EX-10.3 4 d556189dex103.htm EX-10.3 EX-10.3

Exhibit 10.3

THIS WARRANT HAS NOT BEEN REGISTERED UNDER THE SECURITIES ACT OF 1933, AS AMENDED, OR ANY APPLICABLE STATE SECURITIES LAWS, AND MAY NOT BE SOLD, TRANSFERRED, PLEDGED, HYPOTHECATED OR OTHERWISE ASSIGNED EXCEPT IN COMPLIANCE WITH THE REGISTRATION REQUIREMENTS OF SUCH ACT AND SUCH STATE SECURITIES LAWS OR PURSUANT TO AN EXEMPTION OR QUALIFICATION THEREFROM.

ODYSSEY MARINE EXPLORATION, INC.

FORM OF TRANCHE I WARRANT TO PURCHASE COMMON STOCK

 

No.             

     December 1, 2023

THIS CERTIFIES THAT, for value received, ________________, a ________________, or its assigns (the “Holder”), is entitled during the Exercise Period (defined below) to subscribe for and purchase at the Exercise Price (defined below) from ODYSSEY MARINE EXPLORATION, INC., a Nevada corporation (the “Company”), the Exercise Shares (defined below), as set forth below and subject to adjustment as provided herein.

This Tranche I Warrant to Purchase Common Stock (this “Warrant”) is being issued pursuant to that certain Note and Warrant Purchase Agreement, dated as of December 1, 2023, by and between the Company and the Holder (the “Agreement”). Capitalized terms not otherwise defined herein shall have the meaning given to such terms in the Agreement.

1. DEFINITIONS. As used herein, the following terms shall have the following respective meanings:

(a) “Board” shall mean the board of directors of the Company.

(b) “Common Stock” shall mean the Company’s common stock, par value $0.0001 per share.

(c) “Exercise Period” shall mean a three-year period commencing on the Initial Closing Date, unless sooner terminated as provided in Section 6 below.

(d) “Exercise Price” shall mean $4.25.

(e) “Exercise Shares” shall mean a number of shares of Common Stock equal to the Principal Amount of the Note, divided by the Exercise Price, subject to adjustment pursuant to Section 4 below.

(f) “Fair Market Value” shall mean, as of any particular date: (i) the volume weighted average of the closing sales prices of the Common Stock for such day on all domestic securities exchanges on which the Common Stock may at the time be listed; (ii) if there have been no sales of the Common Stock on any such exchange on any such day, the average of the highest bid and lowest asked


prices for the Common Stock on all such exchanges at the end of such day; (iii) if on any such day the Common Stock is not listed on a domestic securities exchange, the closing sales price of the Common Stock as quoted on the OTC Bulletin Board, the Pink OTC Markets, or similar quotation system or association for such day; or (iv) if there have been no sales of the Common Stock on the OTC Bulletin Board, the Pink OTC Markets, or similar quotation system or association on such day, the average of the highest bid and lowest asked prices for the Common Stock quoted on the OTC Bulletin Board, the Pink OTC Markets, or similar quotation system or association at the end of such day; in each case, averaged over twenty (20) consecutive Business Days ending on the Business Day immediately prior to the day as of which “Fair Market Value” is being determined; provided, that if the Common Stock is listed on any domestic securities exchange, the term “Business Day” as used in this sentence means Business Days on which such exchange is open for trading. If at any time the Common Stock is not listed on any domestic securities exchange or quoted on the OTC Bulletin Board, the Pink OTC Markets, or similar quotation system or association, the “Fair Market Value” of the Common Stock shall be the fair market value per share as determined jointly by the Board and the Holder; provided, that if the Board and the Holder are unable to agree on the fair market value per share of the Common Stock within a reasonable period of time (not to exceed five Business Days from the Company’s receipt of the Exercise Agreement), such fair market value shall be determined by a nationally recognized investment banking, accounting, or valuation firm jointly selected by the Board and the Holder. The determination of such firm shall be final and conclusive, and the fees and expenses of such valuation firm shall be borne equally by the Company and the Holder.

(g) “Note” shall mean that certain 11% Senior Secured Note due 2025, in the initial principal amount of up to $___________2, issued to the Holder by the Company pursuant to the Agreement, as the same may be amended, restated, supplemented, or otherwise modified from time to time.

(h) “Principal Amount” shall mean $_________.3

(i) “Tranche II Warrant” shall mean the Tranche II Warrant to Purchase Common Stock issued to the Holder pursuant to Section 1(b) of the Agreement.

 

  2.

EXERCISE OF WARRANT.

2.1 Exercise Procedure. The rights represented by this Warrant may be exercised by the Holder in whole or in part at any time during the Exercise Period, by delivery of the following to the Company:

(a) An executed notice of exercise in the form attached hereto (a “Notice of Exercise”);

(b) Payment of the Exercise Price either (i) in cash or (ii) by cancellation of the indebtedness owed to the Holder under the Agreement, specifically, by offsetting the Note Obligations owing to the Holder under the Agreement by the aggregate Exercise Price of the Exercise Shares acquired upon exercise hereof;

(c) Wire instructions for receipt of payment by the Holder in the event that the Company, at its option in its sole discretion, exercises the Cash Option (as defined herein); and

(d) This Warrant.

 

2 

Insert aggregate original principal amount of such Holder’s Note.

3 

Insert original principal amount of such Holder’s Note.

 

2


Upon the exercise of the rights represented by this Warrant, either (x) the Company shall issue and deliver to the Holder, within ten (10) days after receipt of the Notice of Exercise, a certificate or certificates for the Exercise Shares so purchased, registered in the name of the Holder or persons affiliated with the Holder, if the Holder so designates; or (y) at the Company’s option in its sole discretion (the “Cash Option”), within ten (10) days after receipt of the Notice of Exercise, the Company shall pay to the Holder, in immediately available funds by wire transfer pursuant to the wire instructions set forth in the Notice of Exercise, an amount equal to the difference between (i) the Exercise Price paid by the Holder pursuant to the Notice of Exercise and (ii) the product of (A) the number of shares of Common Stock of the Company indicated in the Notice of Exercise multiplied by (B) the arithmetic average of the daily volume weighted average price of the Common Stock on the NASDAQ Capital Market for the five (5) consecutive trading days ending on, and including, the trading day immediately prior to the date of the Notice of Exercise.

The person in whose name any certificate or certificates for Exercise Shares are to be issued upon exercise of this Warrant shall be deemed to have become the holder of record of such shares on the date on which this Warrant was surrendered and payment of the Exercise Price was made, irrespective of the date of delivery of such certificate or certificates, except that, if the date of such surrender and payment is a date when the stock transfer books of the Company are closed, such person shall be deemed to have become the holder of such shares at the close of business on the next succeeding date on which the stock transfer books are open.

Unless this Warrant has been fully exercised or expired, a new Warrant representing the portion of the Exercise Shares, if any, with respect to which this Warrant shall not then have been exercised shall also be issued to the Holder as soon as possible and in any event within such ten (10) day period.

2.2 Cashless Exercise. On any exercise of this Warrant pursuant to a Notice of Exercise dated on or after the date on which the Company announces payment of a cash dividend on account of its Common Stock and prior to the record date for the payment of such cash dividend, in lieu of payment of the aggregate Exercise Price in the manner specified in Section 2.1 above, the Holder may elect (1) to surrender to the Company that number of shares of Common Stock having an aggregate value equal to the aggregate Exercise Price (“Cashless Exercise Option A”) in accordance with Section 2.2(a); or (2) if the cash dividend is in an amount per share of Common Stock equal to or greater than the Exercise Price, to forfeit any right to the cash dividend in exchange for issuance of the Exercise Shares and, if applicable, the payment of cash (“Cashless Exercise Option B”) in accordance with Section 2.2(b).

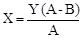
(a) If the Holder elects Cashless Exercise Option A, the Company shall issue to Holder such number of fully paid and non-assessable shares of Common Stock determined by the following formula:

 

            

                           LOGO
 

where:

 

X =

  

the number of shares of Common Stock to be issued to the Holder;

 

Y =

  

the number of shares of Common Stock with respect to which this Warrant is being exercised (inclusive of the shares of Common Stock surrendered to the Company in payment of the aggregate Exercise Price);

 

A =

  

the greatest of (i) the Fair Market Value of one share of Common Stock as of the date of election, (ii) the Fair Market Value of one share of Common Stock as of the date the dividend is announced pursuant to Section 3.2, and (iii) the per share amount of the dividend paid, in each case without impacting the effective date of exercise; and

 

B =

  

the Exercise Price.

(b) If the Holder elects Cashless Exercise Option B, on the payment date of the cash dividend, the Company shall (i) issue and deliver to the Holder a certificate or certificates for that number of Exercise Shares indicated in the Notice of Exercise, registered in the name of the Holder or persons affiliated with the Holder, if the Holder so designates and (ii) pay to the Holder, in immediately available funds by wire transfer pursuant to the wire instructions set forth in the Notice of Exercise, an amount in cash equal to the product of (A) the number of shares of Common Stock of the Company indicated in the Notice of Exercise multiplied by (B) the difference (but not less than zero) between (x) the amount of the cash dividend per share of Common Stock and (y) the Exercise Price.

 

3


2.3 Limitation on Exercise. Notwithstanding anything herein to the contrary, the Company shall not issue any Exercise Shares, to the extent such shares, after giving effect to such issuance after exercise and when added to (x) the number of Exercise Shares previously issued upon exercise of this Warrant and (y) the number of shares of Common Stock previously issued upon exercise of the Tranche II Warrant, would represent in excess of 19.99% of (A) the number of shares of Common Stock outstanding immediately after giving effect to such issuances or (B) the total voting power of the Company’s securities outstanding immediately after giving effect to such issuances that are entitled to vote on a matter being voted on by holders of the Common Stock.

2.4 Maximum Percentage. Notwithstanding anything to the contrary, the Holder may notify the Company in writing in the event it elects to be subject to the provisions contained in this Section 2.3; provided, no Holder shall be subject to this Section 2.3 unless such election is made. If the election is made by a Holder it shall do so by delivering the election notice in substantially the form of the election notice attached hereto, in which event, the Company shall not effect the exercise of the Holder’s Warrant, and such Holder shall not have the right to exercise such Warrant, to the extent that after giving effect to such exercise, such person (together with such person’s affiliates), to the Company’s actual knowledge, would beneficially own in excess of 4.99% or 9.99% (as specified by the Holder) (the “Maximum Percentage”) of the shares of Common Stock outstanding immediately after giving effect to such exercise. For purposes of the foregoing sentence, the aggregate number of shares of Common Stock beneficially owned by such person and its affiliates shall include the number of shares of Common Stock issuable upon exercise of the Warrant with respect to which the determination of such sentence is being made, but shall exclude shares of Common Stock that would be issuable upon (x) exercise of the remaining, unexercised portion of the Warrant beneficially owned by such person and its affiliates and (y) exercise or conversion of the unexercised or unconverted portion of any other securities of the Company beneficially owned by such person and its affiliates (including, without limitation, any convertible notes or convertible preferred stock or warrants) subject to a limitation on conversion or exercise analogous to the limitation contained herein. Except as set forth in the preceding sentence, for purposes of this paragraph, beneficial ownership shall be calculated in accordance with Section 13(d) of the Securities Exchange Act of 1934, as amended (the “Exchange Act”). For purposes of the Warrant, in determining the number of outstanding shares of Common Stock, the Holder may rely on the number of outstanding shares of Common Stock as reflected in (1) the Company’s most recent annual report on Form 10-K, quarterly report on Form 10-Q, current report on Form 8-K or other public filing with the Commission as the case may be, (2) a more recent public announcement by the Company or (3) any other notice by the Company setting forth the number of shares of Common Stock outstanding. For any reason at any time, upon the written request of the Holder, the Company shall, within two (2) Business Days, confirm orally and in writing to such Holder the number of shares of Common Stock then outstanding. In any case, the number of outstanding shares of Common Stock shall be determined after giving effect to the conversion or exercise of equity securities of the Company by the Holder and its affiliates since the date as of which such number of outstanding shares of Common Stock was reported. By written notice to the Company, the Holder may from time to time increase or decrease the Maximum Percentage applicable to such Holder to any other percentage specified in such notice; provided, however, that any such increase shall not be effective until the sixty-first (61st) day after such notice is delivered to the Company.

 

4


  3.

COVENANTS OF THE COMPANY.

3.1 Covenants as to Exercise Shares. The Company covenants and agrees that all Exercise Shares that may be issued upon the exercise of the rights represented by this Warrant will, upon issuance, be validly issued and outstanding, fully paid and nonassessable, and free from all taxes, liens and charges with respect to the issuance thereof. The Company further covenants and agrees that the Company will at all times during the Exercise Period, have authorized and reserved, free from preemptive rights, a sufficient number of shares of its Common Stock to provide for the exercise of the rights represented by this Warrant.

3.2 Notices of Record Date. In the event of any taking by the Company of a record of the holders of any class of securities for the purpose of determining the holders thereof who are entitled to receive any dividend (other than a cash dividend which is the same as cash dividends paid in previous quarters) or other distribution, the Company shall provide to the Holder, at least sixty-five (65) days prior to the date specified herein, a notice specifying the date on which any such record is to be taken for the purpose of such dividend or distribution.

4. ADJUSTMENT OF EXERCISE PRICE. In the event of changes in the outstanding Common Stock of the Company by reason of conversion, redemption, stock dividends, split-ups, recapitalizations, reclassifications, combinations or exchanges of shares, separations, reorganizations, liquidations, or the like, the number and class of Exercise Shares and the Exercise Price shall be correspondingly adjusted to give the Holder of the Warrant, on exercise for the same aggregate Exercise Price, the total number, class, and kind of shares as the Holder would have owned had the Warrant been exercised prior to the event and had the Holder continued to hold such shares until after the event requiring adjustment; provided, however, that such adjustment shall not be made with respect to, and this Warrant shall terminate if not exercised prior to, the events set forth in Section 6 below. The form of this Warrant need not be changed because of any adjustment in the number or class of Exercise Shares subject to this Warrant.

5. FRACTIONAL SHARES. No fractional shares shall be issued upon the exercise of this Warrant as a consequence of any adjustment pursuant hereto. All Exercise Shares (including fractions) issuable upon exercise of this Warrant may be aggregated for purposes of determining whether the exercise would result in the issuance of any fractional share. If, after aggregation, the exercise would result in the issuance of a fractional share, the Holder, in lieu of issuance of any fractional share, shall exercise its right to receive the Conversion Amount in cash, as provided for in the Agreement.

6. EARLY TERMINATION. At any time during the Exercise Period, in the event of the consolidation or merger of the Company with or into another corporation (other than a merger solely to effect a reincorporation of the Company into another state), or the sale or other disposition of all or substantially all the properties and assets of the Company in its entirety to any other person, the Company shall provide to the Holder twenty (20) days’ advance written notice of such consolidation, merger or sale or other disposition of the Company’s assets, and this Warrant shall terminate unless the Holder prior to the date of such consolidation, merger or sale or other disposition of the Company’s assets delivers a written notice to the Company stating that it elects to exercise this Warrant; provided, however, that such exercise, at the Holder’s sole discretion, may be made contingent upon the closing of such consolidation, merger or sale or other disposition of the Company’s assets.

 

5


7. NO SHAREHOLDER RIGHTS. This Warrant in and of itself shall not entitle the Holder to any voting rights or other rights as a shareholder of the Company.

8. TRANSFER OF WARRANT. Subject to applicable laws and the restriction on transfer set forth on the first page of this Warrant, this Warrant and all rights hereunder are transferable, in accordance with Sections 2(g) and 5(f) of the Agreement by the Holder in person or by duly authorized attorney, upon delivery of this Warrant and the form of assignment attached hereto to any transferee designated by the Holder.

9. LOST, STOLEN, MUTILATED OR DESTROYED WARRANT. If this Warrant is lost, stolen, mutilated or destroyed, the Company may, on such terms as to indemnity or otherwise as it may reasonably impose (which shall, in the case of a mutilated Warrant, include the surrender thereof), issue a new Warrant of like denomination and tenor as the Warrant so lost, stolen, mutilated or destroyed. Any such new Warrant shall constitute an original contractual obligation of the Company, whether or not the allegedly lost, stolen, mutilated or destroyed Warrant shall be at any time enforceable by anyone.

10. WAIVER AND AMENDMENT. Any term of this Warrant may not be amended or waived except by a written instrument signed by the Company and the Holder. Any amendment or waiver of the terms of this Warrant effected in accordance with this Section 10 shall be binding upon the Holder, each transferee of this Warrant, and the Company.

11. NOTICES, ETC. All notices required or permitted hereunder shall be in writing and shall be deemed effectively given: (a) upon personal delivery to the party to be notified, (b) when sent by confirmed facsimile or electronic mail if sent during normal business hours of the recipient, if not, then on the next business day, (c) five (5) days after having been sent by registered or certified mail, return receipt requested, postage prepaid, or (d) one (1) day after deposit with a nationally recognized overnight courier, specifying next day delivery, with written verification of receipt. All communications shall be sent, if to the Company, to the recipients specified in Schedule 3 of the Agreement, and, if to the Holder, to the Funder recipients specified in Schedule 3 of the Agreement, or at such other address as the Company or the Holder may designate by ten (10) days advance written notice to the other parties hereto.

The Company shall provide notice to the Holder as follows:

(a) at least twenty (20) days written notice prior to closing thereof of the terms and conditions of any of the following transactions (to the extent the Company has notice thereof): (i) the sale, lease, exchange, conveyance or other disposition of all or substantially all of the Company’s property or business, or (ii) its merger into or consolidation with any other corporation (other than a wholly-owned subsidiary of the Company), or any transaction (including a merger or other reorganization) or series of related transactions, in which more than 50% of the voting power of the Company is disposed of;

(b) at least sixty-five (65) days’ notice prior to the record date of any cash dividend with respect to or offer to repurchase the Common Stock; and

(c) at least ten (10) days’ notice prior to any voluntary or involuntary dissolutions, liquidation or winding-up of the Company.

12. ACCEPTANCE. Receipt of this Warrant by the Holder shall constitute acceptance of and agreement to all of the terms and conditions contained herein.

13. GOVERNING LAW. This Warrant shall be governed by and construed in accordance with the laws of the State of New York.

[SIGNATURE PAGES FOLLOW]

 

6


IN WITNESS WHEREOF, the Company has caused this Warrant to be executed by its duly authorized officer as of the date first set forth above.

 

ODYSSEY MARINE EXPLORATION, INC.
By:    
Name:   Mark D. Gordon
Title:   Chief Executive Officer and Chairman

[Acknowledgement on following page]

 

 

[Signature Page to Tranche I Warrant]


AGREED TO AND ACCEPTED:
HOLDER:
 
By:    
Name:  
Title:  

 

[Acknowledgement of Tranche I Warrant]


NOTICE OF EXERCISE

 

TO:

ODYSSEY MARINE EXPLORATION, INC.

 

        

 

(1)   The undersigned hereby elects to purchase, pursuant to the provisions of the Warrant:

 

    

 

[ __ ]

 

_______ shares of the Common Stock of ODYSSEY MARINE EXPLORATION, INC. (the “Company”) pursuant to the terms of the attached Tranche I Warrant, and provides herewith, a calculation of the dollar amount owed to the Company based on the applicable exercise price, together with all applicable transfer taxes, if any.

   

[ __ ]

 

Cashless Exercise of the attached Warrant with respect to _________ shares of the Common Stock of the Company.

 

(2)

 

Please issue a certificate or certificates representing said shares of Common Stock in the name of the undersigned or in such other name as is specified below:

 

 

       
   (Name)   
       
       
   (Address)   


FORM OF ASSIGNMENT

(To assign the foregoing Tranche I Warrant, execute

this form and supply required information. Do not

use this form to purchase shares.)

ASSIGNMENT OF WARRANT TO PURCHASE COMMON STOCK

FOR VALUE RECEIVED, ________________, a ________________ (the “Holder”), hereby sells, assigns and transfers all of its rights under that certain Tranche I Warrant to Purchase Common Stock, dated as of December 1, 2023, issued by ODYSSEY MARINE EXPLORATION, INC., a Nevada corporation, to the Holder (the “Warrant”), with respect to the portion of the initial principal amount of the Note (as defined in the Warrant) (the “Assigned Amount”) as set forth below, unto:

 

Name and Address of Assignee:

 

    

  

Assigned Amount:

        
      
      
      

 

Dated:  

 

                , 20        

[SIGNATURE PAGE FOLLOWS]

NOTE: The signature to this Assignment Form must correspond with the name as it appears on the face of the Warrant, without alteration or enlargement or any change whatever. Officers of corporations and those acting in a fiduciary or other representative capacity should file proper evidence of authority to assign the foregoing Warrant.


Holder’s Signature:
 
By:    
Name:  
Title:  


FORM OF NOTICE OF MAXIMUM PERCENTAGE ELECTION

TO: ODYSSEY MARINE EXPLORATION, INC.

By delivering this Notice of Maximum Percentage Election, the undersigned Holder hereby elects to be subject to the provisions of Section 2.3 of the Warrant.

 

HOLDER:
 
By:    
Name:    
Title:    
Date: