumbrances consisting of zoning restrictions, easements or other restrictions on the use of real property, none of which materially impairs the use of such property or the value thereof, and none of which is violated in any material respect by existing or proposed structures or land use; (v) Liens on property leased by any Borrower or Subsidiary of a Borrower under capital and operating leases securing obligations of such Borrower or Subsidiary to the lessor under such leases; (vi) Any Lien existing on the date of this Agreement and described on Schedule 1.1(P), provided that the principal amount secured thereby is not hereafter increased, and no additional assets become subject to such Lien; (vii) Liens securing obligations owed by the Company to any of its Subsidiaries or owed by any Subsidiary to the Company or any Subsidiary, in each case solely to the extent that such Liens are required by an Applicable Insurance Regulatory Authority for such Person to maintain such obligations; (viii) Purchase Money Security Interests; (ix) The following, if (A) the validity or amount thereof is being contested in good faith by appropriate and lawful proceedings diligently conducted so long as levy and execution thereon have been stayed and continue to be stayed or (B) they do not, in the aggregate, materially impair the ability of any Borrower to perform its Obligations hereunder or under the other Loan Documents: (1) Claims or Liens for taxes, assessments or charges due and payable and subject to interest or penalty; provided that the applicable Borrower maintains such reserves or other appropriate provisions as shall be required by GAAP and pays all such


 
- 15 - taxes, assessments or charges forthwith upon the commencement of proceedings to foreclose any such Lien; (2) Claims, Liens or encumbrances upon, and defects of title to, real or personal property, including any attachment of personal or real property or other legal process prior to adjudication of a dispute on the merits; or (3) Claims or Liens of mechanics, materialmen, warehousemen, carriers, or other statutory nonconsensual Liens; (x) Liens in connection with funds on deposit with a state, an Applicable Insurance Regulatory Authority or Lloyd’s, or in connection with the collateralization of an obligation required by the same; (xi) Liens granted or subsisting under any deed or agreement required by Lloyd’s or the Prudential Regulation Authority to be executed or entered into by or on behalf of the Company or any of its Subsidiaries in connection with any of its Subsidiaries’ insurance business at Lloyd’s; (xii) Liens over or affecting any asset forming part of a trust fund (or, in the case of reinsurance recoveries or other things in action, whose proceeds will form part of a trust fund) which is held subject to the provisions of any deed or agreement of the kind referred to in clause (x) above, where that Lien is created to secure obligations arising under a Syndicate Arrangement; (xiii) Liens over or affecting the Company’s or any of its Subsidiaries’ membership interests in either a limited partnership or limited liability company vehicle representing alternative investment assets, so long as (x) such portfolios of alternative investments are within limits set by the Applicable Insurance Regulatory Authority or other Official Body, (y) such liens arise in the ordinary course of such investments and are applicable to all investors generally and (z) the amount of the obligations of the Company or such Subsidiary does not exceed the value of such investments; and (xiv) Liens not otherwise permitted by clauses (i) through (xiii) hereof; provided that (A) the aggregate amount of Indebtedness at any time secured thereby shall not exceed $50,000,000 and (B) the aggregate book value of the assets at any time subject to such Lien shall not exceed $200,000,000. “Person” shall mean any individual, corporation, partnership, limited liability company, association, joint-stock company, trust, unincorporated organization, joint venture, government or political subdivision or agency thereof, or any other entity. “Plan” shall mean at any time an employee pension benefit plan (including a Multiple Employer Plan, but not a Multiemployer Plan) which is covered by Title IV of ERISA or is subject to the minimum funding standards under Section 412 of the Code and either (i) is maintained by any member of the ERISA Group for employees of any member of the ERISA Group or (ii) has at any time within the preceding five years been maintained by any entity which


 
- 16 - was at such time a member of the ERISA Group for employees of any entity which was at such time a member of the ERISA Group. “Policies” shall mean all insurance and reinsurance policies, annuity contracts, guaranteed interest contracts and funding agreements (including riders to any such policies or contracts, certificates issued with respect to group life insurance or annuity contracts and any contracts issued in connection with retirement plans or arrangements) and assumption certificates issued or to be issued (or filed pending current review by applicable Official Bodies) by any Insurance Company and any coinsurance agreements entered into or to be entered into by an Insurance Company. “Potential Default” shall mean any event or condition which with notice or passage of time, or both, would constitute an Event of Default. “Prime Rate” shall mean the interest rate per annum announced from time to time by the Administrative Agent at its Principal Office as its then prime rate, which rate may not be the lowest or most favorable rate then being charged to commercial borrowers or others by the Administrative Agent and may not be tied to any external rate or interest or index. Any change in the Prime Rate shall take effect at the opening of business on the day such change is announced. “Principal Office” shall mean the main banking office of the Administrative Agent in Cincinnati, Ohio. “Prudential Regulation Authority” shall mean the Prudential Regulation Authority in the United Kingdom and any regulatory body which succeeds to one or more of the functions and/or duties performed by it as of February 25, 2019. “Purchase Money Security Interest” shall mean Liens upon tangible personal property securing loans to any Borrower or Subsidiary of a Borrower or deferred payments by such Borrower or Subsidiary for the purchase of such tangible personal property. “Ratable Share” shall mean the proportion that a Lender’s Commitment (excluding the Swing Loan Commitment) bears to the Commitments (excluding the Swing Loan Commitment) of all of the Lenders. If the Commitments have terminated or expired, the Ratable Shares shall be determined based upon the Commitments (excluding the Swing Loan Commitment) most recently in effect, giving effect to any assignments. “Recipient” shall mean (a) the Administrative Agent, (b) any Lender and (c) the Issuing Lender, as applicable. “Reimbursement Obligation” shall mean, at any date, the obligations of Borrowers then outstanding to reimburse the Issuing Lender, for payments made by Issuing Lender under any Letter of Credit. “Related Parties” shall mean, with respect to any Person, such Person’s Affiliates and the partners, directors, officers, employees, agents and advisors of such Person and of such Person’s Affiliates.


 
- 17 - “Relief Proceeding” shall mean any proceeding seeking a decree or order for relief in respect of any Borrower or Subsidiary of a Borrower in a voluntary or involuntary case under any applicable bankruptcy, insolvency, reorganization or other similar law now or hereafter in effect, or for the appointment of a receiver, liquidator, assignee, custodian, trustee, sequestrator, conservator (or similar official) of any Borrower or Subsidiary of a Borrower for any substantial part of its property, or for the winding-up or liquidation of its affairs, or an assignment for the benefit of its creditors. “Required Lenders” shall mean (A) If there exists fewer than three (3) Lenders, all Lenders (other than any Defaulting Lender), and (B) If there exist three (3) or more Lenders, Lenders (other than any Defaulting Lender) having more than 50% of the sum of the aggregate amount of the Revolving Credit Commitments of the Lenders (excluding any Defaulting Lender) or, after the termination of the Revolving Credit Commitments, the outstanding Revolving Credit Loans and Ratable Share of Letter of Credit Obligations of the Lenders (excluding any Defaulting Lender). “Required Share” shall have the meaning assigned to such term in Section 4.10. “Resolution Authority” shall mean any body which has authority to exercise any Write-down and Conversion Powers. “Revolving Credit Commitment” shall mean, as to any Lender at any time, the amount initially set forth opposite its name on Schedule 1.1(B) in the column labeled “Amount of Commitment for Revolving Credit Loans,” as such Commitment is thereafter assigned or modified and “Revolving Credit Commitments” shall mean the aggregate Revolving Credit Commitments of all of the Lenders. “Revolving Credit Loans” shall mean collectively and “Revolving Credit Loan” shall mean separately all Revolving Credit Loans or any Revolving Credit Loan made by the Lenders or one of the Lenders to a Borrower pursuant to Section 2.1 or in accordance with Annex A. “Revolving Facility Usage” shall mean at any time the sum of the outstanding Revolving Credit Loans, the outstanding Swing Loans, and the Letter of Credit Obligations. “Sanctioned Country” shall mean a country subject to a sanctions program maintained under any Anti-Terrorism Law. “Sanctioned Person” shall mean any individual person, group, regime, entity or thing listed or otherwise recognized as a specially designated, prohibited, sanctioned or debarred person, group, regime, entity or thing, or subject to any limitations or prohibitions (including but not limited to the blocking of property or rejection of transactions), under any Anti-Terrorism Law. “Sanctions” shall have the meaning specified in Section 5.1.17.


 
- 18 - “SAP” shall mean, as to each Insurance Company, the statutory accounting practices prescribed or permitted by the Applicable Insurance Regulatory Authority for the preparation of its financial statements and other reports by insurance corporations of the same type as such Insurance Company in effect on the date such statements or reports are to be prepared. “SEC” shall mean the United States Securities and Exchange Commission or any successor entity. “Settlement Date” shall mean the Business Day on which the Administrative Agent elects to effect settlement pursuant Section 4.10. “SOFR” shall mean, for any day, a rate equal to the secured overnight financing rate as administered by the Federal Reserve Bank of New York (or a successor administrator of the secured overnight financing rate). “SOFR Administrator” shall mean the Federal Reserve Bank of New York (or a successor administrator of the secured overnight financing rate). “SOFR Floor” shall mean a rate of interest per annum equal to zero (0) basis points (0%). “Solvent” shall mean, with respect to any Person on any date of determination, taking into account such right of reimbursement, contribution or similar right available to such Person from other Persons, that on such date (i) the fair value of the property of such Person is greater than the total amount of liabilities, including, without limitation, contingent liabilities, of such Person, (ii) the present fair saleable value of the assets of such Person is not less than the amount that will be required to pay the probable liability of such Person on its debts as they become absolute and matured, (iii) such Person is able to realize upon its assets and pay its debts and other liabilities, contingent obligations and other commitments as they mature in the normal course of business, (iv) such Person does not intend to, and does not believe that it will, incur debts or liabilities beyond such Person’s ability to pay as such debts and liabilities mature, and (v) such Person is not engaged in business or a transaction, and is not about to engage in business or a transaction, for which such Person’s property would constitute unreasonably small capital after giving due consideration to the prevailing practice in the industry in which such Person is engaged. In computing the amount of contingent liabilities at any time, it is intended that such liabilities will be computed at the amount which, in light of all the facts and circumstances existing at such time, represents the amount that can reasonably be expected to become an actual or matured liability. “Standard & Poor’s” shall mean Standard & Poor’s Ratings Services, a division of The McGraw-Hill Companies, Inc. “Statements” shall have the meaning specified in Section 5.1.6(i). “Statutory Statement” shall mean, for any Insurance Company, for any fiscal year of such Insurance Company, the most recent Annual Statement or Quarterly Statement (if any) filed with the Applicable Insurance Regulatory Authority, which Statutory Statements shall be prepared in accordance with SAP.


 
- 19 - “Subsidiary” of any Person at any time shall mean any corporation, trust, partnership, any limited liability company or other business entity (i) of which more than 50% of the outstanding voting securities or other interests normally entitled to vote for the election of one or more directors or trustees (regardless of any contingency which does or may suspend or dilute the voting rights) is at such time owned directly or indirectly by such Person or one or more of such Person’s Subsidiaries, or (ii) which is controlled or capable of being controlled by such Person or one or more of such Person’s Subsidiaries. “Subsidiary Equity Interests” shall have the meaning specified in Section 5.1.2. “Swing Lender” shall mean Fifth Third, in its individual capacity as Swing Lender hereunder, and any successor in such capacity. “Swing Loan Commitment” shall mean the Swing Lender’s commitment to make Swing Loans to the Borrowers pursuant to Section 2.1.2 in an aggregate principal amount up to $75,000,000. “Swing Loan Note” shall mean the Swing Loan Note of the Borrowers in the form of Exhibit 1.1(N)(2) evidencing the Swing Loans, together with all amendments, extensions, renewals, replacements, refinancings or refundings thereof in whole or in part. “Swing Loan Request” shall mean a request for Swing Loans made in accordance with Section 2.4.2. “Swing Loans” shall mean collectively and “Swing Loan” shall mean separately all Swing Loans or any Swing Loan made by the Swing Lender to the Borrowers pursuant to Section 2.1.2. “Syndicate Arrangement” shall mean any arrangement (whether pursuant to guarantees, letters of credit or otherwise) entered into by the Managing Agent on behalf of the Corporate Member, together with the other Members of the Managed Syndicate with respect to financing or reinsurance for the purposes of or in connection with the underwriting business carried on by all such Members of the Managed Syndicate. “Taxes” shall mean all present or future taxes, levies, imposts, duties, deductions, withholdings (including backup withholding), assessments, fees or other charges imposed by any Official Body, including any interest, additions to tax or penalties applicable thereto. “Term SOFR Rate” shall mean, with respect to any amount to which the Term SOFR Rate Option applies, the forward-looking SOFR rate administered by CME Group Benchmark Administration Limited (CBA), (or other administrator selected by Administrative Agent) and published on the applicable Bloomberg LP screen page (or such other commercially available source providing such quotations as may be selected by Administrative Agent), fixed by the administrator thereof two U.S. Government Securities Business Days prior to the commencement of the applicable Interest Period (provided, however, that if Term SOFR is not published for such day, then Term SOFR shall be determined by reference to the immediately preceding U.S. Government Securities Business Day on which such rate is published), rounded upwards, if necessary, to the next 1/8th and adjusted for reserves if Administrative Agent is required


 
- 20 - to maintain reserves with respect to the relevant advances, all as determined by Administrative Agent in accordance with the Agreement and Administrative Agent’s loan systems and procedures periodically in effect; provided that provisions governing rounding shall not apply if any Borrower has an Interest Rate Hedge in effect with respect to all or part of any Loans outstanding. If the Term SOFR Rate, determined as provided above, would be less than the SOFR Floor, then the Term SOFR Rate shall be deemed to be the SOFR Floor. The Term SOFR Rate shall be adjusted automatically without notice to the Borrower on and as of the first day of each Interest Period. “Term SOFR Rate Loan” shall mean a Loan that bears interest based on Term SOFR Rate. “Term SOFR Rate Option” shall mean the option of the Borrower to have Loans bear interest at the rate and under the terms specified in Section 3.1.1(ii). “USA Patriot Act” shall mean the Uniting and Strengthening America by Providing Appropriate Tools Required to Intercept and Obstruct Terrorism Act of 2001, Public Law 107-56, as the same has been, or shall hereafter be, renewed, extended, amended or replaced. “U.S. Government Securities Business Day” shall mean any day except for (a) a Saturday or Sunday or (b) a day on which the Securities Industry and Financial Markets Association recommends that the fixed income departments of its members be closed for the entire day for purposes of trading in United States government securities. “U.S. Person” shall mean any Person that is a “United States Person” as defined in Section 7701(a)(30) of the Code. “U.S. Tax Compliance Certificate” shall have the meaning assigned to such term in Section 4.8.6. “Withholding Agent” shall mean any Borrower and the Administrative Agent. “Write-down and Conversion Powers” shall mean: (a) in relation to any Bail-In Legislation described in the EU Bail-In Legislation Schedule from time to time, the powers described as such in relation to that Bail-In Legislation in the EU Bail-In Legislation Schedule; and (b) in relation to any other applicable Bail-In Legislation: i. any powers under that Bail-In Legislation to cancel, transfer or dilute shares issued by a person that is a bank or investment firm or other financial institution or affiliate of a bank, investment firm or other financial institution, to cancel, reduce, modify or change the form of a liability of such a person or any contract or instrument under which that liability arises, to convert all or part of that liability into shares, securities or obligations of that person or any other person, to provide that any such contract or instrument is to have effect as if a right had been exercised under it or to suspend any obligation in respect of that liability or any of


 
- 21 - the powers under that Bail-In Legislation that are related to or ancillary to any of those powers; and ii. any similar or analogous powers under that Bail-In Legislation. 1.2 Construction. Unless the context of this Agreement otherwise clearly requires, the following rules of construction shall apply to this Agreement and each of the other Loan Documents: (i) references to the plural include the singular, the plural, the part and the whole and the words “include,” “includes” and “including” shall be deemed to be followed by the phrase “without limitation”; (ii) the words “hereof,” “herein,” “hereunder,” “hereto” and similar terms in this Agreement or any other Loan Document refer to this Agreement or such other Loan Document as a whole; (iii) article, section, subsection, clause, schedule and exhibit references are to this Agreement or other Loan Document, as the case may be, unless otherwise specified; (iv) reference to any Person includes such Person’s successors and assigns; (v) reference to any agreement, including this Agreement and any other Loan Document together with the schedules and exhibits hereto or thereto, document or instrument means such agreement, document or instrument as amended, modified, replaced, substituted for, superseded or restated; (vi) relative to the determination of any period of time, “from” means “from and including,” “to” means “to but excluding,” and “through” means “through and including”; (vii) the words “asset” and “property” shall be construed to have the same meaning and effect and to refer to any and all tangible and intangible assets and properties, including cash, securities, accounts and contract rights; (viii) section headings herein and in each other Loan Document are included for convenience and shall not affect the interpretation of this Agreement or such Loan Document; and (ix) unless otherwise specified, all references herein to times of day shall be references to Eastern Time. 1.3 Accounting. Principles Except as otherwise provided in this Agreement, all computations and determinations as to accounting or financial matters and all financial statements to be delivered pursuant to this Agreement shall be made and prepared in accordance with GAAP (including principles of consolidation where appropriate) or SAP, as the context requires, and all accounting or financial terms shall have the meanings ascribed to such terms by GAAP or SAP, as the case may be; provided, however, that all accounting terms used in Section 7.2 (and all defined terms used in the definition of any accounting term used in Section 7.2 shall have the meaning given to such terms (and defined terms) under GAAP as in effect on the date hereof applied on a basis consistent with those used in preparing Statements referred to in Section 5.1.6(i). If after the Company migrates to IFRS or there occurs any change in GAAP or in the application thereof that would affect the computation of any financial ratio or requirement set forth in any Loan Document and the Company notifies the Administrative Agent that the Company requests an amendment to any provision hereof to eliminate the effect of such migration to IFRS or change in GAAP or in the application thereof (or if the Administrative Agent notifies the Company that the Required Lenders request an amendment to any provision hereof for such purpose), regardless of whether any such notice is given before or after such migration to IFRS or change in GAAP or in the application thereof, then, then the parties hereto agree to endeavor, in good faith, to amend such ratio or requirement to preserve the original intent thereof in light of such change, but would allow compliance therewith to be determined in accordance with the Company’s financial statements at that time, provided that, until so amended such financial covenants shall continue to be computed in accordance with GAAP as in effect and applied immediately before such migration or change.


 
- 22 - 1.4 Benchmark Replacement Notification. Section 3.4.4 of this Agreement provides a mechanism for determining an alternative rate of interest in the event that the Term SOFR Rate is no longer available or in certain other circumstances. The Administrative Agent does not warrant or accept any responsibility for and shall not have any liability with respect to, the administration, submission or any other matter related to the Term SOFR Rate or with respect to any alternative or successor rate thereto, or replacement rate therefor. 2. REVOLVING CREDIT AND SWING LOAN FACILITIES 2.1 Revolving Credit Commitments. 2.1.1 Revolving Credit Loans. Subject to the terms and conditions hereof and relying upon the representations and warranties herein set forth, each Lender severally agrees to make Revolving Credit Loans to the Borrowers at any time or from time to time on or after the date hereof to the Expiration Date; provided that after giving effect to each such Loan (i) the aggregate amount of Revolving Credit Loans from such Lender shall not exceed such Lender’s Revolving Credit Commitment minus such Lender’s Ratable Share of the outstanding Swing Loans and the Letter of Credit Obligations and (ii) the Revolving Facility Usage shall not exceed the Revolving Credit Commitments. Within such limits of time and amount and subject to the other provisions of this Agreement, the Borrowers may borrow, repay and reborrow pursuant to this Section 2.1.1. 2.1.2 Swing Loan Commitment. Subject to the terms and conditions hereof and relying upon the representations and warranties herein set forth, and in order to facilitate loans and repayments between Settlement Dates, the Swing Lender may, at its option, cancelable at any time for any reason whatsoever in its sole discretion, make swing loans (the “Swing Loans”) to the Borrowers at any time or from time to time after the date hereof to, but not including, the Expiration Date, in an aggregate principal amount up to but not in excess of the lesser of (a) $75,000,000 and (b) the Swing Lender’s Revolving Credit Commitment; provided that after giving effect to such Loan, the Revolving Facility Usage shall not exceed the Revolving Credit Commitments. Within such limits of time and amount and subject to the other provisions of this Agreement, the Borrowers may borrow, repay and reborrow pursuant to this Section 2.1.2. 2.2 Nature of Lenders’ Obligations with Respect to Revolving Credit Loans. Each Lender shall be obligated to participate in each request for Revolving Credit Loans pursuant to Section 2.4 in accordance with its Ratable Share. The aggregate of each Lender’s Revolving Credit Loans outstanding hereunder to the Borrowers at any time shall never exceed its Revolving Credit Commitment minus its Ratable Share of the outstanding Swing Loans and Letter of Credit Obligations. The obligations of each Lender hereunder are several. The failure of any Lender to perform its obligations hereunder shall not affect the Obligations of the Borrowers to any other party nor shall any other party be liable for the failure of such Lender to perform its obligations hereunder. The Lenders shall have no obligation to make Revolving Credit Loans hereunder on or after the Expiration Date. 2.3 Commitment Fees. Accruing from the date hereof until the Expiration Date, the Borrowers, jointly and severally agree to pay to the Administrative Agent for the account of each Lender according to its Ratable Share, a nonrefundable commitment fee (the “Commitment Fee”) equal to the Applicable Commitment Fee Rate (computed on the basis of a year of 365 or 366


 
- 23 - days, as the case may be, and actual days elapsed) multiplied by the average daily difference between the amount of (i) the Revolving Credit Commitments (for purposes of this computation, the Swing Lender’s Swing Loans shall be deemed to be borrowed amounts under its Revolving Credit Commitment) and (ii) the Revolving Facility Usage; provided, however, that any Commitment Fee accrued with respect to the Revolving Credit Commitment of a Defaulting Lender during the period prior to the time such Lender became a Defaulting Lender and unpaid at such time shall not be payable by the Borrowers so long as such Lender shall be a Defaulting Lender except to the extent that such Commitment Fee shall otherwise have been due and payable by the Borrowers prior to such time; and provided further that no Commitment Fee shall accrue with respect to the Revolving Commitment of a Defaulting Lender so long as such Lender shall be a Defaulting Lender. Subject to the proviso in the directly preceding sentence, all Commitment Fees shall be payable in arrears on the first Business Day of each calendar quarter after the date hereof and on the Expiration Date or upon acceleration of the Notes. 2.4 Revolving Credit Loan Requests; Swing Loan Requests. 2.4.1 Revolving Credit Loan Requests. Except as otherwise provided herein, each Borrower may from time to time prior to the Expiration Date request the Lenders to make Revolving Credit Loans, or renew or convert the Interest Rate Option applicable to existing Revolving Credit Loans pursuant to Section 3.2, by delivering to the Administrative Agent, not later than 10:00 a.m., (i) three (3) Business Days prior to the proposed Borrowing Date with respect to the making of Revolving Credit Loans to which the Term SOFR Rate Option applies or the conversion to or the renewal of the Term SOFR Rate Option for any Loans; and (ii) the same Business Day of the proposed Borrowing Date with respect to the making of a Revolving Credit Loan to which the Base Rate Option applies or the last day of the preceding Interest Period with respect to the conversion to the Base Rate Option for any Loan, and in each case, of a duly completed request therefor substantially in the form of Exhibit 2.4.1 or a request by telephone immediately confirmed in writing by letter, facsimile or email in such form (each, a “Loan Request”), it being understood that the Administrative Agent may rely on the authority of any individual making such a telephonic request without the necessity of receipt of such written confirmation. Each Loan Request shall be irrevocable and shall specify the Interest Rate Option and the aggregate amount of the proposed Loans comprising each Borrowing Tranche, and, if applicable, the Interest Period, which amounts shall be in (x) integral multiples of $100,000 and not less than $1,000,000 for each Borrowing Tranche under the Term SOFR Rate Option, and (y) integral multiples of $100,000 and not less than $1,000,000 for each Borrowing Tranche under the Base Rate Option. In the case of the renewal of a Term SOFR Rate Option at the end of an Interest Period, the first day of the new Interest Period shall be the last day of the preceding Interest Period, without duplication in payment of interest for such day. 2.4.2 Swing Loan Requests. Except as otherwise provided herein, each Borrower may from time to time prior to the Expiration Date request the Swing Lender to make Swing Loans by delivery to the Swing Lender not later than 12:00 noon on the proposed Borrowing Date of a duly completed request therefor substantially in the form of Exhibit 2.4.2 hereto or a request by telephone immediately confirmed in writing by letter, facsimile or email (each, a “Swing Loan Request”), it being understood that the Administrative Agent may rely on the authority of any individual making such a telephonic request without the necessity of receipt of such written confirmation. Each Swing Loan Request shall be irrevocable and shall specify the proposed Borrowing Date and the


 
- 24 - principal amount of such Swing Loan, which shall be not less than $100,000 or a higher integral multiple thereof. 2.5 Making Revolving Credit Loans and Swing Loans; Presumptions by the Administrative Agent; Repayment of Revolving Credit Loans; Borrowings to Repay Swing Loans. 2.5.1 Making Revolving Credit Loans. The Administrative Agent shall, promptly after receipt by it of a Loan Request pursuant to Section 2.4, notify the Lenders of its receipt of such Loan Request specifying the information provided by the applicable Borrower and the apportionment among the Lenders of the requested Revolving Credit Loans as determined by the Administrative Agent in accordance with Section 2.2. Each Lender shall remit the principal amount of each Revolving Credit Loan to the Administrative Agent in immediately available funds at the Principal Office prior to noon (12:00 p.m.) on the applicable Borrowing Date, such that the Administrative Agent is able to, and the Administrative Agent shall, to the extent the Lenders funds are timely received and subject to Section 6.2, fund such Revolving Credit Loans to the applicable Borrower in Dollars on the Borrowing Date; provided that if any Lender fails to remit such funds to the Administrative Agent in a timely manner, the Administrative Agent may elect in its sole discretion to fund with its own funds the Revolving Credit Loans of such Lender on such Borrowing Date, and such Lender shall be subject to the repayment obligation in Section 2.5.2. 2.5.2 Presumptions by the Administrative Agent. Unless the Administrative Agent shall have received notice from a Lender prior to the proposed date of any Loan that such Lender will not make available to the Administrative Agent such Lender’s share of such Loan, the Administrative Agent may assume that such Lender has made such share available on such date in accordance with Section 2.5.1 and may, in reliance upon such assumption, make available to the applicable Borrower a corresponding amount. In such event, if a Lender has not in fact made its share of the applicable Loan available to the Administrative Agent, then the applicable Lender and the applicable Borrower severally agree to pay to the Administrative Agent forthwith on demand such corresponding amount with interest thereon, for each day from and including the date such amount is made available to such Borrower to but excluding the date of payment to the Administrative Agent, at (i) in the case of a payment to be made by such Lender, the greater of the Federal Funds Rate and a rate determined by the Administrative Agent in accordance with banking industry rules on interbank compensation and (ii) in the case of a payment to be made by such Borrower, the interest rate applicable to Loans under the Base Rate Option. If such Lender pays its share of the applicable Loan to the Administrative Agent, then the amount so paid shall constitute such Lender’s Loan. Any payment by any Borrower shall be without prejudice to any claim such Borrower may have against a Lender that shall have failed to make such payment to the Administrative Agent. 2.5.3 Making Swing Loans. So long as the Swing Lender elects to make Swing Loans, the Swing Lender shall, after receipt by it of a Swing Loan Request pursuant to Section 2.4.2, fund such Swing Loan to the applicable Borrower in Dollars and immediately available funds at the Principal Office prior to 4:00 p.m. on the Borrowing Date. 2.5.4 Repayment of Revolving Credit Loans. The Borrowers, jointly and severally agree to repay the Revolving Credit Loans together with all outstanding interest thereon on the Expiration Date.


 
- 25 - 2.5.5 Borrowings to Repay Swing Loans. The Swing Lender may, at its option, exercisable at any time for any reason whatsoever, demand repayment of the Swing Loans, and each Lender shall make a Revolving Credit Loan in an amount equal to such Lender’s Ratable Share of the aggregate principal amount of the outstanding Swing Loans, plus, if the Swing Lender so requests, accrued interest thereon; provided that no Lender shall be obligated in any event to make Revolving Credit Loans in excess of its Revolving Credit Commitment minus its Ratable Share of Letter of Credit Obligations. Revolving Credit Loans made pursuant to the preceding sentence shall bear interest at the Base Rate Option and shall be deemed to have been properly requested in accordance with Section 2.4.1 without regard to any of the requirements of that provision. The Swing Lender shall provide notice to the Lenders (which may be telephonic or written notice by letter, facsimile or email) that such Revolving Credit Loans are to be made under this Section 2.5.5 and of the apportionment among the Lenders, and the Lenders shall be unconditionally obligated to fund such Revolving Credit Loans (whether or not the conditions specified in Section 2.4.1 are then satisfied) by the time the Swing Lender so requests, which shall not be earlier than 3:00 p.m. on the same Business Day the Lenders receive such notice from the Swing Lender (so long as such notice is received from Swing Lender by 12:00 p.m.); provided that if the conditions precedent to a borrowing of Revolving Credit Loans are not then satisfied or for any other reason the Lenders may not then make Revolving Credit Loans under the Base Rate Option to the applicable Borrower in whole or in part as contemplated by this Section, because of such Borrower’s failure to satisfy the conditions set forth in Section 6.2 other than any notice requirements, or for any other reason, then instead of making Revolving Credit Loans, each Lender (other than the Swing Lender) shall become immediately obligated to fund its participation in the outstanding Swing Loans and shall pay to the Swing Lender an amount equal to such Lender’s Ratable Share of all outstanding Swing Loans. If and to the extent any Lender shall not have made such amount available to the Administrative Agent on the same Business Day the Lenders receive notice from the Swing Lender of its obligation to fund its participation in Swing Loans, such Lender agrees to pay interest on such amount to the Swing Lender forthwith on demand, for each day from the date such amount was to have been delivered to the Swing Lender to the date such amount is paid, (i) at a rate per annum equal to the Federal Funds Rate during the first three (3) days following such demand and (ii) at a rate per annum equal to the rate applicable to Base Rate Loans on and after the fourth day following the date of such demand. Any Lender’s failure to make available to the Swing Lender its Ratable Share of the amount of all outstanding Swing Loans shall not relieve any other Lender of its obligation hereunder to make available to the Swing Lender such other Lender’s Ratable Share of such amount, but no Lender shall be responsible for the failure of any other Lender to make available to the Swing Lender such other Lender’s Ratable Share of any such amount. 2.5.6 Participation Obligations Unconditional. Each Lender’s obligation to make available to the Swing Lender the amount of its participation interest in Swing Loans as provided in Section 2.5.5 shall be absolute and unconditional and shall not be affected by any circumstance, including (i) any set-off, counterclaim, recoupment, defense or other right that such Lender may have against the Swing Lender or any other Person, (ii) the occurrence or continuance of an Event of Default or Potential Default, (iii) any adverse change in the condition (financial or otherwise) of any Borrower or any Subsidiary, (iv) any termination of the Commitments or (v) any other circumstance, happening or event whatsoever. 2.6 Notes. The obligation of the Borrowers to repay the aggregate unpaid principal amount of the Revolving Credit Loans and Swing Loans made to it by each Lender, together with interest


 
- 26 - thereon, shall be evidenced by a Note payable to the order of such Lender in a face amount equal to the Revolving Credit Commitment or Swing Loan Commitment, as applicable, of such Lender. 2.7 Use of Proceeds. The proceeds of the Loans shall be used to refinance certain existing Indebtedness and general corporate purposes. No Borrower will, directly or indirectly, use the proceeds of the Loans or Letters of Credit, or lend, contribute or otherwise make available such proceeds to any Person, (i) to fund any activities or business of or with any Person, or in any country or territory, that, at the time of such funding, is the subject of Sanctions, or (ii) in any other manner that would result in a violation of Sanctions by any Person (including any Person participating in the Loans or Letters of Credit). 2.8 Letter of Credit Subfacility. 2.8.1 Letters of Credit. Subject to and in accordance with the terms and conditions contained herein and in Annex A, Borrowers shall have the right to request, and Lenders agree to incur, or purchase participations in, Letter of Credit Obligations in respect of Borrowers and their Subsidiaries. 2.8.2 Letter of Credit Fees. Borrower agrees to pay to Administrative Agent: (a) For the account of each Lender according to its Ratable Share of the Revolving Credit Commitments, as compensation to such Lenders for their participation interest in the Letter of Credit Obligations incurred hereunder with respect to Letters of Credit (each a “Letter of Credit Fee”): (i) with respect to each standby Letter of Credit, for each applicable period during which such Letter of Credit Obligation shall remain outstanding, a fee in an amount equal to the Applicable Margin for Term SOFR Rate Loans from time to time in effect multiplied by the maximum amount available from time to time to be drawn under such Letter of Credit, which Fee shall be payable (as more specifically determined pursuant to the applicable Loan Documents with respect to such Letter of Credit and otherwise as determined by Agent in accordance with the Loan Documents and Agent’s loan systems and procedures periodically in effect): quarterly in arrears on the first Business Day of each calendar quarter; and (ii) with respect to each commercial Letter of Credit, a Fee in an amount equal to the Applicable Margin for Term SOFR Rate Loans in effect on such date of issuance on the stated amount of such Letter of Credit, which Fee shall be payable (as more specifically determined pursuant to the applicable Loan Documents with respect to such Letter of Credit and otherwise as determined by Agent in accordance with the Loan Documents and Agent’s loan systems and procedures periodically in effect) in advance on the date of issuance of such Letter of Credit. (b) For the account of Issuing Lender, on demand, such fees (including all current issuance, opening, closing, transfer, amendment, draw, renewal, negotiation and other letter of credit administration fees) and other charges and expenses of Issuing Lender in respect of the issuance, negotiation, acceptance, amendment, transfer and payment of such Letter of Credit or otherwise payable pursuant to the application and related documentation under which such Letter


 
- 27 - of Credit is issued. Borrower further agrees to pay to Agent and each Lender all costs and expenses incurred by Agent or any Lender on account of any Letter of Credit Obligations. All such fees are fully earned by the applicable Lenders when paid and non-refundable. The Letter of Credit Fees will be calculated on the basis of the actual number of days elapsed in a 360-day year. If any Letter of Credit is cancelled for any reason before the stated expiry date thereof, the Letter of Credit Fee or any other fee paid in advance will not be refunded and will be retained by the applicable Lenders solely for their account. 2.9 Reduction of Revolving Credit Commitment. The Company shall have the right at any time after the Closing Date upon five (5) days’ prior written notice to the Administrative Agent to permanently reduce (ratably among the Lenders in proportion to their Ratable Shares) the Revolving Credit Commitments, in a minimum amount of $5,000,000 and whole multiples of $1,000,000, or to terminate completely the Revolving Credit Commitments, without penalty or premium except as hereinafter set forth; provided that any such reduction or termination shall be accompanied by prepayment of the Notes, together with outstanding Commitment Fees, and the full amount of interest accrued on the principal sum to be prepaid (and all amounts referred to in Section 4.10) to the extent necessary to cause the aggregate Revolving Facility Usage after giving effect to such prepayments to be equal to or less than the Revolving Credit Commitments as so reduced or terminated. Any notice to reduce the Revolving Credit Commitments under this Section 2.9 shall be irrevocable. 2.10 Increase in Revolving Credit Commitments. 2.10.1 Increasing Lenders and New Lenders. The Company may, at any time, request that (a) the current Lenders increase their Revolving Credit Commitments (any current Lender which elects to increase its Revolving Credit Commitment shall be referred to as an “Increasing Lender”) or (b) one or more new lenders (each a “New Lender”) join this Agreement and provide a Revolving Credit Commitment hereunder, subject to the following terms and conditions: (i) No Obligation to Increase. No current Lender shall be obligated to increase its Revolving Credit Commitment and any increase in the Revolving Credit Commitment by any current Lender shall be in the sole discretion of such current Lender. (ii) Defaults. There shall exist no Events of Default or Potential Default on the effective date of such increase after giving effect to such increase. (iii) Aggregate Revolving Credit Commitments. Each such increase shall be in a minimum amount of $25,000,000 and higher integral multiples of $5,000,000; provided that the aggregate amount of all increases under this Section 2.10.1 shall not exceed $400,000,000 (with aggregate Revolving Credit Commitments hereunder not to exceed $800,000,000 at any time). (iv) Resolutions; Opinion. The Borrowers shall deliver to the Administrative Agent on or before the effective date of such increase the following documents in a form reasonably acceptable to the Administrative Agent: (1) certifications of their corporate secretaries with attached resolutions certifying that the increase in the Revolving Credit Commitment has been approved by such Borrowers, and (2) an opinion of counsel (which may be issued by duly qualified in-house counsel for the Borrowers) addressed to the Administrative Agent and the Lenders addressing the


 
- 28 - authorization and execution of the Loan Documents by, and enforceability of the Loan Documents against, the Borrowers. (v) Notes. The Borrowers shall execute and deliver (1) to each Increasing Lender a replacement revolving credit Note reflecting the new amount of such Increasing Lender’s Revolving Credit Commitment after giving effect to the increase (and the prior Note issued to such Increasing Lender shall be deemed to be terminated) and (2) to each New Lender a revolving credit Note reflecting the amount of such New Lender’s Revolving Credit Commitment. (vi) Approval of New Lenders. Any New Lender shall be subject to the approval of the Administrative Agent. (vii) Increasing Lenders. Each Increasing Lender shall confirm its agreement to increase its Revolving Credit Commitment pursuant to an acknowledgement in a form acceptable to the Administrative Agent, signed by it and the Borrowers and delivered to the Administrative Agent at least five (5) days before the effective date of such increase. (viii) New Lenders; Joinder. Each New Lender shall execute a lender joinder in substantially the form of Exhibit 2.10 pursuant to which such New Lender shall join and become a party to this Agreement and the other Loan Documents with a Revolving Credit Commitment in the amount set forth in such lender joinder. 2.10.2 Treatment of Outstanding Loans and Letters of Credit. (i) Repayment of Outstanding Loans; Borrowing of New Loans. On the effective date of such increase, the Borrowers shall repay all Loans then outstanding, subject to the Borrowers’ indemnity obligations under Section 4.9; provided that it may borrow new Loans with a Borrowing Date on such date. Each of the Lenders shall participate in any new Loans made on or after such date in accordance with their respective Ratable Shares after giving effect to the increase in Revolving Credit Commitments contemplated by this Section 2.10. (ii) Outstanding Letters of Credit. Repayment of Outstanding Loans; Borrowing of New Loans. On the effective date of such increase, each Increasing Lender and each New Lender (i) will be deemed to have purchased a participation in each then outstanding Letter of Credit equal to its Ratable Share of such Letter of Credit and the participation of each other Lender in such Letter of Credit shall be adjusted accordingly and (ii) will acquire, (and will pay to the Administrative Agent, for the account of each Lender, in immediately available funds, an amount equal to) its Ratable Share of all outstanding Letter of Credit Obligations. 2.11 Cash Collateral. At any time that there shall exist a Defaulting Lender, within one Business Day following the written request of the Administrative Agent or the Issuing Lender (with a copy to the Administrative Agent) the Borrowers shall Cash Collateralize the Issuing Lender’s Fronting Exposure with respect to such Defaulting Lender (determined after giving effect to Section 2.12.1(iv) and any Cash Collateral provided by such Defaulting Lender) in an amount not less than 105% of the Letter of Credit Obligations plus accrued and unpaid interest thereon. 2.11.1 Grant of Security Interest. Each Borrower, and to the extent provided by any Defaulting Lender, such Defaulting Lender, hereby grants to the Administrative Agent, for the benefit of the


 
- 29 - Issuing Lender, and agrees to maintain, a first priority security interest in all such Cash Collateral as security for the Defaulting Lenders’ obligation to fund participations in respect of Letter of Credit Obligations, to be applied pursuant to Section 2.11.2 below. If at any time the Administrative Agent determines that Cash Collateral is subject to any right or claim of any Person other than the Administrative Agent and the Issuing Lender as herein provided, or that the total amount of such Cash Collateral is less than 105% of the Letter of Credit Obligations plus accrued and unpaid interest thereon, the Borrowers will, promptly upon demand by the Administrative Agent, pay or provide to the Administrative Agent additional Cash Collateral in an amount sufficient to eliminate such deficiency (after giving effect to any Cash Collateral provided by the Defaulting Lender). 2.11.2 Application. Notwithstanding anything to the contrary contained in this Agreement, Cash Collateral provided under this Section 2.11 or Section 2.12 in respect of Letters of Credit shall be applied to the satisfaction of the Defaulting Lender’s obligation to fund participations in respect of Letter of Credit Obligations (including, as to Cash Collateral provided by a Defaulting Lender, any interest accrued on such obligation) for which the Cash Collateral was so provided, prior to any other application of such property as may otherwise be provided for herein. 2.11.3 Termination of Requirement. Cash Collateral (or the appropriate portion thereof) provided to reduce the Issuing Lender’s Fronting Exposure shall no longer be required to be held as Cash Collateral pursuant to this Section 2.11 following (i) the elimination of the applicable Fronting Exposure (including by the termination of Defaulting Lender status of the applicable Lender), or (ii) the determination by the Administrative Agent and the Issuing Lender that there exists excess Cash Collateral; provided that, subject to Section 2.12 the Person providing Cash Collateral and the Issuing Lender may agree that Cash Collateral shall be held to support future anticipated Fronting Exposure or other obligations. 2.12 Defaulting Lenders. 2.12.1 Defaulting Lender Adjustments. Notwithstanding anything to the contrary contained in this Agreement, if any Lender becomes a Defaulting Lender, then, until such time as such Lender is no longer a Defaulting Lender, to the extent permitted by applicable Law: (i) Waivers and Amendments. Such Defaulting Lender’s right to approve or disapprove any amendment, waiver or consent with respect to this Agreement shall be restricted as set forth in the definition of Required Lenders. (ii) Defaulting Lender Waterfall. Any payment of principal, interest, fees or other amounts received by the Administrative Agent for the account of such Defaulting Lender (whether voluntary or mandatory, at maturity, pursuant to Section 8 or otherwise) or received by the Administrative Agent from a Defaulting Lender pursuant to Section 8.2.3 shall be applied at such time or times as may be determined by the Administrative Agent as follows: first, to the payment of any amounts owing by such Defaulting Lender to the Administrative Agent hereunder; second, to the payment on a pro rata basis of any amounts owing by such Defaulting Lender to the Issuing Lender or the Swing Lender hereunder; third, to Cash Collateralize the Issuing Lender’s Fronting Exposure with respect to such Defaulting Lender in accordance with Section 2.11; fourth, as the Company may request (so long as no Potential Default or Event of Default exists), to the funding


 
- 30 - of any Loan in respect of which such Defaulting Lender has failed to fund its portion thereof as required by this Agreement, as determined by the Administrative Agent; fifth, if so determined by the Administrative Agent and the Company, to be held in a deposit account and released pro rata in order to (x) satisfy such Defaulting Lender’s potential future funding obligations with respect to Loans under this Agreement and (y) Cash Collateralize the Issuing Lender’s future Fronting Exposure with respect to such Defaulting Lender with respect to future Letters of Credit issued under this Agreement, in accordance with Section 2.11; sixth, to the payment of any amounts owing to the Lenders, the Issuing Lender or the Swing Lender as a result of any judgment of a court of competent jurisdiction obtained by any Lender, the Issuing Lender or the Swing Lender against such Defaulting Lender as a result of such Defaulting Lender’s breach of its obligations under this Agreement; seventh, so long as no Potential Default or Event of Default exists, to the payment of any amounts owing to the Borrowers as a result of any judgment of a court of competent jurisdiction obtained by the Borrowers against such Defaulting Lender as a result of such Defaulting Lender’s breach of its obligations under this Agreement; and eighth, to such Defaulting Lender or as otherwise directed by a court of competent jurisdiction; provided that if (x) such payment is a payment of the principal amount of any Loans or unpaid Reimbursement Obligations and Letter of Credit Obligations in respect of which such Defaulting Lender has not fully funded its appropriate share, and (y) such Loans were made or the related Letters of Credit were issued at a time when the conditions set forth in Section 6 were satisfied or waived, such payment shall be applied solely to pay the Loans of, and unpaid Reimbursement Obligations and Letter of Credit Obligations owed to, all Non-Defaulting Lenders on a pro rata basis prior to being applied to the payment of any Loans of, or unpaid Reimbursement Obligations and Letter of Credit Obligations owed to, such Defaulting Lender until such time as all Loans and funded and unfunded participations in Letter of Credit Obligations and Swing Loans are held by the Lenders pro rata in accordance with the Commitments under the applicable Facility without giving effect to Section 2.12.1(iv). Any payments, prepayments or other amounts paid or payable to a Defaulting Lender that are applied (or held) to pay amounts owed by a Defaulting Lender or to post Cash Collateral pursuant to this Section 2.12.1(ii) shall be deemed paid to and redirected by such Defaulting Lender, and each Lender irrevocably consents hereto. (iii) Certain Fees. (A) No Defaulting Lender shall be entitled to receive any Commitment Fee for any period during which that Lender is a Defaulting Lender (and the Borrowers shall not be required to pay any such fee that otherwise would have been required to have been paid to that Defaulting Lender). (B) Each Defaulting Lender shall be entitled to receive Letter of Credit Fees for any period during which that Lender is a Defaulting Lender only to the extent allocable to its Ratable Share of the stated amount of Letters of Credit for which it has provided Cash Collateral pursuant to Section 2.11. (C) With respect to any Letter of Credit Fee not required to be paid to any Defaulting Lender pursuant to (B) above, the Borrowers shall (x) pay to each Non-Defaulting Lender that portion of any such fee otherwise payable to such Defaulting Lender with respect to such Defaulting Lender’s participation in Letter of Credit Obligations or Swing Loans that has been reallocated to such Non-Defaulting Lender pursuant to clause (iv) below, (y) pay to the Issuing Lender and the Swing Lender, as applicable, the amount of any such fee otherwise payable to such Defaulting Lender to the extent allocable to the Issuing Lender or the Swing Lender’s


 
- 31 - Fronting Exposure to such Defaulting Lender, and (z) not be required to pay the remaining amount of any such fee. (iv) Reallocation of Participations to Reduce Fronting Exposure. All or any part of such Defaulting Lender’s participation in Letter of Credit Obligations and Swing Loans shall be reallocated among the Non-Defaulting Lenders in accordance with their respective Ratable Shares (calculated without regard to such Defaulting Lender’s Commitment) but only to the extent that (x) the conditions set forth in Section 6 are satisfied at the time of such reallocation (and, unless the Borrowers shall have otherwise notified the Administrative Agent at such time, the Borrowers shall be deemed to have represented and warranted that such conditions are satisfied at such time), and (y) such reallocation does not cause the aggregate outstanding Revolving Credit Loans plus the Ratable share of the outstanding Swing Loans and Letter of Credit Obligations of any Non- Defaulting Lender to exceed such Non-Defaulting Lender’s Revolving Commitment. No reallocation hereunder shall constitute a waiver or release of any claim of any party hereunder against a Defaulting Lender arising from that Lender having become a Defaulting Lender, including any claim of a Non-Defaulting Lender as a result of such Non-Defaulting Lender’s increased exposure following such reallocation. (v) Cash Collateral, Repayment of Swing Loans. If the reallocation described in clause (iv) above cannot, or can only partially, be effected, the Borrowers shall, without prejudice to any right or remedy available to it hereunder or under law, (x) first, prepay Swing Loans in an amount equal to the Swing Lender’s Fronting Exposure and (y) second, Cash Collateralize the Issuing Lender’s Fronting Exposure in accordance with the procedures set forth in Section 2.11. 2.12.2 Defaulting Lender Cure. If the Borrowers, the Administrative Agent and the Swing Lender and the Issuing Lender agree in writing that a Lender is no longer a Defaulting Lender, the Administrative Agent will so notify the parties hereto, whereupon as of the effective date specified in such notice and subject to any conditions set forth therein (which may include arrangements with respect to any Cash Collateral), that Lender will, to the extent applicable, purchase at par that portion of outstanding Loans of the other Lenders or take such other actions as the Administrative Agent may determine to be necessary to cause the Loans and funded and unfunded participations in Letters of Credit and Swing Loans to be held pro rata by the Lenders in accordance with the Commitments (without giving effect to Section 2.12.1(iv), whereupon such Lender will cease to be a Defaulting Lender; provided that no adjustments will be made retroactively with respect to fees accrued or payments made by or on behalf of the Borrowers while that Lender was a Defaulting Lender; and provided, further, that except to the extent otherwise expressly agreed by the affected parties, no change hereunder from Defaulting Lender to Lender will constitute a waiver or release of any claim of any party hereunder arising from that Lender’s having been a Defaulting Lender. 2.12.3 New Swing Loans/Letters of Credit. So long as any Lender is a Defaulting Lender, (i) the Swing Lender shall not be required to fund any Swing Loans unless it is satisfied that it will have no Fronting Exposure after giving effect to such Swing Loan and (ii) the Issuing Lender shall not be required to issue, extend, renew or increase any Letter of Credit unless it is satisfied that it will have no Fronting Exposure after giving effect thereto. 2.13 Extension of Expiration Date .


 
- 32 - (i) Requests; Approval by All Lenders. The Borrowers may, by written notice to the Administrative Agent (who shall promptly notify the Lenders thereof) given no more than seventy- five (75) days nor less than forty-five (45) days prior to the first and second anniversary dates of the Closing Date, request a one-year extension of the Expiration Date (up to a maximum of two such one-year extensions). Each Lender shall thereafter notify the Administrative Agent within thirty (30) of its receipt of such extension request that either (A) such Lender declines to consent to extending the Expiration Date or (B) such Lender consents to extending the Expiration Date; provided that any Lender which fails to respond to such extension request within such time period shall be deemed to have declined to extend the Expiration Date. After receiving responses or deemed responses from all of the Lenders, the Administrative Agent shall notify the Borrowers and the Lenders of the results thereof. If all Lenders elect to extend, the Expiration Date shall be extended for a period of one year. If one or more Lenders decline to extend or do not respond to Borrowers’ request, the provisions of clause (ii) below shall apply. (ii) Approval by Required Lenders. In the event that one or more Lenders declines to consent to the extension of the Expiration Date pursuant to clause (i) above (each a “Lender to be Terminated”), but the Required Lenders agree to such extension, then the Lenders which have consented to such extension under clause (i) above may, with the prior written approval of the Borrowers and the Administrative Agent, arrange to have one or more other Lenders purchase all of the outstanding Loans, if any, of each Lender to be Terminated and succeed to and assume the Commitments and all other rights, interests and obligations of the Lender to be Terminated under this Agreement and the other Loan Documents. Any such purchase and assumption shall be (A) subject to and in accordance with Section 10.8, and (B) effective on the last day of the Interest Period if any Loans are outstanding under the Term SOFR Rate Option. In the event that the Loans and Commitments of any Lender to be Terminated are not fully assigned and assumed prior to the Expiration Date (prior to its extension) then such Expiration Date shall not be extended. 3. INTEREST RATES 3.1 Interest Rate Options. The Borrowers, jointly and severally agree to pay interest in respect of the outstanding unpaid principal amount of the Loans as selected by it from the Base Rate Option or Term SOFR Rate Option set forth below applicable to the Loans, it being understood that, subject to the provisions of this Agreement, the applicable Borrower may select different Interest Rate Options and different Interest Periods to apply simultaneously to the Loans comprising different Borrowing Tranches and may convert to or renew one or more Interest Rate Options with respect to all or any portion of the Loans comprising any Borrowing Tranche; provided that there shall not be at any one time outstanding more than eight (8) Borrowing Tranches in the aggregate among all of the Term SOFR Rate Loans and provided further that if an Event of Default or Potential Default exists and is continuing, no Borrower may request, convert to, or renew the Term SOFR Rate Option for any Loans and the Required Lenders may demand that all existing Borrowing Tranches bearing interest under the Term SOFR Rate Option shall be converted immediately to the Base Rate Option, subject to the obligation of the Borrowers to pay any indemnity under Section 4.9 in connection with such conversion, or at the end of the applicable Interest Period. If at any time the designated rate applicable to any Loan made by any Lender exceeds such Lender’s highest lawful rate, the rate of interest on such Lender’s Loan shall be limited to such Lender’s highest lawful rate. The applicable Base Rate or Term SOFR Rate shall


 
- 33 - be determined by the Administrative Agent, and such determination shall be commercially reasonable and conclusive absent manifest error. 3.1.1 Revolving Credit Interest Rate Options; Swing Line Interest Rate. Each Borrower shall have the right to select from the following Interest Rate Options applicable to the Revolving Credit Loans: (i) Revolving Credit Base Rate Option: A fluctuating rate per annum (computed on the basis of a year of 365 or 366 days, as the case may be, and actual days elapsed) equal to the Base Rate plus the Applicable Margin, such interest rate to change automatically from time to time effective as of the effective date of each change in the Base Rate; or (ii) Revolving Credit Term SOFR Rate Option: A rate per annum (computed on the basis of a year of 360 days and actual days elapsed) equal to the Term SOFR Rate as determined for each applicable Interest Period plus the Applicable Margin. Subject to Section 3.3, only the Base Rate Option applicable to Revolving Credit Loans shall apply to the Swing Loans. 3.1.2 Rate Quotations. A Borrower may call the Administrative Agent on or before the date on which a Loan Request is to be delivered to receive an indication of the rates then in effect, but it is acknowledged that such projection shall not be binding on the Administrative Agent or the Lenders nor affect the rate of interest which thereafter is actually in effect when the election is made. 3.2 Interest Periods; Conforming Changes Relating to the Term SOFR Rate 3.2.1 Interest Periods. At any time when a Borrower shall select, convert to or renew a Term SOFR Rate Option, such Borrower shall notify the Administrative Agent thereof at least three (3) Business Days prior to the effective date of such Term SOFR Rate Option by delivering a Loan Request. The notice shall specify an Interest Period during which such Interest Rate Option shall apply. Notwithstanding the preceding sentence, in the case of the renewal of a Term SOFR Rate Option at the end of an Interest Period, the first day of the new Interest Period shall be the last day of the preceding Interest Period, without duplication in payment of interest for such day. 3.2.2 Conforming Changes Relating to the Term SOFR Rate. With respect to the Term SOFR Rate, the Administrative Agent will have the right to make Conforming Changes from time to time and, notwithstanding anything to the contrary herein or in any other Loan Document, any amendments implementing such Conforming Changes will become effective without any further action or consent of any other party to this Agreement or any other Loan Document; provided that, all Conforming Changes shall be commercially reasonable and the Administrative Agent shall provide notice to the Borrower and the Lenders of each such amendment implementing such Conforming Changes reasonably promptly after such amendment becomes effective. 3.3 Interest After Default. To the extent permitted by Law, upon the occurrence of an Event of Default and until such time such Event of Default shall have been cured or waived, and at the


 
- 34 - discretion of the Administrative Agent or upon written demand by the Required Lenders to the Administrative Agent (or immediately without any such demand upon the occurrence of an Event of Default under Section 8.1.1): 3.3.1 Letter of Credit Fees, Interest Rate. The Letter of Credit Fees and the rate of interest for each Loan otherwise applicable pursuant to Section 2.8.2 or Section 3.1, respectively, shall be increased by 2.0% per annum; 3.3.2 Other Obligations. Each other Obligation hereunder if not paid when due shall bear interest at a rate per annum equal to the sum of the rate of interest applicable under the Base Rate Option plus an additional 2.0% per annum from the time such Obligation becomes due and payable and until it is paid in full; and 3.3.3 Acknowledgment. Each Borrower acknowledges that the increase in rates referred to in this Section 3.3 reflects, among other things, the fact that such Loans or other amounts have become a substantially greater risk given their default status and that the Lenders are entitled to additional compensation for such risk; and all such interest shall be payable by the Borrowers upon demand by Administrative Agent. 3.4 Rate Unascertainable; Increased Costs; Illegality; Benchmark Replacement Setting. 3.4.1 Unascertainable; Increased Costs . If at any time: (i) the Administrative Agent shall have determined (which determination shall be conclusive and binding absent manifest error) that Term SOFR Rate cannot be determined pursuant to the definition thereof; or (ii) the Required Lenders determine that for any reason in connection with any request for a Term SOFR Rate Loan or conversion thereto or continuation thereof that the Term SOFR Rate does not adequately and fairly reflect the cost to such Lenders of funding, establishing or maintaining such Loan during the applicable Interest Period, as applicable, and the Required Lenders have provided notice of such determination to the Administrative Agent then the Administrative Agent shall have the rights specified in Section 3.4.3. 3.4.2 Illegality. If at any time any Lender shall have determined, or any Official Body shall have asserted, that the making, maintenance or funding of any Term SOFR Rate Loan, or the determination or charging of interest rates based on the Term SOFR Rate, has been made impracticable or unlawful by compliance by such Lender in good faith with any Law or any interpretation or application thereof by any Official Body or with any request or directive of any such Official Body (whether or not having the force of Law), then the Administrative Agent shall have the rights specified in Section 3.4.3. 3.4.3 Administrative Agent’s and Lender’s Rights . In the case of any event specified in Section 3.4.1 above, the Administrative Agent shall promptly notify the Lenders and the Borrowers thereof, and in the case of an event specified in Section 3.4.2 above, such Lender shall promptly so notify the Administrative Agent and endorse a certificate to such notice as to the specific circumstances of such notice, and the Administrative Agent shall promptly send copies of


 
- 35 - such notice and certificate to the other Lenders and the Borrower. Upon such date as shall be specified in such notice (which shall not be earlier than the date such notice is given), the obligation of (i) the Lenders, in the case of such notice given by the Administrative Agent, or (ii) such Lender, in the case of such notice given by such Lender, to allow the Borrower to select, convert to, renew or continue a Term SOFR Rate Loan, as applicable, shall be suspended (to the extent of the affected Term SOFR Rate Loan or Interest Periods) until the Administrative Agent shall have later notified the Borrower, or such Lender shall have later notified the Administrative Agent, of the Administrative Agent’s or such Lender’s, as the case may be, determination that the circumstances giving rise to such previous determination no longer exist. Upon a determination by Administrative Agent under Section 3.4.1, (i) if the Borrower has previously notified the Administrative Agent of its selection of, conversion to or renewal of a Term SOFR Rate Option and the Term SOFR Rate Option has not yet gone into effect, such notification shall be deemed to provide for selection of, conversion to or renewal of a Base Rate Loan, (ii) any outstanding affected Term SOFR Rate Loans will be deemed to have been converted into Base Rate Loans at the end of the applicable Interest Period. If any Lender notifies the Administrative Agent of a determination under Section 3.4.2, the Borrower shall, subject to the Borrower’s indemnification Obligations under Section 4.9 (Indemnity), as to any Loan of the Lender to which a Term SOFR Rate Option applies, on the date specified in such notice either convert such Loan to a Base Rate Loan otherwise available with respect to such Loan or prepay such Loan in accordance with Section 4.6. Absent due notice from the Borrower of conversion or prepayment, such Loan shall automatically be converted to a Base Rate Loan upon such specified date. 3.4.4 Benchmark Replacement Setting. (a) Notwithstanding anything to the contrary herein or in any other Loan Document (and any agreement executed in connection with an Interest Rate Hedge shall be deemed not to be a “Loan Document” for purposes of this Section titled “Benchmark Replacement Setting”), if Administrative Agent determines (which determination shall be conclusive and binding on all parties hereto absent manifest error) that any unavailability circumstance described herein has occurred and is unlikely to be temporary or the administrator of the Term SOFR Rate Option or a Governmental Authority having or purporting to have jurisdiction over Administrative Agent has made a public statement identifying a specific date (the “Scheduled Unavailability Date”) after which the Term SOFR Rate Option will no longer be representative or made available or used for determining the interest rate of loans or otherwise cease or no longer be in compliance or aligned with the International Organization of Securities Commissions (IOSCO) Principles for Benchmarks, and there is no successor administrator satisfactory to Administrative Agent, then on a date and time determined by Administrative Agent, but no later than the Scheduled Unavailability Date, the Term SOFR Rate Option will be replaced hereunder and under any other Loan Document with Daily Simple SOFR (the “Successor Rate”). (b) Notwithstanding anything to the contrary herein, if Administrative Agent determines that the Successor Rate designated in Section 3.4.4(a) above is not available or administratively feasible, or if any of the circumstances described in the initial paragraph of this Section 3.4.4(a) with regard to the Term SOFR Rate Option has occurred with respect to a Successor Rate then in effect, Administrative Agent and Borrowers may amend this Agreement solely for the purpose of replacing the Term SOFR Rate Option or any then current Successor Rate in accordance with this Section 3.4.4 with another alternative benchmark rate and a spread


 
- 36 - adjustment (if applicable), giving due consideration to any evolving or then existing convention for similar U.S. dollar denominated syndicated credit facilities and any recommendations of a relevant Governmental Authority, and which spread adjustment (if applicable) or method for calculating such spread adjustment shall be published on an information service as selected by Administrative Agent from time to time in its reasonable discretion. (c) If the Successor Rate is based on Daily Simple SOFR, interest shall be due and payable on each Interest Payment Date for Base Rate Loans. (d) Any such alternative benchmark rate and spread adjustment (if applicable) shall constitute a Successor Rate hereunder. Any such amendment shall become effective on the date set forth in a written notice provided by Administrative Agent to Borrowers and Lenders (such date to be five or more Business Days after the date of such notice) unless the Required Lenders have provided written notice of their objection to such amendment on or before the fifth Business Day after Administrative Agent provides such notice. For the avoidance of doubt, from and after such date, (x) all Term SOFR Rate Loans shall bear interest at the Successor Rate plus the Applicable Margin; and (y) all references herein and in any other Loan Documents to “Term SOFR Rate Option” shall mean and refer to the Successor Rate. (e) Notwithstanding anything to the contrary herein, if the Successor Rate would be less than the Floor, the Successor Rate will be deemed to be the Floor for the purposes of this Agreement and the other Loan Documents. Further, if the interest rate to be replaced is rounded upwards to the next 1/8th of 1% under the terms of this Agreement or any Loan Document, the Successor Rate shall also be rounded up to the next 1/8th; provided that this provision governing rounding shall not apply if any Borrower has an Interest Rate Hedge in effect with respect to all or part of any Loans outstanding. (f) Administrative Agent does not warrant or accept any responsibility for, and shall not have any liability with respect to, the administration, submission, or any other matter related to the Term SOFR Rate Option or any Successor Rate, including the selection of such rate, any related spread adjustment (if any), or any Conforming Changes, or whether the composition or characteristics of any Successor Rate and spread adjustment or Conforming Changes will be similar to, or produce the same value or economic equivalence of, the initial Term SOFR Rate Option. (g) Notwithstanding anything to the contrary contained herein, if, after the Closing Date, Borrower enters into interest rate hedging arrangements (an “Interest Rate Hedge”) with respect to all or part of a Term SOFR Rate Loan and the floating interest rate under the Interest Rate Hedge is Daily Simple SOFR, Administrative Agent and Borrower may agree to replace the Term SOFR Rate Option hereunder with Daily Simple SOFR and a spread adjustment (if any) without consent of any other party hereto; provided further that, if subsequent thereto, Administrative Agent and Borrower amend such Interest Rate Hedge to include, or terminate such Interest Rate Hedge and enter into a new Interest Rate Hedge with a floating interest rate thereunder of the original Term SOFR Rate Option, then Administrative Agent and Borrower may further agree to replace Daily Simple SOFR hereunder with the original Term SOFR Rate Option (and a spread adjustment, if applicable) hereunder without consent of any other party hereto; and,


 
- 37 - in either such event, (A) such rate shall be a Successor Rate hereunder, and (B) Administrative Agent shall provide written notice thereof to the Lenders. 3.5 Selection of Interest Rate Options. If the applicable Borrower fails to select a new Interest Period to apply to any Borrowing Tranche of Loans under the Term SOFR Rate Option at the expiration of an existing Interest Period applicable to such Borrowing Tranche in accordance with the provisions of Section 3.2, such Borrower shall be deemed to have converted such Borrowing Tranche to the Base Rate Option commencing upon the last day of the existing Interest Period. If the Borrower provides any Loan Request related to a Loan at the Term SOFR Rate Option but fails to identify an Interest Period therefor, such Loan Request shall be deemed to request an Interest Period of one (1) month. Any Loan Request that fails to select an Interest Rate Option shall be deemed to be a request for the Base Rate Option. 4. PAYMENTS 4.1 Payments. All payments and prepayments to be made in respect of principal, interest, Commitment Fees, Letter of Credit Fees, Administrative Agent’s Fee or other fees or amounts due from any Borrower hereunder shall be payable prior to 11:00 a.m. on the date when due without presentment, demand, protest or notice of any kind, all of which are hereby expressly waived by the Borrowers, and without set-off, counterclaim or other deduction of any nature, and an action therefor shall immediately accrue. Such payments shall be made to the Administrative Agent at the Principal Office for the account of the Swing Lender with respect to the Swing Loans and for the ratable accounts of the Lenders with respect to the Revolving Credit Loans in Dollars and in immediately available funds, and the Administrative Agent shall promptly distribute such amounts to the Lenders in immediately available funds. The Administrative Agent’s and each Lender’s statement of account, ledger or other relevant record shall, in the absence of manifest error, be conclusive as the statement of the amount of principal of and interest on the Loans and other amounts owing under this Agreement and shall be deemed an “account stated.” 4.2 Pro Rata Treatment of Lenders. Each borrowing of Revolving Credit Loans shall be allocated to each Lender according to its Ratable Share, and each selection of, conversion to or renewal of any Interest Rate Option and each payment or prepayment by any Borrower with respect to principal, interest, Commitment Fees, Letter of Credit Fees, or other fees (except for the Administrative Agent’s Fee and the Issuing Lender’s fronting fee) or amounts due from any Borrower hereunder to the Lenders with respect to the Commitments and Loans, shall (except as otherwise may be provided with respect to a Defaulting Lender and except as provided in Section 3.4.3 in the case of an event specified in Section 3.4, 4.6.2 or 4.7) be payable ratably among the Lenders entitled to such payment in accordance with the amount of principal, interest, Commitment Fees, Letter of Credit Fees, and other fees or amounts then due or payable such Lenders as set forth in this Agreement. Notwithstanding any of the foregoing, each borrowing or payment or prepayment by any Borrower of principal, interest, fees or other amounts from such Borrower with respect to Swing Loans shall be made by or to the Swing Lender according to Section 2.5.5. 4.3 Sharing of Payments by Lenders. If any Lender shall, by exercising any right of setoff, counterclaim or banker’s lien, by receipt of voluntary payment, by realization upon security, or by any other non-pro rata source, obtain payment in respect of any principal of or interest on any of


 
- 38 - its Loans or other obligations hereunder resulting in such Lender’s receiving payment of a proportion of the aggregate amount of its Loans and accrued interest thereon or other such obligations greater than the pro-rata share of the amount such Lender is entitled thereto, then the Lender receiving such greater proportion shall (a) notify the Administrative Agent of such fact, and (b) purchase (for cash at face value) participations in the Loans and such other obligations of the other Lenders, or make such other adjustments as shall be equitable, so that the benefit of all such payments shall be shared by the Lenders ratably in accordance with the aggregate amount of principal of and accrued interest on their respective Loans and other amounts owing them, provided that: (i) if any such participations are purchased and all or any portion of the payment giving rise thereto is recovered, such participations shall be rescinded and the purchase price restored to the extent of such recovery, together with interest or other amounts, if any, required by Law (including court order) to be paid by the Lender or the holder making such purchase; and (ii) the provisions of this Section 4.3 shall not be construed to apply to (x) any payment made by the Borrowers pursuant to and in accordance with the express terms of the Loan Documents or (y) any payment obtained by a Lender as consideration for the assignment of or sale of a participation in any of its Loans or Letter of Credit Obligations to any assignee or participant, other than to a Borrower or any Subsidiary thereof (as to which the provisions of this Section 4.3 shall apply). Each Borrower consents to the foregoing and agrees, to the extent it may effectively do so under applicable Law, that any Lender acquiring a participation pursuant to the foregoing arrangements may exercise against each Borrower rights of setoff and counterclaim with respect to such participation as fully as if such Lender were a direct creditor of each Borrower in the amount of such participation. Any Lender that fails at any time to comply with the provisions of this Section 4.3 shall be deemed a Defaulting Lender until such time as it performs its obligations hereunder and is not otherwise a Defaulting Lender for any other reason. A Defaulting Lender shall be deemed to have assigned any and all payments due to it from the Borrowers, whether on account of or relating to outstanding Loans, Letters of Credit, interest, fees or otherwise, to the remaining non-defaulting Lenders for application to, and reduction of, their respective Ratable Share of all outstanding Loans and other unpaid Obligations of any of the Borrowers. The Defaulting Lender hereby authorizes the Administrative Agent to distribute such payments to the non-defaulting Lenders in proportion to their respective Ratable Share of all outstanding Loans and other unpaid Obligations of any of the Borrowers to which such Lenders are entitled. A Defaulting Lender shall be deemed to have satisfied the provisions of this Section 4.3 when and if, as a result of application of the assigned payments to all outstanding Loans and other unpaid Obligations of any of the Borrowers to the non-defaulting Lenders, the Lenders’ respective Ratable Share of all outstanding Loans and unpaid Obligations have returned to those in effect immediately prior to such violation of this Section 4.3. 4.4 Presumptions by Administrative Agent. Unless the Administrative Agent shall have received notice from the applicable Borrower prior to the date on which any payment is due to the Administrative Agent for the account of the Lenders or the Issuing Lender hereunder that such Borrower will not make such payment, the Administrative Agent may assume that such Borrower has made such payment on such date in accordance herewith and may, in reliance upon such


 
- 39 - assumption, distribute to the Lenders or the Issuing Lender, as the case may be, the amount due. In such event, if the applicable Borrower has not in fact made such payment, then each of the Lenders or the Issuing Lender, as the case may be, severally agrees to repay to the Administrative Agent forthwith on demand the amount so distributed to such Lender or the Issuing Lender, with interest thereon, for each day from and including the date such amount is distributed to it to but excluding the date of payment to the Administrative Agent, at the greater of the Federal Funds Rate and a rate determined by the Administrative Agent in accordance with banking industry rules on interbank compensation; provided that if the Lenders or the Issuing Lender do not repay such amount within two (2) Business Days, the Borrowers agree to pay interest on such amount in accordance with the terms of this Agreement. 4.5 Interest Payment Dates. Interest on Loans to which the Base Rate Option applies shall be due and payable in arrears on each Interest Payment Date. Interest on Loans to which the Term SOFR Rate Option applies shall be due and payable on the last day of each Interest Period for those Loans. Interest on the principal amount of each Loan or other monetary Obligation shall be due and payable on demand after such principal amount or other monetary Obligation becomes due and payable (whether on the stated Expiration Date, upon acceleration or otherwise). 4.6 Voluntary Prepayments. 4.6.1 Right to Prepay. Each Borrower shall have the right at its option from time to time to prepay the Loans in whole or part without premium or penalty (except as provided in Section 4.6.2 below, in Section 4.7 and Section 4.9). Whenever a Borrower desires to prepay any part of the Loans, it shall provide a prepayment notice to the Administrative Agent by 1:00 p.m. at least one (1) Business Day prior to the date of prepayment of the Revolving Credit Loans (and at least three (3) Business Days prior to the date of prepayment of any Term SOFR Rate Option) or no later than 1:00 p.m. on the date of prepayment of Swing Loans, setting forth the following information: (w) the date, which shall be a Business Day, on which the proposed prepayment is to be made; (x) a statement indicating the application of the prepayment between the Revolving Credit Loans and Swing Loans; (y) a statement indicating the application of the prepayment between Loans to which the Base Rate Option applies and Loans to which the Term SOFR Rate Option applies; and (z) the total principal amount of such prepayment, which shall not be less than the lesser of (i) the Revolving Facility Usage or (ii) $100,000 for any Swing Loan or $1,000,000 for any Revolving Credit Loan. All prepayment notices shall be irrevocable. The principal amount of the Loans for which a prepayment notice is given, together with interest on such principal amount except with respect to Loans to which the Base Rate Option applies, shall be due and payable on the date specified in such prepayment notice as the date on which the proposed prepayment is to be made. Except as provided in Section 3.4.3, if a Borrower prepays a Loan but fails to specify the applicable Borrowing Tranche which such Borrower is prepaying, the prepayment shall be applied first to Loans to which the Base Rate Option applies, then to Loans to which the Term


 
- 40 - SOFR Rate Option applies. Any prepayment hereunder shall be subject to the Borrowers’ obligation to indemnify the Lenders under Section 4.9. 4.6.2 Replacement of a Lender. In the event any Lender (i) is a Defaulting Lender or (ii) becomes subject to the control of an Official Body (other than normal and customary supervision), then in any such event the Borrowers may, at their sole expense, upon notice to such Lender and the Administrative Agent, require such Lender to assign and delegate, without recourse (in accordance with and subject to the restrictions contained in, and consents required by, Section 10.8), all of its interests, rights and obligations under this Agreement and the related Loan Documents to an assignee that shall assume such obligations (which assignee may be another Lender, if a Lender accepts such assignment), provided that: (i) the Borrowers shall have paid to the Administrative Agent the assignment fee specified in Section 10.8; (ii) such Lender shall have received payment of an amount equal to the outstanding principal of its Loans and Letter of Credit Obligations, accrued interest thereon, accrued fees and all other amounts payable to it hereunder and under the other Loan Documents (including any amounts under Section 4.9) from the assignee (to the extent of such outstanding principal and accrued interest and fees) or the Borrowers (in the case of all other amounts); (iii) in the case of any such assignment resulting from a claim for compensation under Section 4.7.1 or payments required to be made pursuant to Section 4.8, such assignment will result in a reduction in such compensation or payments thereafter; and (iv) such assignment does not conflict with applicable Law. A Lender shall not be required to make any such assignment or delegation if, prior thereto, as a result of a waiver by such Lender or otherwise, the circumstances entitling the Borrowers to require such assignment and delegation cease to apply. 4.7 Increased Costs. 4.7.1 Increased Costs Generally. If any Change in Law shall: (i) impose, modify or deem applicable any reserve, special deposit, compulsory loan, insurance charge or similar requirement against assets of, deposits with or for the account of, or credit extended or participated in by, any Lender or the Issuing Lender; (ii) subject any Recipient to any Taxes (other than (A) Indemnified Taxes, (B) Taxes described in clauses (b) through (d) of the definition of Excluded Taxes and (C) Connection Income Taxes) on its loans, loan principal, letters of credit, commitments, or other obligations, or its deposits, reserves, other liabilities or capital attributable thereto; or (iii) impose on any Lender, the Issuing Lender or the relevant market any other condition, cost or expense (other than Taxes) affecting this Agreement or Loans made by such Lender or any Letter of Credit or participation therein;


 
- 41 - and the result of any of the foregoing shall be to increase the cost to such Lender of making or maintaining any Loan (or of maintaining its obligation to make any such Loan), or to increase the cost to such Lender or the Issuing Lender of participating in, issuing or maintaining any Letter of Credit (or of maintaining its obligation to participate in or to issue any Letter of Credit), or to reduce the amount of any sum received or receivable by such Lender or the Issuing Lender hereunder (whether of principal, interest or any other amount) then, upon request of such Lender or the Issuing Lender, the Borrowers, jointly and severally, agree to pay to such Lender or the Issuing Lender, as the case may be, such additional amount or amounts as will compensate such Lender or the Issuing Lender, as the case may be, for such additional costs incurred or reduction suffered; provided that upon the occurrence of any Change in Law imposing a reserve percentage on any interest rate based on SOFR, the Administrative Agent, in its reasonable discretion may modify the calculation of each such SOFR based interest rate to add (or otherwise account for such reserve percentage). 4.7.2 Capital Requirements. If any Lender or the Issuing Lender determines that any Change in Law affecting such Lender or the Issuing Lender or any lending office of such Lender or such Lender’s or the Issuing Lender’s holding company, if any, regarding capital or liquidity requirements has or would have the effect of reducing the rate of return on such Lender’s or the Issuing Lender’s capital or on the capital of such Lender’s or the Issuing Lender’s holding company, if any, as a consequence of this Agreement, the Commitments of such Lender or the Loans made by, or participations in Letters of Credit held by, such Lender, or the Letters of Credit issued by the Issuing Lender, to a level below that which such Lender or the Issuing Lender or such Lender’s or the Issuing Lender’s holding company could have achieved but for such Change in Law (taking into consideration such Lender’s or the Issuing Lender’s policies and the policies of such Lender’s or the Issuing Lender’s holding company with respect to capital adequacy or liquidity requirement), then from time to time the Borrowers will pay to such Lender or the Issuing Lender, as the case may be, such additional amount or amounts as will compensate such Lender or the Issuing Lender or such Lender’s or the Issuing Lender’s holding company for any such reduction suffered. 4.7.3 Certificates for Reimbursement; Repayment of Outstanding Loans; Borrowing of New Loans. A certificate of a Lender or the Issuing Lender setting forth the amount or amounts necessary to compensate such Lender or the Issuing Lender or its holding company, as the case may be, as specified in Sections 4.7.1 or 4.7.2 and delivered to the Borrowers shall be conclusive absent manifest error. The Borrowers shall pay such Lender or the Issuing Lender, as the case may be, the amount shown as due on any such certificate within ten (10) days after receipt thereof. 4.7.4 Delay in Requests. Failure or delay on the part of any Lender or the Issuing Lender to demand compensation pursuant to this Section shall not constitute a waiver of such Lender’s or the Issuing Lender’s right to demand such compensation, provided that the Borrowers shall not be required to compensate a Lender or the Issuing Lender pursuant to this Section for any increased costs incurred or reductions suffered more than nine months prior to the date that such Lender or the Issuing Lender, as the case may be, notifies the Borrowers of the Change in Law giving rise to such increased costs or reductions and of such Lender’s or the Issuing Lender’s intention to claim compensation therefor (except that, if the Change in Law giving rise to such increased costs or reductions is retroactive, then the nine (9) month period referred to above shall be extended to include the period of retroactive effect thereof).


 
- 42 - 4.8 Taxes. 4.8.1 Payments Free of Taxes. Any and all payments by or on account of any obligation of any Borrower under any Loan Document shall be made without deduction or withholding for any Taxes, except as required by applicable Law. If any applicable Law (as determined in the good faith discretion of an applicable Withholding Agent) requires the deduction or withholding of any Tax from any such payment by a Withholding Agent, then the applicable Withholding Agent shall be entitled to make such deduction or withholding and shall timely pay the full amount deducted or withheld to the relevant Official Body in accordance with applicable Law and, if such Tax is an Indemnified Tax, then the sum payable by the applicable Borrower shall be increased as necessary so that after such deduction or withholding has been made (including such deductions and withholdings applicable to additional sums payable under this Section) the applicable Recipient receives an amount equal to the sum it would have received had no such deduction or withholding been made. 4.8.2 Payment of Other Taxes by the Borrowers. The Borrowers shall timely pay to the relevant Official Body in accordance with applicable Law, or at the option of the Administrative Agent timely reimburse it for the payment of, any Other Taxes. 4.8.3 Indemnification by the Borrowers. Each Borrower shall jointly and severally indemnify each Recipient, within 10 days after demand therefor, for the full amount of any Indemnified Taxes (including Indemnified Taxes imposed or asserted on or attributable to amounts payable under this Section) payable or paid by such Recipient or required to be withheld or deducted from a payment to such Recipient and any reasonable expenses arising therefrom or with respect thereto, whether or not such Indemnified Taxes were correctly or legally imposed or asserted by the relevant Official Body. A certificate as to the amount of such payment or liability delivered to the Borrower by a Lender (with a copy to the Administrative Agent), or by the Administrative Agent on its own behalf or on behalf of a Lender, shall be conclusive absent manifest error. 4.8.4 Indemnification by the Lenders. Each Lender shall severally indemnify the Administrative Agent, within 10 days after demand therefor, for (i) any Indemnified Taxes attributable to such Lender (but only to the extent that any Borrower has not already indemnified the Administrative Agent for such Indemnified Taxes and without limiting the obligation of the Borrowers to do so), (ii) any Taxes attributable to such Lender’s failure to comply with the provisions of Section 10.8.4 relating to the maintenance of a Participant Register and (iii) any Excluded Taxes attributable to such Lender, in each case, that are payable or paid by the Administrative Agent in connection with any Loan Document, and any reasonable expenses arising therefrom or with respect thereto, whether or not such Taxes were correctly or legally imposed or asserted by the relevant Official Body. A certificate as to the amount of such payment or liability delivered to any Lender by the Administrative Agent shall be conclusive absent manifest error. Each Lender hereby authorizes the Administrative Agent to set off and apply any and all amounts at any time owing to such Lender under any Loan Document or otherwise payable by the Administrative Agent to the Lender from any other source against any amount due to the Administrative Agent under this Section 4.8.4. 4.8.5 Evidence of Payments. As soon as practicable after any payment of Taxes by any Borrower to an Official Body pursuant to this Section 4.8, such Borrower shall deliver to the Administrative Agent the original or a certified copy of a receipt issued by such Official Body evidencing such


 
- 43 - payment, a copy of the return reporting such payment or other evidence of such payment reasonably satisfactory to the Administrative Agent. 4.8.6 Status of Lenders. (i) Any Lender that is entitled to an exemption from or reduction of withholding Tax with respect to payments made under any Loan Document shall deliver to the Borrower and the Administrative Agent, at the time or times reasonably requested by the Borrower or the Administrative Agent, such properly completed and executed documentation reasonably requested by the Borrower or the Administrative Agent as will permit such payments to be made without withholding or at a reduced rate of withholding. In addition, any Lender, if reasonably requested by the Borrower or the Administrative Agent, shall deliver such other documentation prescribed by applicable Law or reasonably requested by the Borrower or the Administrative Agent as will enable the Borrower or the Administrative Agent to determine whether or not such Lender is subject to backup withholding or information reporting requirements. Notwithstanding anything to the contrary in the preceding two sentences, the completion, execution and submission of such documentation (other than such documentation set forth in Section 4.8.6(ii)(A), (ii)(B) and (ii)(D) below) shall not be required if in the Lender’s reasonable judgment such completion, execution or submission would subject such Lender to any material unreimbursed cost or expense or would materially prejudice the legal or commercial position of such Lender. (ii) Without limiting the generality of the foregoing, in the event that the Borrower is a U.S. Person, (A) any Lender that is a U.S. Person shall deliver to the Borrower and the Administrative Agent on or prior to the date on which such Lender becomes a Lender under this Agreement (and from time to time thereafter upon the reasonable request of the Borrower or the Administrative Agent), executed originals of IRS Form W-9 certifying that such Lender is exempt from U.S. federal backup withholding tax; (B) any Foreign Lender shall, to the extent it is legally entitled to do so, deliver to the Borrower and the Administrative Agent (in such number of copies as shall be requested by the recipient) on or prior to the date on which such Foreign Lender becomes a Lender under this Agreement (and from time to time thereafter upon the reasonable request of the Borrower or the Administrative Agent), whichever of the following is applicable: (i) in the case of a Foreign Lender claiming the benefits of an income tax treaty to which the United States is a party (x) with respect to payments of interest under any Loan Document, executed originals of IRS Form W-8BEN establishing an exemption from, or reduction of, U.S. federal withholding Tax pursuant to the “interest” article of such tax treaty and (y) with respect to any other applicable payments under any Loan Document, IRS Form W-8BEN establishing an exemption from, or reduction of, U.S. federal withholding Tax pursuant to the “business profits” or “other income” article of such tax treaty; (ii) executed originals of IRS Form W-8ECI; (iii) in the case of a Foreign Lender claiming the benefits of the exemption for portfolio interest under Section 881(c) of the Code, (x) a certificate substantially


 
- 44 - in the form of Exhibit 4.8-1 to the effect that such Foreign Lender is not a “bank” within the meaning of Section 881(c)(3)(A) of the Code, a “10 percent shareholder” of the Borrower within the meaning of Section 881(c)(3)(B) of the Code, or a “controlled foreign corporation” described in Section 881(c)(3)(C) of the Code (a “U.S. Tax Compliance Certificate”) and (y) executed originals of IRS Form W- 8BEN; or (iv) to the extent a Foreign Lender is not the beneficial owner, executed originals of IRS Form W-8IMY, accompanied by IRS Form W-8ECI, IRS Form W-8BEN, a U.S. Tax Compliance Certificate substantially in the form of Exhibit 4.8-2 or Exhibit 4.8-3, IRS Form W-9, and/or other certification documents from each beneficial owner, as applicable; provided that if the Foreign Lender is a partnership and one or more direct or indirect partners of such Foreign Lender are claiming the portfolio interest exemption, such Foreign Lender may provide a U.S. Tax Compliance Certificate substantially in the form of Exhibit 4.8-4 on behalf of each such direct and indirect partner; (C) any Foreign Lender shall, to the extent it is legally entitled to do so, deliver to the Borrower and the Administrative Agent (in such number of copies as shall be requested by the recipient) on or prior to the date on which such Foreign Lender becomes a Lender under this Agreement (and from time to time thereafter upon the reasonable request of the Borrower or the Administrative Agent), executed originals of any other form prescribed by applicable Law as a basis for claiming exemption from or a reduction in U.S. federal withholding Tax, duly completed, together with such supplementary documentation as may be prescribed by applicable Law to permit the Borrower or the Administrative Agent to determine the withholding or deduction required to be made; and (D) if a payment made to a Lender under any Loan Document would be subject to U.S. federal withholding Tax imposed by FATCA if such Lender were to fail to comply with the applicable reporting requirements of FATCA (including those contained in Section 1471(b) or 1472(b) of the Code, as applicable), such Lender shall deliver to the Borrower and the Administrative Agent at the time or times prescribed by law and at such time or times reasonably requested by the Borrower or the Administrative Agent such documentation prescribed by applicable Law (including as prescribed by Section 1471(b)(3)(C)(i) of the Code) and such additional documentation reasonably requested by the Borrower or the Administrative Agent as may be necessary for the Borrower and the Administrative Agent to comply with their obligations under FATCA and to determine that such Lender has complied with such Lender’s obligations under FATCA or to determine the amount to deduct and withhold from such payment. Solely for purposes of this clause (D), “FATCA” shall include any amendments made to FATCA after the date of this Agreement. Each Lender agrees that if any form or certification it previously delivered expires or becomes obsolete or inaccurate in any respect, it shall update such form or certification or promptly notify the Borrower and the Administrative Agent in writing of its legal inability to do so.


 
- 45 - 4.8.7 Treatment of Certain Refunds. If any party determines, in its sole discretion exercised in good faith, that it has received a refund of any Taxes as to which it has been indemnified pursuant to this Section 4.8 (including by the payment of additional amounts pursuant to this Section 4.8), it shall pay to the indemnifying party an amount equal to such refund (but only to the extent of indemnity payments made under this Section with respect to the Taxes giving rise to such refund), net of all out-of-pocket expenses (including Taxes) of such indemnified party and without interest (other than any interest paid by the relevant Official Body with respect to such refund). Such indemnifying party, upon the request of such indemnified party, shall repay to such indemnified party the amount paid over pursuant to this paragraph (h) (plus any penalties, interest or other charges imposed by the relevant Official Body) in the event that such indemnified party is required to repay such refund to such Official Body. Notwithstanding anything to the contrary in this paragraph (h), in no event will the indemnified party be required to pay any amount to an indemnifying party pursuant to this paragraph (h) the payment of which would place the indemnified party in a less favorable net after-Tax position than the indemnified party would have been in if the indemnification payments or additional amounts giving rise to such refund had never been paid. This paragraph shall not be construed to require any indemnified party to make available its Tax returns (or any other information relating to its Taxes that it deems confidential) to the indemnifying party or any other Person. 4.8.8 Survival. Each party’s obligations under this Section 4.8 shall survive the resignation or replacement of the Administrative Agent or any assignment of rights by, or the replacement of, a Lender, the termination of the Commitments and the repayment, satisfaction or discharge of all obligations under any Loan Document. 4.8.9 Issuing Lender. For purposes of this Section 4.8, the term “Lender” includes the Issuing Lender and the term “applicable Law” includes FATCA. 4.9 Indemnity. In addition to the compensation or payments required by Section 4.7 or Section 4.8, each Borrower shall, jointly and severally, indemnify each Lender against all liabilities, losses or expenses (including loss of anticipated profits, any foreign exchange losses and any loss or expense arising from the liquidation or reemployment of funds obtained by it to maintain such Loan, from fees payable to terminate the deposits from which such funds were obtained or from the performance of any foreign exchange contract) which such Lender sustains or incurs as a consequence of any: (i) payment, prepayment, conversion or renewal of any Loan to which a Term SOFR Rate Option applies on a day other than the last day of the corresponding Interest Period (whether or not such payment or prepayment is mandatory, voluntary or automatic and whether or not such payment or prepayment is then due), (ii) attempt by the applicable Borrower to revoke (expressly, by later inconsistent notices or otherwise) in whole or part any Loan Requests under Section 2.4 or Section 3.2 or notice relating to prepayments under Section 4.6, (iii) default by any Borrower in the performance or observance of any covenant or condition contained in this Agreement or any other Loan Document, including any failure of the Borrowers


 
- 46 - to pay when due (by acceleration or otherwise) any principal, interest, Commitment Fee or any other amount due hereunder; or (iv) any assignment of a Loan under the Term SOFR Rate Option on a day other than the last day of the Interest Period therefor as a result of a request by the Borrower pursuant to Section 4.6.2. If any Lender sustains or incurs any such loss or expense, it shall from time to time notify the Borrowers of the amount determined in good faith by such Lender (which determination may include such assumptions, allocations of costs and expenses and averaging or attribution methods as such Lender shall deem reasonable) to be necessary to indemnify such Lender for such loss or expense. Such notice shall set forth in reasonable detail the basis for such determination. Such amount shall be due and payable by the Borrowers to such Lender ten (10) Business Days after such notice is given. 4.10 Settlement Date Procedures. In order to minimize the transfer of funds between the Lenders and the Administrative Agent, each Borrower may borrow, repay and reborrow Swing Loans and the Swing Lender may make Swing Loans as provided in Section 2.1.2 during the period between Settlement Dates. The Administrative Agent shall notify each Lender of its Ratable Share of the total of the Revolving Credit Loans and the Swing Loans (each a “Required Share”). On such Settlement Date, each Lender shall pay to the Administrative Agent the amount equal to the difference between its Required Share and its Revolving Credit Loans, and the Administrative Agent shall pay to each Lender its Ratable Share of all payments made by each Borrower to the Administrative Agent with respect to the Revolving Credit Loans. The Administrative Agent shall also effect settlement in accordance with the foregoing sentence on the proposed Borrowing Dates for Revolving Credit Loans and may at its option effect settlement on any other Business Day. These settlement procedures are established solely as a matter of administrative convenience, and nothing contained in this Section 4.10 shall relieve the Lenders of their obligations to fund Revolving Credit Loans on dates other than a Settlement Date pursuant to Section 2.1.2. The Administrative Agent may at any time at its option for any reason whatsoever require each Lender to pay immediately to the Administrative Agent such Lender’s Ratable Share of the outstanding Revolving Credit Loans and each Lender may at any time require the Administrative Agent to pay immediately to such Lender its Ratable Share of all payments made by each Borrower to the Administrative Agent with respect to the Revolving Credit Loans. 5. REPRESENTATIONS AND WARRANTIES 5.1 Representations and Warranties. The Borrowers, jointly and severally, represent and warrant to the Administrative Agent and each of the Lenders as follows: 5.1.1 Organization and Qualification; Power and Authority; Compliance With Laws; Title to Properties; Event of Default. Each Borrower and each Subsidiary of each Borrower (i) is a corporation, limited partnership or limited liability company, duly organized, validly existing and in good standing under the laws of its jurisdiction of organization, (ii) has the lawful power to own or lease its properties and to engage in the business it presently conducts or proposes to conduct, (iii) is duly licensed or qualified and in good standing in (x) its jurisdiction of organization and (y) except where the failure to be so qualified would not reasonably be expected to result in Material


 
- 47 - Adverse Change, each jurisdiction where the property owned or leased by it or the nature of the business transacted by it or both makes such licensing or qualification necessary, (iv) has full power to enter into, execute, deliver and carry out this Agreement and the other Loan Documents to which it is a party, to incur the Indebtedness contemplated by the Loan Documents and to perform its Obligations under the Loan Documents to which it is a party, and all such actions have been duly authorized by all necessary proceedings on its part, (v) is in compliance in all material respects with all applicable Laws (other than Environmental Laws which are specifically addressed in Section 5.1.13) in all jurisdictions in which any Borrower or Subsidiary of any Borrower is presently or will be doing business except where the failure to do so would not reasonably be expected to result in Material Adverse Change, and (vi) has good and marketable title to or valid leasehold interest in all properties, assets and other rights which it purports to own or lease or which are reflected as owned or leased on its books and records, free and clear of all Liens and encumbrances except Permitted Liens. No Event of Default or Potential Default exists or is continuing. 5.1.2 Subsidiaries and Owners; Investment Companies. As of the Closing Date, Schedule 5.1.2 states the name of each of the Borrowers’ Subsidiaries (other than Insignificant Subsidiaries), its jurisdiction of organization and the amount, percentage and type of equity interests in such Subsidiary (the “Subsidiary Equity Interests”). Each Borrower and each of their respective Subsidiaries has good and marketable title to all of the Subsidiary Equity Interests it purports to own, free and clear in each case of any Lien and all such Subsidiary Equity Interests have been validly issued, fully paid and nonassessable. No Borrower nor any of their respective Subsidiaries is an “investment company” registered or required to be registered under the Investment Company Act of 1940 or under the “control” of an “investment company” as such terms are defined in the Investment Company Act of 1940 and shall not become such an “investment company” or under such “control.” 5.1.3 Validity and Binding Effect. This Agreement and each of the other Loan Documents (i) has been duly and validly executed and delivered by each Borrower, and (ii) constitutes, or will constitute, legal, valid and binding obligations of each Borrower, enforceable against such Borrower in accordance with its terms, except as the enforceability thereof may be limited by applicable bankruptcy, insolvency, reorganization, moratorium, or other laws and principles of equity affecting the enforcement of creditor’s rights. 5.1.4 No Conflict; Material Agreements; Consents. Neither the execution and delivery of this Agreement or the other Loan Documents by any Borrower nor the consummation of the transactions herein or therein contemplated or compliance with the terms and provisions hereof or thereof by any of them will conflict with, constitute a default under or result in any breach of (i) the terms and conditions of the articles of incorporation, regulations or other organizational documents of any Borrower or (ii) any Law or any material agreement or instrument or order, writ, judgment, injunction or decree to which any Borrower or any of its Subsidiaries is a party or by which it or any of its Subsidiaries is bound or to which it is subject, or result in the creation or enforcement of any Lien, charge or encumbrance whatsoever upon any property (now or hereafter acquired) of any Borrower or any of its Subsidiaries. There is no default under such material agreement (referred to above) and no Borrower nor any of their respective Subsidiaries is bound by any contractual obligation, or subject to any restriction in any organization document, or subject to any requirement of Law that would reasonably be likely to result in a Material Adverse Change. No


 
- 48 - consent, approval, exemption, order or authorization of, or a registration or filing with, any Official Body or any other Person is required by any Law or any agreement in connection with the execution, delivery and carrying out of this Agreement and the other Loan Documents, other than the filing of a Form 8-K upon entering into the Agreement and the Loan Documents. 5.1.5 Litigation. Except as routinely encountered in claims activity, there are no actions, suits, proceedings or investigations pending or, to the Knowledge of any Borrower, threatened against such Borrower or any Subsidiary of such Borrower at law or in equity before any Official Body as to which there is a reasonable possibility of an adverse determination and that, if adversely determined, could reasonably be expected, individually or in the aggregate, to result in a Material Adverse Change. No Borrower nor any of their respective Subsidiaries is in violation of any order, writ, injunction or any decree of any Official Body which could reasonably be expected to result in a Material Adverse Change. 5.1.6 Financial Statements. (i) Historical Statements. The Company has delivered to the Administrative Agent copies of its audited consolidated year-end financial statements for and as of the end of the fiscal year ended December 31, 2024. In addition, the Company has delivered to the Administrative Agent copies of its unaudited consolidated interim financial statements for the fiscal year to date and as of the end of the fiscal quarter ended June 30, 2025 (all such annual and interim statements being collectively referred to as the “Statements”). The Statements were compiled from the books and records maintained by the Borrower’s management, are correct and complete and fairly represent the consolidated financial condition of the Company and its Subsidiaries in all material respects as of the respective dates thereof and the results of operations for the fiscal periods then ended and have been prepared in accordance with GAAP consistently applied, subject (in the case of the interim statements) to normal year-end audit adjustments. (ii) Accuracy of Financial Statements. No Borrower nor any of their respective Subsidiaries has any liabilities, contingent or otherwise (other than obligations under Policies), or forward or long-term commitments that are not disclosed in the Statements or in the notes thereto, and except as disclosed therein there are no unrealized or anticipated losses from any commitments of the Borrower or any of their respective Subsidiaries which may reasonably be expected to result in a Material Adverse Change. Since December 31, 2024, no Material Adverse Change has occurred. 5.1.7 Margin Stock. No Borrower nor any of their respective Subsidiaries engages or intends to engage principally, or as one of its important activities, in the business of extending credit for the purpose, immediately, incidentally or ultimately, of purchasing or carrying margin stock (within the meaning of Regulation U, T or X as promulgated by the Board of Governors of the Federal Reserve System). No part of the proceeds of any Loan has been or will be used, immediately, incidentally or ultimately, to purchase or carry any margin stock or to extend credit to others for the purpose of purchasing or carrying any margin stock or which is inconsistent with the provisions of the regulations of the Board of Governors of the Federal Reserve System. No Borrower nor any of their respective Subsidiaries holds or intends to hold margin stock in such amounts that more than 25% of the reasonable value of the assets of any Borrower or Subsidiary of any Borrower are or will be represented by margin stock.


 
- 49 - 5.1.8 Full Disclosure. Neither this Agreement nor any other Loan Document, nor any certificate, statement, agreement or other documents furnished to the Administrative Agent or any Lender in connection herewith or therewith, contains any untrue statement of a material fact or omits to state a material fact necessary in order to make the statements contained herein and therein, in light of the circumstances under which they were made, not misleading. 5.1.9 Taxes. All Federal and state income tax returns, and all other material federal, state, local and other tax returns required to have been filed with respect to each Borrower and each Subsidiary of each Borrower have been filed, and payment or adequate provision has been made for the payment of all taxes, fees, assessments and other governmental charges which have or may become due pursuant to said returns or to assessments received, except to the extent that such taxes, fees, assessments and other charges are being contested in good faith by appropriate proceedings diligently conducted and for which such reserves or other appropriate provisions, if any, as shall be required by GAAP shall have been made. 5.1.10 Patents, Trademarks, Copyrights, Licenses, Etc. Except as set forth on Schedule 5.1.10, each Borrower and each Subsidiary of each Borrower owns or possesses all the material patents, trademarks, service marks, trade names, copyrights, licenses, registrations, franchises, permits and rights necessary to own and operate its properties and to carry on its business as presently conducted by such Borrower or Subsidiary, without known possible, alleged or actual conflict with the rights of others. 5.1.11 Insurance. The properties of each Borrower and each of its Subsidiaries are insured pursuant to policies and other bonds which are valid and in full force and effect and which provide adequate coverage from reputable and financially sound insurers in amounts sufficient to insure the assets and risks of each such Borrower and Subsidiary in accordance with prudent business practice in the industry of such Borrower and Subsidiaries. 5.1.12 ERISA Compliance. (i) Each Plan is in compliance in all material respects with the applicable provisions of ERISA, the Code and other federal or state Laws. Each Plan that is intended to qualify under Section 401(a) of the Code has received a favorable determination letter from the IRS or an application for such a letter is currently being processed by the IRS with respect thereto and, to the best Knowledge of the Borrowers, nothing has occurred which would prevent, or cause the loss of, such qualification. The Company and each ERISA Affiliate have made all required contributions to each Plan subject to Section 412 of the Code, and no application for a funding waiver or an extension of any amortization period pursuant to Section 412 of the Code has been made with respect to any Plan. (ii) No ERISA Event has occurred or is reasonably expected to occur; (a) no Pension Plan has any unfunded pension liability (i.e. excess of benefit liabilities over the current value of that Pension Plan’s assets, determined in accordance with the assumptions used for funding the Pension Plan for the applicable plan year); (b) neither the Company nor any ERISA Affiliate has incurred, or reasonably expects to incur, any liability under Title IV of ERISA with respect to any Pension Plan (other than premiums due and not delinquent under Section 4007 of ERISA); (c) neither the Company nor any ERISA Affiliate has incurred, or reasonably expects to incur, any liability (and no event has occurred which, with the giving of notice under Section 4219 of ERISA, would result in such liability) under Sections 4201 or 4243 of ERISA with respect to a


 
- 50 - Multiemployer Plan; and (d) neither the Company nor any ERISA Affiliate has engaged in a transaction that could be subject to Sections 4069 or 4212(c) of ERISA. 5.1.13 Environmental Matters. To the Knowledge of each Borrower, each Borrower and each of its respective Subsidiaries is and has been in compliance with applicable Environmental Laws except for such noncompliance that would not in the aggregate reasonably be likely to result in a Material Adverse Change. 5.1.14 Solvency. Before and after giving effect to the initial Loans hereunder, each of the Borrowers is solvent. 5.1.15 Insurance Licenses. No material license (including, without limitation, licenses or certificates of authority from applicable insurance departments), permits or authorizations to transact insurance and reinsurance business of any Insurance Subsidiary (collectively, the “Licenses”) is the subject of a proceeding for suspension or revocation or any similar proceedings, to the best of Borrowers’ Knowledge, there is no sustainable basis for such a suspension or revocation, and to the best of the Borrowers’ Knowledge, no such suspension or revocation is threatened by any state insurance department. 5.1.16 Certificate of Beneficial Ownership. Each Certificate of Beneficial Ownership executed and delivered to the Administrative Agent or any Lender for each Borrower from time to time, as updated from time to time in accordance with this Agreement, is accurate, complete and correct as of the date thereof. Each Borrower acknowledges and agrees that each Certificate of Beneficial Ownership is a Loan Document. 5.1.17 Anti-Terrorism Laws; Sanctions. (i) No Borrower nor any of their respective Subsidiaries is a Sanctioned Person, and (ii) no Borrower nor any of their respective Subsidiaries, either in its own right or through any third party, (a) has any of its assets in a Sanctioned Country or in the possession, custody or control of a Sanctioned Person in violation of any Anti-Terrorism Law, (b) does business in or with, or derives any of its income from investments in or transactions with, any Sanctioned Country or Sanctioned Person in violation of any Anti-Terrorism Law; or (c) engages in any dealings or transactions prohibited by any Anti-Terrorism Law. Each Borrower and each Subsidiary, and their respective directors, officers and employees and, to the best knowledge of each of them, their agents, is in compliance in all material respects with all applicable sanctions administered or enforced by OFAC, the U.S. Department of State, or other relevant sanctions authority, and all applicable anti-money laundering and counter-terrorism financing provisions of the Bank Secrecy Act and all regulations issued pursuant to it (collectively, “Sanctions”). 6. CONDITIONS OF LENDING AND ISSUANCE OF LETTERS OF CREDIT The obligation of each Lender to make Loans and of the Issuing Lender to issue Letters of Credit hereunder is subject to the performance by each of the Borrowers of its Obligations to be performed hereunder at or prior to the making of any such Loans or issuance of such Letters of Credit and to the satisfaction of the following further conditions: 6.1 First Loans and Letters of Credit.


 
- 51 - 6.1.1 Deliveries. On the Closing Date, the Administrative Agent shall have received each of the following in form and substance satisfactory to the Administrative Agent: (i) A certificate of each of the Borrowers signed by an Authorized Officer, dated the Closing Date stating that (w) all representations and warranties of the Borrowers set forth in this Agreement are true and correct in all material respects, (x) the Borrowers are in compliance with each of the covenants and conditions hereunder, (y) no Event of Default or Potential Default exists, and (z) no Material Adverse Change has occurred since the date of the last audited financial statements of the Company delivered to the Administrative Agent; (ii) A certificate dated the Closing Date and signed by the Secretary or an Assistant Secretary of each of the Borrowers, certifying as to: (a) all action taken by each Borrower in connection with this Agreement and the other Loan Documents; (b) the names of the Authorized Officers authorized to sign the Loan Documents and their true signatures; and (c) copies of its organizational documents as in effect on the Closing Date certified by the appropriate state official where such documents are filed in a state office together with certificates from the appropriate state officials as to the continued existence and good standing of each Borrower in each state where organized or qualified to do business; (iii) This Agreement and each of the other Loan Documents signed by an Authorized Officer; (iv) A written opinion of counsel for the Borrowers (which may be issued by duly qualified in- house counsel for the Borrowers), dated the Closing Date and in form and substance satisfactory to the Administrative Agent; (v) A duly completed Compliance Certificate as of the last day of the fiscal quarter of the Company most recently ended prior to the Closing Date, signed by an Authorized Officer of the Company; (vi) All material consents required to effectuate the transactions contemplated hereby; (vii) Evidence that the Credit Agreement dated as of May 13, 2014 among the Borrowers, PNC Bank, National Association, as administrative agent, and the lenders party thereto, as amended, has been terminated, and all outstanding obligations thereunder have been paid; and (viii) Such other documents in connection with such transactions as the Administrative Agent or said counsel may reasonably request. 6.1.2 Payment of Fees. The Borrowers shall have paid all fees payable on or before the Closing Date as required by this Agreement, the Administrative Agent’s Letter or any other Loan Document. 6.2 Each Loan or Letter of Credit. At the time of making any Loans or issuing, extending or increasing any Letters of Credit and after giving effect to the proposed extensions of credit: (i) the representations, warranties of the Borrowers shall then be true and correct in all material respects (except to the extent that such representations and warranties relate solely to an earlier date, in which case such representations and warranties shall be true and correct in all material respects as of such earlier date), (ii) no Event of Default or Potential Default shall have occurred and be


 
- 52 - continuing, (iii) the making of the Loans or issuance, extension or increase of such Letter of Credit shall not contravene any Law applicable to any Borrower or Subsidiary of any Borrower or any of the Lenders, and (iv) the applicable Borrower shall have delivered to the Administrative Agent a duly executed and completed Loan Request or to the Issuing Lender a Letter of Credit Application, as the case may be. 7. COVENANTS The Borrowers, jointly and severally, covenant and agree that until Payment In Full, the Borrowers shall comply at all times with the following covenants: 7.1 Affirmative Covenants. 7.1.1 Preservation of Existence, Etc. Each Borrower shall, and shall cause each of its Subsidiaries (other than Insignificant Subsidiaries) to, maintain its legal existence as a corporation, limited partnership or limited liability company and its license or qualification and good standing in (a) its jurisdiction of organization and (b) except where the failure to be so qualified would not reasonably be expected to result in a Material Adverse Change, each jurisdiction where the property owned or leased by it or the nature of the business transacted by it or both makes such licensing or qualification necessary, except as otherwise expressly permitted in Section 7.2.5. 7.1.2 Payment of Liabilities, Including Taxes, Etc. Each Borrower shall, and shall cause each of its Subsidiaries to, duly pay and discharge all liabilities to which it is subject or which are asserted against it, promptly as and when the same shall become due and payable, including all taxes, assessments and governmental charges upon it or any of its properties, assets, income or profits, prior to the date on which penalties attach thereto, except to the extent that such liabilities, including taxes, assessments or charges, are being contested in good faith and by appropriate and lawful proceedings diligently conducted and for which such reserve or other appropriate provisions, if any, as shall be required by GAAP shall have been made. 7.1.3 Maintenance of Insurance. Each Borrower shall, and shall cause each of its Subsidiaries to, insure its properties and assets against loss or damage by fire and such other insurable hazards as such assets are commonly insured (including fire, extended coverage, property damage, workers’ compensation, public liability and business interruption insurance) and against other risks (including errors and omissions) in such amounts as similar properties and assets are insured by prudent companies in similar circumstances carrying on similar businesses, and with reputable and financially sound insurers, including self-insurance to the extent customary, all as reasonably determined by the Administrative Agent. 7.1.4 Maintenance of Properties and Leases. Each Borrower shall, and shall cause each of its Subsidiaries to, maintain in good repair, working order and condition (ordinary wear and tear excepted) in accordance with the general practice of other businesses of similar character and size, all of those properties and facilities material to its business, and from time to time, such Borrower will make or cause to be made all material repairs, renewals or replacements thereof. 7.1.5 Visitation Rights. Each Borrower shall, and shall cause each of its Subsidiaries to, permit any of the officers or authorized employees or representatives of the Administrative Agent or any of the Lenders to visit and inspect any of its properties during normal business hours and to


 
- 53 - examine and make excerpts from its books and records and discuss its business affairs, finances and accounts with its officers, all in such detail and at such times and as often as any of the Lenders may reasonably request, provided that (i) each Lender shall provide the Borrowers and the Administrative Agent with reasonable notice prior to any visit or inspection. In the event any Lender desires to conduct an audit of any Borrower, (ii) such Lender shall make a reasonable effort to conduct such audit contemporaneously with any audit to be performed by the Administrative Agent and (iii) such audit will be at such Lender’s expense prior to the occurrence and continuance of an Event of Default and at the expense of the Borrowers after the occurrence and during the continuance of an Event of Default. 7.1.6 Keeping of Records and Books of Account. The Borrowers shall, and shall cause each of their Subsidiaries to, maintain and keep proper books of record and account which enable the Company and its Subsidiaries to issue financial statements in accordance with GAAP or IFRS, as applicable, and as otherwise required by applicable Laws of any Official Body having jurisdiction over either Borrower or any Subsidiary of either Borrower, and in which full, true and correct entries shall be made in all material respects of all its dealings and business and financial affairs. 7.1.7 Compliance with Laws; Use of Proceeds. Each Borrower shall, and shall cause each of its Subsidiaries to, comply in all material respects with all applicable Laws, including all Environmental Laws. The Borrowers will use the Letter of Credit and the proceeds of the Loans only in accordance with Section 2.7 and as permitted by applicable Law. Each Borrower and each Subsidiary will maintain in effect policies and procedures reasonably designed to ensure compliance by them and their respective directors, officers, employees and agents with applicable Sanctions. 7.1.8 Certificate of Beneficial Ownership and Other Additional Information. Each Borrower shall provide to the Administrative Agent and the Lenders: (i) if required by the Beneficial Ownership Regulation, a fully-executed and delivered copy of a Certificate of Beneficial Ownership; (ii) upon the request of the Administrative Agent confirmation of the accuracy of the information set forth in the most recent Certificate of Beneficial Ownership provided to the Administrative Agent or any Lender, if any; (iii) a new Certificate of Beneficial Ownership, in form and substance acceptable to the Administrative Agent and the Lenders, when the individual(s) to be identified as a Beneficial Owner have changed; and (iv) such other information and documentation as may reasonably be requested by the Administrative Agent or any Lender from time to time for purposes of compliance by the Administrative Agent or such Lender with applicable laws (including without limitation the USA Patriot Act and other “know your customer” and anti-money laundering rules and regulations), and any policy or procedure implemented by the Administrative Agent or such Lender to comply therewith. 7.2 Negative Covenants. 7.2.1 Indebtedness. Each of the Borrowers shall not, and shall not permit any of its Subsidiaries to, at any time create, incur, assume or suffer to exist any Indebtedness, except: (i) Indebtedness under the Loan Documents;


 
- 54 - (ii) Indebtedness incurred with respect to Purchase Money Security Interests and capitalized leases; (iii) Indebtedness of a Borrower to another Borrower or of a Borrower to a Subsidiary which is subordinated pursuant to the Intercompany Subordination Agreement; (iv) Indebtedness between wholly-owned Subsidiaries; (v) Guaranties of Indebtedness of associates/agents or for the alternative investment portfolio of the Insurance Companies in the ordinary course of business, but only so long as the conditions leading to payment on any of the guarantees have not been met; (vi) Indebtedness arising under any Syndicate Arrangement; and (vii) any other Indebtedness of the Company and each Insurance Company so long as the Company is in pro forma compliance with Section 7.2.13 and there is no Event of Default or Potential Default after giving effect to such additional Indebtedness. 7.2.2 Liens; Lien Covenants. Each of the Borrowers shall not, and shall not permit any of its Subsidiaries to, at any time create, incur, assume or suffer to exist any Lien on any of its property or assets, tangible or intangible, now owned or hereafter acquired, or agree or become liable to do so, except Permitted Liens. 7.2.3 Guaranties. Each of the Borrowers shall not, and shall not permit any of its Subsidiaries to, at any time, directly or indirectly, become or be liable in respect of any Guaranty, or assume, guarantee, become surety for, endorse or otherwise agree, become or remain directly or contingently liable upon or with respect to any obligation or liability of any other Person, except for Guaranties by the Company of Indebtedness permitted hereunder and Guaranties permitted under Section 7.2.1. 7.2.4 Dividends and Related Distributions. The Company shall not make or pay, or agree to become or remain liable to make or pay, any dividend or other distribution of any nature (whether in cash, property, securities or otherwise) on account of or in respect of its shares of capital stock on account of the purchase, redemption, retirement or acquisition of its shares of capital stock (or warrants, options or rights therefor), unless no Event of Default under Section 8.1.1 shall have occurred and be continuing at the time of such dividend or distribution. 7.2.5 Liquidations, Mergers, Consolidations, Acquisitions. Each of the Borrowers shall not, and shall not permit any of its Subsidiaries to, (a) dissolve, liquidate or wind-up its affairs, or become a party to any merger or consolidation, other than dissolution, liquidation, winding up, merger or consolidation by an Insignificant Subsidiary so long as all assets of such Insignificant Subsidiary are transferred to a Borrower or another Subsidiary of a Borrower; provided that any Subsidiary of a Borrower may consolidate or merge into a Borrower or another wholly-owned Subsidiary of the Company, or (b) acquire all or substantially all of the capital stock or assets of another Person, unless, in the case of either (a) or (b), at such time and immediately after giving effect thereto, no Potential Default or Event of Default exists or would result therefrom.


 
- 55 - 7.2.6 Dispositions of Assets or Subsidiaries. Each of the Borrowers shall not, and shall not permit any of its Subsidiaries (other than Insignificant Subsidiaries) to, sell, convey, assign, lease, abandon or otherwise transfer or dispose of, voluntarily or involuntarily (any of the foregoing being referred to in this Section 7.2.6 as a “Disposition” and any series of related Dispositions constituting but a single Disposition), any of its assets or sell or assign with or without recourse any receivables, other than any sale, conveyance, assignment, lease or abandonment (a) in the ordinary course of business or (b) to the extent that the fair market value of the assets the subject thereof (as determined in good faith by the board of directors or senior management of the Company), when added to the fair market value of the assets the subject of any such other Disposition or Dispositions permitted by this clause (b) previously consummated during the same fiscal year of the Company (as determined in good faith by the board of directors or senior management of the Company), does not constitute more than 3.0% of the consolidated assets of the Company and its Subsidiaries as of the last day of the most recently ended fiscal year of the Company. 7.2.7 Affiliate Transactions. Each of the Borrowers shall not, and shall not cause or permit its Subsidiaries to directly or indirectly enter into or permit to exist any transaction defined by Section 404(a) of Regulation S-K under the Securities Act of 1933 with any Affiliate or with any director or executive officer of the Company, except (a) transactions in the ordinary course of and pursuant to the reasonable requirements of the business of the Company or any of its Subsidiaries and upon fair and reasonable terms which are no less favorable to any Borrower or any of its Subsidiaries than would be obtained in a comparable arm’s length transaction with a Person that is not an Affiliate, (b) payment of reasonable compensation to officers for services actually rendered to any Borrower or any of its Subsidiaries, (c) payment of reasonable compensation to directors and (d) transactions approved by the audit committee of the Company. 7.2.8 Continuation of or Change in Business. Each of the Borrowers shall not, and shall not permit any of its Subsidiaries to, (a) engage in any business other than in substantially the same fields of enterprise as it is presently conducted, substantially as conducted and operated by such Borrower or Subsidiary during the present fiscal year, and such Borrower or Subsidiary shall not permit any material change in such business, or (b) change its form of organization, including a division into two or more entities. 7.2.9 Fiscal Year. The Company shall not, and shall not permit any Subsidiary of the Company to, change its fiscal year from the twelve-month period beginning January 1 and ending December 31. 7.2.10 Changes in Organizational Documents. Each of the Borrowers shall not, and shall not permit any of its Subsidiaries (other than Insignificant Subsidiaries) to, amend in any respect its certificate of incorporation (including any provisions or resolutions relating to capital stock), by- laws, certificate of limited partnership, partnership agreement, certificate of formation, limited liability company agreement or other organizational documents in any manner that may be materially adverse to the Administrative Agent or the Lenders without obtaining the prior written consent of the Required Lenders. 7.2.11 Limitation on Certain Restrictions on Subsidiaries. No Borrower will, nor will it permit any of its Subsidiaries to, directly or indirectly, create or otherwise cause or suffer to exist or


 
- 56 - become effective any consensual encumbrance or consensual restriction on the ability of any such Subsidiary to (a) pay dividends or make any other distributions on its capital stock or any other interest or participation in its profits owned by such Borrower or any of its Subsidiaries, or pay any Indebtedness owed to such Borrower or any of its Subsidiaries, (b) make loans or advances to such Borrower or any of its Subsidiaries or (c) transfer any of its properties or assets to such Borrower or any of its Subsidiaries; provided that the foregoing shall not apply to (i) restrictions and conditions imposed by law or by (x) any Loan Document or (y) any document governing Indebtedness necessary to post funds at Lloyd’s on behalf of the Corporate Member, or governing Indebtedness arising under any Syndicate Arrangement, in the case of this clause (y), to the extent such restriction or condition is not more onerous to the Borrowers or any Subsidiary than any such restriction or conditions contained in any Loan Document), (ii) agreements entered into with an Applicable Insurance Regulatory Authority or ratings agency in the ordinary course of business or any requirement imposed or required by any Applicable Insurance Regulatory Authority, (iii) provisions in partnership agreements, shareholders agreements, limited liability company organizational governance documents, joint venture agreements and other similar agreements or (iv) customary restrictions imposed under contracts (including Policies and insurance contracts) or trust agreements, in each case, entered into in the ordinary course of business. 7.2.12 Anti-Terrorism Laws. Neither Borrower is or shall be (i) a Person with whom any Lender is restricted from doing business under Executive Order No. 13224 or any other Anti-Terrorism Law, (ii) engaged in any business involved in making or receiving any contribution of funds, goods or services to or for the benefit of such a Person or in any transaction that evades or avoids, or has the purpose of evading or avoiding, the prohibitions set forth in any Anti-Terrorism Law, or (iii) otherwise in violation of any Anti-Terrorism Law. The Borrowers shall provide to the Lenders any certifications or information that a Lender requests to confirm compliance by the Borrowers with Anti-Terrorism Laws. No Borrower shall, nor shall it permit any of its Subsidiaries to, fail to comply with the Laws, regulations and executive orders referred to in Sections 5.1.17. 7.2.13 Consolidated Debt to Total Capitalization. Not permit the ratio of (a) the principal amount of Consolidated Debt to (b) the sum of (i) Consolidated Net Worth plus (ii) Consolidated Debt to exceed 0.35 to 1.0 at any time. For avoidance of doubt, the Indebtedness described in Sections 7.2.1(iii) and 7.2.1(iv) are eliminated upon consolidation and as such are not included in the calculation of Consolidated Debt. 7.3 Reporting Requirements. The Borrowers will furnish or cause to be furnished to the Administrative Agent and each of the Lenders: 7.3.1 Quarterly Financial Statements. As soon as available and in any event within forty-five (45) calendar days after the end of each of the first three fiscal quarters in each fiscal year, a copy of the Company Form 10-Q filed with the SEC, consisting of a consolidated balance sheet as of the end of such fiscal quarter and related consolidated statements of income, shareholder’s equity and cash flows for the fiscal quarter then ended, all in reasonable detail and certified (subject to normal year-end audit adjustments) by the Chief Executive Officer, President or Chief Financial Officer of the Company as having been prepared in accordance with GAAP, consistently applied and fairly presenting the consolidated results of operations and cash flows of the Borrower as at the end of such fiscal quarter.


 
- 57 - 7.3.2 Annual Financial Statements. As soon as available and in any event within one hundred twenty (120) days after the end of each fiscal year of the Company, financial statements of the Company consisting of a consolidated balance sheet as of the end of such fiscal year, and related consolidated statements of income, shareholders’ equity and cash flows for the fiscal year then ended, all in reasonable detail, audited and accompanied by a report and opinion of by independent certified public accountants of nationally recognized standing. The opinion and report of accountants shall be free of qualifications (other than any consistency qualification that may result from a change in the method used to prepare the financial statements as to which such accountants concur) and shall not indicate the occurrence or existence of any event, condition or contingency which would materially impair the prospect of payment or performance of any covenant, agreement or duty of any Borrower under any of the Loan Documents. 7.3.3 Certificate of the Company. Concurrently with the financial statements of the Company furnished to the Administrative Agent and to the Lenders pursuant to Sections 7.3.1 and 7.3.2, a certificate (each a “Compliance Certificate”) of the Company signed by the Chief Executive Officer, President or Chief Financial Officer of the Company, in the form of Exhibit 7.3.3. 7.3.4 Notices. 7.3.4.1 Default. Promptly after any Borrower has Knowledge of the occurrence of an Event of Default or Potential Default, a certificate signed by an Authorized Officer setting forth the details of such Event of Default or Potential Default and the action which such Borrower proposes to take with respect thereto. 7.3.4.2 Litigation. Promptly and in any event within ten (10) days after the commencement thereof, notice of all actions, suits, proceedings or investigations before or by any Official Body or any other Person against any Borrower or Subsidiary of any Borrower which, if adversely determined, is reasonably likely to result in a Material Adverse Change. 7.3.4.3 ERISA Event. Promptly and in any event within ten (10) days after the occurrence of any ERISA Event, notice of such ERISA Event. 7.3.4.4 Other Reports. Promptly upon their becoming available to the Company: (i) Management Letters. Copies of any reports including management letters submitted to the Company by independent accountants in connection with any annual, interim or special audit. (ii) Statutory Statements. Within 15 days after the filing of Statutory Statements by any Insurance Company, a copy of such Statutory Statements of such Insurance Company for the relevant fiscal year. (iii) Ratings Changes. Promptly upon the announcement thereof, notice of any change in the Debt Rating of the Company or in the Financial Strength Rating of any Insurance Company. (iv) Licenses. Within five (5) Business Days of such notice, notice of actual suspension, termination or revocation of any material License of the Insurance Subsidiaries by any Official Body or of receipt of notice from any Official Body notifying the Company or any Subsidiary of


 
- 58 - a hearing (which is not withdrawn within ten (10) days) relating to such a suspension, termination or revocation, including any request by an Official Body which commits the Company or any Subsidiary to take, or refrain from taking, any action or which otherwise materially and adversely affects the authority of the Company to conduct its business. (v) SEC Reports; Shareholder Communications. Copies of Forms 10-K and 10-Q, registration statements and prospectuses filed by the Company with the Securities and Exchange Commission. (vi) Insurance Code. Promptly upon obtaining Knowledge thereof, notice of any actual or proposed material changes in the Insurance Code governing the investment or dividend practices of any Insurance Company. (vii) Other Information. Such other reports and information as any of the Lenders may from time to time reasonably request. 7.3.4.5 Syndicate Arrangements. Promptly after the incurrence of any Indebtedness arising under a Syndicate Arrangement, notice of such incurrence of Indebtedness arising under a Syndicate Arrangement, including the amount thereunder. 8. DEFAULT 8.1 Events of Default. An Event of Default shall mean the occurrence or existence of any one or more of the following events or conditions (whatever the reason therefor and whether voluntary, involuntary or effected by operation of Law): 8.1.1 Payments Under Loan Documents. Either Borrower shall fail to pay (a) when due, any principal of any Loan (including the payment due at maturity), any Reimbursement Obligation, any Letter of Credit Obligation or any other Obligation or (b) within two (2) Business Days after the same shall become due, any interest on any Loan, any Reimbursement Obligation, any Letter of Credit Obligation or any other amount owing hereunder or under the other Loan Documents; 8.1.2 Breach of Warranty. Any representation or warranty made at any time by any of the Borrowers herein or by any of the Borrowers in any other Loan Document, or in any certificate, other instrument or statement furnished pursuant to the provisions hereof or thereof, shall prove to have been false or misleading in any material respect as of the time it was made or furnished; 8.1.3 Breach of Negative Covenants or Visitation Rights. Any of the Borrowers shall default in the observance or performance of any covenant contained in Section 7.1.5 or Section 7.2; 8.1.4 Breach of Other Covenants. Any of the Borrowers shall default in the observance or performance of any other covenant, condition or provision hereof or of any other Loan Document and such default shall continue unremedied for a period of thirty (30) days after (a) a Borrower obtains Knowledge thereof or (b) written notice thereof from the Administrative Agent to the Company;


 
- 59 - 8.1.5 Defaults in Other Agreements or Indebtedness. A default or event of default shall occur at any time under the terms of any other agreement involving borrowed money or the extension of credit or any other Indebtedness under which any Borrower or Subsidiary of any Borrower may be obligated as a borrower or guarantor in excess of $50,000,000 in the aggregate, and such breach, default or event of default consists of the failure to pay (beyond any period of grace permitted with respect thereto, whether waived or not) any Indebtedness when due (whether at stated maturity, by acceleration or otherwise) or if such breach or default permits or causes the acceleration of any Indebtedness (whether or not such right shall have been waived or amended) or the termination of any commitment to lend; 8.1.6 Final Judgments or Orders. Any final, nonappealable judgments or orders involving a liability in excess of $50,000,000 (after the application of any applicable insurance or reinsurance coverage) in the aggregate shall be entered against any Borrower by a court having jurisdiction in the premises, which judgment is not discharged, vacated, bonded or stayed pending appeal within a period of thirty (30) days from the date of entry; 8.1.7 Loan Document Unenforceable. Any of the Loan Documents shall cease to be legal, valid and binding agreements enforceable against the party executing the same or such party’s successors and assigns (as permitted under the Loan Documents) in accordance with the respective terms thereof or shall in any way be terminated (except in accordance with its terms) or become or be declared ineffective or inoperative or shall in any way be challenged or contested or cease to give or provide the respective rights, titles, interests, remedies, powers or privileges intended to be created thereby; 8.1.8 Uninsured Losses; Proceedings Against Assets. Any of the Borrowers’ or any of their Subsidiaries’ assets are attached, seized, levied upon or subjected to a writ or distress warrant; or such come within the possession of any receiver, trustee, custodian or assignee for the benefit of creditors and the same is not cured within thirty (30) days thereafter; 8.1.9 Events Relating to Plans and Benefit Arrangements. (i) An ERISA Event occurs with respect to a Pension Plan or Multiemployer Plan which has had or could reasonably be expected to result in, either individually or in the aggregate, a Material Adverse Change or (ii) the Company or any ERISA Affiliate fails to pay when due, after the expiration of any applicable grace period, any installment payment with respect to its withdrawal liability under Section 4201 of ERISA under a Multiemployer Plan, and such failure has had or could reasonably be expected to have, either individually or in the aggregate, a Material Adverse Change. 8.1.10 Change of Control. (a) Any person or group of persons (within the meaning of Sections 13(d) or 14(a) of the Securities Exchange Act of 1934, as amended) shall have acquired beneficial ownership of (within the meaning of Rule 13d-3 promulgated by the Securities and Exchange Commission under said Act) 50% or more of the voting capital stock of the Company; (b) during any period of 12 consecutive months a majority of the members of the board of directors or other equivalent governing body of the Company cease to be composed of individuals (i) who were members of that board or equivalent governing body on the Closing Date, (ii) whose election or nomination to that board or equivalent governing body was approved by individuals referred to in clause (i) above constituting at the time of such election or nomination at least a majority of that board or equivalent governing body or (iii) whose election or nomination to that board or other


 
- 60 - equivalent governing body was approved by individuals referred to in clauses (i) and (ii) above constituting at the time of such election or nomination at least a majority of that board or equivalent governing body (excluding, in the case of both clause (ii) and clause (iii), any individual whose initial nomination for, or assumption of office as, a member of that board or equivalent governing body occurs as a result of an actual or threatened solicitation of proxies or consents for the election or removal of one or more directors by any person or group other than a solicitation for the election of one or more directors by or on behalf of the board of directors); or (c) the Company shall fail to own 100% of the economic and voting rights of CFC-I; 8.1.11 Regulatory Orders. Any Insurance Subsidiary becomes subject to a corrective order or similar document issued by an Applicable Insurance Regulatory Authority which cites or otherwise references its financial impairment, or failure to meet minimum levels of statutory capital or surplus and such failure is not cured within thirty (30) days of the date of such corrective order or similar document; 8.1.12 Insurance Licenses. Any one or more Licenses of the Insurance Subsidiaries shall be suspended, limited or terminated or shall not be renewed and such action would reasonably be expected to result in, either individually or in the aggregate, a Material Adverse Change; or 8.1.13 Relief Proceedings. (i) A Relief Proceeding shall have been instituted against any Borrower or any Subsidiaries (other than Insignificant Subsidiaries) and such Relief Proceeding shall remain undismissed or unstayed and in effect for a period of thirty (30) consecutive days or such court shall enter a decree or order granting any of the relief sought in such Relief Proceeding, (ii) any Borrower or any Subsidiaries (other than Insignificant Subsidiaries) institutes, or takes any action in furtherance of, a Relief Proceeding, or (iii) any Borrower or any Subsidiaries (other than Insignificant Subsidiaries) ceases to be solvent or admits in writing its inability to pay its debts as they mature. 8.2 Consequences of Event of Default. 8.2.1 Events of Default Other Than Bankruptcy, Insolvency or Reorganization Proceedings. If an Event of Default specified under Sections 8.1.1 through 8.1.12 shall occur and be continuing, the Lenders and the Administrative Agent shall be under no further obligation to make Loans and the Issuing Lender shall be under no obligation to issue Letters of Credit and the Administrative Agent may, and upon the request of the Required Lenders, shall (i) by written notice to the Borrowers, declare the unpaid principal amount of the Notes then outstanding and all interest accrued thereon, any unpaid fees and all other Indebtedness of the Borrowers to the Lenders hereunder and thereunder to be forthwith due and payable, and the same shall thereupon become and be immediately due and payable to the Administrative Agent for the benefit of each Lender without presentment, demand, protest or any other notice of any kind, all of which are hereby expressly waived, and (ii) require the Borrowers to, and the Borrowers shall thereupon, deposit in a non-interest-bearing account with the Administrative Agent, as Cash Collateral for its Obligations under the Loan Documents, an amount equal to the maximum amount currently or at any time thereafter available to be drawn on all outstanding Letters of Credit, and each Borrower hereby pledges to the Administrative Agent and the Lenders, and grants to the Administrative Agent and the Lenders a security interest in, all such cash as security for such Obligations; and


 
- 61 - 8.2.2 Bankruptcy, Insolvency or Reorganization Proceedings. If an Event of Default specified under Section 8.1.13 shall occur, the Lenders shall be under no further obligations to make Loans hereunder and the Issuing Lender shall be under no obligation to issue Letters of Credit and the unpaid principal amount of the Loans then outstanding and all interest accrued thereon, any unpaid fees and all other Indebtedness of the Borrowers to the Lenders hereunder and thereunder shall be immediately due and payable, without presentment, demand, protest or notice of any kind, all of which are hereby expressly waived; and 8.2.3 Set-off. If an Event of Default shall have occurred and be continuing, each Lender, the Issuing Lender, and each of their respective Affiliates and any participant of such Lender or Affiliate which has agreed in writing to be bound by the provisions of Section 4.3 is hereby authorized at any time and from time to time, to the fullest extent permitted by applicable Law, to set off and apply any and all deposits (general or special, time or demand, provisional or final, in whatever currency) at any time held and other obligations (in whatever currency) at any time owing by such Lender, the Issuing Lender or any such Affiliate or participant to or for the credit or the account of any Borrower against any and all of the Obligations of such Borrower now or hereafter existing under this Agreement or any other Loan Document to such Lender, the Issuing Lender, Affiliate or participant, irrespective of whether or not such Lender, Issuing Lender, Affiliate or participant shall have made any demand under this Agreement or any other Loan Document and although such Obligations of such Borrower may be contingent or unmatured or are owed to a branch or office of such Lender or the Issuing Lender different from the branch or office holding such deposit or obligated on such Indebtedness; provided that in the event that any Defaulting Lender shall exercise any such right of setoff, (x) all amounts so set off shall be paid over immediately to the Administrative Agent for further application in accordance with the provisions of Section 2.12 and, pending such payment, shall be segregated by such Defaulting Lender from its other funds and deemed held in trust for the benefit of the Administrative Agent, the Issuing Lender, and the Lenders, and (y) the Defaulting Lender shall provide promptly to the Administrative Agent a statement describing in reasonable detail the Obligations owing to such Defaulting Lender as to which it exercised such right of setoff. The rights of each Lender, the Issuing Lender and their respective Affiliates and participants under this Section are in addition to other rights and remedies (including other rights of setoff) that such Lender, the Issuing Lender or their respective Affiliates and participants may have. Each Lender and the Issuing Lender agrees to notify the Borrowers and the Administrative Agent promptly after any such setoff and application; provided that the failure to give such notice shall not affect the validity of such setoff and application; and 8.2.4 Application of Proceeds. From and after the date on which the Administrative Agent has taken any action pursuant to this Section 8.2 and until all Obligations of the Borrowers have been paid in full, any and all proceeds received by the Administrative Agent from the exercise of any other remedy by the Administrative Agent, shall be applied as follows: (i) first, to reimburse the Administrative Agent and the Lenders for out-of-pocket costs, expenses and disbursements, including reasonable attorneys’ and paralegals’ fees and legal expenses, incurred by the Administrative Agent or the Lenders in connection with collection of any Obligations of any of the Borrowers under any of the Loan Documents;


 
- 62 - (ii) second, to the repayment of all Obligations then due and unpaid of the Borrowers to the Lenders or their Affiliates incurred under this Agreement, whether of principal, interest, fees, expenses or otherwise and to Cash Collateralize the Letter of Credit Obligations in an amount not less than 105% of the Letter of Credit Obligations plus accrued and unpaid interest thereon, in such manner as the Administrative Agent may determine in its discretion; and (iii) the balance, if any, as required by Law. 9. THE ADMINISTRATIVE AGENT 9.1 Appointment and Authority. Each of the Lenders and the Issuing Lender hereby irrevocably appoints Fifth Third to act on its behalf as the Administrative Agent hereunder and under the other Loan Documents and authorizes the Administrative Agent to take such actions on its behalf and to exercise such powers as are delegated to the Administrative Agent by the terms hereof or thereof, together with such actions and powers as are reasonably incidental thereto. The provisions of this Section 9 are solely for the benefit of the Administrative Agent, the Lenders and the Issuing Lender, and no Borrower shall have rights as a third party beneficiary of any of such provisions. 9.2 Rights as a Lender. The Person serving as the Administrative Agent hereunder shall have the same rights and powers in its capacity as a Lender as any other Lender and may exercise the same as though it were not the Administrative Agent and the term “Lender” or “Lenders” shall, unless otherwise expressly indicated or unless the context otherwise requires, include the Person serving as the Administrative Agent hereunder in its individual capacity. Such Person and its Affiliates may accept deposits from, lend money to, act as the financial advisor or in any other advisory capacity for and generally engage in any kind of business with any Borrower or any Subsidiary or other Affiliate thereof as if such Person were not the Administrative Agent hereunder and without any duty to account therefor to the Lenders. 9.3 Exculpatory Provisions. The Administrative Agent shall not have any duties or obligations except those expressly set forth herein and in the other Loan Documents. Without limiting the generality of the foregoing, the Administrative Agent: (a) shall not be subject to any fiduciary or other implied duties, regardless of whether a Potential Default or Event of Default has occurred and is continuing; (b) shall not have any duty to take any discretionary action or exercise any discretionary powers, except discretionary rights and powers expressly contemplated hereby or by the other Loan Documents that the Administrative Agent is required to exercise as directed in writing by the Required Lenders (or such other number or percentage of the Lenders as shall be expressly provided for herein or in the other Loan Documents); provided that the Administrative Agent shall not be required to take any action that, in its opinion or the opinion of its counsel, may expose the Administrative Agent to liability or that is contrary to any Loan Document or applicable Law; and (c) shall not, except as expressly set forth herein and in the other Loan Documents, have any duty to disclose, and shall not be liable for the failure to disclose, any information relating to the Borrowers or any of their respective Affiliates that is communicated to


 
- 63 - or obtained by the Person serving as the Administrative Agent or any of its Affiliates in any capacity. The Administrative Agent shall not be liable for any action taken or not taken by it (i) with the consent or at the request of the Required Lenders (or such other number or percentage of the Lenders as shall be necessary, or as the Administrative Agent shall believe in good faith shall be necessary, under the circumstances as provided in Sections 10.1 and 8.2) or (ii) in the absence of its own gross negligence or willful misconduct. The Administrative Agent shall be deemed not to have knowledge of any Potential Default or Event of Default unless and until notice describing such Potential Default or Event of Default is given to the Administrative Agent by the Borrowers, a Lender or the Issuing Lender. The Administrative Agent shall not be responsible for or have any duty to ascertain or inquire into (i) any statement, warranty or representation made in or in connection with this Agreement or any other Loan Document, (ii) the contents of any certificate, report or other document delivered hereunder or thereunder or in connection herewith or therewith, (iii) the performance or observance of any of the covenants, agreements or other terms or conditions set forth herein or therein or the occurrence of any Potential Default or Event of Default, (iv) the validity, enforceability, effectiveness or genuineness of this Agreement, any other Loan Document or any other agreement, instrument or document or (v) the satisfaction of any condition set forth in Section 6 or elsewhere herein, other than to confirm receipt of items expressly required to be delivered to the Administrative Agent. 9.4 Reliance by Administrative Agent. The Administrative Agent shall be entitled to rely upon, and shall not incur any liability for relying upon, any notice, request, certificate, consent, statement, instrument, document or other writing (including any electronic message, Internet or intranet website posting or other distribution) believed by it to be genuine and to have been signed, sent or otherwise authenticated by the proper Person. The Administrative Agent also may rely upon any statement made to it orally or by telephone and believed by it to have been made by the proper Person, and shall not incur any liability for relying thereon. In determining compliance with any condition hereunder to the making of a Loan, or the issuance of a Letter of Credit, that by its terms must be fulfilled to the satisfaction of a Lender or the Issuing Lender, the Administrative Agent may presume that such condition is satisfactory to such Lender or the Issuing Lender unless the Administrative Agent shall have received notice to the contrary from such Lender or the Issuing Lender prior to the making of such Loan or the issuance of such Letter of Credit. The Administrative Agent may consult with legal counsel (who may be counsel for the Borrower), independent accountants and other experts selected by it, and shall not be liable for any action taken or not taken by it in accordance with the advice of any such counsel, accountants or experts. 9.5 Delegation of Duties. The Administrative Agent may perform any and all of its duties and exercise its rights and powers hereunder or under any other Loan Document by or through any one or more sub-agents appointed by the Administrative Agent. The Administrative Agent and any such sub-agent may perform any and all of its duties and exercise its rights and powers by or through their respective Related Parties. The exculpatory provisions of this Section 9 shall apply to any such sub-agent and to the Related Parties of the Administrative Agent and any such


 
- 64 - sub-agent, and shall apply to their respective activities in connection with the syndication of the credit facilities provided for herein as well as activities as Administrative Agent. 9.6 Resignation of Administrative Agent. The Administrative Agent may at any time give notice of its resignation to the Lenders, the Issuing Lender and the Borrowers. Upon receipt of any such notice of resignation, the Required Lenders shall have the right, with approval from the Company (so long as no Event of Default has occurred and is continuing), to appoint a successor, such approval not to be unreasonably withheld or delayed. If no such successor shall have been so appointed by the Required Lenders and shall have accepted such appointment within thirty (30) days after the retiring Administrative Agent gives notice of its resignation, then the retiring Administrative Agent may on behalf of the Lenders and the Issuing Lender, appoint a successor Administrative Agent; provided that if the Administrative Agent shall notify the Borrowers and the Lenders that no qualifying Person has accepted such appointment, then such resignation shall nonetheless become effective in accordance with such notice and (i) the retiring Administrative Agent shall be discharged from its duties and obligations hereunder and under the other Loan Documents (except that in the case of any collateral security held by the Administrative Agent on behalf of the Lenders or the Issuing Lender under any of the Loan Documents, the retiring Administrative Agent shall continue to hold such collateral security until such time as a successor Administrative Agent is appointed) and (ii) all payments, communications and determinations provided to be made by, to or through the Administrative Agent shall instead be made by or to each Lender and the Issuing Lender directly, until such time as the Required Lenders appoint a successor Administrative Agent as provided for above in this Section 9.6. Upon the acceptance of a successor’s appointment as Administrative Agent hereunder, such successor shall succeed to and become vested with all of the rights, powers, privileges and duties of the retiring (or retired) Administrative Agent, and the retiring Administrative Agent shall be discharged from all of its duties and obligations hereunder or under the other Loan Documents (if not already discharged therefrom as provided above in this Section). The fees payable by the Borrowers to a successor Administrative Agent shall be the same as those payable to its predecessor unless otherwise agreed among the Borrowers and such successor. After the retiring Administrative Agent’s resignation hereunder and under the other Loan Documents, the provisions of this Section 9 and Section 10.3 shall continue in effect for the benefit of such retiring Administrative Agent, its sub-agents and their respective Related Parties in respect of any actions taken or omitted to be taken by any of them while the retiring Administrative Agent was acting as Administrative Agent. If Fifth Third resigns as Administrative Agent under this Section 9.6, Fifth Third shall also resign as an Issuing Lender. Upon the appointment of a successor Administrative Agent hereunder, such successor shall (i) succeed to all of the rights, powers, privileges and duties of Fifth Third as the retiring Issuing Lender and Administrative Agent and Fifth Third shall be discharged from all of its respective duties and obligations as Issuing Lender and Administrative Agent under the Loan Documents, and (ii) issue letters of credit in substitution for the Letters of Credit issued by Fifth Third, if any, outstanding at the time of such succession or make other arrangement satisfactory to Fifth Third to effectively assume the obligations of Fifth Third with respect to such Letters of Credit. 9.7 Non-Reliance on Administrative Agent and Other Lenders. Each Lender and the Issuing Lender acknowledges that it has, independently and without reliance upon the Administrative Agent or any other Lender or any of their Related Parties and based on such documents and


 
- 65 - information as it has deemed appropriate, made its own credit analysis and decision to enter into this Agreement. Each Lender and the Issuing Lender also acknowledges that it will, independently and without reliance upon the Administrative Agent or any other Lender or any of their Related Parties and based on such documents and information as it shall from time to time deem appropriate, continue to make its own decisions in taking or not taking action under or based upon this Agreement, any other Loan Document or any related agreement or any document furnished hereunder or thereunder. 9.8 No Other Duties, etc. Anything herein to the contrary notwithstanding, neither the Joint Lead Arrangers nor Bookrunner listed on the cover page hereof shall have any powers, duties or responsibilities under this Agreement or any of the other Loan Documents, except in its capacity, as applicable, as the Administrative Agent, a Lender or the Issuing Lender hereunder. 9.9 Administrative Agent’s Fee. The Borrowers shall pay to the Administrative Agent a nonrefundable fee (the “Administrative Agent’s Fee”) under the terms of a letter (the “Administrative Agent’s Letter”) among the Borrowers and Administrative Agent, as amended from time to time. 9.10 No Reliance on Administrative Agent’s Customer Identification Program. Each Lender acknowledges and agrees that neither such Lender, nor any of its Affiliates, participants or assignees, may rely on the Administrative Agent to carry out such Lender’s, Affiliate’s, participant’s or assignee’s customer identification program, or other obligations required or imposed under or pursuant to the USA Patriot Act or the regulations thereunder, including the regulations contained in 31 CFR 103.121 (as hereafter amended or replaced, the “CIP Regulations”), or any other Anti-Terrorism Law, including any programs involving any of the following items relating to or in connection with any of the Borrowers, their Affiliates or their agents, the Loan Documents or the transactions hereunder or contemplated hereby: (i) any identity verification procedures, (ii) any recordkeeping, (iii) comparisons with government lists, (iv) customer notices or (v) other procedures required under the CIP Regulations or such other Laws. 9.11 Erroneous Payments. (a) Each Lender and Issuing Lender hereby agrees that (x) if Administrative Agent notifies such Lender or such Issuing Lender that Administrative Agent has determined in its sole discretion that any funds received by such Lender or such Issuing Lender from Administrative Agent or any of its Affiliates (whether as a payment, prepayment or repayment of principal, interest, fees or otherwise; individually and collectively, a “Payment”) were erroneously transmitted to such Lender or such Issuing Lender (whether or not known to such Lender or such Issuing Lender), and demands the return of such Payment (or a portion thereof), such Lender or such Issuing Lender shall promptly, but in no event later than one Business Day thereafter, return to Administrative Agent the amount of any such Payment (or portion thereof) as to which such a demand was made in same day funds (in the currency so received), together with interest thereon in respect of each day from and including the date such Payment (or portion thereof) was received by such Lender or such Issuing Lender to the date such amount is repaid to Administrative Agent at the greater of the Federal Funds Rate, and (y) to the extent permitted by applicable Law, such Lender or such Issuing Lender shall not assert, and hereby waives, as to Administrative Agent, any claim, counterclaim, defense or right of set-off or recoupment with respect to any demand,


 
- 66 - claim or counterclaim by Administrative Agent for the return of any Payments received, including without limitation any defense based on “discharge for value” or any similar doctrine. A notice of Administrative Agent to any Lender or such Issuing Lender under this Section 9.11 shall be conclusive, absent manifest error. (b) Each Lender and each Issuing Lender hereby further agrees that if it receives a Payment from Administrative Agent or any of its Affiliates (x) that is in a different amount than, or on a different date from, that specified in a notice of payment sent by Administrative Agent (or any of its Affiliates) with respect to such Payment (a “Payment Notice”) or (y) that was not preceded or accompanied by a Payment Notice, it shall be on notice, in each such case, that an error has been made with respect to such Payment. Each Lender and each Issuing Lender agrees that, in each such case, or if it otherwise becomes aware a Payment (or portion thereof) may have been sent in error, such Lender or such Issuing Lender shall promptly notify Administrative Agent of such occurrence and, upon demand from Administrative Agent, it shall promptly, but in no event later than one Business Day thereafter, return to Administrative Agent the amount of any such Payment (or portion thereof) as to which such a demand was made in same day funds, together with interest thereon in respect of each day from and including the date such Payment (or portion thereof) was received by such Lender or such Issuing Lender to the date such amount is repaid to Administrative Agent at the Federal Funds Rate. (c) Each Borrower hereby agrees that (x) in the event an erroneous Payment (or portion thereof) is not recovered from any Lender or such Issuing Lender that has received such Payment (or portion thereof) for any reason, Administrative Agent shall be subrogated to all the rights of such Lender or such Issuing Lender with respect to such amount and (y) an erroneous Payment shall not pay, prepay, repay, discharge or otherwise satisfy any Obligations owed by any Borrower. (d) Each party’s obligations under this Section 9.11 shall survive the resignation or replacement of Administrative Agent or any transfer of rights or obligations by, or the replacement of, a Lender or an Issuing Lender, the termination of the Commitments or the repayment, satisfaction or discharge of all Obligations under any Loan Document. 10. MISCELLANEOUS 10.1 Modifications, Amendments or Waivers. With the written consent of the Required Lenders, the Administrative Agent, acting on behalf of all the Lenders, and the Borrowers, may from time to time enter into written agreements amending or changing any provision of this Agreement or any other Loan Document or the rights of the Lenders or the Borrowers hereunder or thereunder, or may grant written waivers or consents hereunder or thereunder. Any such agreement, waiver or consent made with such written consent shall be effective to bind all the Lenders and the Borrowers; provided, that no such agreement, waiver or consent may be made which will: 10.1.1 Increase of Commitment. Increase the amount of the Revolving Credit Commitment of any Lender hereunder without the consent of such Lender; 10.1.2 Extension of Payment; Reduction of Principal Interest or Fees; Modification of Terms of Payment. Whether or not any Loans are outstanding, extend the Expiration Date or the time for


 
- 67 - payment of principal or interest of any Loan (excluding the due date of any mandatory prepayment of a Loan), the Commitment Fee or any other fee payable to any Lender, or reduce the principal amount of or the rate of interest borne by any Loan or reduce the Commitment Fee or any other fee payable to any Lender, without the consent of each Lender directly affected thereby; 10.1.3 Miscellaneous. Amend Sections 4.2, 4.3, 8.2.4 or this Section 10.1, alter any provision regarding the pro rata treatment of the Lenders or requiring all Lenders to authorize the taking of any action or reduce any percentage specified in the definition of Required Lenders, in each case without the consent of all of the Lenders (other than Defaulting Lenders); provided that no agreement, waiver or consent which would modify the interests, rights or obligations of the Administrative Agent, the Issuing Lender or the Swing Lender may be made without the written consent of the Administrative Agent, the Issuing Lender or the Swing Lender, as applicable. 10.2 No Implied Waivers; Cumulative Remedies. No course of dealing and no delay or failure of the Administrative Agent or any Lender in exercising any right, power, remedy or privilege under this Agreement or any other Loan Document shall affect any other or future exercise thereof or operate as a waiver thereof, nor shall any single or partial exercise thereof preclude any further exercise thereof or of any other right, power, remedy or privilege. The rights and remedies of the Administrative Agent and the Lenders under this Agreement and any other Loan Documents are cumulative and not exclusive of any rights or remedies which they would otherwise have. 10.3 Expenses; Indemnity; Damage Waiver. 10.3.1 Costs and Expenses. The Borrowers agree, jointly and severally, to pay (i) all out-of-pocket expenses incurred by the Administrative Agent and its Affiliates (including the reasonable fees, charges and disbursements of counsel for the Administrative Agent), in connection with the syndication of the credit facilities provided for herein, the preparation, negotiation, execution, delivery and administration of this Agreement and the other Loan Documents or any amendments, modifications or waivers of the provisions hereof or thereof (whether or not the transactions contemplated hereby or thereby shall be consummated), (ii) all out-of-pocket expenses incurred by the Issuing Lender in connection with the issuance, amendment, renewal or extension of any Letter of Credit or any demand for payment thereunder, (iii) all out-of-pocket expenses incurred by the Administrative Agent, any Lender or the Issuing Lender (including the reasonable fees, charges and disbursements of any counsel for the Administrative Agent, any Lender or the Issuing Lender), in connection with the enforcement or protection of its rights (A) in connection with this Agreement and the other Loan Documents, including its rights under this Section, or (B) in connection with the Loans made or Letters of Credit issued hereunder, including all such out-of-pocket expenses incurred during any workout, restructuring or negotiations in respect of such Loans or Letters of Credit, and (iv) all reasonable out-of-pocket expenses of the Administrative Agent’s regular employees and agents engaged periodically to perform audits of the Borrowers’ books, records and business properties. 10.3.2 Indemnification by the Borrowers. Each Borrower shall indemnify the Administrative Agent (and any sub-agent thereof), each Lender and the Issuing Lender, and each Related Party of any of the foregoing Persons (each such Person being called an “Indemnitee”) against, and hold


 
- 68 - each Indemnitee harmless from, any and all losses, claims, damages, liabilities and related expenses (including the fees, charges and disbursements of any counsel for any Indemnitee), incurred by any Indemnitee or asserted against any Indemnitee by any third party arising out of, in connection with, or as a result of (i) the execution or delivery of this Agreement, any other Loan Document or any agreement or instrument contemplated hereby or thereby, the performance or nonperformance by the parties hereto of their respective obligations hereunder or thereunder or the consummation of the transactions contemplated hereby or thereby, (ii) any Loan or Letter of Credit or the use or proposed use of the proceeds therefrom (including any refusal by the Issuing Lender to honor a demand for payment under a Letter of Credit if the documents presented in connection with such demand do not strictly comply with the terms of such Letter of Credit), (iii) breach of representations, warranties or covenants of the any Borrower under the Loan Documents, or (iv) any actual or prospective claim, litigation, investigation or proceeding relating to any of the foregoing, including any such items or losses relating to or arising under Environmental Laws or pertaining to environmental matters, whether based on contract, tort or any other theory, whether brought by a third party or by any Borrower, and regardless of whether any Indemnitee is a party thereto; provided that such indemnity shall not, as to any Indemnitee, be available to the extent that such losses, claims, damages, liabilities or related expenses (x) are determined by a court of competent jurisdiction by final and nonappealable judgment to have resulted from the gross negligence or willful misconduct of such Indemnitee or (y) result from a claim brought by any Borrower against an Indemnitee for breach in bad faith of such Indemnitee’s obligations hereunder or under any other Loan Document, if such Borrower has obtained a final and nonappealable judgment in its favor on such claim as determined by a court of competent jurisdiction. 10.3.3 Reimbursement by Lenders. To the extent that the Borrowers for any reason fails to indefeasibly pay any amount required under Sections 10.3.1 or 10.3.2 to be paid by it to the Administrative Agent (or any sub-agent thereof), the Issuing Lender or any Related Party of any of the foregoing, each Lender severally agrees to pay to the Administrative Agent (or any such sub-agent), the Issuing Lender or such Related Party, as the case may be, such Lender’s Ratable Share (determined as of the time that the applicable unreimbursed expense or indemnity payment is sought) of such unpaid amount, provided that the unreimbursed expense or indemnified loss, claim, damage, liability or related expense, as the case may be, was incurred by or asserted against the Administrative Agent (or any such sub-agent) or the Issuing Lender in its capacity as such, or against any Related Party of any of the foregoing acting for the Administrative Agent (or any such sub-agent) or the Issuing Lender in connection with such capacity. 10.3.4 Waiver of Consequential Damages, Etc. To the fullest extent permitted by applicable Law, no Borrower shall assert, and each hereby waives, any claim against any Indemnitee, on any theory of liability, for special, indirect, consequential or punitive damages (as opposed to direct or actual damages) arising out of, in connection with, or as a result of, this Agreement, any other Loan Document or any agreement or instrument contemplated hereby, the transactions contemplated hereby or thereby, any Loan, or the use of the proceeds thereof. 10.3.5 Payments. All amounts due under this Section shall be payable not later than ten (10) days after demand therefor. 10.4 Holidays. Whenever payment of a Loan to be made or taken hereunder shall be due on a day which is not a Business Day such payment shall be due on the next Business Day (except as


 
- 69 - provided in Section 3.2) and such extension of time shall be included in computing interest and fees, except that the Loans shall be due on the Business Day preceding the Expiration Date if the Expiration Date is not a Business Day. Whenever any action to be made or taken hereunder (other than payment of the Loans) shall be stated to be due on a day which is not a Business Day, such action shall be made or taken on the next following Business Day. 10.5 Notices; Effectiveness; Electronic Communication. 10.5.1 Notices Generally. Except in the case of notices and other communications expressly permitted to be given by telephone (and except as provided in Section 10.5.2), all notices and other communications provided for herein shall be in writing and shall be delivered by hand or overnight courier service, mailed by certified or registered mail or sent by telecopier (i) if to a Lender, to it at its address set forth in its administrative questionnaire, or (ii) if to any other Person, to it at its address set forth on Schedule 1.1(B). Notices sent by hand or overnight courier service, or mailed by certified or registered mail, shall be deemed to have been given when received; notices sent by telecopier shall be deemed to have been given when sent (except that, if not given during normal business hours for the recipient, shall be deemed to have been given at the opening of business on the next Business Day for the recipient). Notices delivered through electronic communications to the extent provided in Section 10.5.2, shall be effective as provided in such Section. 10.5.2 Electronic Communications. Notices and other communications to the Lenders and the Issuing Lender hereunder may be delivered or furnished by electronic communication (including e-mail and Internet or intranet websites) pursuant to procedures approved by the Administrative Agent; provided that the foregoing shall not apply to notices to any Lender or the Issuing Lender if such Lender or the Issuing Lender, as applicable, has notified the Administrative Agent that it is incapable of receiving notices under such Section by electronic communication. The Administrative Agent or the Borrowers may, in its discretion, agree to accept notices and other communications to it hereunder by electronic communications pursuant to procedures approved by it; provided that approval of such procedures may be limited to particular notices or communications. Unless the Administrative Agent otherwise prescribes, (i) notices and other communications sent to an e-mail address shall be deemed received upon the sender’s receipt of an acknowledgement from the intended recipient (such as by the “return receipt requested” function, as available, return e-mail or other written acknowledgement); provided that if such notice or other communication is not sent during the normal business hours of the recipient, such notice or communication shall be deemed to have been sent at the opening of business on the next Business Day for the recipient, and (ii) notices or communications posted to an Internet or intranet website shall be deemed received upon the deemed receipt by the intended recipient at its e-mail address as described in the foregoing clause (i) of notification that such notice or communication is available and identifying the website address therefor. 10.5.3 Change of Address, Etc. Any party hereto may change its address, e-mail address or telecopier number for notices and other communications hereunder by notice to the other parties hereto.


 
- 70 - 10.6 Severability. The provisions of this Agreement are intended to be severable. If any provision of this Agreement shall be held invalid or unenforceable in whole or in part in any jurisdiction, such provision shall, as to such jurisdiction, be ineffective to the extent of such invalidity or unenforceability without in any manner affecting the validity or enforceability thereof in any other jurisdiction or the remaining provisions hereof in any jurisdiction. 10.7 Duration; Survival. All representations and warranties of the Borrowers contained herein or made in connection herewith shall survive the execution and delivery of this Agreement, the completion of the transactions hereunder and Payment In Full. All covenants and agreements of the Borrowers contained herein relating to the payment of principal, interest, premiums, additional compensation or expenses and indemnification, including those set forth in the Notes, Section 4 and Section 10.3, shall survive Payment In Full. All other covenants and agreements of the Borrowers shall continue in full force and effect from and after the date hereof and until Payment In Full. 10.8 Successors and Assigns. 10.8.1 Successors and Assigns Generally. The provisions of this Agreement shall be binding upon, and inure to the benefit of, the parties hereto and their respective successors and assigns permitted hereby, except that no Borrower may assign or otherwise transfer any of its rights or obligations hereunder without the prior written consent of the Administrative Agent and each Lender and no Lender may assign or otherwise transfer any of its rights or obligations hereunder except (i) to an assignee in accordance with the provisions of Section 10.8.2, (ii) by way of participation in accordance with the provisions of Section 10.8.4, or (iii) by way of pledge or assignment of a security interest subject to the restrictions of Section 10.8.6 (and any other attempted assignment or transfer by any party hereto shall be null and void). Nothing in this Agreement, expressed or implied, shall be construed to confer upon any Person (other than the parties hereto, their respective successors and assigns permitted hereby, Participants to the extent provided in Section 10.8.4 and, to the extent expressly contemplated hereby, the Related Parties of each of the Administrative Agent and the Lenders) any legal or equitable right, remedy or claim under or by reason of this Agreement. 10.8.2 Assignments by Lenders. Any Lender may at any time assign to one or more assignees all or a portion of its rights and obligations under this Agreement (including all or a portion of its Commitment and the Loans at the time owing to it); provided that any such assignment shall be subject to the following conditions: (i) Minimum Amounts. (A) in the case of an assignment of the entire remaining amount of the assigning Lender’s Commitment and the Loans at the time owing to it or in the case of an assignment to a Lender, an Affiliate of a Lender or an Approved Fund, no minimum amount need be assigned; and (B) in any case not described in clause (i)(A) of this Section 10.8.2, the aggregate amount of the Commitment (which for this purpose includes Loans outstanding thereunder) or, if the applicable Commitment is not then in effect, the principal outstanding balance of the Loans of the assigning Lender subject to each such assignment (determined as of the date the Assignment and


 
- 71 - Assumption Agreement with respect to such assignment is delivered to the Administrative Agent or, if “Trade Date” is specified in the Assignment and Assumption Agreement, as of the Trade Date) shall not be less than $1,000,000, unless each of the Administrative Agent and, so long as no Event of Default has occurred and is continuing, the Company otherwise consents (each such consent not to be unreasonably withheld or delayed). (ii) Proportionate Amounts. Each partial assignment shall be made as an assignment of a proportionate part of all the assigning Lender’s rights and obligations under this Agreement with respect to the Loan or the Commitment assigned. (iii) Required Consents. No consent shall be required for any assignment except for the consent of the Administrative Agent (which shall not be unreasonably withheld or delayed) and: (A) the consent of the Company (such consent not to be unreasonably withheld or delayed) shall be required unless (x) an Event of Default has occurred and is continuing at the time of such assignment or (y) such assignment is to a Lender, an Affiliate of a Lender or an Approved Fund; provided that the Company shall be deemed to have consented to any such assignment unless it shall object thereto by written notice to the Administrative Agent within five (5) Business Days after having received notice thereof; and (B) the consent of the Issuing Lender (such consent not to be unreasonably withheld or delayed) shall be required for any assignment that increases the obligation of the assignee to participate in exposure under one or more Letters of Credit (whether or not then outstanding). (iv) Assignment and Assumption Agreement. The parties to each assignment shall execute and deliver to the Administrative Agent an Assignment and Assumption Agreement, together with a processing and recordation fee of $3,500, and the assignee, if it is not a Lender, shall deliver to the Administrative Agent an administrative questionnaire provided by the Administrative Agent. (v) No Assignment to Certain Persons. No such assignment shall be made to (A) a Borrower or any of a Borrower’s Affiliates or Subsidiaries or (B) any Defaulting Lender or any of its Subsidiaries, or any Person who, upon becoming a Lender hereunder, would constitute a Defaulting Lender or a Subsidiary thereof. (vi) No Assignment to Natural Persons. No such assignment shall be made to a natural person (or a holding company, investment vehicle or trust for, or owned and operated for the primary benefit of, a natural person). Subject to acceptance and recording thereof by the Administrative Agent pursuant to Section 10.8.3, from and after the effective date specified in each Assignment and Assumption Agreement, the assignee thereunder shall be a party to this Agreement and, to the extent of the interest assigned by such Assignment and Assumption Agreement, have the rights and obligations of a Lender under this Agreement, and the assigning Lender thereunder shall, to the extent of the interest assigned by such Assignment and Assumption Agreement, be released from its obligations under this Agreement (and, in the case of an Assignment and Assumption Agreement covering all of the assigning Lender’s rights and obligations under this Agreement, such Lender shall cease to be a party hereto) but shall continue to be entitled to the benefits of Sections 3.4, 4.7, and 10.3 with respect to facts and circumstances occurring prior to the effective date of such assignment. Any


 
- 72 - assignment or transfer by a Lender of rights or obligations under this Agreement that does not comply with this Section 10.8.2 shall be treated for purposes of this Agreement as a sale by such Lender of a participation in such rights and obligations in accordance with Section 10.8.4. 10.8.3 Register. The Administrative Agent, acting solely for this purpose as an agent of the Borrowers, shall maintain a record of the names and addresses of the Lenders, and the Commitments of, and principal amounts of the Loans owing to, each Lender pursuant to the terms hereof from time to time. Such register shall be conclusive, and the Borrowers, the Administrative Agent and the Lenders may treat each Person whose name is in such register pursuant to the terms hereof as a Lender hereunder for all purposes of this Agreement, notwithstanding notice to the contrary. Such register shall be available for inspection by the Borrowers and any Lender, at any reasonable time and from time to time upon reasonable prior notice. 10.8.4 Participations. Any Lender may at any time, without the consent of, or notice to, the Company or the Administrative Agent, sell participations to any Person (other than a natural person, or a holding company, investment vehicle or trust for, or owned and operated for the primary benefit of, a natural person, a Defaulting Lender, or a Borrower or any of a Borrower’s Affiliates or Subsidiaries) (each, a “Participant”) in all or a portion of such Lender’s rights and/or obligations under this Agreement (including all or a portion of its Commitment and/or the Loans owing to it); provided that (i) such Lender’s obligations under this Agreement shall remain unchanged, (ii) such Lender shall remain solely responsible to the other parties hereto for the performance of such obligations and (iii) the Borrowers, the Administrative Agent, the Swing Lender, the Issuing Lender and the Lenders shall continue to deal solely and directly with such Lender in connection with such Lender’s rights and obligations under this Agreement. Any agreement or instrument pursuant to which a Lender sells such a participation shall provide that such Lender shall retain the sole right to enforce this Agreement and to approve any amendment, modification or waiver of any provision of this Agreement; provided that such agreement or instrument may provide that such Lender will not, without the consent of the Participant, agree to any amendment, modification or waiver with respect to Sections 10.1.1 or 10.1.2). Subject to Section 10.8.5, the each Borrower agrees that each Participant shall be entitled to the benefits of Sections 3.4, 4.7, 4.8 and 4.9 to the same extent as if it were a Lender and had acquired its interest by assignment pursuant to Section 10.8.2. To the extent permitted by Law, each Participant also shall be entitled to the benefits of Section 8.2.3 as though it were a Lender; provided such Participant agrees to be subject to Section 4.3 as though it were a Lender. Each Lender that sells a participation shall, acting solely for this purpose as an agent of the Borrowers, maintain a register on which it enters the name and address of each Participant and the principal amounts (and stated interest) of each Participant’s interest in the Loans or other obligations under the Loan Documents (the “Participant Register”); provided that no Lender shall have any obligation to disclose all or any portion of the Participant Register (including the identity of any Participant or any information relating to a Participant’s interest in any commitments, loans, letters of credit or its other obligations under any Loan Document) to any Person except to the extent that such disclosure is necessary to establish that such commitment, loan, letter of credit or other obligation is in registered form under Section 5f.103-1(c) of the United States Treasury Regulations. The entries in the Participant Register shall be conclusive absent manifest error, and such Lender shall treat each Person whose name is recorded in the Participant Register as the


 
- 73 - owner of such participation for all purposes of this Agreement notwithstanding any notice to the contrary. For the avoidance of doubt, the Administrative Agent (in its capacity as Administrative Agent) shall have no responsibility for maintaining a Participant Register. 10.8.5 Limitations upon Participant Rights Successors and Assigns Generally. A Participant shall not be entitled to receive any greater payment under Sections 4.7, 4.8 or 10.3 than the applicable Lender would have been entitled to receive with respect to the participation sold to such Participant, unless the sale of the participation to such Participant is made with the Borrower’s prior written consent. A Participant that would be a Foreign Lender if it were a Lender shall not be entitled to the benefits of Section 4.8 unless the Company is notified of the participation sold to such Participant and such Participant agrees, for the benefit of the Borrowers, to comply with Section 4.8.4 as though it were a Lender. 10.8.6 Certain Pledges; Successors and Assigns Generally. Any Lender may at any time pledge or assign a security interest in all or any portion of its rights under this Agreement to secure obligations of such Lender, including any pledge or assignment to secure obligations to a Federal Reserve Bank; provided that no such pledge or assignment shall release such Lender from any of its obligations hereunder or substitute any such pledgee or assignee for such Lender as a party hereto. 10.9 Confidentiality. 10.9.1 General. Each of the Administrative Agent, the Issuing Lender and the Lenders agree to maintain the confidentiality of the Information, except that Information may be disclosed (i) to its Affiliates and to its and its Affiliates’ respective partners, directors, officers, employees, agents, advisors and other representatives (it being understood that the Persons to whom such disclosure is made will be informed of the confidential nature of such Information and instructed to keep such Information confidential), (ii) to the extent requested by any regulatory authority purporting to have jurisdiction over it (including any self-regulatory authority, such as the National Association of Insurance Commissioners), (iii) to the extent required by applicable Laws or regulations or by any subpoena or similar legal process, (iv) to any other party hereto, (v) in connection with the exercise of any remedies hereunder or under any other Loan Document or any action or proceeding relating to this Agreement or any other Loan Document or the enforcement of rights hereunder or thereunder, (vi) subject to an agreement containing provisions substantially the same as those of this Section, to (A) any assignee of or Participant in, or any prospective assignee of or Participant in, any of its rights or obligations under this Agreement or (B) any actual or prospective counterparty (or its advisors) to any swap or derivative transaction relating to a Borrower and its obligations, (vii) with the consent of the Company or (viii) to the extent such Information (Y) becomes publicly available other than as a result of a breach of this Section or (Z) becomes available to the Administrative Agent, any Lender, the Issuing Lender or any of their respective Affiliates on a nonconfidential basis from a source other than any Borrower. Any Person required to maintain the confidentiality of Information as provided in this Section shall be considered to have complied with its obligation to do so if such Person has exercised the same degree of care to maintain the confidentiality of such Information as such Person would accord to its own confidential information.


 
- 74 - 10.9.2 Sharing Information With Affiliates of the Lenders. Each Borrower acknowledges that from time to time financial advisory, investment banking and other services may be offered or provided to a Borrower or one or more of its Affiliates (in connection with this Agreement or otherwise) by any Lender or by one or more Subsidiaries or Affiliates of such Lender and each of the Borrowers hereby authorizes each Lender to share any information delivered to such Lender by such Borrower and its Subsidiaries pursuant to this Agreement to any such Subsidiary or Affiliate subject to the provisions of Section 10.9.1. 10.10 Counterparts; Integration; Effectiveness. 10.10.1 Counterparts; Integration; Effectiveness. This Agreement may be executed in counterparts (and by different parties hereto in different counterparts), each of which shall constitute an original, but all of which when taken together shall constitute a single contract. This Agreement and the other Loan Documents, and any separate letter agreements with respect to fees payable to the Administrative Agent, constitute the entire contract among the parties relating to the subject matter hereof and supersede any and all previous agreements and understandings, oral or written, relating to the subject matter hereof including any prior confidentiality agreements and commitments. Except as provided in Section 6, this Agreement shall become effective when it shall have been executed by the Administrative Agent and when the Administrative Agent shall have received counterparts hereof that, when taken together, bear the signatures of each of the other parties hereto. Delivery of an executed counterpart of a signature page of this Agreement by telecopy or e-mail shall be effective as delivery of a manually executed counterpart of this Agreement. 10.11 CHOICE OF LAW; SUBMISSION TO JURISDICTION; WAIVER OF VENUE; SERVICE OF PROCESS; WAIVER OF JURY TRIAL. 10.11.1 Governing Law. This Agreement shall be deemed to be a contract under the Laws of the State of Ohio without regard to its conflict of laws principles. Each standby Letter of Credit issued under this Agreement shall be subject either to the rules of the Uniform Customs and Practice for Documentary Credits, as most recently published by the International Chamber of Commerce (the “ICC”) at the time of issuance (“UCP”) or the rules of the International Standby Practices (ICC Publication Number 590) (“ISP98”), as determined by the Issuing Lender, and each trade Letter of Credit shall be subject to UCP, and in each case to the extent not inconsistent therewith, the Laws of the State of Ohio without regard to is conflict of laws principles. 10.11.2 SUBMISSION TO JURISDICTION. EACH BORROWER IRREVOCABLY AND UNCONDITIONALLY SUBMITS, FOR ITSELF AND ITS PROPERTY, TO THE NONEXCLUSIVE JURISDICTION OF THE STATE AND FEDERAL COURTS OF THE STATE OF OHIO, AND ANY APPELLATE COURT FROM ANY THEREOF, IN ANY ACTION OR PROCEEDING ARISING OUT OF OR RELATING TO THIS AGREEMENT OR ANY OTHER LOAN DOCUMENT, OR FOR RECOGNITION OR ENFORCEMENT OF ANY JUDGMENT, AND EACH OF THE PARTIES HERETO IRREVOCABLY AND UNCONDITIONALLY AGREES THAT ALL CLAIMS IN RESPECT OF ANY SUCH ACTION OR PROCEEDING MAY BE HEARD AND DETERMINED IN SUCH OHIO STATE COURT OR, TO THE FULLEST EXTENT PERMITTED BY APPLICABLE LAW, IN SUCH FEDERAL COURT. EACH OF THE PARTIES HERETO AGREES THAT A FINAL


 
- 75 - JUDGMENT IN ANY SUCH ACTION OR PROCEEDING SHALL BE CONCLUSIVE AND MAY BE ENFORCED IN OTHER JURISDICTIONS BY SUIT ON THE JUDGMENT OR IN ANY OTHER MANNER PROVIDED BY LAW. NOTHING IN THIS AGREEMENT OR IN ANY OTHER LOAN DOCUMENT SHALL AFFECT ANY RIGHT THAT THE ADMINISTRATIVE AGENT, ANY LENDER, THE ISSUING LENDER OR THE SWING LENDER MAY OTHERWISE HAVE TO BRING ANY ACTION OR PROCEEDING RELATING TO THIS AGREEMENT OR ANY OTHER LOAN DOCUMENT AGAINST ANY BORROWER OR ITS PROPERTIES IN THE COURTS OF ANY JURISDICTION. 10.11.3 WAIVER OF VENUE. EACH BORROWER IRREVOCABLY AND UNCONDITIONALLY WAIVES, TO THE FULLEST EXTENT PERMITTED BY APPLICABLE LAW, ANY OBJECTION THAT IT MAY NOW OR HEREAFTER HAVE TO THE LAYING OF VENUE OF ANY ACTION OR PROCEEDING ARISING OUT OF OR RELATING TO THIS AGREEMENT OR ANY OTHER LOAN DOCUMENT IN ANY COURT REFERRED TO IN THIS SECTION 10.11. EACH OF THE PARTIES HERETO HEREBY IRREVOCABLY WAIVES, TO THE FULLEST EXTENT PERMITTED BY APPLICABLE LAW, THE DEFENSE OF AN INCONVENIENT FORUM TO THE MAINTENANCE OF SUCH ACTION OR PROCEEDING IN ANY SUCH COURT AND AGREES NOT ASSERT ANY SUCH DEFENSE. 10.11.4 SERVICE OF PROCESS. EACH PARTY HERETO IRREVOCABLY CONSENTS TO SERVICE OF PROCESS IN THE MANNER PROVIDED FOR NOTICES IN SECTION 10.5. NOTHING IN THIS AGREEMENT WILL AFFECT THE RIGHT OF ANY PARTY HERETO TO SERVE PROCESS IN ANY OTHER MANNER PERMITTED BY APPLICABLE LAW. 10.11.5 WAIVER OF JURY TRIAL. EACH PARTY HERETO HEREBY IRREVOCABLY WAIVES, TO THE FULLEST EXTENT PERMITTED BY APPLICABLE LAW, ANY RIGHT IT MAY HAVE TO A TRIAL BY JURY IN ANY LEGAL PROCEEDING DIRECTLY OR INDIRECTLY ARISING OUT OF OR RELATING TO THIS AGREEMENT OR ANY OTHER LOAN DOCUMENT OR THE TRANSACTIONS CONTEMPLATED HEREBY OR THEREBY (WHETHER BASED ON CONTRACT, TORT OR ANY OTHER THEORY). EACH PARTY HERETO (A) CERTIFIES THAT NO REPRESENTATIVE, ADMINISTRATIVE AGENT OR ATTORNEY OF ANY OTHER PERSON HAS REPRESENTED, EXPRESSLY OR OTHERWISE, THAT SUCH OTHER PERSON WOULD NOT, IN THE EVENT OF LITIGATION, SEEK TO ENFORCE THE FOREGOING WAIVER AND (B) ACKNOWLEDGES THAT IT AND THE OTHER PARTIES HERETO HAVE BEEN INDUCED TO ENTER INTO THIS AGREEMENT AND THE OTHER LOAN DOCUMENTS BY, AMONG OTHER THINGS, THE MUTUAL WAIVERS AND CERTIFICATIONS IN THIS SECTION. 10.12 USA Patriot Act Notice. Each Lender that is subject to the USA Patriot Act and the Administrative Agent (for itself and not on behalf of any Lender) hereby notifies Borrowers that pursuant to the requirements of the USA Patriot Act, it is required to obtain, verify and record information that identifies the Borrowers, which information includes the name and address of Borrowers and other information that will allow such Lender or Administrative Agent, as applicable, to identify the Borrowers in accordance with the USA Patriot Act.


 
- 76 - 10.13 Contractual Recognition of Bail-In . Notwithstanding any other term of any Loan Document or any other agreement, arrangement or understanding between the parties hereto, each party hereto acknowledges and accepts that any liability of any party hereto to any other party hereto under or in connection with the Loan Documents may be subject to Bail-In Action by the relevant Resolution Authority and acknowledges and accepts to be bound by the effect of: (a) any Bail-In Action in relation to any such liability, including (without limitation): i. a reduction, in full or in part, in the principal amount, or outstanding amount due (including any accrued but unpaid interest) in respect of any such liability; ii. a conversion of all, or part of, any such liability into shares or other instruments of ownership that may be issued to, or conferred on, it; and iii. a cancellation of any such liability; and (b) a variation of any term of any Loan Document to the extent necessary to give effect to any Bail-In Action in relation to any such liability. [Remainder of page intentionally left blank]


 
1 IN WITNESS WHEREOF, the parties have caused this Agreement to be executed pursuant to authority duly granted as of the date and year first written above. BORROWERS: CINCINNATI FINANCIAL CORPORATION By: Name: Title: CFC INVESTMENT COMPANY By: Name: Title: /S/ Michael J. Sewell Michael J. Sewell CFO /S/ Michael J. Sewell Michael J. Sewell CFO


 
1 FIFTH THIRD BANK, NATIONAL ASSOCIATION, as Administrative Agent, Lender and Issuing Lender By: Name: Title: /S/ Michael J Schaltz Michael J Schaltz, Jr. Managing Director & SVP


 
1 THE HUNTINGTON NATIONAL BANK, as Lender By: Name: Title: /S/ Michael Kiss Michael Kiss Senior Vice President


 
1 U.S. BANK NATIONAL ASSOCIATION, as Lender By: Name: Title: /S/ Patrick Villani Patrick Villani Vice President


 
1 KEYBANK NATIONAL ASSOCIATION, as Lender By: Name: Title: /S/ Michael G Kousaie Michael G Kousaie Senior Vice President


 
1 ANNEX A to CREDIT AGREEMENT LETTERS OF CREDIT (a) Issuance. (ii) Subject to the terms and conditions of this Agreement, Administrative Agent and Lenders agree to incur, from time to time prior to the Expiration Date, upon the request of any Borrower, for any Borrower’s or any Subsidiary’s account, Letter of Credit Obligations with respect to Letters of Credit issued by Issuing Lender for any Borrower’s or any Subsidiary’s account. Borrowers shall give Administrative Agent at least five Business Days prior written notice requesting the incurrence of any Letter of Credit Obligation. The notice shall be accompanied by a completed Letter of Credit application. Notwithstanding anything contained herein to the contrary, Letter of Credit applications by any Borrower and communications by Administrative Agent and Issuing Lender may be made and transmitted pursuant to electronic codes and security measures mutually agreed upon and established by and between Borrowers and Issuing Lender. Borrowers hereby authorize Issuing Lender and Administrative Agent to accept, act upon, and treat as genuine and original (but without any obligation of Issuing Lender or Administrative Agent to do any of the foregoing) applications, authorizations, and other requests regardless of the manner communicated, including those sent or communicated via overnight courier, certified or non-certified mail, fax, email, electronic code, or phone, so long as Issuing Lender does not have actual knowledge that a particular application, authorization, or other request is not authorized by Borrowers. (iii) Letters of Credit issued hereunder shall constitute utilization of the Commitments. A Letter of Credit shall be issued, extended, reinstated, or otherwise amended only if (and upon issuance, extension, reinstatement or other amendment of each Letter of Credit, Borrowers shall be deemed to represent and warrant that), after giving effect to such issuance, extension, reinstatement or other amendment (i) the aggregate amount of Letter of Credit Obligations shall not at any time exceed $400,000,000 (the “Letter of Credit Sublimit”); (ii) no Lender will exceed its individual Commitment; and (iii) the aggregate amount of all borrowings and Letter of Credit Obligations incurred under this Agreement shall not exceed the total Commitments. (iv) Borrowers are responsible for preparing or approving the text of each Letter of Credit as submitted to and as issued by Issuing Lender and as received by the beneficiary, notwithstanding any drafting recommendations or forms provided by Issuing Lender. Issuing Lender’s recommendation or drafting of text or Issuing Lender’s use or non-use or refusal to use text submitted by a Borrower shall not affect Borrowers’ ultimate responsibility. Borrowers are responsible for Issuing Lender’s failure to apply, or to observe standard practice as applied to, Letter of Credit terms or conditions, and for terms or conditions that (A) are erroneous, ambiguous, inconsistent, insufficient, ineffective, or illegal, (B) require Issuing Lender to respond to a demand in fewer than three Business Days, or (C) require or allow Borrowers to sign, issue, or present a


 
2 document. Notwithstanding anything to the contrary in this Agreement, Issuing Lender’s obligation to issue, amend, or extend the expiration date of a Letter of Credit is subject to its review and approval of the proposed terms of the Letter of Credit (and any amendment thereof) in its sole discretion. Each Borrower represents and warrants to Issuing Lender that Borrower is familiar with, and understands, applicable Law and letter of credit practice. If requested by Issuing Lender, applicable Borrower will execute, deliver, and submit a letter of credit application and reimbursement agreement on Issuing Lender’s standard forms in connection with any request for a Letter of Credit. In the event of any inconsistency between the terms and conditions of this Agreement and the terms and conditions of any such letter of credit application or reimbursement agreement, the terms and conditions of this Agreement will control, for so long as Borrowers and Issuing Lender are subject thereto. Notwithstanding anything to the contrary in this Agreement but subject to Borrowers’ ultimate responsibility as set forth above in this paragraph (a), Issuing Lender’s obligation to issue, amend, or extend the expiration date of a Letter of Credit is subject to its review and approval of the proposed terms of the Letter of Credit (and any amendment thereof) in its sole discretion. (v) Borrowers will notify Issuing Lender in writing no later than three Business Days after any Borrower first becomes aware of any objection any Borrower may have to Issuing Lender’s issuance or amendment of a Letter of Credit, Issuing Lender’s acceptance or rejection of a presentation under any Letter of Credit, or any other action or inaction taken or proposed to be taken by Issuing Lender under or in connection with this Agreement or any other agreement, document, or instrument relating hereto; provided, however, that if Issuing Lender reasonably believes that it is obligated to take any action, including, but not limited to, the payment on a Letter of Credit in a period of time less than three Business Days, Issuing Lender is allowed to take such action without liability to Borrowers. Any Borrower’s failure to give timely and specific notice of objection shall automatically waive Borrowers’ objection, authorize or ratify Issuing Lender’s action or inaction, and absolutely preclude Borrowers from raising the objection as a defense or claim against Issuing Lender (or any Indemnitee). If Issuing Lender approaches a Borrower for a waiver of discrepancies in a presentation, then Borrower must respond within three Business Days. Issuing Lender may treat Borrower’s failure to respond as a waiver of the indicated discrepancies, but need not itself accept Borrower’s implied or express waiver of discrepancies as binding on Issuing Lender. Borrower’s acceptance or retention of any documents presented under or in connection with a Letter of Credit (including, but not limited to, originals or copies of documents sent directly to Borrower) or of any property for which payment is supported by any Letter of Credit shall ratify Issuing Lender’s honor of the relevant presentation and absolutely preclude Borrowers from raising a defense or claim against Issuing Lender (or any Indemnitee) with respect to such honor. (b) Expiration Date. Except for Evergreen Letters of Credit that are subject to the terms and conditions set forth in this paragraph, no Letter of Credit shall have an expiration date that is later than the earlier of (i) one year following the date of issuance thereof (or, in the case of any extension of the expiration date thereof, whether automatic or by amendment, one year after the then-current expiration date of such Letter of Credit) unless otherwise permitted by Issuing Lender (subject to the other provisions of this Agreement) and (ii) the Expiration Date, and neither Administrative Agent nor Lenders


 
3 shall be under any obligation to incur Letter of Credit Obligations in respect of, or purchase or acquire participations in, any Letter of Credit having an expiration date that is later than the Expiration Date. If Borrower so requests in any notice requesting the issuance of a Letter of Credit (or the amendment of an outstanding Letter of Credit), Issuing Lender may, in its sole discretion, agree to issue a Letter of Credit that has automatic extension provisions (each, an “Evergreen Letter of Credit”), provided that any such Evergreen Letter of Credit shall permit Issuing Lender to prevent any such extension at least once in each one-year period (commencing with the date of issuance of such Letter of Credit) by giving prior notice to the beneficiary thereof not later than a day (the “Non-Extension Notice Date”) in each such one-year period to be agreed upon by the applicable Borrower and Issuing Lender at the time such Letter of Credit is issued. Unless otherwise directed by Issuing Lender, Borrowers shall not be required to make a specific request to Issuing Lender for any such extension. Once an Evergreen Letter of Credit has been issued, the Lenders shall be deemed to have authorized (but may not require) Issuing Lender to permit the extension of such Letter of Credit at any time to an expiration date not later than the expiration date permitted under this paragraph. (c) Participations. (i) By the issuance of a Letter of Credit (or an amendment to a Letter of Credit increasing the amount or extending the expiration date thereof), and without any further action on the part of Issuing Lender or the Lenders, Issuing Lender hereby grants to each Lender, and each Lender hereby acquires from Issuing Lender, a participation in such Letter of Credit and the related Letter of Credit Obligations equal to such Lender’s Ratable Share. Each Lender acknowledges and agrees that its obligation to acquire participations pursuant to this paragraph is absolute, unconditional, and irrevocable and shall not be affected by any circumstance whatsoever, including any extension, reinstatement or other amendment of any Letter of Credit or the occurrence and continuance of an Event of Default or reduction or termination of the Commitments. (vi) In consideration and in furtherance of the foregoing, each Lender hereby absolutely, unconditionally, and irrevocably agrees to pay to Administrative Agent, for account of Issuing Lender, such Lender’s Ratable Share of each payment made by Issuing Lender promptly upon the request of Issuing Lender at any time from the time of such payment until such payment is reimbursed by Borrowers or at any time after any reimbursement payment is (vii) including the date such disbursement is made to but excluding the date that Borrowers reimburse Issuing Lender for such disbursement, at a rate increased by 2.0% per annum. Interest accrued pursuant to this paragraph shall be for account of Issuing Lender, except that interest accrued on and after the date of payment by any Lender pursuant to paragraph (c)(ii) above to reimburse Issuing Lender shall be required to be refunded to Borrowers for any reason, including after the Expiration Date. Such payment by each Lender shall be made without any offset, abatement, withholding, or reduction whatsoever (including without limitation any offset, abatement, withholding or reduction relating to or arising out of those matters set forth in paragraph (h) below), and shall be made in the same manner as provided in this Agreement with respect to Revolving Credit


 
4 Loans (and such provisions shall apply, mutatis mutandis, to the payment obligations of the Lenders under this paragraph). Administrative Agent shall promptly pay to Issuing Lender the amounts so received by it from the Lenders. Promptly following receipt by Administrative Agent of any payment from Borrowers pursuant to paragraph (d) below, Administrative Agent shall distribute such payment to Issuing Lender or, to the extent that the Lenders have made payments pursuant to this paragraph to reimburse Issuing Lender, to such Lenders and Issuing Lender as their interests may appear. Any payment made by a Lender pursuant to this paragraph to reimburse Issuing Lender for any payment under a Letter of Credit shall not constitute a Loan and shall not relieve any Borrower of its obligation to reimburse such Letter of Credit payment, unless Borrowers have financed such payment with a Base Rate Loan or Swing Loan in accordance with the terms of this Agreement. (viii) Each Lender acknowledges and agrees that its participation in each Letter of Credit and the related Letter of Credit Obligations will be automatically adjusted to reflect adjustments in such Lender’s Ratable Share from time to time. (ix) The obligations of Lenders under the paragraphs above shall be for the benefit of Administrative Agent and Issuing Lender and may be enforced by Issuing Lender. (d) Reimbursement and Interim Interest. (i) If Issuing Lender shall make any disbursement in respect of a Letter of Credit, Borrowers shall reimburse Issuing Lender by paying to Administrative Agent an amount equal to such disbursement in immediately available U.S. dollars, without withholding, deduction, or setoff, not later than 1:00 p.m. prevailing local time in New York, NY on (i) the Business Day that Borrowers receive notice of Issuing Lender’s disbursement, if such notice is received prior to 10:00 a.m. prevailing local time in new York, NY; or (ii) the Business Day immediately following the day that Borrower receives such notice, if such notice is not received prior to such time, with interest at the rate applicable to Base Rate Loans for the additional calendar day(s) elapsed; provided that, if such disbursement by Issuing Lender is not less than $500,000, Borrowers may, subject to the conditions to borrowing set forth in this Agreement, request that such payment be financed with a Base Rate Loan or Swing Loan in an equivalent amount, and to the extent so financed, Borrowers’ obligation to make such payment shall be discharged and replaced by the resulting Base Rate Loan or Swing Loan. Issuing Lender’s records showing the dates and amounts of payments due and disbursements made shall be presumed correct and complete and, if Borrowers do not object within five Business Days after receiving the information, shall be final. If Borrowers fail to make such payment when due, Administrative Agent shall notify each Lender of the applicable payment under the Letter of Credit, the payment then due from Borrowers in respect thereof, and such Lender’s Ratable Share thereof. (ii) If Borrowers fail to reimburse Issuing Lender for any amount disbursed when due pursuant to paragraph (d)(i) above, then the unpaid amount shall bear interest, for each day from and be for account of such Lender to the extent of such payment.


 
5 (e) Limitations. Issuing Lender shall not be under any obligation to issue any Letter of Credit if: (i) any order, judgment, or decree of any governmental authority or arbitrator shall enjoin or restrain, or purport to enjoin or restrain, Issuing Lender from issuing such Letter of Credit, or request that such Issuing Lender refrain from, or, if in the sole discretion of Issuing Lender, any Law applicable to Issuing Lender shall prohibit the issuance of letters of credit generally or such Letter of Credit in particular, or any such order, judgment or decree, or Law shall impose upon Issuing Lender with respect to such Letter of Credit any restriction, reserve, capital or liquidity requirement (for which Issuing Lender is not otherwise compensated hereunder) not in effect on the Closing Date, or shall impose upon Issuing Lender any unreimbursed loss, cost, or expense that was not applicable on the Closing Date and that Issuing Lender in good faith deems material to it; (ii) the issuance of such Letter of Credit would violate one or more policies of Issuing Lender; (iii) except as otherwise agreed by Administrative Agent and Issuing Lender, such Letter of Credit is in an initial amount less than $250,000; or (iv) any Lender is at that time a Defaulting Lender, unless Issuing Lender has entered into arrangements, including the delivery of Cash Collateral, satisfactory to Issuing Lender (in its sole discretion) with Borrowers or such Lender to eliminate Issuing Lender’s actual or potential fronting exposure (after giving effect to any reallocation under Section 2.12) with respect to the Defaulting Lender arising from either such Letter of Credit then proposed to be issued or such Letter of Credit and all other L/C Obligations as to which Issuing Lender has actual or potential fronting exposure, as it may elect in its sole discretion. Issuing Lender shall be under no obligation to amend any Letter of Credit if (A) Issuing Lender would have no obligation at such time to issue the Letter of Credit in its amended form under the terms hereof, or (B) the beneficiary of the Letter of Credit does not accept the proposed amendment to the Letter of Credit. (f) Cash Collateral. (i) If Borrowers are required to provide cash collateral for any Letter of Credit Obligations pursuant to this Agreement, including Section 2.11 of this Agreement, prior to the Expiration Date, Borrowers will pay to Administrative Agent for the ratable benefit of itself and Lenders cash or cash equivalents acceptable to Administrative Agent (“Cash Collateral”) in an amount equal to 105% of the Letter of Credit Obligations plus accrued and unpaid interest thereon. Such Cash Collateral shall be held by Administrative Agent and pledged to, and subject to the control of, Administrative Agent, for the benefit of Administrative Agent, Lenders, and Issuing Lender. Each Borrower hereby pledges and grants to Administrative Agent, on behalf of itself and Lenders, a security interest in all such Cash Collateral and all proceeds thereof, as security for the payment of all amounts due in respect of the Letter of Credit Obligations and other Obligations, whether or not


 
6 then due. This Agreement, including this paragraph (f)(i), shall constitute a security agreement under applicable Law. (ii) If any Letter of Credit Obligations, whether or not then due and payable, shall for any reason be outstanding on the Expiration Date, Borrowers shall provide Cash Collateral within two Business Days therefor in the manner described, and subject to the terms and conditions as set forth, above. (iii) From time to time after funds are deposited as Cash Collateral by Borrowers, whether before or after the Expiration Date, Administrative Agent may apply such funds then held by it to the payment of any amounts, and in such order as Administrative Agent may elect, as shall be or shall become due and payable by Borrowers to Administrative Agent and Lenders with respect to such Letter of Credit Obligations of Borrowers and, upon the satisfaction in full of all Letter of Credit Obligations of Borrowers, to any other Obligations then due and payable. (iv) Neither Borrower nor any Person claiming on behalf of or through any Borrower shall have any right to withdraw any of the Cash Collateral, except that upon the termination of all Letter of Credit Obligations (which requires the return of all original Letters of Credit) and the payment of all amounts payable by Borrowers to Administrative Agent and Lenders in respect thereof, any remaining Cash Collateral shall be applied to other Obligations then due and owing and upon payment in full of such Obligations any remaining amount shall be paid to Borrowers or as otherwise required by Law. Interest earned, if any, on Cash Collateral shall be held as additional collateral. (g) Fees and Expenses. In addition to the Letter of Credit Fees payable pursuant to Section 2.8 of this Agreement, Borrowers shall pay to Issuing Lender, on demand, such Letter of Credit Fees as are set forth from time to time in Issuing Lender’s Fee schedule for letters of credit. Each Borrower acknowledges that Issuing Lender may modify such Fee schedule at any time and will communicate such new Fee schedule information to Borrowers as required in the notice provision hereunder. Such new Fees will be effective 30 days after such notice and shall apply as of such date to all existing and future Letters of Credit issued by Issuing Lender. In the event of any inconsistency between the Fees set forth in this Agreement and the Fees set forth in such Fee schedule, the Fees set forth in this Agreement will control. (h) Obligations Absolute. The obligation of Borrowers to reimburse Issuing Lender, Administrative Agent, and Lenders for payments made with respect to any Letter of Credit Obligation shall be absolute, unconditional, and irrevocable, and not subject to abatement, reduction, withholding, deduction, deferment, interruption, recoupment, or other right (whether legal, equitable, or otherwise) for any reason whatsoever, without necessity of presentment, demand, protest, or other formalities, and the obligations of each Lender to make payments to Administrative Agent with respect to Letters of Credit shall be absolute, unconditional, and irrevocable. Such obligations of Borrowers and Lenders shall be paid strictly in accordance with the terms hereof under all circumstances, including and/or despite any of the following: (i) any lack of validity or enforceability of any Letter of Credit or this Agreement or the other Loan Documents or any other agreement;


 
7 (ii) the existence of any claim, setoff, defense (including suretyship), or other right that any Borrower or any of its Affiliates or any Lender may at any time have against a beneficiary or any transferee of any Letter of Credit (or any Persons or entities for whom any such transferee may be acting), Administrative Agent, any Lender, or any other Person, whether in connection with this Agreement, the Letter of Credit, the transactions contemplated herein or therein, or any unrelated transaction (including any underlying transaction between any Borrower or any of its Affiliates and the beneficiary for which the Letter of Credit was procured); (iii) any draft, demand, certificate or any other document presented under any Letter of Credit proving to be forged, fraudulent, invalid, or insufficient in any respect, or any statement therein being untrue or inaccurate in any respect; (iv) payment by Administrative Agent or Issuing Lender under any Letter of Credit or guaranty thereof against presentation of a demand, draft, certificate, or other document that does not comply with the terms of such Letter of Credit or such guaranty; (v) the fact that a Potential Default or an Event of Default has occurred and is continuing; (vi) any bankruptcy, insolvency, receivership, reorganization, or similar proceeding discharging or otherwise affecting Borrowers or any of their Affiliates; (vii) Administrative Agent’s, Issuing Lender’s, or any other Lender’s rights and remedies with respect to any collateral; (viii) Borrowers’ claims, rights, or remedies against any of their Affiliates; (ix) Administrative Agent’s, Issuing Lender’s, or any other Lender’s waiver or release of any obligation of Borrowers; (x) any amendment, supplement, restatement, or renewal of this Agreement or any other agreement, document, or instrument relating hereto; (xi) any loss or damage to any collateral; (xii) the failure of any lien or security interest in favor of Administrative Agent (for the benefit of the Lenders) to attach, be perfected or recorded, or remain perfected or recorded; (xiii) Administrative Agent’s release of any collateral, or taking of additional collateral; or (xiv) any other circumstance or event whatsoever, whether or not similar to any of the foregoing, that might, but for the provisions of this section, constitute a legal


 
8 or equitable discharge of, or provide a right of setoff against, Borrowers’ obligations hereunder, and each Borrower waives any and all rights with respect to all of the foregoing. (i) Issuing Lender Discretion. (i) For Borrowers’ account, Issuing Lender may at any time provide in a Letter of Credit or otherwise agree to do or do the following: (A) send the Letter of Credit via the Society for Worldwide Interbank Financial Telecommunication (“SWIFT”) network and bind Borrowers directly and as an indemnifier to the rules applicable to SWIFT messages (including, but not limited to, rules obligating Borrowers or Issuing Lender to pay bank charges); (B) assert, waive, or, with any necessary consent from the beneficiary or other person or entity, amend any provision in the Letter of Credit or applicable practice that primarily concerns issuer operations including, but not limited to, (A) identification of the Letter of Credit in any presentation, (B) marking of the Letter of Credit to reflect a transfer, payment, or other action, (C) specification of the business days and hours, manner, and place for Issuing Lender receiving a presentation, effecting honor, and giving notice of dishonor under the Letter of Credit, (D) duration of the period(s) for examination, approaching any Borrower for a waiver, or sending a notice of refusal, (E) disposition of the beneficiary’s documents after dishonor or while approaching any Borrower for a waiver, and (F) replacement of a lost Letter of Credit or recognition of a successor beneficiary; (C) discount an accepted draft or deferred payment undertaking incurred under the Letter of Credit, at the request of the beneficiary or other third party, without affecting the amount or due date of Borrowers’ obligations to reimburse or pay fees to Issuing Lender; (D) select any branch, bank office, or Issuing Lender affiliate or any other bank or financial institution or affiliate for issuing, advising, transferring, confirming, and/or nominating bank or person or entity under the law and practice of the place where it acts (if the Letter of Credit permits advice, transfer, confirmation, and/or nomination) to act under contract with Issuing Lender as a letter of credit processing agent for Issuing Lender in Issuing Lender’s issuance of the Letter of Credit or processing of demands or in any other action that Issuing Lender is required or permitted to take under the Letter of Credit; (E) accept documents that appear on their face to be in substantial compliance with the terms and conditions of a Letter of Credit without responsibility for further investigation and disregarding any information or data outside of the face of the documents, regardless of any notice or information to the contrary, and may honor and make payment upon any presentation that appears on its face to substantially comply with the terms and conditions of a Letter of Credit, whether or not the Letter of Credit requires strict compliance and without regard to any non-documentary condition in such Letter of Credit (including, but not limited to, honor of a draft that is non-negotiable


 
9 or informal, honor up to the amount available under the Letter of Credit of a demand claiming more than that amount, honor of a draft or other document that lacks a reference to the Letter of Credit, honor of a presentation of documents that include inconsistent extraneous data, and allowance of a grace period of one business day for timing requirements under the Letter of Credit); (F) decline to accept any documents and make payment if such documents are not in strict compliance with the terms and conditions of a Letter of Credit; (G) provide for or submit to arbitration, mediation, DOCDEX (the ICC Banking Commission’s informal dispute resolution service), or the like for the resolution of some or all disputes with the beneficiary or other person or entity; and (H) replace a purportedly lost, stolen, or destroyed original Letter of Credit or amendment thereto with a replacement marked as such or waive a requirement for its presentation (x) Unless specifically committed to do so in a writing signed by Issuing Lender, Issuing Lender is not required to issue any Letter of Credit amendment. If the Letter of Credit may be extended or terminated by a notice given or other action taken by Issuing Lender (with or without the passage of time), then, whether or not requested to do so by Borrower, Issuing Lender shall have the right to give such notice or take such action, to fail or refuse to do so, or to fail to retain proof of doing so. If Issuing Lender gives such notice or takes such action at Borrowers’ request, then applicable Borrower shall obtain the beneficiary’s acknowledgement and, in the case of Letter of Credit termination, return the original Letter of Credit. If Issuing Lender fails or refuses to give notice of non- extension or termination at Borrowers’ timely written request, then Issuing Lender’s Letter of Credit Fees shall be calculated as if Issuing Lender had given such notice or taken such action. (xi) If the beneficiary or another person or entity claims that Issuing Lender has wrongfully repudiated or dishonored a Letter of Credit, then Issuing Lender shall have the right to defend or settle the claim, with or without joining any Borrower in any proceeding or negotiation and without regard to whether the claimant asserts that Issuing Lender is precluded from relying on a valid defense. Each Borrower shall have the obligation to mitigate damages and, if Issuing Lender pays or settles a claim then each Borrower will reimburse, indemnify, account for any benefits, and cooperate with Issuing Lender as subrogee. (iv) Issuing Lender’s actions in one or more instances shall not waive its right, with or without notice to Borrowers, to use its discretion differently in other similar instances and shall not establish a course of conduct on which Borrowers may rely in any other instances under the same or other Letter of Credit. (j) Indemnification; Nature of Duties. (i) In addition to amounts payable as elsewhere provided in this Agreement, each Borrower hereby agrees to pay and to protect, indemnify, and save


 
10 harmless Administrative Agent, Issuing Lender, and each Lender, and each other Indemnitee, from and against any and all claims, demands, liabilities, damages, losses, costs, charges, and expenses (including reasonable attorneys’ fees and allocated costs of internal and external counsel) that Administrative Agent, Issuing Lender, or any Lender may incur or be subject to as a consequence, direct or indirect, of (A) the issuance of any Letter of Credit or guaranty thereof, (B) the failure of Administrative Agent or any Lender seeking indemnification or of Issuing Lender to honor a demand for payment under any Letter of Credit or guaranty thereof as a result of any act or omission, whether rightful or wrongful, of any present or future de jure or de facto government or governmental authority, (C) arising from or incurred in connection with any breach of a representation, warranty, or covenant by any Borrower; (D) arising out of or resulting from any suit, action, claim, proceeding, or governmental investigation, pending or threatened, whether based on statute, regulation, or order, or tort, or contract, or otherwise, before any court or governmental authority (and irrespective of who may be the prevailing party); (E) arising out of or in connection with any payment or action taken in connection with any Letter of Credit, including, without limitation, any action or proceeding seeking to restrain any drawing under a Letter of Credit or to compel or restrain any payment or any other action under a Letter of Credit or this Agreement (and irrespective of who may be the prevailing party); or (F) arising out of or in connection with any act or omission of any governmental authority or other cause beyond the Indemnitee’s reasonable control; except in each case to the extent such claim, liability, loss, damage, tax, penalty, interest, judgment, cost, or expense is found to have resulted from the gross negligence or willful misconduct of an Indemnitee (as finally determined by a court of competent jurisdiction in a non-appealable matter). (ii) As between Administrative Agent, Issuing Lender, and any Lender and Borrowers, Borrowers assume all risks of the acts and omissions of, or misuse of any Letter of Credit by, beneficiaries of any Letter of Credit. In furtherance and not in limitation of the foregoing, to the fullest extent permitted by Law, none of Administrative Agent, Issuing Lender, or any Lender shall be responsible for: (A) the form, validity, sufficiency, accuracy, genuineness, or legal effect of any document issued by any party in connection with the application for and issuance of any Letter of Credit, even if it should in fact prove to be in any or all respects invalid, insufficient, inaccurate, fraudulent, or forged; (B) the validity or sufficiency of any instrument transferring or assigning or purporting to transfer or assign any Letter of Credit or the rights or benefits thereunder or proceeds thereof, in whole or in part, that may prove to be invalid or ineffective for any reason; (C) failure of the beneficiary of any Letter of Credit to comply fully and strictly with the conditions required in order to demand payment under such Letter of Credit; (D) errors, omissions, interruptions, or delays in transmission or delivery of any messages, by mail, cable, telegraph, telex, or otherwise, whether or not they may be in cipher; (E) errors in interpretation of technical terms; (F) any loss or delay in the transmission or otherwise of any document required in order to make a payment under any Letter of Credit or guaranty thereof or of the proceeds thereof; (G) the credit of the proceeds of any drawing under any Letter of Credit or guaranty thereof; and (H) any consequences arising from causes beyond the control of Administrative Agent, Issuing Lender, or any Lender. None of the above shall affect, impair, or prevent the vesting of any of Administrative Agent’s, Issuing Lender’s, or any Lender’s rights or powers hereunder or under this Agreement.


 
11 (iii) Limitations on Remedies. (A) Nothing contained herein shall be deemed to limit or to expand any waivers, covenants, or indemnities made by Borrowers in favor of Issuing Lender in any letter of credit application, reimbursement agreement, or similar document, instrument, or agreement between any Borrower and Issuing Lender. (B) EXCEPT AS MAY BE EXPRESSLY PROVIDED IN THIS AGREEMENT, NEITHER ISSUING LENDER NOR ANY OTHER INDEMNITEE SHALL BE LIABLE TO ANY BORROWER IN CONTRACT, TORT, OR OTHERWISE FOR ANY SPECIAL, INDIRECT, CONSEQUENTIAL, OR PUNITIVE DAMAGES. (C) Borrowers must take action to avoid and reduce the amount of damages claimed against Issuing Lender (or other Indemnitee, as applicable). (D) Borrowers’ aggregate remedies against Issuing Lender for honoring a presentation or retaining honored documents in breach of Issuing Lender’s obligations to Borrowers (whether arising under this Agreement, any other agreement, document, or instrument relating hereto, applicable letter of credit practice or law, or any other applicable law) are limited to the aggregate amounts paid by Borrowers to Issuing Lender with respect to the honored presentation. (E) In any dispute or litigation between Borrowers and Issuing Lender, Borrowers shall pay Issuing Lender’s reasonable attorneys’ fees, expert witness fees, and other expenses of litigation or dispute resolution, unless Borrowers obtain a non-appealable award for damages against Issuing Lender, as so ordered by a court of competent jurisdiction. If Borrowers prevail in an action based on forgery or fraud of the beneficiary or other presenter, this does not relieve Borrowers from their obligation to pay Issuing Lender’s fees and expenses in contesting the entry or maintenance of injunctive relief. (iv) Issuing Lender shall act on behalf of the Lenders with respect to any Letters of Credit issued by it and the documents associated therewith, and Issuing Lender shall have all of the benefits and immunities (A) provided to Administrative Agent in Section 11.6 of this Agreement with respect to any acts taken or omissions suffered by Issuing Lender in connection with Letters of Credit issued by it or proposed to be issued by it and Letter of Credit documents pertaining to such Letters of Credit as fully as if the term “Administrative Agent” as used in Section 11.6 of this Agreement included Issuing Lender with respect to such acts or omissions, and (B) as additionally provided herein with respect to Issuing Lender. (v) Borrowers, Administrative Agent, and Lenders each agree that, in the absence of gross negligence or willful misconduct on the part of Issuing Lender (as finally determined by a court of competent jurisdiction), Issuing Lender will be deemed to have exercised


 
12 care in determining whether drafts and other documents presented under a Letter of Credit comply with the terms thereof. (k) Letters of Credit Issued for account of Subsidiaries. Notwithstanding that a Letter of Credit issued or outstanding hereunder is in support of any obligations of, or is for the account of, a Subsidiary, Borrowers shall be obligated as a primary obligor as set forth herein for any and all drawings under such Letter of Credit, and irrevocably waives any defenses that might otherwise be available to it as a guarantor or surety of the obligations of such Subsidiary. Each Borrower hereby acknowledges that the issuance of Letters of Credit for the account of Subsidiaries inures to the benefit of Borrowers, and that Borrowers’ business derives substantial benefits from the businesses of such Subsidiaries. To the extent that any Letter of Credit is issued for the account of any Subsidiary of any Borrower, each Borrower agrees that (i) such Subsidiary shall have no rights against Issuing Lender, Administrative Agent, or any Lender and any Borrower shall hold Issuing Lender, Administrative Agent and any such Lender harmless with respect to any claim or other attempted exercise of rights by such Subsidiary against any of them, (ii) Borrowers shall be responsible for the obligations in respect of such Letter of Credit under this Agreement and any application or reimbursement agreement, (iii) Borrowers shall have the sole right to give instructions and make agreements with respect to this Agreement and the Letter of Credit, and the disposition of documents related thereto, and (iv) Borrowers shall have all powers and rights in respect of any security arising in connection with the Letter of Credit and the transactions related thereto. Borrowers shall, at the request of Issuing Lender, cause such Subsidiary to execute and deliver an agreement confirming the terms specified in the immediately preceding sentence and acknowledging that it is bound thereby. (l) Rules of Practice. Unless otherwise expressly agreed by Issuing Lender and applicable Borrower when a Letter of Credit is issued by it, (i) the rules of the International Standby Practices, ICC Publication No. 590 (as amended, supplemented, restated, and/or republished from time to time, the “ISP”) shall apply to each standby Letter of Credit, and (ii) the rules of the Uniform Customs and Practice for Documentary Credits, International Chamber of Commerce Publication No. 600 (as amended, supplemented, restated, and/or republished from time to time, the “UCP”) shall apply to each commercial Letter of Credit. Notwithstanding the foregoing, Issuing Lender shall not be responsible to Borrowers for, and Issuing Lender’s rights and remedies against Borrowers shall not be impaired by, any action or inaction of Issuing Lender required or permitted under any law, order, or practice that is required or permitted to be applied to any Letter of Credit or this Agreement, including the Laws or any order of a jurisdiction where Issuing Lender, the beneficiary, or any advising, transferring, confirming, or nominated bank or person or entity is located, the practice stated in the ISP or UCP, as applicable, or in the decisions, opinions, practice statements, or official commentary of the International Chamber of Commerce Banking Commission, the Bankers Association for Finance and Trade, or the Institute of International Banking Law & Practice, whether or not any Letter of Credit chooses such laws or practice rules. (m) Survival. The provisions of this Annex A shall survive the payment of the Obligations (both with respect to any Lender and all Lenders collectively), any termination of this Agreement, and the assignment of any rights hereunder.


 
1 SCHEDULE 1.1(A) PRICING GRID-- VARIABLE PRICING AND FEES BASED ON DEBT RATINGS Level Debt Rating Commitment Fee (bps) Revolving Credit Base Rate Spread (bps) Revolving Credit Term SOFR Rate Spread and Letter of Credit Fee (bps) I A+ / A1 or better 6.0 0.0 69.0 II A / A2 8.0 0.0 75.0 III A- / A3 10.0 0.0 87.5 IV BBB+ / Baa1 12.5 0.0 100.0 V Less than or equal to BBB / Baa2 15.0 12.5 112.5 For purposes of determining the Applicable Margin, the Commitment Fee and the Letter of Credit Fee: (a) “Debt Rating” shall mean, as of any date of determination, the rating as determined by either Standard & Poor or Moody’s (collectively, the “Debt Ratings”) of the Company’s non- credit-enhanced, senior unsecured long-term debt; provided that (a) if the respective Debt Ratings issued by the foregoing rating agencies differ by one level, then the Pricing Level for the higher of such Debt Ratings shall apply (with the Debt Rating for Pricing Level I being the highest and the Debt Rating for Pricing Level V being the lowest); (b) if there is a split in Debt Ratings of more than one level, then the Pricing Level that is one level higher than the Pricing Level of the lower Debt Rating shall apply; (c) if the Company has only one Debt Rating, then the Pricing Level for such Debt Rating shall apply; and (d) if the Company does not have any Debt Rating, Pricing Level 5 shall apply. (b) Initially, the Applicable Margin shall be determined based upon the Debt Rating specified in the certificate delivered pursuant to Section 6.1.1(vi). Thereafter, each change in the Applicable Margin resulting from a publicly announced change in the Debt Rating shall be effective during the period commencing on the date of the public announcement thereof and ending on the date immediately preceding the effective date of the next such change.


 
SCHEDULE 1.1(B) COMMITMENTS OF LENDERS AND ADDRESSES FOR NOTICES Lender Commitment Ratable Share FIFTH THIRD BANK, NATIONAL ASSOCIATION 38 Fountain Square Plaza Cincinnati, OH 45263 Attention: Agency Services Email: [******]@53.com $125,000,000.00 31.25% THE HUNTINGTON NATIONAL BANK 41 South High Street-HC0845 Columbus, OH 43215 Attention: Josh Elsea Email: [******]@Huntington.com $125,000,000.00 31.25% US BANK, NATIONAL ASSOCIATION 777 E. Wisconsin Avenue Milwaukee, WI 53202 Attention: Bonnie Wiskowski Email: [******]@usbank.com $75,000,000.00 18.75% KEYBANK NATIONAL ASSOCIATION 127 Public Square Cleveland, Ohio 44114 Attention: Michael Kousaie Email: [******]@key.com $75,000,000.00 18.75% Total: $400,000,000.00 100.00% Email addresses have been excluded in accordance with Reg S-K Item 601(a)(6).


 
2 Addresses for Notices to Administrative Agent and Borrowers: ADMINISTRATIVE AGENT: Fifth Third Bank, National Association, as Administrative Agent Fifth Third Center 38 Fountain Square Plaza Cincinnati, Ohio 45263 Email: Agency.Services@53.com Attention: Agency Services BORROWERS: Cincinnati Financial Corporation 6200 S. Gilmore Road Fairfield, Ohio 45014 Attention: Michael J. Sewell and Michael A. Burke, Esq. Telephone: (513) 870-2000 Telecopy: (513) 881-8890


 
SCHEDULE 1.1(P) PERMITTED LIENS None.


 
SCHEDULE 5.1.2 SUBSIDIARIES Cincinnati Financial Corporation, an Ohio corporation, owns 100 percent of the equity of: 1) The Cincinnati Insurance Company, an Ohio corporation, which owns 100 percent of the equity of: a. The Cincinnati Casualty Company, an Ohio corporation b. The Cincinnati Indemnity Company, an Ohio corporation c. The Cincinnati Life Insurance Company, an Ohio corporation d. The Cincinnati Specialty Underwriters Insurance Company, a Delaware corporation 2) CFC Investment Company, an Ohio corporation 3) CSU Producer Resources, Inc., an Ohio corporation 4) Cincinnati Global Underwriting Limited, an entity incorporated in England and Wales


 
SCHEDULE 5.1.10 INTELLECTUAL PROPERTY None.


 
Form of Assignment and Assumption EXHIBIT 1.1(A) ASSIGNMENT AND ASSUMPTION AGREEMENT This Assignment and Assumption (the “Assignment and Assumption”) is dated as of the Effective Date set forth below and is entered into by and between [the][each]1 Assignor identified in item 1 below ([the][each, an] “Assignor”) and [the][each]2 Assignee identified in item 2 below ([the][each, an] “Assignee”). [It is understood and agreed that the rights and obligations of [the Assignors][the Assignees]3 hereunder are several and not joint.]4 Capitalized terms used but not defined herein shall have the meanings given to them in the Credit Agreement identified below (as amended, the “Credit Agreement”), receipt of a copy of which is hereby acknowledged by [the][each] Assignee. The Standard Terms and Conditions set forth in Annex 1 attached hereto are hereby agreed to and incorporated herein by reference and made a part of this Assignment and Assumption as if set forth herein in full. For an agreed consideration, [the][each] Assignor hereby irrevocably sells and assigns to [the Assignee][the respective Assignees], and [the][each] Assignee hereby irrevocably purchases and assumes from [the Assignor][the respective Assignors], subject to and in accordance with the Standard Terms and Conditions and the Credit Agreement, as of the Effective Date inserted by the Administrative Agent as contemplated below (i) all of [the Assignor’s][the respective Assignors’] rights and obligations in [its capacity as a Lender][their respective capacities as Lenders] under the Credit Agreement and any other documents or instruments delivered pursuant thereto to the extent related to the amount and percentage interest identified below of all of such outstanding rights and obligations of [the Assignor][the respective Assignors] under the respective facilities identified below (including without limitation any letters of credit, guarantees, and swingline loans included in such facilities), and (ii) to the extent permitted to be assigned under applicable law, all claims, suits, causes of action and any other right of [the Assignor (in its capacity as a Lender)][the respective Assignors (in their respective capacities as Lenders)] against any Person, whether known or unknown, arising under or in connection with the Credit Agreement, any other documents or instruments delivered pursuant thereto or the loan transactions governed thereby or in any way based on or related to any of the foregoing, including, but not limited to, contract claims, tort claims, malpractice claims, statutory claims and all other claims at law or in equity related to the rights and obligations sold and assigned pursuant to clause (i) above (the rights and obligations sold and assigned by [the][any] Assignor to [the][any] Assignee pursuant to clauses (i) and (ii) above being referred to herein collectively as [the][an] “Assigned Interest”). Each such sale and assignment is without recourse to [the][any] Assignor and, except as expressly provided in this Assignment and Assumption, without representation or warranty by [the][any] Assignor. 1 For bracketed language here and elsewhere in this form relating to the Assignor(s), if the assignment is from a single Assignor, choose the first bracketed language. If the assignment is from multiple Assignors, choose the second bracketed language. 2 For bracketed language here and elsewhere in this form relating to the Assignee(s), if the assignment is to a single Assignee, choose the first bracketed language. If the assignment is to multiple Assignees, choose the second bracketed language. 3 Select as appropriate. 4 Include bracketed language if there are either multiple Assignors or multiple Assignees.


 
Form of Assignment and Assumption 1. Assignor[s]: ________________________________ ________________________________ [Assignor [is] [is not] a Defaulting Lender] 2. Assignee[s]: ________________________________ [for each Assignee, indicate [Affiliate][Approved Fund] of [identify Lender]] 3. Borrower(s): Cincinnati Financial Corporation and CFC Investment Company 4. Administrative Agent: Fifth Third Bank, National Association, as the Administrative Agent under the Credit Agreement 5. Credit Agreement: The Credit Agreement dated as of October 10, 2025 (as amended, supplemented or otherwise modified from time to time) among the Borrowers, the Administrative Agent and the Lenders party thereto 6. Assigned Interest[s]: Assignor[s]5 Assignee[s]6 Aggregate Amount of Commitment/ Loans for all Lenders7 Amount of Commitment/ Loans Assigned8 Percentage Assigned of Commitment/ Loans8 $ $ $ $ $ $ $ $ $ [7. Trade Date: ______________]9 [Page break] 5 List each Assignor, as appropriate. 6 List each Assignee, as appropriate. 7 Amount to be adjusted by the counterparties to take into account any payments or prepayments made between the Trade Date and the Effective Date. 8 Set forth, to at least 9 decimals, as a percentage of the Commitment/Loans of all Lenders thereunder. 9 To be completed if the Assignor(s) and the Assignee(s) intend that the minimum assignment amount is to be determined as of the Trade Date.


 
Form of Assignment and Assumption Effective Date: _____________ ___, 20___ [TO BE INSERTED BY ADMINISTRATIVE AGENT AND WHICH SHALL BE THE EFFECTIVE DATE OF RECORDATION OF TRANSFER IN THE REGISTER THEREFOR.] The terms set forth in this Assignment and Assumption are hereby agreed to: ASSIGNOR[S] [NAME OF ASSIGNOR] By: ____________________________________ Title: _______________________________ ASSIGNEE[S] [NAME OF ASSIGNEE] By: ____________________________________ Title: _______________________________ [NAME OF ASSIGNEE] By: ____________________________________ Title: _______________________________ [Consented to and]10 Accepted: FIFTH THIRD BANK, NATIONAL ASSOCIATION, as Administrative Agent By: ____________________________________ Title: [Consented to:]11 [NAME OF RELEVANT PARTY] By: ____________________________________ Title: 10 To be added only if the consent of the Administrative Agent is required by the terms of the Credit Agreement. 11 To be added only if the consent of the Borrower is required by the terms of the Credit Agreement.


 
Form of Assignment and Assumption ANNEX 1 [__________________]12 STANDARD TERMS AND CONDITIONS FOR ASSIGNMENT AND ASSUMPTION 1. Representations and Warranties. 1.1 Assignor[s]. [The][Each] Assignor (a) represents and warrants that (i) it is the legal and beneficial owner of [the][the relevant] Assigned Interest, (ii) [the][such] Assigned Interest is free and clear of any lien, encumbrance or other adverse claim, (iii) it has full power and authority, and has taken all action necessary, to execute and deliver this Assignment and Assumption and to consummate the transactions contemplated hereby and (iv) it is [not] a Defaulting Lender; and (b) assumes no responsibility with respect to (i) any statements, warranties or representations made in or in connection with the Credit Agreement or any other Loan Document13, (ii) the execution, legality, validity, enforceability, genuineness, sufficiency or value of the Loan Documents or any collateral thereunder, (iii) the financial condition of the Borrower, any of its Subsidiaries or Affiliates or any other Person obligated in respect of any Loan Document, or (iv) the performance or observance by the Borrower, any of its Subsidiaries or Affiliates or any other Person of any of their respective obligations under any Loan Document. 1.2. Assignee[s]. [The][Each] Assignee (a) represents and warrants that (i) it has full power and authority, and has taken all action necessary, to execute and deliver this Assignment and Assumption and to consummate the transactions contemplated hereby and to become a Lender under the Credit Agreement, (ii) it meets all the requirements to be an assignee under Section 10.8.2(iii), (v) and (vi) of the Credit Agreement (subject to such consents, if any, as may be required under Section 10.8.2(iii) of the Credit Agreement), (iii) from and after the Effective Date, it shall be bound by the provisions of the Credit Agreement as a Lender thereunder and, to the extent of [the][the relevant] Assigned Interest, shall have the obligations of a Lender thereunder, (iv) it is sophisticated with respect to decisions to acquire assets of the type represented by the Assigned Interest and either it, or the Person exercising discretion in making its decision to acquire the Assigned Interest, is experienced in acquiring assets of such type, (v) it has received a copy of the Credit Agreement, and has received or has been accorded the opportunity to receive copies of the most recent financial statements delivered pursuant to Section 7.3 thereof, as applicable, and such other documents and information as it deems appropriate to make its own credit analysis and decision to enter into this Assignment and Assumption and to purchase [the][such] Assigned Interest, (vi) it has, independently and without reliance upon the Administrative Agent or any other Lender and based on such documents and information as it has deemed appropriate, made its own credit analysis and decision to enter into this Assignment and Assumption and to purchase [the][such] Assigned Interest, and (vii) attached to the Assignment and Assumption is any documentation required to be delivered by it pursuant to the terms of the Credit Agreement, duly completed and executed by [the][such] Assignee; and (b) agrees that (i) it 12 Describe Credit Agreement at option of Administrative Agent. 13 The term “Loan Document” should be conformed to that used in the Credit Agreement.


 
Form of Assignment and Assumption will, independently and without reliance on the Administrative Agent, [the][any] Assignor or any other Lender, and based on such documents and information as it shall deem appropriate at the time, continue to make its own credit decisions in taking or not taking action under the Loan Documents, and (ii) it will perform in accordance with their terms all of the obligations which by the terms of the Loan Documents are required to be performed by it as a Lender. 2. Payments. From and after the Effective Date, the Administrative Agent shall make all payments in respect of [the][each] Assigned Interest (including payments of principal, interest, fees and other amounts) to [the][the relevant] Assignor for amounts which have accrued to but excluding the Effective Date and to [the][the relevant] Assignee for amounts which have accrued from and after the Effective Date. Notwithstanding the foregoing, the Administrative Agent shall make all payments of interest, fees or other amounts paid or payable in kind from and after the Effective Date to [the][the relevant] Assignee. 3. General Provisions. This Assignment and Assumption shall be binding upon, and inure to the benefit of, the parties hereto and their respective successors and assigns. This Assignment and Assumption may be executed in any number of counterparts, which together shall constitute one instrument. Delivery of an executed counterpart of a signature page of this Assignment and Assumption by telecopy or electronic transmission (in a .pdf or similar file) shall be effective as delivery of a manually executed counterpart of this Assignment and Assumption. This Assignment and Assumption shall be governed by, and construed in accordance with, the law of the State of Ohio.


 
EXHIBIT 1.1(N)(1) REVOLVING CREDIT NOTE ______________, 20__ FOR VALUE RECEIVED, each of the undersigned, CINCINNATI FINANCIAL CORPORATION, an Ohio corporation (the “Company”), and CFC INVESTMENT COMPANY, an Ohio corporation (“CFC-I” and together with the Company, each a “Borrower” and together, the “Borrowers”), hereby jointly and severally unconditionally promises to pay to the order of _______________________________ (the “Lender”) the aggregate unpaid principal balance of all Revolving Credit Loans made by the Lender to either Borrower pursuant to the Credit Agreement, dated as of October 10, 2025 among the Borrowers, each Lender from time to time party thereto and Fifth Third, National Association, as administrative agent, (hereinafter referred to in such capacity as the “Administrative Agent”) (as amended, supplemented or otherwise modified from time to time, the “Credit Agreement”), together with all outstanding interest thereon on the Expiration Date. Each of the Borrowers also jointly and severally promises to pay interest on the unpaid principal balance hereof from time to time outstanding from the date hereof at the rates per annum provided in the Credit Agreement. Interest on this Revolving Credit Note will be payable pursuant to Section 4.5 of, or as otherwise provided in, the Credit Agreement. If any payment or action to be made or taken hereunder shall be stated to be or become due on a day which is not a Business Day, such payment or action shall be made or taken on the next following Business Day, unless otherwise provided in the Credit Agreement, and such extension of time shall be included in computing interest or fees, if any, in connection with such payment or action. Subject to the provisions of the Credit Agreement, payments of both principal and interest shall be made without setoff, counterclaim or other deduction of any nature at the office of the Administrative Agent unless otherwise directed in writing by the Administrative Agent, in lawful money of the United States of America in immediately available funds. This Revolving Credit Note is one of the Notes referred to in, and is entitled to the benefits of, the Credit Agreement and the other Loan Documents, including the representations, warranties, covenants, conditions, security interests and Liens contained or granted therein. The Credit Agreement among other things contains provisions for acceleration of the maturity hereof upon the happening of certain stated events and also for prepayments, in certain circumstances, on account of principal hereof prior to maturity upon the terms and conditions therein specified. Each Borrower waives presentment, demand, notice, protest and all other demands and notices in connection with the delivery, acceptance, performance, default or enforcement of this Revolving Credit Note and the Credit Agreement. This Revolving Credit Note shall bind the Borrowers and their respective successors and assigns, and the benefits hereof shall inure to the benefit of the Lender and its successors and assigns. All references herein to a “Borrower” or the “Lender” shall be deemed to apply to a


 
Borrower or the Lender, respectively, and their respective successors and assigns as permitted under the Credit Agreement. This Revolving Credit Note and any other documents delivered in connection herewith and the rights and obligations of the parties hereto and thereto shall for all purposes be governed, by and construed and enforced in accordance with, the internal laws of the State of Ohio without giving effect to its conflicts of law principles. All capitalized terms used herein shall, unless otherwise defined herein, have the same meanings given to such terms in the Credit Agreement and Section 1.2 of the Credit Agreement shall apply to this Revolving Credit Note. [SIGNATURE PAGE FOLLOWS]


 
[SIGNATURE PAGE TO REVOLVING CREDIT NOTE] IN WITNESS WHEREOF, and intending to be legally bound hereby, the undersigned has executed this Revolving Credit Note by its duly authorized officer. CINCINNATI FINANCIAL CORPORATION By: _______________________________________ Name: ____________________________________ Title: _____________________________________ CFC INVESTMENT COMPANY By: _______________________________________ Name: ____________________________________ Title: _____________________________________ /S/ Michael J. Sewell Michael J. Sewell CFO /S/ Michael J. Sewell Michael J. Sewell CFO


 
EXHIBIT 1.1(N)(2) SWING LOAN NOTE ______________, 20__ FOR VALUE RECEIVED, each of the undersigned, CINCINNATI FINANCIAL CORPORATION, an Ohio corporation (the “Company”), and CFC INVESTMENT COMPANY, an Ohio corporation (“CFC-I” and together with the Company, each a “Borrower” and together, the “Borrowers”), hereby jointly and severally unconditionally promises to pay to the order of _______________________________ (the “Swing Lender”) the aggregate unpaid principal balance of all Swing Loans made by the Swing Lender to either Borrower pursuant to the Credit Agreement, dated as of October 10, 2025 among the Borrowers, each Lender from time to time party thereto and Fifth Third Bank, National Association, as administrative agent, (hereinafter referred to in such capacity as the “Administrative Agent”) (as amended, supplemented or otherwise modified from time to time, the “Credit Agreement”), together with all outstanding interest thereon on the Expiration Date. Each of the Borrowers also jointly and severally promises to pay interest on the unpaid principal balance hereof from time to time outstanding from the date hereof at the rates per annum provided in the Credit Agreement. Interest on this Swing Loan Note will be payable as provided in the Credit Agreement. If any payment or action to be made or taken hereunder shall be stated to be or become due on a day which is not a Business Day, such payment or action shall be made or taken on the next following Business Day, unless otherwise provided in the Credit Agreement, and such extension of time shall be included in computing interest or fees, if any, in connection with such payment or action. Subject to the provisions of the Credit Agreement, payments of both principal and interest shall be made without setoff, counterclaim or other deduction of any nature at the office of the Administrative Agent unless otherwise directed in writing by the Administrative Agent, in lawful money of the United States of America in immediately available funds. This Swing Loan Note is one of the Notes referred to in, and is entitled to the benefits of, the Credit Agreement and the other Loan Documents, including the representations, warranties, covenants, conditions, security interests and Liens contained or granted therein. The Credit Agreement among other things contains provisions for acceleration of the maturity hereof upon the happening of certain stated events and also for prepayments, in certain circumstances, on account of principal hereof prior to maturity upon the terms and conditions therein specified. Each Borrower waives presentment, demand, notice, protest and all other demands and notices in connection with the delivery, acceptance, performance, default or enforcement of this Swing Loan Note and the Credit Agreement. This Swing Loan Note shall bind the Borrowers and their respective successors and assigns, and the benefits hereof shall inure to the benefit of the Swing Lender and its successors and assigns. All references herein to a “Borrower” or the “Swing Lender” shall be deemed to


 
apply to a Borrower or the Swing Lender, respectively, and their respective successors and assigns as permitted under the Credit Agreement. This Swing Loan Note and any other documents delivered in connection herewith and the rights and obligations of the parties hereto and thereto shall for all purposes be governed, by and construed and enforced in accordance with, the internal laws of the State of Ohio without giving effect to its conflicts of law principles. All capitalized terms used herein shall, unless otherwise defined herein, have the same meanings given to such terms in the Credit Agreement and Section 1.2 of the Credit Agreement shall apply to this Swing Loan Note. [SIGNATURE PAGE FOLLOWS]


 
[SIGNATURE PAGE TO SWING LOAN NOTE] IN WITNESS WHEREOF, and intending to be legally bound hereby, the undersigned has executed this Swing Loan Note by its duly authorized officer. CINCINNATI FINANCIAL CORPORATION By: _______________________________________ Name: ____________________________________ Title: _____________________________________ CFC INVESTMENT COMPANY By: _______________________________________ Name: ____________________________________ Title: _____________________________________ /S/ Michael J. Sewell Michael J. Sewell CFO /S/ Michael J. Sewell Michael J. Sewell CFO


 
EXHIBIT 2.10 LENDER JOINDER AND ASSUMPTION AGREEMENT THIS LENDER JOINDER AND ASSUMPTION AGREEMENT (the “Joinder”) is made as of ____________, 20__ (the “Effective Date”) by ___________________ (the “New Lender”). Background Reference is made to the Credit Agreement dated as of October 10, 2025 among Cincinnati Financial Corporation, an Ohio corporation (the “Company”), CFC Investment Company, an Ohio corporation (“CFC-I” and together with the Company, each a “Borrower” and together, the “Borrowers”), each lender from time to time party thereto and Fifth Third Bank, National Association, as administrative agent (the “Administrative Agent”) (as amended, supplemented or otherwise modified from time to time, the “Credit Agreement”). Capitalized terms defined in the Credit Agreement are used herein as defined therein. Agreement In consideration of the Lenders permitting the New Lender to become a Lender under the Credit Agreement, the New Lender agrees that effective as of the Effective Date it shall become, and shall be deemed to be, a Lender under the Credit Agreement and each of the other Loan Documents and agrees that from the Effective Date and so long as the New Lender remains a party to the Credit Agreement, such New Lender shall assume the obligations of a Lender under and perform, comply with and be bound by each of the provisions of the Credit Agreement which are stated to apply to a Lender and shall be entitled (in accordance with its Ratable Share) to the benefits, rights and remedies set forth therein and in each of the other Loan Documents. The New Lender hereby acknowledges that it has heretofore received (i) a true and correct copy of the Credit Agreement (including any modifications thereof or supplements or waivers thereto) as in effect on the Effective Date, and (ii) the executed original of its Revolving Credit Note dated the Effective Date issued by the Borrower under the Credit Agreement. The Commitments and Ratable Shares of the New Lender and each of the other Lenders are as set forth on Schedule 1.1(B) to the Credit Agreement. Schedule 1.1(B) to the Credit Agreement is being amended and restated effective as of the Effective Date hereof to read as set forth on Schedule 1.1(B) hereto. Annex A hereto lists as of the date hereof the amount of Loans under each outstanding Borrowing Tranche. Notwithstanding the foregoing on the date hereof, the Borrower shall repay all outstanding Loans to which either the Base Rate Option or the Term SOFR Rate Option applies and simultaneously reborrow a like amount of Loans under each such Interest Rate Option from the Lenders (including the New Lender) according to the Ratable Shares set forth on attached Schedule 1.1(B) and shall be subject to breakage fees and other indemnities provided in Section 4. The New Lender is executing and delivering this Joinder as of the Effective Date and acknowledges that it shall participate in all new Revolving Credit Loans borrowed by the Borrowers on and after the Effective Date according to its Ratable Share.


 
Form of Joinder Agreement [SIGNATURE PAGE TO LENDER JOINDER AND ASSUMPTION AGREEMENT] IN WITNESS WHEREOF, the New Lender has duly executed and delivered this Joinder as of the Effective Date. [NEW LENDER] By: Name: Title:


 
Form of Joinder Agreement [ACKNOWLEDGEMENT TO LENDER JOINDER AND ASSUMPTION AGREEMENT] ACKNOWLEDGED: FIFTH THIRD BANK, NATIONAL ASSOCIATION, as Administrative Agent By: Name: Title: CINCINNATI FINANCIAL CORPORATION By: Name: Title: CFC INVESTMENT COMPANY By: Name: Title:


 
Form of Joinder Agreement SCHEDULE 1.1(B) TO LENDER JOINDER AND ASSUMPTION AGREEMENT COMMITMENTS OF LENDERS


 
Form of Joinder Agreement ANNEX A TO LENDER JOINDER AND ASSUMPTION AGREEMENT OUTSTANDING TRANCHES


 
Form of Loan Request EXHIBIT 2.4.1 LOAN REQUEST TO: Fifth Third Bank, National Association, as Administrative Agent Fifth Third Center 38 Fountain Square Plaza Cincinnati, Ohio 45263 Email: Agency.Services@53.com Attention: Agency Services FROM: [Cincinnati Financial Corporation] [CFC Investment Company] (the “Borrower”) RE: Credit Agreement (as amended, supplemented or otherwise modified from time to time, the “Credit Agreement”), dated as of October 10, 2025, by and among Cincinnati Financial Corporation, CFC Investment Company, the Lenders party thereto, and Fifth Third Bank, National Association, as Administrative Agent for the Lenders (the “Administrative Agent”). Capitalized terms not otherwise defined herein shall have the respective meanings ascribed to them by the Credit Agreement. A. Pursuant to Sections 2.4 and 3.1 of the Credit Agreement, the Borrower irrevocably requests [check one box under 1(a) below and fill in blank space next to the box as appropriate]: 1.(a)  A new Revolving Credit Loan, OR  Renewal of the Term SOFR Rate Option applicable to an outstanding Revolving Credit Loan originally made on ____________, 20__, OR  Conversion of the Base Rate Option applicable to an outstanding Revolving Credit Loan originally made on ____________, 20__ to a Revolving Credit Loan to which the Term SOFR Rate Option applies, OR  Conversion of the Term SOFR Rate Option applicable to an outstanding Revolving Credit Loan originally made on ____________, 20__ to a Revolving Credit Loan to which the Base Rate Option applies. SUCH NEW, RENEWED OR CONVERTED REVOLVING CREDIT LOAN SHALL BEAR INTEREST: [Check one box under 1(b) below and fill in blank spaces in line next to box]: 1.(b) Under the Base Rate Option. Such Revolving Credit Loan shall have a Borrowing Date of __________, 20__ (which date shall be (i) the same


 
2 Form of Loan Request Business Day as the Business Day of receipt by the Administrative Agent of the request with respect to a new Revolving Credit Loan to which the Base Rate Option applies, or (ii) prior to the last day of the preceding Interest Period if a Revolving Credit Loan to which the Term SOFR Rate Option applies is being converted to a Revolving Credit Loan to which the Base Rate Option applies; and this Loan Request must be received by Administrative Agent not later than 10:00 a.m. (Eastern time) on any such Business Day which satisfies the preceding clauses (i) or (ii)) OR  Under the Term SOFR Rate Option. Such Revolving Credit Loan shall have a Borrowing Date of __________, 20__ (which date shall be any day which is at least three (3) Business Days later than the date of the request with respect to (i) a new Revolving Credit Loan to which the Term SOFR Rate Option applies, (ii) renewing a Revolving Credit Loan to which the Term SOFR Rate Option applies, or (iii) converting a Revolving Credit Loan to which the Base Rate Option applies to a Revolving Credit Loan to which the Term SOFR Rate Option applies; and this Loan Request must be received by Administrative Agent not later than 10:00 a.m. (Eastern time) on any such Business Day which satisfies the preceding clauses (i) through (iii)) 2. Such Revolving Credit Loan is in the principal amount of U.S. $_________ or the principal amount to be renewed or converted is U.S. $_____________ [such amount shall be (i) in integral multiples of $100,000 and not less than $1,000,000 for each Borrowing Tranche to which the Term SOFR Rate Option applies and (ii) in integral multiples of $100,000 and not less than $1,000,000 for each Borrowing Tranche to which the Base Rate Option applies.] 3. [Complete blank below if the Borrower is selecting the Term SOFR Rate Option]: Such Revolving Credit Loan shall have an Interest Period of _______ Months. B. On and as of the date hereof and the date of the making of the above-requested Revolving Credit Loan (and after giving effect thereto): the representations and warranties of the Borrowers contained in Section 5 of the Credit Agreement and in the other Loan Documents are true and correct [in all material respects] on and as of such dates with the same effect as though such representations and warranties had been made on and as of such dates (except representations and warranties which expressly relate solely to an earlier date or time, which representations and warranties were true and correct on and as of the specific dates or times referred to therein); no Event of Default or Potential Default has occurred and is continuing; and the making of such Revolving Credit Loan does not contravene [in any material respect] any Law applicable to any Borrower, any Subsidiary of any Borrower, or any Lender. C. The undersigned hereby irrevocably requests [check one line below and fill in blank spaces next to the line as appropriate]:


 
3 Form of Loan Request 1 Funds to be deposited into a Fifth Third Bank, National Association bank account per our current standing instructions. Complete amount of deposit if not full loan advance amount: U.S. $_______________. 2 Funds to be wired per the following wire instructions: U.S. $_________________ Amount of Wire Transfer Bank Name: _____________________ ABA: __________________________ Account Number: _________________ Account Name: ___________________ Reference: _______________________ 3 Funds to be wired per the attached funds flow (multiple wire transfers). [SIGNATURE PAGE FOLLOWS]


 
4 Form of Loan Request [SIGNATURE PAGE TO LOAN REQUEST] The undersigned certifies to the Administrative Agent for the benefit of the Lenders as to the accuracy of the foregoing on ____________, 20__. [CINCINNATI FINANCIAL CORPORATION] By: Name: Title: [CFC INVESTMENT COMPANY] By: Name: Title:


 
Form of Swing Loan Request EXHIBIT 2.4.2 SWING LOAN REQUEST TO: Fifth Third Bank, National Association, as Swing Lender Fifth Third Center 38 Fountain Square Plaza Cincinnati, Ohio 45263 Email: Agency.Services@53.com Attention: Agency Services FROM: [Cincinnati Financial Corporation] [CFC Investment Company] (the “Borrower”) RE: Credit Agreement (as amended, supplemented or otherwise modified from time to time, the “Credit Agreement”), dated as of October 10, 2025, by and among Cincinnati Financial Corporation, CFC Investment Company, the Lenders party thereto, and Fifth Third Bank, National Association, as Administrative Agent for the Lenders (the “Administrative Agent”). Capitalized terms not otherwise defined herein shall have the respective meanings ascribed to them by the Credit Agreement. A. Pursuant to Sections 2.4.2 and 3.1.1 of the Credit Agreement, the Borrower irrevocably requests a new Swing Loan, with a Borrowing Date of __________, 20__ (which date shall be the same Business Day as the Business Day of receipt by the Administrative Agent of the request; and this Loan Request must be received by Administrative Agent not later than 12:00 noon (Eastern time) on any such Business Day). B. Such Swing Loan is in the principal amount of U.S. $_____________ [such amount shall be in integral multiples of $100,000]. C. On and as of the date hereof and the date of the making of the above-requested Swing Loan (and after giving effect thereto): the representations and warranties of the Borrowers contained in Section 5 of the Credit Agreement and in the other Loan Documents are true and correct in all material respects on and as of such dates with the same effect as though such representations and warranties had been made on and as of such dates (except representations and warranties which expressly relate solely to an earlier date or time, which representations and warranties were true and correct on and as of the specific dates or times referred to therein); no Event of Default or Potential Default has occurred and is continuing; and the making of such Revolving Credit Loan does not contravene in any material respect any Law applicable to any Borrower, any Subsidiary of any Borrower, or any Lender.


 
2 Form of Swing Loan Request D. The undersigned hereby irrevocably requests [check one line below and fill in blank spaces next to the line as appropriate]: 1 Funds to be deposited into a Fifth Third Bank, National Association bank account per our current standing instructions. Complete amount of deposit if not full loan advance amount: U.S. $_______________. 2 Funds to be wired per the following wire instructions: U.S. $_________________ Amount of Wire Transfer Bank Name: _____________________ ABA: __________________________ Account Number: _________________ Account Name: ___________________ Reference: _______________________ 3 Funds to be wired per the attached funds flow (multiple wire transfers). [SIGNATURE PAGE FOLLOWS]


 
3 Form of Swing Loan Request [SIGNATURE PAGE TO SWING LOAN REQUEST] The undersigned certifies to the Administrative Agent for the benefit of the Lenders as to the accuracy of the foregoing on ____________, 20__. [CINCINNATI FINANCIAL CORPORATION] By: Name: Title: [CFC INVESTMENT COMPANY] By: Name: Title:


 
1 Form of U.S. Tax Certificate EXHIBIT 4.8-1 FORM OF U.S. TAX COMPLIANCE CERTIFICATE (For Foreign Lenders That Are Not Partnerships For U.S. Federal Income Tax Purposes) Reference is hereby made to the Credit Agreement dated as of October 10, 2025 (as amended, supplemented or otherwise modified from time to time, the “Credit Agreement”), among Cincinnati Financial Corporation, an Ohio corporation (the “Company”), CFC Investment Company, an Ohio corporation (“CFC-I” and together with the Company, each a “Borrower” and together, the “Borrowers”), each Lender from time to time party thereto and Fifth Third Bank, National Association, as administrative agent (the “Administrative Agent”). Pursuant to the provisions of Section 4.8 of the Credit Agreement, the undersigned hereby certifies that (i) it is the sole record and beneficial owner of the Loan(s) (as well as any Note(s) evidencing such Loan(s)) in respect of which it is providing this certificate, (ii) it is not a bank within the meaning of Section 881(c)(3)(A) of the Code, (iii) it is not a ten percent shareholder of the Borrower within the meaning of Section 871(h)(3)(B) of the Code and (iv) it is not a controlled foreign corporation related to the Borrower as described in Section 881(c)(3)(C) of the Code. The undersigned has furnished the Administrative Agent and the Borrower with a certificate of its non-U.S. Person status on IRS Form W-8BEN. By executing this certificate, the undersigned agrees that (1) if the information provided on this certificate changes, the undersigned shall promptly so inform the Borrower and the Administrative Agent, and (2) the undersigned shall have at all times furnished the Borrower and the Administrative Agent with a properly completed and currently effective certificate in either the calendar year in which each payment is to be made to the undersigned, or in either of the two calendar years preceding such payments. Unless otherwise defined herein, terms defined in the Credit Agreement and used herein shall have the meanings given to them in the Credit Agreement. [NAME OF LENDER] By: Name: Title: Date: ________ __, 20[ ]


 
1 Form of U.S. Tax Certificate EXHIBIT 4.8-2 FORM OF U.S. TAX COMPLIANCE CERTIFICATE (For Foreign Participants That Are Not Partnerships For U.S. Federal Income Tax Purposes) Reference is hereby made to the Credit Agreement dated as of October 10, 2025 (as amended, supplemented or otherwise modified from time to time, the “Credit Agreement”), among Cincinnati Financial Corporation, an Ohio corporation (the “Company”), CFC Investment Company, an Ohio corporation (“CFC-I” and together with the Company, each a “Borrower” and together, the “Borrowers”), each Lender from time to time party thereto and Fifth Third Bank, National Association, as administrative agent (the “Administrative Agent”). Pursuant to the provisions of Section 4.8 of the Credit Agreement, the undersigned hereby certifies that (i) it is the sole record and beneficial owner of the participation in respect of which it is providing this certificate, (ii) it is not a bank within the meaning of Section 881(c)(3)(A) of the Code, (iii) it is not a ten percent shareholder of the Borrower within the meaning of Section 871(h)(3)(B) of the Code, and (iv) it is not a controlled foreign corporation related to the Borrower as described in Section 881(c)(3)(C) of the Code. The undersigned has furnished its participating Lender with a certificate of its non-U.S. Person status on IRS Form W-8BEN. By executing this certificate, the undersigned agrees that (1) if the information provided on this certificate changes, the undersigned shall promptly so inform such Lender in writing, and (2) the undersigned shall have at all times furnished such Lender with a properly completed and currently effective certificate in either the calendar year in which each payment is to be made to the undersigned, or in either of the two calendar years preceding such payments. Unless otherwise defined herein, terms defined in the Credit Agreement and used herein shall have the meanings given to them in the Credit Agreement. [NAME OF PARTICIPANT] By: Name: Title: Date: ________ __, 20[ ]


 
2 Form of U.S. Tax Certificate EXHIBIT 4.8-3 FORM OF U.S. TAX COMPLIANCE CERTIFICATE (For Foreign Participants That Are Partnerships For U.S. Federal Income Tax Purposes) Reference is hereby made to the Credit Agreement dated as of October 10, 2025 (as amended, supplemented or otherwise modified from time to time, the “Credit Agreement”), among Cincinnati Financial Corporation, an Ohio corporation (the “Company”), CFC Investment Company, an Ohio corporation (“CFC-I” and together with the Company, each a “Borrower” and together, the “Borrowers”), each Lender from time to time party thereto and Fifth Third Bank, National Association, as administrative agent (the “Administrative Agent”). Pursuant to the provisions of Section 4.8 of the Credit Agreement, the undersigned hereby certifies that (i) it is the sole record owner of the participation in respect of which it is providing this certificate, (ii) its direct or indirect partners/members are the sole beneficial owners of such participation, (iii) with respect such participation, neither the undersigned nor any of its direct or indirect partners/members is a bank extending credit pursuant to a loan agreement entered into in the ordinary course of its trade or business within the meaning of Section 881(c)(3)(A) of the Code, (iv) none of its direct or indirect partners/members is a ten percent shareholder of the Borrower within the meaning of Section 871(h)(3)(B) of the Code and (v) none of its direct or indirect partners/members is a controlled foreign corporation related to the Borrower as described in Section 881(c)(3)(C) of the Code. The undersigned has furnished its participating Lender with IRS Form W-8IMY accompanied by one of the following forms from each of its partners/members that is claiming the portfolio interest exemption: (i) an IRS Form W-8BEN or (ii) an IRS Form W-8IMY accompanied by an IRS Form W-8BEN from each of such partner’s/member’s beneficial owners that is claiming the portfolio interest exemption. By executing this certificate, the undersigned agrees that (1) if the information provided on this certificate changes, the undersigned shall promptly so inform such Lender and (2) the undersigned shall have at all times furnished such Lender with a properly completed and currently effective certificate in either the calendar year in which each payment is to be made to the undersigned, or in either of the two calendar years preceding such payments. Unless otherwise defined herein, terms defined in the Credit Agreement and used herein shall have the meanings given to them in the Credit Agreement. [NAME OF PARTICIPANT] By: Name: Title: Date: ________ __, 20[ ]


 
3 Form of U.S. Tax Certificate EXHIBIT 4.8-4 FORM OF U.S. TAX COMPLIANCE CERTIFICATE (For Foreign Lenders That Are Partnerships For U.S. Federal Income Tax Purposes) Reference is hereby made to the Credit Agreement dated as of October 10, 2025 (as amended, supplemented or otherwise modified from time to time, the “Credit Agreement”), among Cincinnati Financial Corporation, an Ohio corporation (the “Company”), CFC Investment Company, an Ohio corporation (“CFC-I” and together with the Company, each a “Borrower” and together, the “Borrowers”), each Lender from time to time party thereto and Fifth Third Bank, National Association, as administrative agent (the “Administrative Agent”). Pursuant to the provisions of Section 4.8 of the Credit Agreement, the undersigned hereby certifies that (i) it is the sole record owner of the Loan(s) (as well as any Note(s) evidencing such Loan(s)) in respect of which it is providing this certificate, (ii) its direct or indirect partners/members are the sole beneficial owners of such Loan(s) (as well as any Note(s) evidencing such Loan(s)), (iii) with respect to the extension of credit pursuant to this Credit Agreement or any other Loan Document, neither the undersigned nor any of its direct or indirect partners/members is a bank extending credit pursuant to a loan agreement entered into in the ordinary course of its trade or business within the meaning of Section 881(c)(3)(A) of the Code, (iv) none of its direct or indirect partners/members is a ten percent shareholder of the Borrower within the meaning of Section 871(h)(3)(B) of the Code and (v) none of its direct or indirect partners/members is a controlled foreign corporation related to the Borrower as described in Section 881(c)(3)(C) of the Code. The undersigned has furnished the Administrative Agent and the Borrower with IRS Form W-8IMY accompanied by one of the following forms from each of its partners/members that is claiming the portfolio interest exemption: (i) an IRS Form W-8BEN or (ii) an IRS Form W-8IMY accompanied by an IRS Form W-8BEN from each of such partner’s/member’s beneficial owners that is claiming the portfolio interest exemption. By executing this certificate, the undersigned agrees that (1) if the information provided on this certificate changes, the undersigned shall promptly so inform the Borrower and the Administrative Agent, and (2) the undersigned shall have at all times furnished the Borrower and the Administrative Agent with a properly completed and currently effective certificate in either the calendar year in which each payment is to be made to the undersigned, or in either of the two calendar years preceding such payments. Unless otherwise defined herein, terms defined in the Credit Agreement and used herein shall have the meanings given to them in the Credit Agreement.


 
4 Form of U.S. Tax Certificate [NAME OF LENDER] By: Name: Title: Date: ________ __, 20[ ]


 
1 Form of Compliance Certificate EXHIBIT 9.3.3 QUARTERLY COMPLIANCE CERTIFICATE This certificate is delivered pursuant to Section 7.3.3 of that certain Credit Agreement dated as of October 10, 2025 (as amended, supplemented or otherwise modified from time to time, the “Credit Agreement”), among Cincinnati Financial Corporation, an Ohio corporation (the “Company”), CFC Investment Company, an Ohio corporation (“CFC-I” and together with the Company, each a “Borrower” and together, the “Borrowers”), each Lender from time to time party thereto and Fifth Third Bank, National Association, as administrative agent for the Lenders party thereto (the “Administrative Agent”). Unless otherwise defined herein, terms defined in the Credit Agreement are used herein with the same meanings. The undersigned officer, ______________________, the ___________ [Chief Executive Officer /Chief Financial Officer] of the Company, in such capacity does hereby certify on behalf of the Company as of the quarter/year ended _________________, 20___ (the “Report Date”), in each case as determined on a consolidated basis in accordance with GAAP, as follows: A. Maximum Consolidated Debt to Total Capitalization (Section 7.2.13). As of the Report Date, the Consolidated Debt to Total Capitalization Ratio is _____________ (insert ratio from Item C below), which amount is not greater than 0.35 to 1.00. A. Consolidated Debt $____________ B. Consolidated Net Worth $____________ C. Item A ÷ (Item A + Item B) __________ to 1.00 B. Representations, Warranties and Covenants. The representations and warranties of the Borrowers contained in Section 5 of the Credit Agreement and in the other Loan Documents are true and correct in all material respects on and as of the date hereof with the same effect as though such representations and warranties had been made on and as of such dates (except representations and warranties which expressly relate solely to an earlier date or time, which representations and warranties were true and correct on and as of the specific dates or times referred to therein). C. Event of Default or Potential Default. No Event of Default or Potential Default exists as of the date hereof. [SIGNATURE PAGE FOLLOWS]


 
[SIGNATURE PAGE TO QUARTERLY COMPLIANCE CERTIFICATE] IN WITNESS WHEREOF, the undersigned has executed this Certificate this _____ day of ____________, 20___. CINCINNATI FINANCIAL CORPORATION By: _______________________________________ Name: ____________________________________ Title: _____________________________________