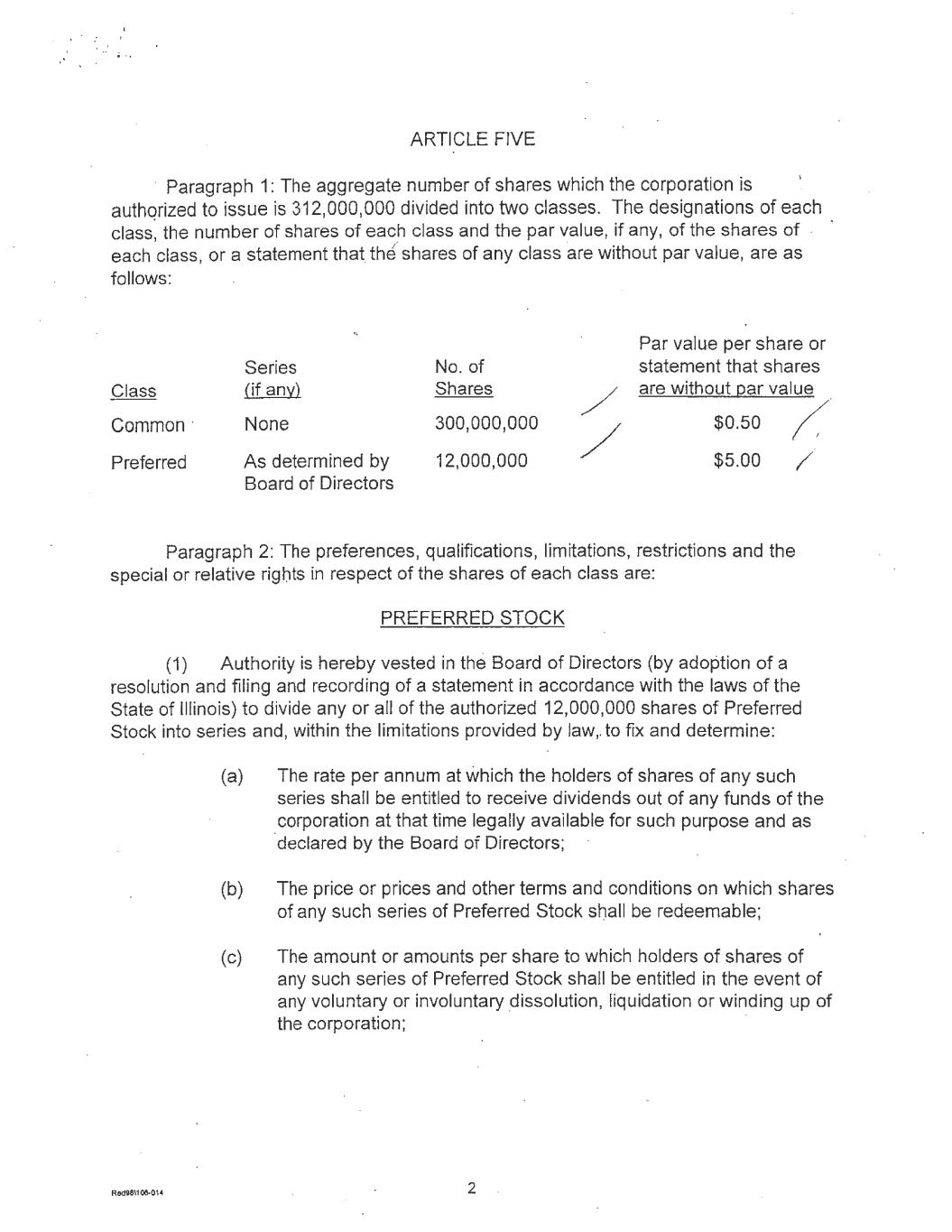
EX-3.1 2 exhibit31amendmenttoarti.htm EX-3.1 exhibit31amendmenttoarti
Exhibit 3.1