EX-4.01 3 d938606dex401.htm EX-4.01 EX-4.01

Exhibit 4.01

This Subordinated Note is a Global Security within the meaning of the Indenture hereinafter referred to and is registered in the name of the Depository named below or a nominee of the Depository. This Subordinated Note is not exchangeable for Subordinated Notes registered in the name of a Person other than the Depository or its nominee except in the limited circumstances described herein and in the Indenture, and no transfer of this Subordinated Note (other than a transfer of this Subordinated Note as a whole by the Depository to a nominee of the Depository or by a nominee of the Depository to the Depository or another nominee of the Depository) may be registered except in the limited circumstances described herein.

UNLESS THIS CERTIFICATE IS PRESENTED BY AN AUTHORIZED REPRESENTATIVE OF CDS CLEARING AND DEPOSITORY SERVICES INC. (“CDS”) TO THE COMPANY OR ITS AGENT FOR REGISTRATION OF TRANSFER, EXCHANGE OR PAYMENT, AND ANY CERTIFICATE ISSUED IN RESPECT THEREOF IS REGISTERED IN THE NAME OF CDS & CO., OR IN SUCH OTHER NAME AS IS REQUESTED BY AN AUTHORIZED REPRESENTATIVE OF CDS (AND ANY PAYMENT IS MADE TO CDS & CO. OR TO SUCH OTHER ENTITY AS IS REQUESTED BY AN AUTHORIZED REPRESENTATIVE OF CDS), ANY TRANSFER, PLEDGE OR OTHER USE HEREOF FOR VALUE OR OTHERWISE BY OR TO ANY PERSON IS WRONGFUL SINCE THE REGISTERED HOLDER HEREOF, CDS & CO., HAS A PROPERTY INTEREST IN THE SECURITIES REPRESENTED BY THIS CERTIFICATE HEREIN AND IT IS A VIOLATION OF ITS RIGHTS FOR ANOTHER PERSON TO HOLD, TRANSFER OR DEAL WITH THIS CERTIFICATE. THIS CERTIFICATE IS ISSUED PURSUANT TO A BOOK ENTRY ONLY SECURITIES SERVICES AGREEMENT BETWEEN ISSUER AND CDS, AS SUCH AGREEMENT MAY BE REPLACED OR AMENDED FROM TIME TO TIME.

UNLESS PERMITTED UNDER CANADIAN SECURITIES LEGISLATION, THE HOLDER OF THIS SUBORDINATED NOTE MUST NOT TRADE THE SUBORDINATED NOTE BEFORE OCTOBER 4, 2025.

The Subordinated Notes are not savings accounts or deposits but are unsecured obligations of Citigroup Inc. The Subordinated Notes are not insured by the Federal Deposit Insurance Corporation or by any other federal agency or instrumentality.

CITIGROUP INC.

4.550% Fixed Rate / Floating Rate Subordinated Notes due June 3, 2035

 

REGISTERED       REGISTERED
      CUSIP: 172967QC8
      ISIN: CA172967QC81
No. R-00*       C$*


CITIGROUP INC., a Delaware corporation (the “Company”, which term includes any successor Person under the Indenture), for value received, hereby promises to pay to CDS & Co., or registered assigns, the principal sum of C$* on June 3, 2035 (the “Maturity Date”) and to pay interest thereon from and including June 3, 2025 or from the most recent Interest Payment Date to which interest has been paid or duly provided for. The Company shall pay interest (i) from June 3, 2025 to, but excluding, June 3, 2030 (the “Fixed Rate Period”) at a fixed rate of 4.550% per annum semi-annually, on June 3rd and December 3rd of each year (each such date, a “Fixed Rate Period Interest Payment Date”), commencing December 3, 2025 and (ii) from, and including, June 3, 2030 to, but excluding, the Maturity Date or earlier redemption date (the “Floating Rate Period”), at an annual rate equal to Daily Compounded CORRA (as defined on the reverse hereof) determined for the Observation Period (as defined on the reverse hereof) plus 1.920%, subject to a minimum interest rate of 0.000% per annum, quarterly on the 3rd day of each March, June, September and December (each, a “Floating Rate Period Interest Payment Date” and together with any Fixed Rate Period Interest Payment Date, an “Interest Payment Date”), commencing September 3, 2030, until the principal hereof is paid or made available for payment and provided that the Interest Payment Date with respect to the final interest period will be a redemption date or the Maturity Date. The interest so payable, and punctually paid or duly provided for, on any Interest Payment Date will, as provided in the Indenture, be paid to the Person in whose name this Subordinated Note is registered at the close of business on the Record Date for such interest, which shall be the Business Day immediately preceding such Interest Payment Date. Any such interest not so punctually paid or duly provided for will forthwith cease to be payable to the holder on such Record Date and may either be paid to the Person in whose name this Subordinated Note is registered at the close of business on a subsequent Record Date, such subsequent Record Date to be not less than ten days prior to the date of payment of such defaulted interest, notice whereof shall be given to holders of Subordinated Notes of this series not less than ten days prior to such subsequent Record Date, or be paid at any time in any other lawful manner not inconsistent with the requirements of any securities exchange on which the Subordinated Notes of this series may be listed, and upon such notice as may be required by such exchange, all as more fully provided in the Indenture.

During the Fixed Rate Period, interest hereon will be calculated using the Actual/Actual (Canadian Compound Method) day count convention, which means on the basis of a 360 day year comprised of twelve 30 day months for a full semi-annual interest period or, in the case of a period shorter than a full semi-annual interest period, the actual number of days elapsed and a year of 365 days, and an interest period shall be the period from and including an Interest Payment Date (or June 3, 2025 in the case of the first interest period) to and including the day immediately preceding the next Interest Payment Date. During the Fixed Rate Period, if an Interest Payment Date falls on a day that is not a Business Day, such Interest Payment Date will be the next succeeding Business Day, and no further interest will accrue in respect of such postponement. For these purposes, “Business Day” means any day on which commercial banks settle payments and are open for general business (including dealings in foreign currency deposits and foreign exchange) in Toronto and The City of New York.

During the Floating Rate Period, interest hereon will be calculated on the basis of the actual number of days elapsed in an interest period and a 365-day year, and an interest period shall be the period from and including an Interest Payment Date (or June 3, 2030 in the case of the first interest period during the Floating Rate Period) to, but excluding, the next succeeding Interest Payment Date. During the Floating Rate Period, in the event that any Interest Payment Date is not a Bank of Canada Business Day (as defined on the reverse hereof), then such date will be postponed to the next succeeding Bank of Canada Business Day, unless that day falls in the next calendar month, in which case the interest


payment date will be the immediately preceding Bank of Canada Business Day. If a date for payment of interest or principal on the Subordinated Note falls on a day that is not a Business Day in the place of payment, such payment will be made on the next succeeding Business Day in such place of payment as if made on the date the payment was due. No interest will accrue on any amounts payable for the period from and after the due date for payment of such principal or interest.

Dollar amounts resulting from such calculations will be rounded to the nearest cent, with one-half cent being rounded upward.

Payment of the principal of and interest on this Subordinated Note will be made at the office or agency of the paying agent maintained for that purpose in London in Canadian dollars.

Reference is hereby made to the further provisions of this Subordinated Note set forth on the reverse hereof, which further provisions shall for all purposes have the same effect as if set forth at this place.

Unless the certificate of authentication hereon has been executed by the Trustee or by an authenticating agent on behalf of the Trustee by manual signature, this Subordinated Note shall not be entitled to any benefit under the Indenture or be valid or obligatory for any purpose.


IN WITNESS WHEREOF, the Company has caused this instrument to be duly executed under its corporate seal.

Dated: June 3, 2025

 

CITIGROUP INC.
By:    
  Name:
  Title:

 

ATTEST:
By:    
  Name:
  Title:


This is one of the Subordinated Notes of the series issued under the within-mentioned Indenture.

Dated: June 3, 2025

 

THE BANK OF NEW YORK MELLON,
as Trustee
By:    
  Name:
  Title:
-or-
CITIBANK, N.A.,
as Authenticating Agent
By:    
  Name:
  Title:


This Subordinated Note is one of a duly authorized issue of Securities of the Company (the “Subordinated Notes”), issued and to be issued in one or more series under the subordinated debt indenture, dated as of April 12, 2001 (as amended and supplemented from time to time, the “Indenture”), between the Company and The Bank of New York Mellon (as successor to J.P. Morgan Trust Company, N.A. and Bank One Trust Company, N.A.), as trustee (the “Trustee”, which term includes any successor trustee under the Indenture), to which Indenture and all indentures supplemental thereto reference is hereby made for a statement of the respective rights, limitations of rights, duties and immunities thereunder of the Company, the Trustee and the holders of the Subordinated Notes and of the terms upon which the Subordinated Notes are, and are to be, authenticated and delivered. This Subordinated Note is one of the series designated on the face hereof, initially limited in aggregate principal to C$1,500,000,000.

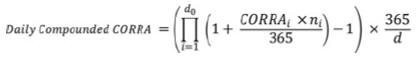
During the Floating Rate Period, this Subordinated Note will bear interest for each interest period at a rate determined by Citibank, N.A., London Branch, acting as Calculation Agent. The interest rate on this Subordinated Note for a particular interest period during the Floating Rate Period will be a per annum rate equal to Daily Compounded CORRA (as defined below) plus 1.920%, calculated over the period from, and including, the date that is two Bank of Canada Business Days preceding the first date in such interest period to, but excluding, the date that is two Bank of Canada Business Days preceding the Interest Payment Date or, in the case of the final Interest Payment Date, the Maturity Date, or, if applicable, preceding the date of redemption of any Subordinated Notes (each such period, an “Observation Period”), subject to a minimum interest rate of 0.000% per annum. The Calculation Agent will determine Daily Compounded CORRA on each Interest Determination Date during the Floating Rate Period. During the Floating Rate Period, an Interest Determination Date is the date that is two Bank of Canada Business Days preceding each Interest Payment Date, or, in the case of the final interest period, preceding the Maturity Date, or, if applicable, preceding the date of redemption of any Subordinated Notes, and an interest period is the period commencing on an Interest Payment Date and ending on the day preceding the next following Interest Payment Date; provided that the first interest period of the Floating Rate Period will commence on June 3, 2030 and will end on the day preceding the next following Interest Payment Date. Promptly upon determination, the Calculation Agent will inform the Trustee and the Company of the interest rate for the next interest period. Absent manifest error, the determination of the interest rate by the Calculation Agent shall be binding and conclusive on the holders of Subordinated Notes, the Trustee and the Company.

For the purposes of calculating interest with respect to any interest period during the Floating Rate Period:

Daily Compounded CORRA for an Observation Period will be calculated as follows, with the resulting percentage rounded if necessary to the fifth decimal place, with 0.000005 being rounded upwards and (-) 0.000005% being rounded downwards:

 

LOGO

Where:

 

   

“CORRA Compounded Indexstart” is the CORRA Compounded Index value on the date that is two Bank of Canada Business Days preceding the first date of the relevant interest period, as published by the Bank of Canada, as the administrator of such rate (or any successor administrator of such rate), on the website of the Bank of Canada or any successor website;


   

“CORRA Compounded Indexend” is the CORRA Compounded Index value on the date that is two Bank of Canada Business Days preceding the interest payment date relating to the relevant interest period, as published by the Bank of Canada, as the administrator of such rate (or any successor administrator of such rate), on the website of the Bank of Canada or any successor website;

 

   

“CORRA Compounded Index” is the measure of the cumulative impact of CORRA compounding over time administered and published by the Bank of Canada (or any successor Reference Rate Administrator); and

 

   

“d” is the number of calendar days in the relevant Observation Period.

The following procedures will be followed if Daily Compounded CORRA cannot be determined as described above.

If, on or after June 3, 2030, (i) the CORRA Compounded Indexstart or the CORRA Compounded Indexend is not published or displayed by the Reference Rate Administrator or an authorized distributor by 11:30 a.m. Toronto time (or an amended publication time, if any, as specified in the Reference Rate Administrator’s methodology for calculating the CORRA Compounded Index) on the Interest Determination Date for such interest period, but an Index Cessation Effective Date with respect to the CORRA Compounded Index has not occurred, or (ii) an Index Cessation Effective Date with respect to the CORRA Compounded Index has occurred, then Daily Compounded CORRA will be calculated by the calculation agent as follows, with the resulting percentage being rounded, if necessary, to the fifth decimal place, with 0.000005% being rounded upwards and (-) 0.000005% being rounded downwards:

 

LOGO

Where:

 

   

“d0” for any Observation Period is the number of Bank of Canada Business Days in the relevant Observation Period;

 

   

“i” is a series of whole numbers from one to d0, each representing the relevant Bank of Canada Business Day in chronological order from, and including, the first Bank of Canada Business Day in the relevant Observation Period;

 

   

“CORRAi” means, in respect of any Bank of Canada Business Day “i” in the relevant Observation Period, a reference rate equal to the daily CORRA rate for that day, as published or displayed by the Reference Rate Administrator or an authorized distributor at 11:00 a.m. Toronto time (or an amended publication time, if any, as specified in the Reference Rate Administrator’s methodology for calculating CORRA) on the immediately following Bank of Canada Business Day, which is Bank of Canada Business Day “i” + 1;


   

“ni” means, for any Bank of Canada Business Day “i” in the relevant Observation Period, the number of calendar days from, and including, such Bank of Canada Business Day “i” to, but excluding, the following Bank of Canada Business Day, which is Bank of Canada Business Day “i” + 1; and

 

   

“d” is the number of calendar days in the relevant Observation Period.

If neither the Reference Rate Administrator nor authorized distributors provide or publish CORRA and an Index Cessation Effective Date with respect to CORRA has not occurred, then, in respect of any day for which CORRA is required, references to CORRA will be deemed to be references to the last provided or published CORRA.

If an Index Cessation Effective Date occurs with respect to CORRA, the interest rate for an Interest Determination Date which occurs on or after such Index Cessation Effective Date will be the CAD Recommended Rate, to which the calculation agent will apply a spread and make such adjustments as determined by the Company (or its affiliate) to be necessary to account for any difference in the term structure or tenor of the CAD Recommended Rate in comparison to CORRA.

If there is a CAD Recommended Rate before the end of the first Bank of Canada Business Day following the Index Cessation Effective Date with respect to CORRA, but neither the Reference Rate Administrator nor authorized distributors provide or publish the CAD Recommended Rate and an Index Cessation Effective Date with respect to the CAD Recommended Rate has not occurred, then, in respect of any day for which the CAD Recommended Rate is required, references to the CAD Recommended Rate will be deemed to be references to the last provided or published CAD Recommended Rate.

If: (a) there is no CAD Recommended Rate before the end of the first Bank of Canada Business Day following the Index Cessation Effective Date with respect to CORRA; or (b) there is a CAD Recommended Rate and an Index Cessation Effective Date subsequently occurs with respect to the CAD Recommended Rate, the interest rate for an Interest Determination Date which occurs on or after such applicable Index Cessation Effective Date will be the BOC Target Rate, to which the calculation agent will apply a spread and make such adjustments as determined by the Company (or its affiliate) to be necessary to account for any difference in the term structure or tenor of the BOC Target Rate in comparison to CORRA.

In respect of any day for which the BOC Target Rate is required, references to the BOC Target Rate will be deemed to be references to the last provided or published BOC Target Rate as of the close of business in Toronto on that day.

In connection with the implementation of an Applicable Rate, the Company (or its affiliate) may make such adjustments to the Applicable Rate or the spread thereon, if any, as well as the business day convention, the calendar day count convention, interest determination dates, and related provisions and definitions (including observation dates for reference rates), in each case as are consistent with accepted market practice for the use of the Applicable Rate for debt obligations such as the Subordinated Notes in such circumstances.


Any determination, decision or election that may be made by the Company (or its affiliate) in relation to the Applicable Rate, including any determination with respect to an adjustment or the occurrence or non-occurrence of an event, circumstance or date and any decision to take or refrain from taking any action or any selection: (i) will be conclusive and binding, absent manifest error; (ii) will be made in the sole discretion of the Company (or such affiliate); and (iii) shall become effective without consent from the holders of the notes or any other party.

All percentages used in or resulting from any calculation of the rate of interest on the Subordinated Notes will be rounded, if necessary, to the nearest 1/100,000 of 1% (.0000001), with five one-millionths of a percentage point, rounded upward. All currency amounts used in or resulting from these calculations on the Subordinated Notes will be rounded to the nearest one-hundredth of a unit. For purposes of rounding, .005 of a unit shall be rounded upward.

Applicable Rate” means one of CORRA Compounded Index, CORRA, the CAD Recommended Rate or the BOC Target Rate, as applicable.

Bank of Canada Business Day” means a day that Schedule I banks under the Bank Act (Canada) are open for business in Toronto, Ontario, Canada, other than a Saturday or a Sunday or a public holiday in Toronto (or such revised regular publication calendar for an Applicable Rate as may be adopted by the Reference Rate Administrator from time to time).

BOC Target Rate” means the Bank of Canada’s target for the overnight rate as set by the Bank of Canada and published on the Bank of Canada’s website.

CAD Recommended Rate” means the rate (inclusive of any spreads or adjustments) recommended as the replacement for CORRA by a committee officially endorsed or convened by the Bank of Canada for the purpose of recommending a replacement for CORRA (which rate may be produced by the Bank of Canada or another administrator) and as provided by the administrator of that rate or, if that rate is not provided by the administrator thereof (or a successor administrator), published by an authorized distributor.

CORRA” means the Canadian Overnight Repo Rate Average, as published by the Bank of Canada, as the administrator of CORRA (or any successor Reference Rate Administrator), on the website of the Bank of Canada or any successor website.

CORRA Compounded Index” means the measure of the cumulative impact of CORRA compounding over time administered and published by the Bank of Canada (or any successor Reference Rate Administrator).

Index Cessation Effective Date” means, in respect of an Index Cessation Event, the first date on which the Applicable Rate is no longer provided. If the Applicable Rate ceases to be provided on the same day that it is required to determine the rate for an Interest Determination Date, but it was provided at the time at which it is to be observed (or, if no such time is specified, at the time at which it is ordinarily published), then the Index Cessation Effective Date will be the next day on which the rate would ordinarily have been published.

Index Cessation Event” means:

(A) a public statement or publication of information by or on behalf of the Reference Rate Administrator or provider of the Applicable Rate announcing that it has ceased or will cease to provide the Applicable Rate permanently or indefinitely, provided that, at the time of the statement or publication, there is no successor Reference Rate Administrator or provider of the Applicable Rate that will continue to provide the Applicable Rate; or

(B) a public statement or publication of information by the regulatory supervisor for the Reference Rate Administrator or provider of the Applicable Rate, the Bank of Canada, an insolvency official with jurisdiction over the Reference Rate Administrator or provider of the Applicable Rate, a resolution authority with jurisdiction over the Reference Rate Administrator or provider of the Applicable Rate or a court or an entity with similar insolvency or resolution authority over the Reference Rate


Administrator or provider of the Applicable Rate, which states that the Reference Rate Administrator or provider of the Applicable Rate has ceased or will cease to provide the Applicable Rate permanently or indefinitely, provided that, at the time of the statement or publication, there is no successor Reference Rate Administrator or provider of the Applicable Rate that will continue to provide the Applicable Rate.

Interest Determination Date” means the date that is two Bank of Canada Business Days preceding each interest payment date, or, in the case of the final interest period, preceding the maturity date, or, if applicable, preceding the date of redemption of any Subordinated Notes.

Reference Rate Administrator” means the Bank of Canada or any successor administrator for CORRA and/or the CORRA Compounded Index or the administrator (or its successor) of another Applicable Rate, as applicable.

Upon request from any Noteholder, the Calculation Agent will provide the interest rate in effect on this Subordinated Note for the current interest period during the Floating Rate Period and, if it has been determined, the interest rate to be in effect for the next interest period during the Floating Rate Period.

The Company covenants and agrees that the indebtedness evidenced by the Subordinated Notes is subordinate and junior in right of payment to all Senior Indebtedness to the extent provided in the Indenture, and each holder of Subordinated Notes, by his or her acceptance thereof, likewise covenants and agrees to the subordination provided in the Indenture (including Article Fourteen thereof) and shall be bound by the provisions thereof.

“Senior Indebtedness” means:

 

  (1)

the principal, premium, if any, and interest in respect of (A) indebtedness for money borrowed and (B) indebtedness evidenced by securities, notes, debentures, bonds or other similar instruments issued by the Company, including all indebtedness (whether now or hereafter outstanding) issued under (i) an indenture dated November 13, 2013 between the Company and The Bank of New York Mellon, as trustee, as the same has been or may be amended, modified or supplemented from time to time, and (ii) an indenture dated March 15, 1987, between the Company and The Bank of New York Mellon, as successor trustee, as the same has been or may be amended, modified or supplemented from time to time;

(2) all capital lease obligations of the Company;

(3) all obligations of the Company issued or assumed as the deferred purchase price of property, all conditional sale obligations of the Company and all obligations of the Company under any conditional sale or title retention agreement, but excluding trade accounts payable in the ordinary course of business;

(4) all obligations, contingent or otherwise, of the Company in respect of any letters of credit, bankers acceptances, security purchase facilities or similar credit transactions;


(5) all obligations of the Company in respect of interest rate swap, cap or other agreements, interest rate future or option contracts, currency swap agreements, currency future or option contracts or other similar agreements;

(6) all obligations of the type referred to in clauses (1) through (5) above of other persons for the payment which the Company is responsible or liable as obligor, guarantor or otherwise; and

(7) all obligations of the type referred to in clauses (1) through (6) above of other persons secured by any lien on any property or asset of the Company, whether or not such obligation is assumed by the Company; except that Senior Indebtedness does not include:

(A) any other indebtedness issued under the Indenture;

(B) all indebtedness (whether now or hereafter outstanding) issued to a Citigroup Trust under (i) the indenture, dated as of October 7, 1996, between Citigroup and The Bank of New York Mellon, as successor trustee to JPMorgan Chase Bank (formerly known as The Chase Manhattan Bank), as trustee, as the same has been or may be amended, modified, or supplemented from time to time and (ii) the indenture, dated as of July 23, 2004, between Citigroup and The Bank of New York Mellon, as successor trustee to JPMorgan Chase Bank, as trustee, as the same has been or may be amended, modified, or supplemented from time to time (collectively, the “junior subordinated debt indentures”);

(C) any guarantee in respect of any preferred securities, capital securities or preference stock of a Citigroup Trust; or

(D) any indebtedness or any guarantee that is by its terms subordinated to, or ranks equally with, the Subordinated Notes and the issuance of which (x) has received the concurrence or approval of the staff of the Federal Reserve Bank of New York or the staff of the Board of Governors of the Federal Reserve System or (y) does not at the time of issuance prevent the Subordinated Notes from qualifying for Tier 2 capital treatment (irrespective of any limits on the amount of the Company’s Tier 2 capital) under the applicable capital adequacy guidelines, regulations, policies or published interpretations of the Board of Governors of the Federal Reserve System or any applicable concurrence or approval of the Federal Reserve Bank of New York or its staff.

“Citigroup Trust” means each of Citigroup Capital III and Citigroup Capital XIII, each a Delaware statutory trust, or any other similar trust created for the purpose of issuing preferred securities in connection with the issuances of junior subordinated notes under the junior subordinated debt indentures.

In the event that the Company shall default in the payment of any principal of (or premium, if any) or interest on any Senior Indebtedness when the same becomes due and payable after any applicable grace period, whether at maturity or at a date fixed for prepayment or by declaration or otherwise, then, unless and until such default shall have been cured or waived or shall have ceased to exist, no direct or indirect payment (in cash, property, securities, by set-off or


otherwise) shall be made or agreed to be made on account of the principal of, or premium, if any, or interest on the indebtedness evidenced by the Subordinated Notes, or in respect of any redemption, retirement or other acquisition of any of the Subordinated Notes, except that holders of Subordinated Notes may receive and retain (x) securities of the Company or any other corporation provided for by a plan of reorganization or readjustment the payment of which is subordinate, at least to the extent provided in these subordination provisions with respect to the indebtedness evidenced by the Subordinated Notes, to the payment of all Senior Indebtedness at the time outstanding and to any securities issued in respect thereof under any such plan of reorganization or readjustment and (y) payments made from a defeasance trust created pursuant to Article Eleven of the Indenture.

In the event of:

(i) any insolvency, bankruptcy, receivership, liquidation, reorganization, readjustment, composition or other similar proceeding relating to the Company, its creditors or its property,

(ii) any proceeding for liquidation, dissolution or other winding up of the Company, voluntary or involuntary, whether or not involving insolvency or bankruptcy proceedings,

(iii) any assignment by the Company for the benefit of creditors, or

(iv) any other marshalling of the assets of the Company,

all Senior Indebtedness (including any interest thereon accruing after the commencement of any such proceedings) shall first be paid in full before any payment or distribution, whether in cash, securities or other property, shall be made to any Holder of any of the Subordinated Notes on account thereof (except as provided in the next sentence). Any payment or distribution, whether in cash, securities or other property (other than (x) securities of the Company or any other corporation provided for by a plan of reorganization or readjustment the payment of which is subordinate, at least to the extent provided in these subordination provisions with respect to the indebtedness evidenced by the Subordinated Notes, to the payment of all Senior Indebtedness at the time outstanding and to any securities issued in respect thereof under any such plan of reorganization or readjustment and (y) payments made from a defeasance trust created pursuant to Article Eleven of the Indenture), which would otherwise (but for these subordination provisions) be payable or deliverable in respect of the Subordinated Notes shall be paid or delivered directly to the holders of Senior Indebtedness in accordance with the priorities then existing among such holders until all Senior Indebtedness (including any interest thereon accruing after the commencement of any such proceedings) shall have been paid in full.

If an event of default (as defined in the Indenture) with respect to Subordinated Notes of this series shall occur and be continuing, the principal of the Subordinated Notes of this series may be declared due and payable in the manner and with the effect provided in the Indenture.

The Indenture contains provisions for defeasance at any time of the entire indebtedness of this Subordinated Note upon compliance by the Company with certain conditions set forth in Article Eleven thereof, which provisions apply to this Subordinated Note.


The Indenture contains provisions permitting the Company and the Trustee, without the consent of the holders of Securities, to establish, among other things, the form and terms of any series of Securities issuable thereunder by one or more supplemental indentures, and, with the consent of the holders of not less than a majority of the principal amount of Securities at the time outstanding which are affected thereby, to modify the Indenture or any supplemental indenture or the rights of the holders of Securities of such series to be affected, provided that no such modification shall, without the consent of the holder of each outstanding Security so affected, (x) change the Stated Maturity of the principal of, or any installment of principal of or interest on, any Security, or reduce the principal amount thereof or the rate of interest thereon or any premium thereon, or change any place of payment where, or the coin or currency in which any Security or any premium or interest thereon is payable, or impair the right to institute suit for the enforcement of any such payment on or after the Stated Maturity thereof (or, in the case of redemption on or after the Redemption Date) or modify the provisions of the Indenture with respect to the subordination of the Securities in a manner adverse to the Securityholders or (y) reduce the aforesaid percentage in principal amount of the outstanding Securities of any series, the consent of the holders of which is required for any supplemental indenture, or the consent of whose holders is required for any waiver provided for in the Indenture, or (z) modify certain other provisions of the Indenture, as set forth in Section 13.02 of the Indenture.

No reference herein to the Indenture and no provision of this Subordinated Note or of the Indenture shall alter or impair the obligation of the Company, which is absolute and unconditional, to pay the principal of and interest on this Subordinated Note at the times, place and rate, and in the coin or currency, herein prescribed.

This Subordinated Note is a Global Security registered in the name of a nominee of the Depository. This Subordinated Note is exchangeable for Subordinated Notes registered in the name of a person other than the Depository or its nominee only in the limited circumstances hereinafter described. Unless and until it is exchanged in whole or in part for definitive Subordinated Notes in certificated form, this Note may not be transferred except as a whole by the Depository to a nominee of the Depository or by a nominee of the Depository to the Depository or another nominee of the Depository.

The Subordinated Notes represented by this Global Security are exchangeable for definitive Subordinated Notes in certificated form of like tenor as such Subordinated Notes in denominations of C$150,000 and whole multiples of C$1,000 in excess thereof only if (i) the Depository notifies the Company that it is unwilling or unable to continue as Depository for the Subordinated Notes and a successor depositary is not appointed by the Company within a reasonable period after receiving such notice or (ii) the Depository ceases to be a recognized clearing agency under the Securities Act (Ontario) or other applicable Canadian securities legislation and a successor depositary is not appointed by the Company within a reasonable period after becoming aware that the Depositary is no longer so recognized or (iii) if both Clearstream Banking, société anonyme and Euroclear Bank, S.A./N.V., or its successor, as operator of the Euroclear System, notify the Company that they are unwilling or unable to continue as a clearing system in connection with the Subordinated Notes or (iv) the Company in its sole discretion decides to allow some or all of the Subordinated Notes to be exchanged for definitive Subordinated Notes in registered form. Any Subordinated Notes that are exchangeable pursuant to the preceding sentence are exchangeable for


certificated Subordinated Notes issuable in authorized denominations and registered in such names as the Depository shall direct. As provided in the Indenture and subject to certain limitations therein set forth, the transfer of definitive Subordinated Notes in certificated form is registrable in the register maintained by the Company in London for such purpose, upon surrender of the definitive Subordinated Note for registration of transfer at the office or agency of the registrar, duly endorsed by, or accompanied by a written instrument of transfer in form satisfactory to the Company and the registrar duly executed by, the holder thereof or his attorney duly authorized in writing, and thereupon one or more new Subordinated Notes of this series and of like tenor, of authorized denominations and for the same aggregate principal amount, will be issued to the designated transferee or transferees. Subject to the foregoing, this Subordinated Note is not exchangeable, except for a Global Security or Global Securities of this issue of the same principal amount to be registered in the name of the Depository or its nominee.

No service charge shall be made for any such registration of transfer or exchange, but the Company may require payment of a sum sufficient to cover any tax or other governmental charge payable in connection therewith.

Prior to due presentment of this Subordinated Note for registration of transfer, the Company, the Trustee and any agent of the Company or the Trustee may treat the Person in whose name this Subordinated Note is registered as the owner hereof for all purposes, whether or not this Subordinated Note be overdue, and neither the Company, the Trustee nor any such agent shall be affected by notice to the contrary.

The Company will pay additional amounts (“Additional Amounts”) to the beneficial owner of any Subordinated Note that is a non-United States person in order to ensure that every net payment on such Subordinated Note will not be less, due to payment of U.S. withholding tax, than the amount then due and payable. For this purpose, a “net payment” on a Subordinated Note means a payment by the Company or a paying agent, including payment of principal and interest, after deduction for any present or future tax, assessment or other governmental charge of the United States. These Additional Amounts will constitute additional interest on the Subordinated Note.

The Company will not be required to pay Additional Amounts, however, in any of the circumstances described in items (1) through (13) below.

(1) Additional Amounts will not be payable if a payment on a Subordinated Note is reduced as a result of any tax, assessment or other governmental charge that is imposed or withheld solely by reason of the beneficial owner:

(a) having a relationship with the United States as a citizen, resident or otherwise;

(b) having had such a relationship in the past; or

(c) being considered as having had such a relationship.

(2) Additional Amounts will not be payable if a payment on a Subordinated Note is reduced as a result of any tax, assessment or other governmental charge that is imposed or withheld solely by reason of the beneficial owner:

(a) being treated as present in or engaged in a trade or business in the United States;

(b) being treated as having been present in or engaged in a trade or business in the United States in the past; or


(c) having or having had a permanent establishment in the United States.

(3) Additional Amounts will not be payable if a payment on a Subordinated Note is reduced as a result of any tax, assessment or other governmental charge that is imposed or withheld in whole or in part by reason of the beneficial owner being or having been any of the following (as such terms are defined in the Internal Revenue Code of 1986, as amended):

(a) personal holding company;

(b) foreign private foundation or other foreign tax-exempt organization;

(c) passive foreign investment company;

(d) controlled foreign corporation; or

(e) corporation which has accumulated earnings to avoid United States federal income tax.

(4) Additional Amounts will not be payable if a payment on a Subordinated Note is reduced as a result of any tax, assessment or other governmental charge that is imposed or withheld solely by reason of the beneficial owner owning or having owned, actually or constructively, 10 percent or more of the total combined voting power of all classes of stock of the Company entitled to vote or by reason of the beneficial owner being a bank that has invested in a Subordinated Note as an extension of credit in the ordinary course of its trade or business.

For purposes of items (1) through (4) above, “beneficial owner” means a fiduciary, settlor, beneficiary, member or shareholder of the holder if the holder is an estate, trust, partnership, limited liability company, corporation or other entity, or a person holding a power over an estate or trust administered by a fiduciary holder.

(5) Additional Amounts will not be payable to any beneficial owner of a Subordinated Note that is a:

(a) fiduciary;

(b) partnership;

(c) limited liability company; or

(d) other fiscally transparent entity

or that is not the sole beneficial owner of the Subordinated Note, or any portion of the Subordinated Note. However, this exception to the obligation to pay Additional Amounts will only apply to the extent that a beneficiary or settlor in relation to the fiduciary, or a beneficial owner or member of the partnership, limited liability company or other fiscally transparent entity, would not have been entitled to the payment of an Additional Amount had the beneficiary, settlor, beneficial owner or member received directly its beneficial or distributive share of the payment.

(6) Additional Amounts will not be payable if a payment on a Subordinated Note is reduced as a result of any tax, assessment or other governmental charge that is imposed or withheld solely by reason of the failure of the beneficial owner or any other person to comply with applicable certification, identification, documentation or other information reporting requirements. This exception to the obligation to pay Additional Amounts will only apply if compliance with such reporting requirements is required by statute or regulation of the United States or by an applicable income tax treaty to which the United States is a party as a precondition to exemption from such tax, assessment or other governmental charge.


(7) Additional Amounts will not be payable if a payment on a Subordinated Note is reduced as a result of any tax, assessment or other governmental charge that is collected or imposed by any method other than by withholding from a payment on a Subordinated Note by the Company or a paying agent.

(8) Additional Amounts will not be payable if a payment on a Subordinated Note is reduced as a result of any tax, assessment or other governmental charge that is imposed or withheld by reason of a change in law, regulation, or administrative or judicial interpretation that becomes effective more than 15 days after the payment becomes due or is duly provided for, whichever occurs later.

(9) Additional Amounts will not be payable if a payment on a Subordinated Note is reduced as a result of any tax, assessment or other governmental charge that is imposed or withheld by reason of the presentation by the beneficial owner of a Subordinated Note for payment more than 30 days after the date on which such payment becomes due or is duly provided for, whichever occurs later.

(10) Additional Amounts will not be payable if a payment on a Subordinated Note is reduced as a result of any:

(a) estate tax;

(b) inheritance tax;

(c) gift tax;

(d) sales tax;

(e) excise tax;

(f) transfer tax;

(g) wealth tax;

(h) personal property tax; or

(i) any similar tax, assessment, withholding, deduction or other governmental charge.

(11) Additional Amounts will not be payable if a payment on a Subordinated Note is reduced as a result of any tax, assessment, or other governmental charge required to be withheld by any paying agent from a payment of principal or interest on a Subordinated Note if such payment can be made without such withholding by any other paying agent.

(12) Additional Amounts will not be payable if a payment on a Subordinated Note is reduced as a result of any withholding, deduction, tax, duty assessment or other governmental charge that would not have been imposed but for a failure by the holder or beneficial owner of a Subordinated Note (or any financial institution through which the holder or beneficial owner holds the Subordinated Note or through which payment on the Subordinated Note is made) to take any action (including entering into an agreement with the Internal Revenue Service, or a governmental authority of another jurisdiction if the holder is entitled to the benefits of an intergovernmental agreement between that jurisdiction and the United States) or to comply with any applicable certification, documentation, information or other reporting requirement or agreement concerning accounts maintained by the holder or beneficial owner (or any such financial institution), or concerning ownership of the holder or beneficial owner, or any substantially similar requirement or agreement.

(13) Additional Amounts will not be payable if a payment on a Subordinated Note is reduced as a result of any combination of items (1) through (12) above.


Except as specifically provided herein, the Company will not be required to make any payment of any tax, assessment or other governmental charge imposed by any government or a political subdivision or taxing authority of such government.

As used in this Subordinated Note, “United States person” means:

 

  (a)

any individual who is a citizen or resident of the United States;

 

  (b)

any corporation, partnership or other entity created or organized in or under the laws of the United States or any political subdivision thereof;

 

  (c)

any estate if the income of such estate falls within the federal income tax jurisdiction of the United States regardless of the source of such income; and

 

  (d)

any trust if (i) a United States court is able to exercise primary supervision over its administration and one or more United States persons have the authority to control all of the substantial decisions of the trust; or (ii) it has a valid election in effect under applicable United States Treasury regulations to be treated as a United States person.

Additionally, “non-United States person” means a person who is not a United States person, and “United States” means the states of the United States of America and the District of Columbia, but excluding its territories and its possessions.

Except as provided below, the Subordinated Notes may not be redeemed prior to maturity.

 

  (1)

The Company may, at its option, redeem the Subordinated Notes if:

 

  (a)

the Company becomes or will become obligated to pay Additional Amounts as described above;

 

  (b)

the obligation to pay Additional Amounts arises as a result of any change in the laws, regulations or rulings of the United States, or an official position regarding the application or interpretation of such laws, regulations or rulings, which change is announced or becomes effective on or after May 27, 2025; and

 

  (c)

the Company determines, in its business judgment, that the obligation to pay such Additional Amounts cannot be avoided by the use of reasonable measures available to it, other than substituting the obligor under the Subordinated Notes or taking any action that would entail a material cost to the Company.

 

  (2)

The Company may also redeem the Subordinated Notes, at its option, if:

 

  (a)

any act is taken by a taxing authority of the United States on or after May 27, 2025 whether or not such act is taken in relation to the Company or any subsidiary, that results in a substantial probability that the Company will or may be required to pay Additional Amounts as described above;

 

  (b)

the Company determines, in its business judgment, that the obligation to pay such Additional Amounts cannot be avoided by the use of reasonable measures available to it, other than substituting the obligor under the Subordinated Notes or taking any action that would entail a material cost to the Company; and


  (c)

the Company receives an opinion of independent counsel to the effect that an act taken by a taxing authority of the United States results in a substantial probability that the Company will or may be required to pay the Additional Amounts described above, and delivers to the Trustee a certificate, signed by a duly authorized officer, stating that based on such opinion the Company is entitled to redeem the Subordinated Notes pursuant to their terms.

Any redemption of the Subordinated Notes as set forth in clauses (1) or (2) above shall be in whole, and not in part, and will be made at a redemption price equal to 100% of the principal amount of the Subordinated Notes Outstanding plus accrued and unpaid interest thereon to the date of redemption.

 

  (3)

The Company may redeem the Subordinated Notes, at its option, in whole, but not in part, on or after June 3, 2030 at a redemption price equal to 100% of the principal amount of the Subordinated Notes being redeemed plus accrued and unpaid interest thereon to, but excluding, the date of redemption.

Holders shall be given not less than 15 days’ nor more than 60 days’ prior notice by the Trustee of the date fixed for such redemption described in (1) and (2) above. Holders shall be given not less than 5 days’ nor more than 30 days’ prior notice by the Trustee of the date fixed for such redemption described in (3) above.

All terms used in this Subordinated Note which are defined in the Indenture shall have the meanings assigned to them in the Indenture. The Subordinated Notes are governed by the laws of the State of New York.


Schedule 1

Redemptions and Amount of Securities

 

Date of

partial

redemption

 

Aggregate

principal amount

of Securities then

redeemed

 

Remaining

principal amount

of this Global

Security

  

Authorized Signature