EX-10.2 3 psuawardagreement-specia.htm EX-10.2 psuawardagreement-specia
US-DOCS\144407745.3 Enerpac - Comments to PSU Award Agreement (Special CEO Award) PERFORMANCE SHARE AWARD AGREEMENT UNDER THE ENERPAC TOOL GROUP 2017 OMNIBUS INCENTIVE PLAN (as amended and restated November 9, 2020) (Special Executive Grant) This Performance Share Award Agreement (the “Agreement”) between Enerpac Tool Group Corp. and the Grantee is effective as of the date set forth in the Plan’s online administrative system. Enerpac Tool Group Corp. and the Grantee hereby agree as follows: 1. Performance Share Award Grant. Enerpac Tool Group Corp., a Wisconsin corporation (hereinafter called the “Company”), hereby grants to the Grantee an award of Performance Shares (the “Award”) under the Enerpac Tool Group 2017 Omnibus Incentive Plan (the “Plan”). The Award entitles the Grantee to payment in the form of shares of Common Stock following the attainment of certain Performance Objectives (as defined in Paragraph 4 below) and subject to satisfaction of certain employment requirements set forth below. Performance Shares Awarded under this Agreement are forfeitable until they are both earned and vested in accordance with this Agreement. The period of time during which the Performance Shares Awarded are forfeitable (because they are not both earned and vested) is referred to as the “Restricted Period”. Earned Performance Shares shall become vested if the Grantee remains continuously employed for the Performance Period set forth in the Plan’s online administrative system (i.e., Fiscal Year 2026) (the “Performance Period”). A grant price of $26.97, reflecting the Company’s stock price at the close of trading on August 30, Year 2023, was used to determine the number of Performance Awards granted related to the Revenue performance award. The date of grant of this Award, August 30, 2023, and the target number of Performance Shares subject to this Award (the “Target Award”) are provided on the Plan’s online administrative system, but the actual number of shares of Common Stock to be issued under the Award will be determined as described below in this Agreement. After the end of the Performance Period, the Compensation Committee of the Board of Directors of the Company (the “Committee”) will review the Performance Objectives and determine the actual numbers of shares of Common Stock which Grantee has earned under this Agreement. No stock certificates will be issued with respect to any Award of Performance Shares until the date set forth in Paragraph 6, if applicable. The Performance Shares are granted under and are subject to the terms of the Plan and this Agreement. In the event of any conflict between any provisions of this Agreement and the provisions of the Plan, the provisions of the Plan shall control. Terms defined in the Plan where used herein shall have the meanings as so defined. Grantee hereby acknowledges receipt of a copy of the Plan. 2. Definition: Net Revenue Performance. “Net Revenue Performance” shall mean the total amount earned from delivering products, services, and solutions over the Performance Period, net of any allowances for discounts and returns. 3. Definition: Adjusted EBITDA. “Adjusted EBITDA” shall mean the Company’s net income from continuing operations adjusted for interest expenses, income taxes, and depreciation & amortization charges and excludes one-time, irregular, non-recurring and M&A charges over the Performance Period. 4. Definition: Adjusted EBITDA Margin. “Adjusted EBITDA Margin” shall mean the


 
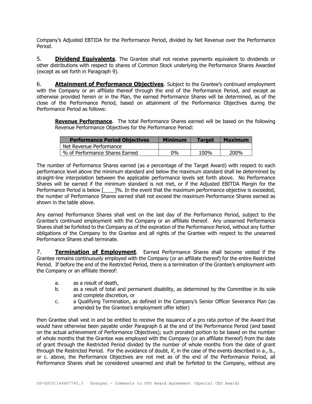
US-DOCS\144407745.3 Enerpac - Comments to PSU Award Agreement (Special CEO Award) Company’s Adjusted EBTIDA for the Performance Period, divided by Net Revenue over the Performance Period. 5. Dividend Equivalents. The Grantee shall not receive payments equivalent to dividends or other distributions with respect to shares of Common Stock underlying the Performance Shares Awarded (except as set forth in Paragraph 9). 6. Attainment of Performance Objectives. Subject to the Grantee’s continued employment with the Company or an affiliate thereof through the end of the Performance Period, and except as otherwise provided herein or in the Plan, the earned Performance Shares will be determined, as of the close of the Performance Period, based on attainment of the Performance Objectives during the Performance Period as follows: Revenue Performance. The total Performance Shares earned will be based on the following Revenue Performance Objectives for the Performance Period: Performance Period Objectives Minimum Target Maximum Net Revenue Performance % of Performance Shares Earned 0% 100% 200% The number of Performance Shares earned (as a percentage of the Target Award) with respect to each performance level above the minimum standard and below the maximum standard shall be determined by straight-line interpolation between the applicable performance levels set forth above. No Performance Shares will be earned if the minimum standard is not met, or if the Adjusted EBITDA Margin for the Performance Period is below [____]%. In the event that the maximum performance objective is exceeded, the number of Performance Shares earned shall not exceed the maximum Performance Shares earned as shown in the table above. Any earned Performance Shares shall vest on the last day of the Performance Period, subject to the Grantee’s continued employment with the Company or an affiliate thereof. Any unearned Performance Shares shall be forfeited to the Company as of the expiration of the Performance Period, without any further obligations of the Company to the Grantee and all rights of the Grantee with respect to the unearned Performance Shares shall terminate. 7. Termination of Employment. Earned Performance Shares shall become vested if the Grantee remains continuously employed with the Company (or an affiliate thereof) for the entire Restricted Period. If before the end of the Restricted Period, there is a termination of the Grantee’s employment with the Company or an affiliate thereof: a. as a result of death, b. as a result of total and permanent disability, as determined by the Committee in its sole and complete discretion, or c. a Qualifying Termination, as defined in the Company’s Senior Officer Severance Plan (as amended by the Grantee’s employment offer letter) then Grantee shall vest in and be entitled to receive the issuance of a pro rata portion of the Award that would have otherwise been payable under Paragraph 6 at the end of the Performance Period (and based on the actual achievement of Performance Objectives); such prorated portion to be based on the number of whole months that the Grantee was employed with the Company (or an affiliate thereof) from the date of grant through the Restricted Period divided by the number of whole months from the date of grant through the Restricted Period. For the avoidance of doubt, if, in the case of the events described in a., b., or c. above, the Performance Objectives are not met as of the end of the Performance Period, all Performance Shares shall be considered unearned and shall be forfeited to the Company, without any


 
US-DOCS\144407745.3 Enerpac - Comments to PSU Award Agreement (Special CEO Award) further obligations of the Company to the Grantee (and all rights of the Grantee with respect to the unearned Performance Shares Awarded shall terminate). The issuance of Performance Shares pursuant to such prorated Award will be made at the end of the Performance Period (determined based on the actual achievement of the Performance Objectives for the entire Performance Period) and will be made in accordance with the general payment and timing provisions in Paragraph 8. The portion of the Award not earned, vested, and issued to the Grantee pursuant to this Agreement shall be deemed forfeited by the Grantee, unless otherwise determined by the Committee. 8. Distribution of Shares and Tax Withholding. Performance Shares that are both earned and vested pursuant to this Agreement will be distributed to the Grantee as soon as practicable following the conclusion of the Restricted Period, and in any event, no later than 2½ months after the end of the Restricted Period. Notwithstanding the foregoing, the distribution described in the previous sentence may occur after the applicable 2½ month period if the Company reasonably anticipates that making the payment by the end of the applicable 2½ month period would have violated Federal securities laws or other applicable law, in which case, the distribution shall be made as soon as reasonably practicable following the first date on which the Company anticipates or reasonably should anticipate that making the payment would not cause such violation. For the purposes of the previous sentence, a distribution that would cause inclusion in gross income or the application of any penalty provision or other provision of the Code is not treated as a violation of applicable law. If withholding of taxes is not required, none will be taken. If withholding is required, in satisfaction of any withholding obligations under federal, state or local tax laws, the Company may: (i) require the Grantee to pay to the Company in cash the entire amount or any portion of any taxes which the Company is required to withhold, or (ii) require the Grantee to authorize any properly authorized third-party to sell the number of shares of Common Stock that are the subject of the Performance Shares awarded having a Fair Market Value equal to the sums required to be withheld, along with any related expenses, and to remit the proceeds thereof to the Company for payment of the taxes which the Company is required to withhold with respect to the Performance Shares awarded, or (iii) reduce the number of shares of Common Stock distributed to the Grantee by the number of shares of Common Stock underlying the Performance Shares awarded having Fair Market Value equal to the sums required to be withheld for the payment of the taxes which the Company is required to withhold with respect to the Performance Shares awarded. For purposes of administrative ease, the number of shares of Common Stock withheld or sold may be rounded up or down to the nearest whole share. The Grantee shall be responsible for any taxes relating to the Award not satisfied by the Company’s satisfaction of its withholding obligations. Unless otherwise determined by the Company, the Grantee shall be entitled to elect, in accordance with procedures determined by the Company, the method of satisfying his or her withholding obligations, and, in the event no such election is properly made, the Company shall require the shares to be withheld using the method described in (iii) above. 9. No Rights as a Stockholder. Without limiting the foregoing, including Paragraph 3, the Grantee shall have no rights as a stockholder of the Company in respect to the Award, including the right to vote or receive dividends, unless and until shares of Common Stock earned pursuant to the Award have been issued to Grantee, and recorded on the stock records of the Company. 10. No Rights To Continued Employment. Neither the Plan nor this Agreement nor the Award shall confer upon the Grantee any right with respect to continuance of employment by the Company, nor shall they interfere in any way with the right of the Company to terminate Grantee’s employment at any time. 11. Change in Control. If a Change in Control (as defined in the Plan) of the Company occurs when the Grantee is employed by the Company (but after the date of grant and before the end of Performance Period), all of the Performance Shares Awarded under this Agreement shall become


 
US-DOCS\144407745.3 Enerpac - Comments to PSU Award Agreement (Special CEO Award) immediately earned, vested and nonforfeitable upon the Change in Control. For purposes of determining the extent to which the Performance Objectives have been met, the amount earned shall be based upon the “Target” level of the Performance Objectives. In such an event, the Change in Control shall be considered the end of the Restricted Period and any issuance of Common Stock pursuant to such Change in Control will be made in accordance with the general payment and timing provisions of Paragraph 8. In addition, the Performance Shares Awarded may be subject to accelerated vesting as set forth in the Grantee’s Change In Control Agreement. 12. Compensation Recovery. This Award shall be subject to recovery by the Company under its Compensation Recoupment Policy or any similar policy the Company may adopt or amend from time to time. 13. Code Section 409A. This Agreement is intended to comply with, or otherwise be exempt from, Code Section 409A. This Agreement shall be administered, interpreted, and construed in a manner consistent with Code Section 409A or an exemption therefrom. Should any provision of this Agreement be found not to comply with, or otherwise be exempt from, the provisions of Code Section 409A, such provision shall be modified and given effect (retroactively if necessary), in the sole discretion of the Committee, and without the consent of the Grantee, in such manner as the Committee determines to be necessary or appropriate to comply with, or to effectuate an exemption from, Code Section 409A. If any of the payments under this Agreement are subject to Code Section 409A and the Company determines that the Employee is a “specified employee” under Code Section 409A at the time of the Employee’s separation from service, then each such payment will not be made or commence until the date which is the first day of the seventh month after the Employee’s separation from service, and any payments that otherwise would have been paid during the first six months after the Employee’s separation from service will be paid in a lump sum on the first day of the seventh month after the Employee’s separation from service or upon the Employee’s death, if earlier. Such deferral will be effected only to the extent required to avoid adverse tax treatment to the Employee under Code Section 409A. 14. Transferability of Award. The Award and, prior to issuance, the Performance Shares may not be transferred or encumbered by the Grantee, except by will or the laws of descent and distribution, or pursuant to a qualified domestic relations order. 15. Prohibition Against Pledge, Attachment, etc. Except as otherwise herein provided, this Award and any rights and privileges pertaining thereto shall not be transferred, assigned, pledged or hypothecated by Grantee in any way, whether by operation of law or otherwise, and shall not be subject to execution, attachment or similar process. 16. Notices. Any notice to be given to the Company under the terms of this Agreement shall be addressed to the Company in care of its Secretary, and any notice to be given to the Grantee may be addressed to him/her at his/her address as it appears on the Company's records, or at such other address as either party may hereafter designate in writing to the other. Any such notice shall be deemed to have been duly given if and when enclosed in a properly sealed envelope addressed as aforesaid, and deposited, postage prepaid, in the United States mail or sent via electronic means (fax or e-mail). 17. Agreement Barring Unfair Activities. As a condition of participating in the Plan pursuant to the terms of this Agreement, Grantee agrees to comply with the terms of the “Stock Award Agreement Barring Unfair Activities” attached to this Agreement as Appendix A. Grantee understands that Grantee’s employment or continued employment with the Company is not contingent upon entering into this Agreement or participation in the Plan and the Grantee has voluntarily elected to enter into this Agreement and participate in the Plan pursuant to the terms and conditions of this Agreement including, but not limited to, agreeing to the terms and conditions of the “Stock Award Agreement Barring Unfair Activities.”


 
US-DOCS\144407745.3 Enerpac - Comments to PSU Award Agreement (Special CEO Award) 18. Wisconsin Contract. This Award has been granted in Wisconsin and shall be construed under the laws of that state. Accepted as of the date of grant in accordance with, and subject to, the above terms and conditions of this Agreement and of the Plan document, a copy of which has been received by me. ______________________________ Paul Sternlieb (the “Grantee”)


 
US-DOCS\144407745.3 Enerpac - Comments to PSU Award Agreement (Special CEO Award) APPENDIX A Stock Award Agreement Barring Unfair Activities This Stock Award Agreement Barring Unfair Activities (“Agreement”) is Appendix A to the Performance Share Award Agreement under the Enerpac Tool Group 2017 Omnibus Incentive Plan (the “PSA Agreement”) between Enerpac Tool Group Corp., a Wisconsin corporation, and Grantee identified in the PSA Agreement. WHERAS, this Agreement relates to the participation of Grantee in the PSA Agreement by Enerpac Tool Group Corp., a Wisconsin Corporation. Enerpac Tool Group Corp., its divisions, subsidiaries and affiliates, and successors and assigns, are referred to collectively in this Agreement as the “Company.” WHEREAS, Grantee has been informed and Grantee understands that Grantee’s employment or continued employment with the Company is not contingent on participation in the PSA Agreement and Grantee has voluntarily elected to participate in the PSA Agreement pursuant to the terms and conditions of the PSA Agreement including, but not limited to, agreeing to the terms and conditions of this Agreement; and WHEREAS, by accepting the PSA Agreement, Grantee acknowledges that Grantee is bound by the terms of this Agreement and Grantee is hereby advised to consult with their own legal counsel; and WHEREAS, during the course of employment, Grantee will learn confidential information regarding Company’s customers, and/or will establish, maintain, and improve knowledge of or relationships or goodwill with Company’s customers, and/or will learn Company’s Trade Secrets or Confidential Information (as such terms are defined below). Company’s Confidential Information, Trade Secrets, and customer relationships have been developed by Company at considerable expense over a number of years and but for Grantee’s employment with Company, Grantee would not know Company’s Trade Secrets and Confidential Information, and Grantee would not be able to create, improve, and maintain relationships with Company’s customers. NOW, THEREFORE, in consideration of the foregoing recitals, Grantee’s participation in the PSA Agreement, and the promises and covenants set forth herein, and for other good and valuable consideration, the sufficiency of which are hereby acknowledged, the Parties agree as follows: 1. Incorporation or recitals. The above recitals are incorporated herein as part of the Agreement. 2. Definitions. Unless otherwise defined herein, the capitalized terms set forth in this Agreement shall have the definitions as set forth in Attachment A. Attachment A is incorporated into and is part of this Agreement. 3. Duty of Loyalty. Grantee acknowledges that Grantee is a key employee of the Company and owes the Company a fiduciary duty of loyalty. During employment with Company, Grantee shall owe Company an undivided duty of loyalty, and shall take no action adverse to that duty of loyalty. Grantee’s duty of loyalty to Company includes but is not limited to a duty to promptly disclose to Company any information that might cause Company to take or refrain from taking any action, or which otherwise might cause Company to alter its behavior. Without limiting the generality of the foregoing, Grantee shall promptly notify Company at any time that Grantee decides to terminate employment with Company or enter into competition with Company, as Company may decide at such time to limit, suspend, or terminate Grantee’s employment or access to Company’s Confidential Information, Trade Secrets, and/or customer relationships. Grantee’s privilege to access and use Company’s computers, and to access and use Company’s electronically stored information including Company’s Confidential Information and Trade Secrets,


 
US-DOCS\144407745.3 Enerpac - Comments to PSU Award Agreement (Special CEO Award) are revoked the moment Grantee takes any action adverse to Grantee’s duty of loyalty to Company. 4. Nondisclosure of Third Party Confidential Information. During Grantee’s employment with Company and after the Termination Date, Grantee shall not use or disclose Third Party Confidential Information for as long as the relevant third party has required Company to maintain its confidentiality, or for so long as required by applicable law, whichever period is longer. 5. Non-disclosure of Trade Secrets. During employment and after the Termination Date, Grantee shall not use or disclose Company’s Trade Secrets so long as they remain Trade Secrets. Nothing in this Agreement shall limit either Grantee’s statutory or other duties not to use or disclose Company’s Trade Secrets, or Company’s remedies in the event Grantee uses or discloses Company’s Trade Secrets. 6. Obligations Not to Disclose or Use Confidential Information. Except as set forth herein or as expressly authorized in writing on behalf of Company, Grantee agrees that while Grantee is employed by Company and during the twelve (12) month period commencing at the Termination Date, Grantee will not use or disclose (except in discharging Grantee’s job duties with Company) any Confidential Information, whether such Confidential Information is in Grantee’s memory or it is set forth electronically, in writing or other form. This prohibition does not prohibit Grantee’s disclosure of information after it ceases to meet the definition of “Confidential Information,” or Grantee’s use of general skills and know-how acquired during and prior to employment by Company, so long as such use does not involve the use or disclosure of Confidential Information; nor does this prohibition restrict Grantee from providing prospective employers with an employment history or description of Grantee’s duties with Company, so long as Grantee does not use or disclose Confidential Information. Notwithstanding the foregoing, with respect to information which is subject to a law governing confidentiality or non-disclosure, Grantee shall keep such information confidential for so long as required by law, or for twelve (12) months, whichever period is longer. This Paragraph shall not preclude employees within the meaning of the National Labor Relations Act from exercising Section 7 rights they may have to communicate about working conditions. This Paragraph shall not bar Grantee from making disclosures to government entities to the extent required by applicable law or disclosures made in good faith pursuant to applicable “whistleblower” laws or regulations. 7. Return of Property; No Copying or Transfer of Documents. All equipment, books, records, papers, notes, catalogs, compilations of information, data bases, correspondence, recordings, stored data (including but not limited to data or files that exist on any personal computer or other electronic storage device), software, and any physical items, including copies and duplicates, that Grantee generates or develops or which come into Grantee’s possession or control, which relate directly or indirectly to, or are a part of Company’s (or its customers’) business matters, whether of a public nature or not (collectively “Company Records”), shall be and remain the property of Company, and Grantee shall deliver all such materials and items, and any and all copies of them, to Company upon termination of employment. During employment or after Termination Date, Grantee will not copy, duplicate, or otherwise reproduce, or permit copying, duplicating, or reproduction of Company Records without the express written consent of Company, or, as a part of Grantee’s duties performed hereunder for the benefit of Company. Grantee expressly covenants and warrants, upon termination of employment for any reason (or no reason), that Grantee shall promptly deliver to Company any and all originals and copies of Company Records in Grantee’s possession, custody, or control, and that Grantee shall not make, retain, or transfer to any third party any copies thereof. In the event any Confidential Information or Trade Secrets are stored or otherwise kept in or on a computer hard drive or other storage device owned by or otherwise in the possession or control of Grantee (each individually an "Grantee Storage Device"), upon termination of employment Grantee will present every such Grantee Storage Device to Company for inspection and removal of all information


 
US-DOCS\144407745.3 Enerpac - Comments to PSU Award Agreement (Special CEO Award) regarding Company or its customers (including but not limited to Confidential Information or Trade Secrets) that is stored on the Grantee Storage Device. This Paragraph shall not bar Grantee from retaining Grantee’s own payroll, retirement, insurance, tax, and other personnel documents related to Company. 8. Covenants Barring Certain Unfair Activities. Grantee shall abide by such restrictions in Attachment B hereto. Attachment B is incorporated into and is part of this Agreement. 9. Non-Solicitation of Certain Employees. (a) Non-solicitation of Management Employees. For twelve (12) months following the Termination Date, Grantee shall not, without the prior written consent of Company, encourage, cause, or solicit, or assist others in encouraging, causing, or soliciting, a Management Employee to terminate their employment with Company to provide Key Services in competition with Company, unless such Management Employee has already ceased employment with Company. (b) Non-solicitation of Key Employees. For twelve (12) months following the Termination Date, Grantee shall not, without the prior written consent of Company, encourage, cause, or solicit, or assist others in encouraging, causing, or soliciting, a Key Employee to terminate their employment with Company to provide Key Services in competition with Company, unless such Key Employee has already ceased employment with Company. (c) Non-solicitation of Supervised Employees. For twelve (12) months following the Termination Date, Grantee shall not, without the prior written consent of Company, encourage, cause, or solicit, or assist others in encouraging, causing, or soliciting, a Supervised Employee to terminate their employment with Company to provide Key Services in competition with Company, unless such Supervised Employee has already ceased employment with Company. 10. Proprietary Creations. All Proprietary Creations are the sole and exclusive property of the Company whether patentable or registrable or not, and Grantee assigns all of Grantee’s rights, title, and interest in same to the Company. Further, all Proprietary Creations which are copyrightable shall be considered “work(s) made for hire” as that term is defined by U.S. Copyright Law. If for any reason a U.S. Court of competent jurisdiction determines such Proprietary Creations not to be works made for hire, Grantee will assign all rights, title, and interest in such works to the Company and, to the extent permitted by law, Grantee hereby assigns all of Grantee’s rights, title, and interest in such Proprietary Creations to the Company. Grantee will promptly disclose all Proprietary Creations to the Company and, if requested to do so, provide the Company a written description or copy thereof. Grantee is not required to assign rights to any invention for which no equipment, supplies, facility, or trade secret information of the Company was used and which was developed entirely on Grantee's own time, unless (a) the invention relates (i) to the business of the Company or (ii) to the Company's actual or demonstrably anticipated research or development, or (b) the invention results from any work performed by Grantee for the Company. Grantee has set out below a complete list of all inventions, if any, patented or unpatented, including the numbers of all patents and patent applications filed thereon, and a brief description of all unpatented inventions, which Grantee made prior to the date of Grantee signing this Agreement or any similar agreement with Company, and which are not to be included in this Agreement (“Reserved Inventions”). If any of the listed inventions related to Company research, product fields, processes or business procedures, then Grantee hereby assigns to Company any


 
US-DOCS\144407745.3 Enerpac - Comments to PSU Award Agreement (Special CEO Award) improvement made upon the listed items during Grantee’s employment and during the period of one (1) year following the Termination Date. List of Reserved Inventions: (if none, leave blank) ______________________________________________________________________________ ______________________________________________________________________________ 11. Remedies. In addition to other remedies provided by law or equity, the Parties agree that in the event of any breach or threatened breach of this Agreement, Company may obtain interim or other injunctive relief, in addition to any other remedies available, without the need to post a bond. Grantee further agrees that any breach of this Agreement would result in irreparable harm to Company entitling Company to an injunction prohibiting further breaches of these Paragraphs. The Parties agree that in the event Grantee breaches this Agreement, Grantee shall pay the Company’s reasonable attorney’s fees and costs arising out of any litigation resulting from Grantee’s breach. 12. Assignment. Company may assign its rights under the Agreement to any assignee or successor. Such assignment shall not require the authorization of Grantee. Grantee may not assign or delegate Grantee’s rights or obligations under this Agreement. 13. Entire Agreement. This Agreement constitutes the entire agreement and understanding between Company and Grantee concerning the subject matter addressed herein and supersedes and extinguishes any and all other or previous discussions, agreements, or understandings between the Parties regarding the subject matter herein. Notwithstanding this Paragraph 13, this Agreement shall not serve to supersede or extinguish other agreements between Grantee and Company (and their subsidiary or affiliated companies and successors) containing similar provisions and restrictions where such agreements were entered into with Grantee as a term or condition of employment. 14. Waiver. The waiver by any Party of the breach of any covenant or provision in this Agreement shall not operate or be construed as a waiver of any subsequent breach by any Party. 15. Invalidity of any Provision. The provisions of this Agreement are severable, it being the intention of the Parties that should any provision hereof be invalid or unenforceable, such invalidity or unenforceability of any provision shall not affect the remaining provisions hereof, but the same shall remain in full force and effect to the fullest extent permitted by law as if such invalid or unenforceable provision were omitted. Whenever possible, each provision of this Agreement will be interpreted in such manner as to be effective and valid under law, but if any provision of this Agreement is held to be prohibited by or invalid under applicable law, Company and Grantee agree that such provision is to be reformed to the extent necessary for the provision to be valid and enforceable to the fullest and broadest extent permitted by applicable law, without invalidating the remainder of this Agreement 16. Applicable Law and Venue. The Parties agree that this Agreement shall be governed by and construed in accordance with the internal laws of the State of Wisconsin. Any dispute between the Parties arising out of or related to the terms of this Agreement shall be heard only by the Circuit Court of Waukesha County, Wisconsin, or by the United States District Court for the


 
US-DOCS\144407745.3 Enerpac - Comments to PSU Award Agreement (Special CEO Award) Eastern District of Wisconsin; and the Parties hereby consent to these courts as the exclusive venues for resolving any such disputes. 17. Headings. Headings in this Agreement are for informational purposes only and shall not be used to construe the intent of this Agreement. 18. Counterparts. This Agreement may be executed simultaneously in any number of counterparts, each of which shall be deemed an original but all of which together shall constitute one and the same agreement. 19. Reserved Rights. Nothing in this Agreement shall serve to limit or restrict Grantee’s right to the following: (a) Immunity. An individual shall not be held criminally or civilly liable under any Federal or State trade secret law for the disclosure of a trade secret that (i) is made (a) in confidence to a Federal, State, or local government official, either directly or indirectly, or to an attorney; and (b) solely for the purpose of reporting or investigating a suspected violation of law; or (ii) is made in a complaint or other document filed in a lawsuit or other proceeding, if such filing is made under seal. (b) Use Of Trade Secret Information In Anti-Retaliation Lawsuit. An individual who files a lawsuit for retaliation by an employer for reporting a suspected violation of law may disclose the trade secret to the attorney of the individual and use the trade secret information in the court proceeding, if the individual (i) files any document containing the trade secret under seal; and (ii) does not disclose the trade secret, except pursuant to court order. 20. Reasonableness of Restrictions. GRANTEE HAS READ THIS AGREEMENT AND AGREES THAT THE RESTRICTIONS ON GRANTEE’S ACTIVITIES OUTLINED IN THIS AGREEMENT ARE REASONABLE AND NECESSARY TO PROTECT COMPANY’S LEGITIMATE BUSINESS INTERESTS, THAT THE CONSIDERATION PROVIDED BY COMPANY IS FAIR AND REASONABLE, AND FURTHER AGREES THAT GIVEN THE IMPORTANCE TO COMPANY OF ITS CONFIDENTIAL INFORMATION, TRADE SECRETS, AND CUSTOMER RELATIONSHIPS, THE POST-EMPLOYMENT RESTRICTIONS ON GRANTEE’S ACTIVITIES ARE LIKEWISE FAIR AND REASONABLE. GRANTEE AGREES THAT THE GEOGRAPHIC RESTRICTIONS ON GRANTEE’S ACTIVITIES ARE REASONABLE.


 
US-DOCS\144407745.3 Enerpac - Comments to PSU Award Agreement (Special CEO Award) ATTACHMENT A Definitions. When used in this Agreement, the following terms have the definition set forth below: (a) “Competing Product” means any product or service which is sold or provided in competition with a product or service produced, designed, sold or provided by Grantee, either individually or as part of a team, or by one or more employees or Company business units managed, supervised or directed by Grantee or receiving executive or management support from Grantee during the twelve (12) months immediately preceding the Termination Date. (b) “Confidential Information” means information (to the extent it is not a Trade Secret), whether oral, written, recorded magnetically or electronically, or otherwise stored, and whether originated by the Grantee or otherwise coming into the possession or knowledge of the Grantee, which is possessed by or developed for Company, and which relates to Company’s existing or potential business, which information is not reasonably ascertainable by Company’s competitors or by the general public through lawful means, and which information Company treats as confidential, including but not limited to information regarding Company’s business affairs, PSA Agreements, strategies, products, finances, costs, margins, computer programs, research, customers, purchasing, marketing, and other information. (c) “Current Pending Customer” means a person or entity concerning which Company is actively preparing a business proposal to a prospective customer of the Company as of the Termination Date, or for which Company has a pending proposal to provide goods or services as a Company to a prospect customer as of the Termination Date. However, the term “Current Pending Customer” is limited to persons or entities that Grantee interacts with on behalf of the Company or concerning which Grantee learns, creates or reviews Confidential Information or Trade Secrets on behalf of the Company in the three (3) month period immediately preceding the Grantee’s end of employment with the Company. (d) “Key Employee” means any person who at the Termination Date is employed or engaged by Company, and with whom Grantee has had material contact in the course of employment during the twelve (12) months immediately preceding the Termination Date, and such person is in possession of Confidential Information and/or Trade Secrets. (e) “Key Services” means services of the type performed by a Management Employee, Key Employee or Supervised Employee for the Company during the final twelve (12) months preceding the Termination Date, but shall not include clerical, menial, or manual labor. (f) “Management Employee” means any person who at the Termination Date is employed or engaged by Company, and with whom Grantee has had material contact in the course of employment during the twelve (12) months immediately preceding the Termination Date and such person is a manager, officer, director, or executive of Company. (g) “Proprietary Creations” means all inventions, discoveries, designs, improvements, creations, and works conceived, authored, or developed by Grantee, either individually or with others, any time during Grantee’s employment with the Company that: (1) relate to the Company’s current or contemplated business or activities; (2) relate to the Company’s actual or demonstrably anticipated research or development; (3) result from any work performed by Grantee for the Company; (4) involve the use of Company equipment, supplies, facilities, Confidential Information or Trade Secrets; (5) result from or are suggested by any work done by the Company or at the Company’s request, or any projects


 
US-DOCS\144407745.3 Enerpac - Comments to PSU Award Agreement (Special CEO Award) specifically assigned to Grantee; or (6) result from Grantee’s access to any Company memoranda, notes, records, drawings, sketches, models, maps, customer lists, research results, data, formulae, specifications, inventions, processes, equipment Confidential Information, Trade Secrets or other materials. (h) “Referral Client” means a person or entity that does not directly purchase products or services from Company, but which has the ability to effectively specify or recommend the purchase of products or services from Company or its competitors to end customers. The term Referral Client is limited to persons or entities to or through which Grantee, one or more individuals or Company business units supervised, managed or directed by Grantee, markets or sells Company products or services during the twelve (12) month period immediately preceding the Termination Date. The term Referral Client is further restricted to persons or entities which have specified or recommended the purchase of in excess of fifty thousand dollars (US $50,000) worth of products or services from Company which are actually purchased during the twelve (12) month period immediately preceding the Termination Date. (i) “Restricted Customer” means a customer of Company to which Grantee, or one or more individuals or Company business units supervised, managed, or directed by Grantee, sells or provides products or services on behalf of Company during the twelve (12) month period immediately preceding the Termination Date. The term Restricted Customer is limited to Company customers that purchase or receive in excess of fifty thousand dollars (US $50,000) worth of products or services from Company during the twelve (12) month period immediately preceding the Termination Date. (j) “Restricted Territory” means Territories in which, during the twelve (12) month period immediately preceding the Termination Date, Grantee, or one or more other Company employees or Company business units supervised, managed or directed by or receiving management or executive support from Grantee: (i) provides products or services on behalf of the Company; or (ii) sells or solicits the sale of products or services on behalf of the Company. Notwithstanding the foregoing, the term Restricted Territory is limited to Territories in which Company sells or provides in excess of one hundred thousand dollars (US $100,000) in the aggregate worth of products or services in the twelve (12) month period immediately preceding the Termination Date. (k) “Sales Territory” means Territories in which, during the twelve (12) month period immediately preceding the Termination Date, the Company: (i) sells products or services designed, developed, tested, or produced by Grantee (either individually or in collaboration with other Company employees) or by one or more other Company employees or business units managed or directed by or receiving executive or management support from Grantee; or (ii) provides products or services designed, developed, tested or produced by Grantee (either individually or in collaboration with other Company employees) or by one or more other Company employees or business units managed or directed by or receiving executive or management support from Grantee. Notwithstanding the foregoing, the term Sales Territory is limited to Territories in which Company sells or provides in excess of one hundred thousand dollars (US $100,000) in the aggregate worth of products or services in the twelve (12) month period immediately preceding the Termination Date. (l) “Services” means services of the type performed for Company by Grantee or one or more Company employees managed, supervised, or directed by Grantee during the final twelve


 
US-DOCS\144407745.3 Enerpac - Comments to PSU Award Agreement (Special CEO Award) (12) months preceding the Termination Date, but shall not include clerical, menial, or manual labor. (m) “Strategic Customer” means a customer of Company that purchases or receives a product or service from Company during the twelve (12) month period immediately preceding the Termination Date, but is limited to customers concerning which Grantee learns, creates, or reviews Confidential Information or Trade Secrets on behalf of Company during the twelve (12) month period immediately preceding the Termination Date. The term Strategic Customer is limited to Company customers that purchase or receive in excess of fifty thousand dollars (US $50,000) worth of products or services from Company during the twelve (12) month period immediately preceding the Termination Date. (n) “Supervised Employee” means any person who at the Termination Date is employed or engaged by Company, and with whom Grantee has had material contact in the course of employment during the twelve (12) months immediately preceding the Termination Date, and such person was directly managed by or reported to Grantee during the last 12 months prior to the Termination Date. (o) “Termination Date” means the last date that Grantee serves as an employee of the Company. (p) “Third Party Confidential Information” means information received by Company from others that Company has an obligation to treat as confidential. (q) “Trade Secret” means a Trade Secret as that term is defined under applicable state or federal law. (r) “Territory” means a county within the United States of America, or a city, town or other municipality within a foreign nation.


 
US-DOCS\144407745.3 Enerpac - Comments to PSU Award Agreement (Special CEO Award) ATTACHMENT B 1. For twelve (12) months following the Termination Date, Grantee shall not sell or solicit the sale of a Competing Product to a Restricted Customer or assist others in doing so. 2. For twelve (12) months following the Termination Date, Grantee shall not perform Services as part of or in support of providing, selling, or soliciting the sale of a Competing Product to a Restricted Customer or assist others in doing so. 3. For twelve (12) months following Termination Date, Grantee shall not encourage or cause a Restricted Customer to curtail, withdraw or cancel any business with Company or assist others in doing so. 4. For twelve (12) months following Termination Date, Grantee shall not sell or solicit the sale of a Competing Product to a Strategic Customer or assist others in doing so. 5. For twelve (12) months following Termination Date, Grantee shall not perform Services as part of or in support of providing, selling or soliciting the sale of a Competing Product to a Strategic Customer or assist others in doing so. 6. For twelve (12) months following Termination Date, Grantee shall not encourage or cause a Strategic Customer to curtail, withdraw or cancel any business with Company or assist others in doing so. 7. For twelve (12) months following the Termination Date, Grantee shall not sell or solicit the sale of a Competing Product to or through a Referral Client or assist others in doing so. 8. For twelve (12) months following the Termination Date, Grantee shall not perform Services as part of or in support of providing, selling or soliciting the sale of a Competing Product to or through a Referral Client or assist others in doing so. 9. For twelve (12) months following Termination Date, Grantee shall not encourage or cause a Referral Client to curtail, withdraw or cancel any business with Company or assist others in doing so. 10. For three (3) months following the Termination Date, Grantee shall not sell or solicit the sale of a Competing Product to a Current Pending Customer or assist others in doing so. 11. For twelve (12) months following Termination Date, Grantee shall not accept a position or provide services to a competitor in any capacity in which it is reasonably likely that Grantee would inevitably use or disclose the Company’s Confidential Information or Trade Secrets. This Paragraph shall not bar Grantee from performing clerical, menial or manual labor. 12. For twelve (12) months following Termination Date, Grantee shall not perform Services as part of or in support of the business of selling, providing or soliciting the sale of Competing Products in the Restricted Territory. This Paragraph shall not bar Grantee from performing clerical, menial or manual labor. This Paragraph shall apply to Grantee only if during the one (1) year period immediately preceding the Termination Date Grantee is involved in sales, sales management, or served as an executive or officer of the Company. 13. For twelve (12) months following the Termination Date, Grantee shall not perform Services as part of or in support of developing, designing, testing, or producing Competing Products for sale in the Restricted Territory. This Paragraph shall apply to Grantee only if during the one (1) year


 
US-DOCS\144407745.3 Enerpac - Comments to PSU Award Agreement (Special CEO Award) period immediately preceding the Termination Date Grantee is involved in product development design, testing, production, or served as an executive or officer of the Company. 14. For twelve (12) months following the Termination Date, Grantee shall not perform Services as part of or in support of the business of selling, providing or soliciting the sale of Competing Products in the Sales Territory. This Paragraph shall not bar Grantee from performing clerical, menial or manual labor. This Paragraph shall apply to Grantee only if during the one (1) year period immediately preceding the Termination Date Grantee is involved in product development design, testing, production, or served as an executive or officer of the Company. 15. For twelve (12) months following the Termination Date, Grantee shall not perform Services as part of or in support of developing, designing, testing or producing Competing Products for sale in the Sales Territory. This Paragraph shall apply to Grantee only if during the one (1) year period immediately preceding the Termination Date Grantee is involved in product development design, testing, production, or served as an executive or officer of the Company. 206214-0072\31595416.v7