EX-3.1 2 a021025msosemersonelectr.htm EX-3.1 a021025msosemersonelectr
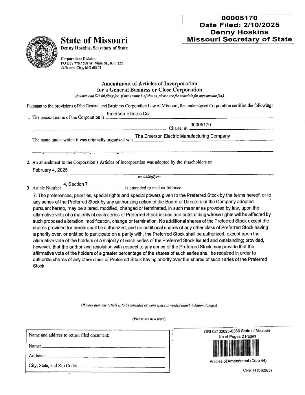
State of Missouri Denny Hoskins, Secretary of State Corporations Division PO Box 778 / 600 W, Main St., Rm. 322 Jefferson City, MO 65102 00005170 Date Filed: 2/10/2025 Denny Hoskins Missouri Secretary of State Amendment of Articles of Incorporation for a General Business or Close Corporation (Submit with S25 00 filing fee, if inci easing # ofshai es, please see fee schedule fin appi opi tatefee.) Pursuant to the provisions of the General and Business Corporation Law of Missouri, the undersigned Coiporation certifies the following: , . Emerson Electric Co. I. The pi esent name of the Corporation is________________________________________________________ ______________________ 00005170 _______________________________________________________________ Charter #:------------------------------------------------------------ , , . , . „ The Emerson Electric Manufacturing Company The name under which it was originally organized was-------------------------------------------------------------------------- ------- ------------— 2. An amendment to the Corporation’s Articles of Incorpoiation was adopted by the shareholders on February 4, 2025 month/day/yeai 4, Section 7 . , , 3 Ai tide Number------------------------------------------- is amended to read as follows: 7. The preferences, priorities, special rights and special powers given to the Preferred Stock by the terms hereof, or to any series of the Preferred Stock by any authorizing action of the Board of Directors of the Company adopted pursuant hereto, may be altered, modified, changed or terminated, in such manner as provided by law, upon the affirmative vote of a majority of each series of Preferred Stock issued and outstanding whose rights will be affected by such proposed alteration, modification, change or termination. No additional shares of the Preferred Stock except the shares provided for herein shall be authorized, and no additional shares of any other class of Preferred Stock having a priority over, or entitled to participate on a parity with, the Preferred Stock shall be authorized, except upon the affirmative vote of the holders of a majority of each series of the Preferred Stock issued and outstanding; provided, however, that the authorizing resolution with respect to any series of the Preferred Stock may provide that the affirmative vote of the holders of a greater percentage of the shares of such series shall be required in order to authorize shares of any other class of Preferred Stock having priority over the shares of such series of the Preferred Stock (If moi e than one article is Io be amended or more space is needed attach additional pages) (Please see next page) Name and address to return filed document: Name:_________________________________________________________ Address:_____ ___________________________________________________ City, State, and Zip Code:_________________________________________ ORI-02102025-0366 State of Missoun No of Pages 2 Pages Articles of Amendment (Corp 44) Corp 44 (01/2025)


 
569,531,364 569,531,364 4. Of the___ :___________________________________________ shares outstanding,-------------------- of such shares were entitled to vote on such amendment. The number of outstanding shares of any class entitled to vote thereon as a class were as follows: Class Common Numbei of Outstanding Shares 569,531,364 5. The number of shares voted for and against the amendment was as follows: Class No. Voted For Common 381,023,304 No. Voted Against 12,813,892 6. If the amendment pi ovides for an exchange, i eclassification, or cancellation of issued shares, or a leduction of the number of autho­ rized shates of any class below the number of issued shaies of that class, the following is a statement of the manner in which such reduction shall be effected: Not Applicable 7. If the effective date of the amendment is to be a date other than the date of filing of the certificate of amendment with the Secretary of State, then the effective date, which shall be no more than 90 days following the filing date, shall be specified: In Affit mation thereof, the facts stated above aie ti ue and correct: (The undersigned undeistands that false statements made in this filing are subject to the penalties provided undei Section 575.040, RSMo) Michael Tang Secretary 2/7/2025 Ant)ion:ed Signature / Printed Name Title. Dale Corp 44 (01/2025)


 
•tsi Ji WHEREAS, ^TE OFMISSoo a tn a tr Denny Hoskins Secretary of State CERTIFICATE OF AMENDMENT £ w EMERSON ELECTRIC CO. 00005170 Ijjp a corpoiation organized under the General and Business Corporation Law has delivered to me a Certificate Of Amendment of its Articles of Incorporation and has in all respects complied with the requirements of law governing the Amendment of Articles of Incorporation under General and Business Corporation Law, and that the Articles of Incorporation of said corporation are amended in accordance therewith gj: f IN TESTIMONY WHEREOF, I hereunto set my hand and cause to be affixed the GREAT SEAL of the State of Missouri Done at the City of Jefferson, this 10th day of February, 2025 SRtetarv of State


 
Ml ▼ WA ’MISSq Denny Hoskins Secretary of State CERTIFICATE OF AMENDMENT WHEREAS > JI EMERSON ELECTRIC CO. 00005170 a corporation organized under the General and Business Corporation Law has delivered to me a Certificate Of Amendment of its Articles of Incorporation and has in all respects complied with the requirements of law governing the Amendment of Articles of Incorporation under General and Business Corporation Law, and that the Articles of Incorporation of said corporation are amended in accordance therewith. IN TESTIMONY WHEREOF, I hereunto set my hand and cause to be affixed the GREAT SEAL of the State of Missouri. Done at the City of Jefferson, this 10th day of February, 2025. w» ■< Sec/cjary of State SOS #30 (01-2025)