EX-10.1 2 exhibit101-executedcredi.htm EX-10.1 exhibit101-executedcredi
Execution Version 175130428 $150,000,000 CREDIT AGREEMENT dated as of June 28, 2023, by and among AMERICAN STATES WATER COMPANY, as Borrower, the Lenders referred to herein, as Lenders, and WELLS FARGO BANK, NATIONAL ASSOCIATION, as Administrative Agent, Swingline Lender and Issuing Lender BANK OF CHINA, LOS ANGELES BRANCH, as Syndication Agent and WELLS FARGO SECURITIES, LLC and BANK OF CHINA, LOS ANGELES BRANCH, as Joint Lead Arrangers and Joint Bookrunners


 
TABLE OF CONTENTS Page i 175130428 ARTICLE I DEFINITIONS ................................................................................................................1 SECTION 1.1 Definitions ....................................................................................................1 SECTION 1.2 Other Definitions and Provisions ................................................................ 28 SECTION 1.3 Accounting Terms ...................................................................................... 28 SECTION 1.4 UCC Terms ................................................................................................ 29 SECTION 1.5 Rounding .................................................................................................... 29 SECTION 1.6 References to Agreement and Laws ............................................................ 29 SECTION 1.7 Times of Day .............................................................................................. 29 SECTION 1.8 Guarantees/Earn-Outs ................................................................................. 29 SECTION 1.9 Covenant Compliance Generally ................................................................ 29 SECTION 1.10 Rates ........................................................................................................... 30 SECTION 1.11 Divisions .................................................................................................... 30 ARTICLE II REVOLVING CREDIT FACILITY .............................................................................. 30 SECTION 2.1 Revolving Credit Loans .............................................................................. 30 SECTION 2.2 Swingline Loans ......................................................................................... 30 SECTION 2.3 Procedure for Advances of Revolving Credit Loans and Swingline Loans .......................................................................................................... 32 SECTION 2.4 Repayment and Prepayment of Revolving Credit and Swingline Loans .......................................................................................................... 33 SECTION 2.5 Permanent Reduction of the Commitment .................................................. 34 SECTION 2.6 Termination of Revolving Credit Facility ................................................... 34 ARTICLE III LETTER OF CREDIT FACILITY ................................................................................ 35 SECTION 3.1 L/C Facility ................................................................................................ 35 SECTION 3.2 Procedure for Issuance and Disbursement of Letters of Credit.................... 36 SECTION 3.3 Commissions and Other Charges ................................................................ 36 SECTION 3.4 L/C Participations ....................................................................................... 37 SECTION 3.5 Reimbursement ........................................................................................... 38 SECTION 3.6 Obligations Absolute .................................................................................. 39 SECTION 3.7 Effect of Letter of Credit Documents .......................................................... 40 SECTION 3.8 Resignation of Issuing Lenders ................................................................... 40 SECTION 3.9 Reporting of Letter of Credit Information and L/C Commitment ................ 41 SECTION 3.10 Letter of Credit Amounts ............................................................................ 41 SECTION 3.11 Letters of Credit Issued for Subsidiaries ..................................................... 41


 
TABLE OF CONTENTS (continued) Page ii 175130428 ARTICLE IV GENERAL LOAN PROVISIONS ................................................................................. 42 SECTION 4.1 Interest ........................................................................................................ 42 SECTION 4.2 Notice and Manner of Conversion or Continuation of Loans ...................... 43 SECTION 4.3 Fees ............................................................................................................ 43 SECTION 4.4 Manner of Payment .................................................................................... 44 SECTION 4.5 Evidence of Indebtedness ........................................................................... 44 SECTION 4.6 Sharing of Payments by Lenders................................................................. 45 SECTION 4.7 Administrative Agent’s Clawback .............................................................. 45 SECTION 4.8 Changed Circumstances .............................................................................. 46 SECTION 4.9 Indemnity ................................................................................................... 48 SECTION 4.10 Increased Costs ........................................................................................... 49 SECTION 4.11 Taxes .......................................................................................................... 50 SECTION 4.12 Mitigation Obligations; Replacement of Lenders ........................................ 53 SECTION 4.13 Incremental Increases ................................................................................. 55 SECTION 4.14 Cash Collateral ........................................................................................... 56 SECTION 4.15 Defaulting Lenders ..................................................................................... 57 ARTICLE V CONDITIONS OF CLOSING AND BORROWING..................................................... 59 SECTION 5.1 Conditions to Closing and Initial Extensions of Credit ............................... 59 SECTION 5.2 Conditions to All Extensions of Credit ....................................................... 62 ARTICLE VI REPRESENTATIONS AND WARRANTIES OF THE BORROWER ......................... 63 SECTION 6.1 Organization; Power; Qualification ............................................................ 63 SECTION 6.2 Ownership .................................................................................................. 63 SECTION 6.3 Authorization; Enforceability ..................................................................... 63 SECTION 6.4 Compliance of Agreement, Loan Documents and Borrowing with Laws, Etc .................................................................................................... 63 SECTION 6.5 Compliance with Law; Governmental Approvals ....................................... 64 SECTION 6.6 Tax Returns and Payments.......................................................................... 64 SECTION 6.7 Intellectual Property Matters ....................................................................... 64 SECTION 6.8 Environmental Matters ............................................................................... 64 SECTION 6.9 Employee Benefit Matters .......................................................................... 65 SECTION 6.10 Margin Stock .............................................................................................. 66 SECTION 6.11 Government Regulation .............................................................................. 66 SECTION 6.12 Employee Relations .................................................................................... 66


 
TABLE OF CONTENTS (continued) Page iii 175130428 SECTION 6.13 Financial Statements ................................................................................... 66 SECTION 6.14 No Material Adverse Change ...................................................................... 67 SECTION 6.15 Solvency ..................................................................................................... 67 SECTION 6.16 Title to Properties ....................................................................................... 67 SECTION 6.17 Litigation .................................................................................................... 67 SECTION 6.18 Anti-Corruption Laws; Anti-Money Laundering Laws and Sanctions ........ 67 SECTION 6.19 Absence of Defaults .................................................................................... 67 SECTION 6.20 Disclosure ................................................................................................... 68 ARTICLE VII AFFIRMATIVE COVENANTS .................................................................................... 68 SECTION 7.1 Financial Statements and Budgets............................................................... 68 SECTION 7.2 Certificates; Other Reports ......................................................................... 70 SECTION 7.3 Notice of Litigation and Other Matters ....................................................... 71 SECTION 7.4 Preservation of Corporate Existence and Related Matters ........................... 72 SECTION 7.5 Maintenance of Property and Licenses ....................................................... 72 SECTION 7.6 Insurance .................................................................................................... 73 SECTION 7.7 Accounting Methods and Financial Records ............................................... 73 SECTION 7.8 Payment of Taxes and Other Obligations .................................................... 73 SECTION 7.9 Compliance with Laws and Approvals ....................................................... 73 SECTION 7.10 Environmental Laws ................................................................................... 73 SECTION 7.11 Compliance with ERISA ............................................................................ 73 SECTION 7.12 Visits and Inspections ................................................................................. 74 SECTION 7.13 Use of Proceeds .......................................................................................... 74 SECTION 7.14 Compliance with Anti-Corruption Laws; Beneficial Ownership Regulation, Anti-Money Laundering Laws and Sanctions .......................... 74 SECTION 7.15 Compliance with Material Contracts........................................................... 75 SECTION 7.16 Further Assurances ..................................................................................... 75 ARTICLE VIII NEGATIVE COVENANTS .......................................................................................... 75 SECTION 8.1 Indebtedness ............................................................................................... 75 SECTION 8.2 Liens ........................................................................................................... 76 SECTION 8.3 Investments................................................................................................. 79 SECTION 8.4 Fundamental Changes ................................................................................. 80 SECTION 8.5 Asset Dispositions ...................................................................................... 80 SECTION 8.6 Restricted Payments.................................................................................... 81


 
TABLE OF CONTENTS (continued) Page iv 175130428 SECTION 8.7 Transactions with Affiliates ........................................................................ 82 SECTION 8.8 Accounting Changes; Organizational Documents ....................................... 82 SECTION 8.9 No Further Negative Pledges; Restrictive Agreements ............................... 82 SECTION 8.10 Nature of Business ...................................................................................... 82 SECTION 8.11 Financial Covenant ..................................................................................... 83 ARTICLE IX DEFAULT AND REMEDIES ....................................................................................... 83 SECTION 9.1 Events of Default ........................................................................................ 83 SECTION 9.2 Remedies .................................................................................................... 85 SECTION 9.3 Rights and Remedies Cumulative; Non-Waiver; Etc .................................. 85 SECTION 9.4 Crediting of Payments and Proceeds ........................................................... 86 SECTION 9.5 Administrative Agent May File Proofs of Claim......................................... 86 ARTICLE X THE ADMINISTRATIVE AGENT............................................................................... 87 SECTION 10.1 Appointment and Authority ........................................................................ 87 SECTION 10.2 Rights as a Lender ...................................................................................... 88 SECTION 10.3 Exculpatory Provisions ............................................................................... 88 SECTION 10.4 Reliance by the Administrative Agent ........................................................ 89 SECTION 10.5 Delegation of Duties ................................................................................... 89 SECTION 10.6 Resignation of Administrative Agent .......................................................... 90 SECTION 10.7 Non-Reliance on Administrative Agent and Other Lenders ........................ 91 SECTION 10.8 No Other Duties, Etc................................................................................... 92 SECTION 10.9 Certain ERISA Matters ............................................................................... 92 SECTION 10.10 Erroneous Payments ................................................................................... 93 ARTICLE XI MISCELLANEOUS ...................................................................................................... 95 SECTION 11.1 Notices........................................................................................................ 95 SECTION 11.2 Amendments, Waivers and Consents .......................................................... 98 SECTION 11.3 Expenses; Indemnity ................................................................................... 99 SECTION 11.4 Right of Setoff .......................................................................................... 101 SECTION 11.5 Governing Law; Jurisdiction, Etc ............................................................. 102 SECTION 11.6 Waiver of Jury Trial.................................................................................. 103 SECTION 11.7 Reversal of Payments ............................................................................... 103 SECTION 11.8 Injunctive Relief ....................................................................................... 103 SECTION 11.9 Successors and Assigns; Participations ..................................................... 103


 
TABLE OF CONTENTS (continued) Page v 175130428 SECTION 11.10 Treatment of Certain Information; Confidentiality.................................... 107 SECTION 11.11 Performance of Duties .............................................................................. 108 SECTION 11.12 All Powers Coupled with Interest ............................................................. 108 SECTION 11.13 Survival .................................................................................................... 108 SECTION 11.14 Titles and Captions ................................................................................... 108 SECTION 11.15 Severability of Provisions ......................................................................... 108 SECTION 11.16 Counterparts; Integration; Effectiveness; Electronic Execution ................ 109 SECTION 11.17 Term of Agreement .................................................................................. 110 SECTION 11.18 USA PATRIOT Act; Anti-Money Laundering Laws ................................ 110 SECTION 11.19 Independent Effect of Covenants .............................................................. 110 SECTION 11.20 No Advisory or Fiduciary Responsibility.................................................. 110 SECTION 11.21 Inconsistencies with Other Documents ..................................................... 111 SECTION 11.22 Acknowledgement and Consent to Bail-In of Affected Financial Institutions ................................................................................................ 111 SECTION 11.23 Acknowledgement Regarding Any Supported QFCs ................................ 111


 
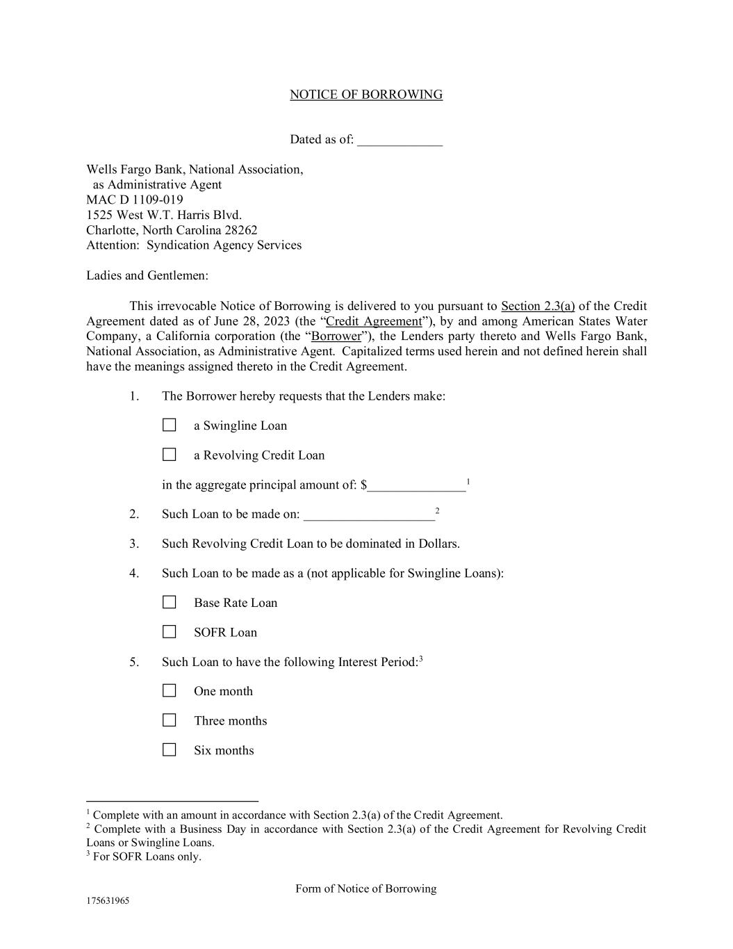
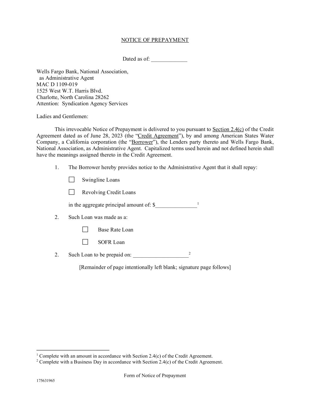
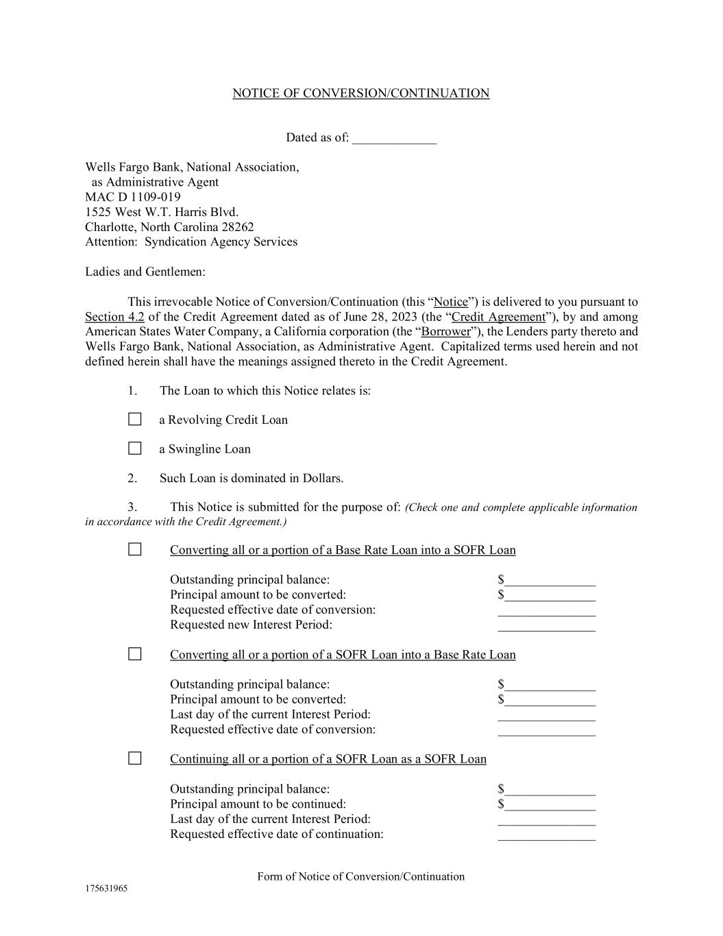
vi 175130428 EXHIBITS Exhibit A-1 - Form of Revolving Credit Note Exhibit A-2 - Form of Swingline Note Exhibit B - Form of Notice of Borrowing Exhibit C - Form of Notice of Account Designation Exhibit D - Form of Notice of Prepayment Exhibit E - Form of Notice of Conversion/Continuation Exhibit F - Form of Compliance Certificate Exhibit G - Form of Assignment and Assumption Exhibit H-1 - Form of U.S. Tax Compliance Certificate (Non-Partnership Foreign Lenders) Exhibit H-2 - Form of U.S. Tax Compliance Certificate (Non-Partnership Foreign Participants) Exhibit H-3 - Form of U.S. Tax Compliance Certificate (Foreign Participant Partnerships) Exhibit H-4 - Form of U.S. Tax Compliance Certificate (Foreign Lender Partnerships) SCHEDULES Schedule 1.1(a) - Existing Letters of Credit Schedule 1.1(b) - Commitments and Commitment Percentages Schedule 6.1 - Jurisdictions of Organization and Qualification Schedule 6.2 - Subsidiaries and Capitalization Schedule 6.8 - Environmental Matters Schedule 6.9 - ERISA Plans Schedule 6.16 - Title to Properties Schedule 8.1 - Existing Indebtedness Schedule 8.2 - Existing Liens Schedule 8.3 - Existing Loans, Advances and Investments Schedule 8.9 - Existing Permitted Restrictions


 
175130428 CREDIT AGREEMENT, dated as of June 28, 2023, by and among AMERICAN STATES WATER COMPANY, a California corporation, as Borrower, the lenders who are party to this Agreement and the lenders who may become a party to this Agreement pursuant to the terms hereof, as Lenders, and WELLS FARGO BANK, NATIONAL ASSOCIATION, a national banking association, as Administrative Agent for the Lenders. STATEMENT OF PURPOSE WHEREAS, the Borrower has requested, and subject to the terms and conditions set forth in this Agreement, the Administrative Agent and the Lenders have agreed to extend, certain credit facilities to the Borrower. NOW, THEREFORE, for good and valuable consideration, the receipt and sufficiency of which are hereby acknowledged by the parties hereto, such parties hereby agree as follows: ARTICLE I DEFINITIONS SECTION 1.1 Definitions. The following terms when used in this Agreement shall have the meanings assigned to them below: “Acquisition” means any acquisition, or any series of related acquisitions, consummated on or after the date of this Agreement, by which the Borrower or any of its Subsidiaries (a) acquires any business or all or substantially all of the assets of any Person, or business unit, line of business or division thereof, whether through purchase of assets, exchange, issuance of stock or other equity or debt securities, merger, reorganization, amalgamation, division or otherwise or (b) directly or indirectly acquires (in one transaction or as the most recent transaction in a series of transactions) at least a majority (in number of votes) of the securities of a corporation which have ordinary voting power for the election of members of the board of directors or the equivalent governing body (other than securities having such power only by reason of the happening of a contingency) or a majority (by percentage or voting power) of the outstanding ownership interests of a partnership or limited liability company. “Adjusted Term SOFR” means, for purposes of any calculation, the rate per annum equal to (a) Term SOFR for such calculation plus (b) the Term SOFR Adjustment; provided that if Adjusted Term SOFR as so determined shall ever be less than the Floor, then Adjusted Term SOFR shall be deemed to be the Floor. “Administrative Agent” means Wells Fargo, in its capacity as Administrative Agent hereunder, and any successor thereto appointed pursuant to Section 10.6. “Administrative Agent’s Office” means the office of the Administrative Agent specified in or determined in accordance with the provisions of Section 11.1(c). “Administrative Questionnaire” means an administrative questionnaire in a form supplied by the Administrative Agent. “Advances for Construction” means funds advanced by any person in connection with the addition of utility plant which funds are subject to refund and, in accordance with GAAP as in effect on the date hereof, are reflected as “Other Credits” in the financial statements of the Borrower and its Subsidiaries, until refunded.


 
2 175130428 “Affected Financial Institution” means (a) any EEA Financial Institution or (b) any UK Financial Institution. “Affiliate” means, with respect to a specified Person, another Person that directly, or indirectly through one or more intermediaries, Controls or is Controlled by or is under common Control with the Person specified. “Agent Parties” has the meaning assigned thereto in Section 11.1(e). “Agreement” means this Credit Agreement. “Anti-Corruption Laws” means all laws, rules, and regulations of any jurisdiction from time to time concerning or relating to bribery or corruption, including the United States Foreign Corrupt Practices Act of 1977 and the rules and regulations thereunder and the U.K. Bribery Act 2010 and the rules and regulations thereunder. “Anti-Money Laundering Laws” means any and all laws, statutes, regulations or obligatory government orders, decrees, ordinances or rules related to terrorism financing, money laundering, any predicate crime to money laundering or any financial record keeping, including any applicable provision of the PATRIOT Act and The Currency and Foreign Transactions Reporting Act (also known as the “Bank Secrecy Act,” 31 U.S.C. §§ 5311-5330 and 12 U.S.C. §§ 1818(s), 1820(b) and 1951-1959). “Applicable Law” means all applicable provisions of constitutions, laws, statutes, ordinances, rules, treaties, regulations, permits, licenses, approvals, interpretations and orders of Governmental Authorities and all orders and decrees of all courts and arbitrators. “Applicable Margin” means the corresponding percentages per annum as set forth below based on the Debt Rating: Pricing Level Debt Rating Commitment Fee SOFR Loans Base Rate Loans I Aa3 / AA- or better 0.060% 0.750% 0.000% II A1 / A+ 0.075% 0.875% 0.000% III A2 / A 0.100% 1.000% 0.000% IV A3 / A- 0.125% 1.125% 0.125% V Baa1 / BBB+ or worse 0.175% 1.250% 0.250% Notwithstanding the foregoing, from the Closing Date through December 31, 2023 (the “Initial Period”), the Applicable Margin shall be determined based upon Pricing Level III and commencing on January 1, 2024, the Applicable Margin shall be determined based upon the Debt Rating then in effect; provided, however, if at any time during the Initial Period, there is a publicly announced change in the Debt Rating that is a downgrade below either A2 or A by either Moody’s or S&P, then the Applicable Margin shall be determined based upon the Debt Rating then in effect. Thereafter, each change in the Applicable Margin resulting from a publicly announced change in the Debt Rating shall be effective, in the case of an upgrade, during the period commencing on the date of delivery by the Borrower to the Administrative Agent of


 
3 175130428 notice thereof pursuant to Section 7.3(g) and ending on the date immediately preceding the effective date of the next such change and, in the case of a downgrade, during the period commencing on the date of the public announcement thereof and ending on the date immediately preceding the effective date of the next such change. If the rating system of Moody’s or S&P shall change, or if either such rating agency shall cease to be in the business of rating corporate debt obligations, the Borrower and the Lenders shall negotiate in good faith to amend this definition to reflect such changed rating system or the unavailability of ratings from such rating agency and, pending the effectiveness of any such amendment, the Applicable Margin shall be determined by reference to the rating most recently in effect prior to such change or cessation. Any adjustment in the Applicable Margin shall be applicable to all Extensions of Credit then existing or subsequently made or issued. “Approved Fund” means any Fund that is administered or managed by (a) a Lender, (b) an Affiliate of a Lender or (c) an entity or an Affiliate of an entity that administers or manages a Lender. “Arrangers” means, collectively, Wells Fargo Securities, LLC and Bank of China, Los Angeles Branch, in their capacities as joint lead arrangers and joint bookrunners. “Asset Disposition” means the sale, transfer, license, lease or other disposition of any Property (including any sale and leaseback transaction, division, merger or disposition of Equity Interests), whether in a single transaction or a series of related transactions, by the Borrower or any Subsidiary, and any issuance of Equity Interests by any Subsidiary of the Borrower to any Person that is not the Borrower or any Subsidiary. “Assignment and Assumption” means an assignment and assumption entered into by a Lender and an Eligible Assignee (with the consent of any party whose consent is required by Section 11.9), and accepted by the Administrative Agent, in substantially the form attached as Exhibit G or any other form approved by the Administrative Agent. “Attributable Indebtedness” means, on any date of determination, (a) in respect of any Capital Lease Obligation of any Person, the capitalized amount thereof that would appear on a balance sheet of such Person prepared as of such date in accordance with GAAP, and (b) in respect of any Synthetic Lease, the capitalized amount or principal amount of the remaining lease payments under the relevant lease that would appear on a balance sheet of such Person prepared as of such date in accordance with GAAP if such lease were accounted for as a Capital Lease Obligation. “Available Tenor” means, as of any date of determination and with respect to the then-current Benchmark, as applicable, (a) if such Benchmark is a term rate, any tenor for such Benchmark (or component thereof) that is or may be used for determining the length of an interest period pursuant to this Agreement or (b) otherwise, any payment period for interest calculated with reference to such Benchmark (or component thereof) that is or may be used for determining any frequency of making payments of interest calculated with reference to such Benchmark, in each case, as of such date and not including, for the avoidance of doubt, any tenor for such Benchmark that is then-removed from the definition of “Interest Period” pursuant to Section 4.8(c)(iv). “Bail-In Action” means the exercise of any Write-Down and Conversion Powers by the applicable Resolution Authority in respect of any liability of an Affected Financial Institution. “Bail-In Legislation” means (a) with respect to any EEA Member Country implementing Article 55 of Directive 2014/59/EU of the European Parliament and of the Council of the European Union, the implementing law, regulation, rule or requirement for such EEA Member Country from time to time which is described in the EU Bail-In Legislation Schedule and (b) with respect to the United Kingdom, Part I of


 
4 175130428 the United Kingdom Banking Act 2009 (as amended from time to time) and any other law, regulation or rule applicable in the United Kingdom relating to the resolution of unsound or failing banks, investment firms or other financial institutions or their affiliates (other than through liquidation, administration or other insolvency proceedings). “Bankruptcy Code” means 11 U.S.C. §§ 101 et seq. “Base Rate” means, at any time, the highest of (a) the Prime Rate, (b) the Federal Funds Rate plus 0.50% and (c) Adjusted Term SOFR for a one-month tenor in effect on such day plus 1.00%; each change in the Base Rate shall take effect simultaneously with the corresponding change or changes in the Prime Rate, the Federal Funds Rate or Adjusted Term SOFR, as applicable (provided that clause (c) shall not be applicable during any period in which Adjusted Term SOFR is unavailable or unascertainable). Notwithstanding the foregoing, in no event shall the Base Rate be less than 1.00%. “Base Rate Loan” means any Loan bearing interest at a rate based upon the Base Rate as provided in Section 4.1(a). “Benchmark” means, initially, the Term SOFR Reference Rate; provided that if a Benchmark Transition Event has occurred with respect to the Term SOFR Reference Rate or the then-current Benchmark, then “Benchmark” means the applicable Benchmark Replacement to the extent that such Benchmark Replacement has replaced such prior benchmark rate pursuant to Section 4.8(c)(i). “Benchmark Replacement” means, with respect to any Benchmark Transition Event, the sum of: (a) the alternate benchmark rate that has been selected by the Administrative Agent and the Borrower giving due consideration to (i) any selection or recommendation of a replacement benchmark rate or the mechanism for determining such a rate by the Relevant Governmental Body or (ii) any evolving or then- prevailing market convention for determining a benchmark rate as a replacement to the then-current Benchmark for Dollar-denominated syndicated credit facilities and (b) the related Benchmark Replacement Adjustment; provided that, if such Benchmark Replacement as so determined would be less than the Floor, such Benchmark Replacement will be deemed to be the Floor for the purposes of this Agreement and the other Loan Documents. “Benchmark Replacement Adjustment” means, with respect to any replacement of the then-current Benchmark with an Unadjusted Benchmark Replacement for any applicable Available Tenor, the spread adjustment, or method for calculating or determining such spread adjustment, (which may be a positive or negative value or zero) that has been selected by the Administrative Agent and the Borrower giving due consideration to (a) any selection or recommendation of a spread adjustment, or method for calculating or determining such spread adjustment, for the replacement of such Benchmark with the applicable Unadjusted Benchmark Replacement by the Relevant Governmental Body or (b) any evolving or then- prevailing market convention for determining a spread adjustment, or method for calculating or determining such spread adjustment, for the replacement of such Benchmark with the applicable Unadjusted Benchmark Replacement for Dollar-denominated syndicated credit facilities. “Benchmark Replacement Date” means the earliest to occur of the following events with respect to the then-current Benchmark: (a) in the case of clause (a) or (b) of the definition of “Benchmark Transition Event,” the later of (i) the date of the public statement or publication of information referenced therein and (ii) the date on which the administrator of such Benchmark (or the published component used in the calculation thereof) permanently or indefinitely ceases to provide all Available Tenors of such Benchmark (or such component thereof); or


 
5 175130428 (b) in the case of clause (c) of the definition of “Benchmark Transition Event,” the first date on which such Benchmark (or the published component used in the calculation thereof) has been determined and announced by the regulatory supervisor for the administrator of such Benchmark (or such component thereof) to be non-representative; provided that such non-representativeness will be determined by reference to the most recent statement or publication referenced in such clause (c) and even if any Available Tenor of such Benchmark (or such component thereof) continues to be provided on such date. For the avoidance of doubt, the “Benchmark Replacement Date” will be deemed to have occurred in the case of clause (a) or (b) with respect to any Benchmark upon the occurrence of the applicable event or events set forth therein with respect to all then-current Available Tenors of such Benchmark (or the published component used in the calculation thereof). “Benchmark Transition Event” means the occurrence of one or more of the following events with respect to the then-current Benchmark: (a) a public statement or publication of information by or on behalf of the administrator of such Benchmark (or the published component used in the calculation thereof) announcing that such administrator has ceased or will cease to provide all Available Tenors of such Benchmark (or such component thereof), permanently or indefinitely; provided that, at the time of such statement or publication, there is no successor administrator that will continue to provide any Available Tenor of such Benchmark (or such component thereof); (b) a public statement or publication of information by the regulatory supervisor for the administrator of such Benchmark (or the published component used in the calculation thereof), the FRB, the Federal Reserve Bank of New York, an insolvency official with jurisdiction over the administrator for such Benchmark (or such component), a resolution authority with jurisdiction over the administrator for such Benchmark (or such component) or a court or an entity with similar insolvency or resolution authority over the administrator for such Benchmark (or such component), which states that the administrator of such Benchmark (or such component) has ceased or will cease to provide all Available Tenors of such Benchmark (or such component thereof) permanently or indefinitely; provided that, at the time of such statement or publication, there is no successor administrator that will continue to provide any Available Tenor of such Benchmark (or such component thereof); or (c) a public statement or publication of information by the regulatory supervisor for the administrator of such Benchmark (or the published component used in the calculation thereof) announcing that all Available Tenors of such Benchmark (or such component thereof) are not, or as of a specified future date will not be, representative. For the avoidance of doubt, a “Benchmark Transition Event” will be deemed to have occurred with respect to any Benchmark if a public statement or publication of information set forth above has occurred with respect to each then-current Available Tenor of such Benchmark (or the published component used in the calculation thereof). “Benchmark Transition Start Date” means, in the case of a Benchmark Transition Event, the earlier of (a) the applicable Benchmark Replacement Date and (b) if such Benchmark Transition Event is a public statement or publication of information of a prospective event, the 90th day prior to the expected date of such event as of such public statement or publication of information (or if the expected date of such prospective event is fewer than 90 days after such statement or publication, the date of such statement or publication).


 
6 175130428 “Benchmark Unavailability Period” means the period (if any) (x) beginning at the time that a Benchmark Replacement Date has occurred if, at such time, no Benchmark Replacement has replaced the then-current Benchmark for all purposes hereunder and under any Loan Document in accordance with Section 5.8(c)(i) and (y) ending at the time that a Benchmark Replacement has replaced the then-current Benchmark for all purposes hereunder and under any Loan Document in accordance with Section 4.8(c)(i). “Beneficial Ownership Certification” means a certification regarding beneficial ownership as required by the Beneficial Ownership Regulation. “Beneficial Ownership Regulation” means 31 CFR § 1010.230. “Benefit Plan” means any of (a) an “employee benefit plan” (as defined in ERISA) that is subject to Title I of ERISA, (b) a “plan” as defined in and subject to Section 4975 of the Code or (c) any Person whose assets include (for purposes of ERISA Section 3(42) or otherwise for purposes of Title I of ERISA or Section 4975 of the Code) the assets of any such “employee benefit plan” or “plan”. “Borrower” means American States Water Company, a California corporation. “Borrower Materials” has the meaning assigned thereto in Section 7.2. “Business Day” means any day that (a) is not a Saturday, Sunday or other day on which the Federal Reserve Bank of New York is closed and (b) is not a day on which commercial banks in Charlotte, North Carolina are closed. “BVESI” means Bear Valley Electric Services, Inc., a California corporation. “Capital Lease Obligations” of any Person mean the obligations of such Person to pay rent or other amounts under any lease of (or other arrangement conveying the right to use) real or personal property, or a combination thereof, which obligations are required to be classified and accounted for as finance leases on a balance sheet of such Person under GAAP, and the amount of such obligations shall be the capitalized amount thereof determined in accordance with GAAP. “Cash Collateralize” means, to pledge and deposit with, or deliver to the Administrative Agent, or directly to the applicable Issuing Lender (with notice thereof to the Administrative Agent), for the benefit of one or more of the Issuing Lenders, the Swingline Lender or the Lenders, as collateral for L/C Obligations or obligations of the Lenders to fund participations in respect of L/C Obligations or Swingline Loans, cash or deposit account balances or, if the Administrative Agent and the applicable Issuing Lender and the Swingline Lender shall agree, in their sole discretion, other credit support, in each case pursuant to documentation in form and substance reasonably satisfactory to the Administrative Agent, such Issuing Lender and the Swingline Lender, as applicable. “Cash Collateral” shall have a meaning correlative to the foregoing and shall include the proceeds of such cash collateral and other credit support. “Change in Control” means an event or series of events by which: (a) any “person” or “group” (as such terms are used in Sections 13(d) and 14(d) of the Exchange Act, but excluding any employee benefit plan of such person or its Subsidiaries, and any person or entity acting in its capacity as trustee, agent or other fiduciary or administrator of any such plan) becomes the “beneficial owner” (as defined in Rules 13d-3 and 13d-5 under the Exchange Act, except that a “person” or “group” shall be deemed to have “beneficial ownership” of all Equity Interests that such “person” or “group” has the right to acquire, whether such right is exercisable immediately or only after the passage of time (such right, an “option right”)), directly or indirectly, of more than twenty-five percent (25%) of the


 
7 175130428 Equity Interests of the Borrower entitled to vote in the election of members of the board of directors (or equivalent governing body) of the Borrower; or (b) there shall have occurred under any indenture or other instrument evidencing any Indebtedness or Equity Interests in excess of the Threshold Amount any “change in control” or similar provision (as set forth in the indenture, agreement or other evidence of such Indebtedness) obligating the Borrower or any of its Subsidiaries (other than any Excluded Subsidiary) to repurchase, redeem or repay all or any part of the Indebtedness or Equity Interests provided for therein. “Change in Law” means the occurrence, after the date of this Agreement, of any of the following: (a) the adoption or taking effect of any law, rule, regulation or treaty, (b) any change in any law, rule, regulation or treaty or in the administration, interpretation, implementation or application thereof by any Governmental Authority or (c) the making or issuance of any request, rule, guideline or directive (whether or not having the force of law) by any Governmental Authority; provided that notwithstanding anything herein to the contrary, (i) the Dodd-Frank Wall Street Reform and Consumer Protection Act and all requests, rules, guidelines, requirements or directives thereunder or issued in connection therewith or in implementation thereof and (ii) all requests, rules, guidelines, requirements or directives promulgated by the Bank for International Settlements, the Basel Committee on Banking Supervision (or any successor or similar authority) or the United States or foreign regulatory authorities, in each case pursuant to Basel III, shall in each case be deemed to be a “Change in Law”, regardless of the date enacted, adopted, implemented or issued. “Class” means, when used in reference to any Loan, whether such Loan is a Revolving Credit Loan or Swingline Loan. “Closing Date” means the date of this Agreement. “Code” means the Internal Revenue Code of 1986, and the rules and regulations promulgated thereunder. “Commitment Fee” has the meaning assigned thereto in Section 4.3(a). “Commitment” means (a) as to any Lender, the obligation of such Lender to make Revolving Credit Loans to, and to purchase participations in L/C Obligations and Swingline Loans for the account of, the Borrower hereunder in an aggregate principal amount at any time outstanding not to exceed the amount set forth opposite such Lender’s name on the Register, as such amount may be modified at any time or from time to time pursuant to the terms hereof (including Section 4.13) and (b) as to all Lenders, the aggregate commitment of all Lenders to make Revolving Credit Loans, as such amount may be modified at any time or from time to time pursuant to the terms hereof (including Section 4.13). The aggregate Commitment of all the Lenders on the Closing Date shall be $150,000,000. The Commitment of each Lender on the Closing Date is set forth opposite the name of such Lender on Schedule 1.1(b). “Commitment Percentage” means, with respect to any Lender at any time, the percentage of the total Commitments of all the Lenders represented by such Lender’s Commitment. If the Commitments have terminated or expired, the Commitment Percentages shall be determined based upon the Commitments most recently in effect, giving effect to any assignments. The Commitment Percentage of each Lender on the Closing Date is set forth opposite the name of such Lender on Schedule 1.1(b). “Commodity Exchange Act” means the Commodity Exchange Act (7 U.S.C. § 1 et seq.).


 
8 175130428 “Compliance Certificate” means a certificate of the chief executive officer, chief financial officer, treasurer or controller of the Borrower substantially in the form attached as Exhibit F. “Conforming Changes” means, with respect to either the use or administration of Term SOFR or the use, administration, adoption or implementation of any Benchmark Replacement, any technical, administrative or operational changes (including changes to the definition of “Base Rate,” the definition of “Business Day,” the definition of “U.S. Government Securities Business Day,” the definition of “Interest Period” or any similar or analogous definition (or the addition of a concept of “interest period”), timing and frequency of determining rates and making payments of interest, timing of borrowing requests or prepayment, conversion or continuation notices, the applicability and length of lookback periods, the applicability of Section 4.9 and other technical, administrative or operational matters) that the Administrative Agent decides in consultation with the Borrower may be appropriate to reflect the adoption and implementation of any such rate or to permit the use and administration thereof by the Administrative Agent in a manner substantially consistent with market practice (or, if the Administrative Agent decides in consultation with the Borrower that adoption of any portion of such market practice is not administratively feasible or if the Administrative Agent determines that no market practice for the administration of any such rate exists, in such other manner of administration as the Administrative Agent decides in consultation with the Borrower is reasonably necessary in connection with the administration of this Agreement and the other Loan Documents). “Connection Income Taxes” means Other Connection Taxes that are imposed on or measured by net income (however denominated) or that are franchise Taxes or branch profits Taxes. “Consolidated” means, when used with reference to financial statements or financial statement items of any Person, such statements or items on a consolidated basis in accordance with applicable principles of consolidation under GAAP. “Consolidated Funded Indebtedness” means, as of any date of determination, for the Consolidated Group on a Consolidated basis, the sum of, without duplication, (a) all liabilities, obligations and indebtedness for borrowed money including, but not limited to, obligations evidenced by bonds, debentures, notes or other similar instruments of any such Person, (b) all purchase money Indebtedness, (c) all obligations to pay the deferred purchase price of property or services of any such Person (including all payment obligations under non-competition, earn-out or similar agreements, solely to the extent any such payment obligation under non-competition, earn-out or similar agreements becomes a liability on the balance sheet of such Person in accordance with GAAP), except trade payables arising in the ordinary course of business, (d) the Attributable Indebtedness of such Person with respect to such Person’s Capital Lease Obligations and Synthetic Leases (regardless of whether accounted for as indebtedness under GAAP), (e) all drawn and unreimbursed obligations, contingent or otherwise, of any such Person relative to letters of credit, including any Reimbursement Obligation, and banker’s acceptances issued for the account of any such Person, (f) all obligations of any such Person in respect of Disqualified Equity Interests which shall be valued, in the case of a redeemable preferred interest, at the greater of its voluntary or involuntary liquidation preference plus accrued and unpaid dividends that are past due, (g) all Guarantees of any such Person with respect to any of the foregoing and (h) all Indebtedness of the types referred to in clauses (a) through (g) above of any partnership or joint venture (other than a joint venture that is itself a corporation or limited liability company) in which such Person is a general partner or joint venturer, unless such Indebtedness is expressly made non-recourse to such Person. “Consolidated Group” means the Borrower and its Subsidiaries (other than the Excluded Subsidiaries).


 
9 175130428 “Control” means the possession, directly or indirectly, of the power to direct or cause the direction of the management or policies of a Person, whether through the ability to exercise voting power, by contract or otherwise. “Controlling” and “Controlled” have meanings correlative thereto. “Covered Party” has the meaning assigned thereto in Section 11.23(a). “Credit Facility” means, collectively, the Revolving Credit Facility, the Swingline Facility and the L/C Facility. “Debt Rating” means, as of any date of determination, the rating as determined by either S&P or Moody’s (collectively, the “Debt Ratings”) of the Borrower’s non-credit-enhanced, senior unsecured long- term debt; provided that (a) if the respective Debt Ratings issued by the foregoing rating agencies differ by one level, then the Pricing Level for the higher of such Debt Ratings shall apply (with the Debt Rating for Pricing Level I being the highest and the Debt Rating for Pricing Level V being the lowest); (b) if there is a split in Debt Ratings of more than one level, then the Pricing Level that is one level lower than the Pricing Level of the higher Debt Rating shall apply; (c) if the Borrower has only one Debt Rating, the Pricing Level for such Debt Rating shall apply; and (d) if the Borrower does not have any Debt Rating, Pricing Level V shall apply. “Debtor Relief Laws” means the Bankruptcy Code of the United States of America, and all other liquidation, conservatorship, bankruptcy, assignment for the benefit of creditors, moratorium, rearrangement, receivership, insolvency, reorganization, or similar debtor relief laws of the United States or other applicable jurisdictions from time to time in effect. “Default” means any of the events specified in Section 9.1 which with the passage of time, the giving of notice or any other condition, would constitute an Event of Default. “Defaulting Lender” means, subject to Section 4.15(b), any Lender that (a) has failed to (i) fund all or any portion of the Revolving Credit Loans required to be funded by it hereunder within two Business Days of the date such Loans were required to be funded hereunder unless such Lender notifies the Administrative Agent and the Borrower in writing that such failure is the result of such Lender’s determination that one or more conditions precedent to funding (each of which conditions precedent, together with any applicable default, shall be specifically identified in such writing) has not been satisfied, or (ii) pay to the Administrative Agent, any Issuing Lender, the Swingline Lender or any other Lender any other amount required to be paid by it hereunder (including in respect of participations in Letters of Credit or Swingline Loans) within two Business Days of the date when due, (b) has notified the Borrower, the Administrative Agent, any Issuing Lender or the Swingline Lender in writing that it does not intend to comply with its funding obligations hereunder, or has made a public statement to that effect (unless such writing or public statement relates to such Lender’s obligation to fund a Loan hereunder and states that such position is based on such Lender’s determination that a condition precedent to funding (which condition precedent, together with any applicable default, shall be specifically identified in such writing or public statement) cannot be satisfied), (c) has failed, within three Business Days after written request by the Administrative Agent or the Borrower, to confirm in writing to the Administrative Agent and the Borrower that it will comply with its prospective funding obligations hereunder (provided that such Lender shall cease to be a Defaulting Lender pursuant to this clause (c) upon receipt of such written confirmation by the Administrative Agent and the Borrower), or (d) has, or has a direct or indirect parent company that has, (i) become the subject of a proceeding under any Debtor Relief Law, (ii) had appointed for it a receiver, custodian, conservator, trustee, administrator, assignee for the benefit of creditors or similar Person charged with reorganization or liquidation of its business or assets, including the FDIC or any other state or federal regulatory authority acting in such a capacity or (iii) become the subject of a Bail-In Action; provided that a Lender shall not be a Defaulting Lender solely by virtue of the ownership or acquisition of any equity


 
10 175130428 interest in that Lender or any direct or indirect parent company thereof by a Governmental Authority so long as such ownership interest does not result in or provide such Lender with immunity from the jurisdiction of courts within the United States or from the enforcement of judgments or writs of attachment on its assets or permit such Lender (or such Governmental Authority) to reject, repudiate, disavow or disaffirm any contracts or agreements made with such Lender. Any determination by the Administrative Agent that a Lender is a Defaulting Lender under any one or more of clauses (a) through (d) above shall be conclusive and binding absent manifest error, and such Lender shall be deemed to be a Defaulting Lender (subject to Section 4.15(b)) upon delivery of written notice of such determination to the Borrower, each Issuing Lender, the Swingline Lender and each Lender. “Disqualified Equity Interests” means, with respect to any Person, any Equity Interests of such Person that, by their terms (or by the terms of any security or other Equity Interest into which they are convertible or for which they are exchangeable) or upon the happening of any event or condition, (a) mature or are mandatorily redeemable (other than solely for Qualified Equity Interests), pursuant to a sinking fund obligation or otherwise (except as a result of a change of control or asset sale so long as any rights of the holders thereof upon the occurrence of a change of control or asset sale event shall be subject to the prior repayment in full in cash of the Loans and all other Obligations ((other than contingent indemnification obligations not then due) and the termination of the Commitments), (b) are redeemable at the option of the holder thereof (other than solely for Qualified Equity Interests) (except as a result of a change of control or asset sale so long as any rights of the holders thereof upon the occurrence of a change of control or asset sale event shall be subject to the prior repayment in full in cash of the Loans and all other Obligations ((other than contingent indemnification obligations not then due) and the termination of the Commitments), in whole or in part, (c) provide for the scheduled payment of dividends in cash or (d) are or become convertible into, or exchangeable for, Indebtedness or any other Equity Interests that would constitute Disqualified Equity Interests, in each case of clauses (a) through (d), prior to the date that is 91 days after the latest scheduled maturity date of the Loans and Commitments; provided that if such Equity Interests are issued pursuant to a plan for the benefit of the Borrower or its Subsidiaries or by any such plan to such officers or employees, such Equity Interests shall not constitute Disqualified Equity Interests solely because they may be required to be repurchased by the Borrower or its Subsidiaries in order to satisfy applicable statutory or regulatory obligations. “Dollars” or “$” means, unless otherwise qualified, dollars in lawful currency of the United States. “EEA Financial Institution” means (a) any credit institution or investment firm established in any EEA Member Country which is subject to the supervision of an EEA Resolution Authority, (b) any entity established in an EEA Member Country which is a parent of an institution described in clause (a) of this definition, or (c) any financial institution established in an EEA Member Country which is a subsidiary of an institution described in clauses (a) or (b) of this definition and is subject to consolidated supervision with its parent. “EEA Member Country” means any of the member states of the European Union, Iceland, Liechtenstein, and Norway. “EEA Resolution Authority” means any public administrative authority or any Person entrusted with public administrative authority of any EEA Member Country (including any delegee) having responsibility for the resolution of any credit institution or investment firm established in any EEA Member Country. “Electronic Record” has the meaning assigned to that term in, and shall be interpreted in accordance with, 15 U.S.C. 7006.


 
11 175130428 “Electronic Signature” has the meaning assigned to that term in, and shall be interpreted in accordance with, 15 U.S.C. 7006. “Eligible Assignee” means any Person that meets the requirements to be an assignee under Section 11.9(b)(iii) and (v) (subject to such consents, if any, as may be required under Section 11.9(b)(iii)). “Employee Benefit Plan” means (a) any “employee benefit plan” within the meaning of Section 3(3) of ERISA that is maintained for employees of the Borrower or any ERISA Affiliate or (b) any Pension Plan or Multiemployer Plan that has at any time within the preceding five (5) years been maintained, funded or administered for the employees of the Borrower or any current or former ERISA Affiliate. “Environmental Claims” means any and all administrative, regulatory or judicial actions, suits, demands, demand letters, claims, liens, accusations, allegations, notices of noncompliance or violation, investigations (other than internal reports prepared by any Person in the ordinary course of business and not in response to any third party action or request of any kind) or proceedings relating in any way to any actual or alleged violation of or liability under any Environmental Law or relating to any permit issued, or any approval given, under any such Environmental Law, including any and all claims by Governmental Authorities for enforcement, cleanup, removal, response, remedial or other actions or damages, contribution, indemnification, cost recovery, compensation or injunctive relief resulting from Hazardous Materials or arising from alleged injury or threat of injury to public health or the environment. “Environmental Laws” means any and all federal, foreign, state, provincial and local laws, statutes, ordinances, codes, rules, standards and regulations, permits, licenses, approvals, interpretations and orders of courts or Governmental Authorities, relating to the protection of public health or the environment, including, but not limited to, requirements pertaining to the manufacture, processing, distribution, use, treatment, storage, disposal, transportation, handling, reporting, licensing, permitting, investigation or remediation of Hazardous Materials. “Equity Interests” means (a) in the case of a corporation, capital stock, (b) in the case of an association or business entity, any and all shares, interests, participations, rights or other equivalents (however designated) of capital stock, (c) in the case of a partnership, partnership interests (whether general or limited), (d) in the case of a limited liability company, membership interests, (e) any other interest or participation that confers on a Person the right to receive a share of the profits and losses of, or distributions of assets of, the issuing Person and (f) any and all warrants, rights or options to purchase any of the foregoing. “ERISA” means the Employee Retirement Income Security Act of 1974, and the rules and regulations thereunder. “ERISA Affiliate” means any Person who together with the Borrower or any of its Subsidiaries is treated as a single employer within the meaning of Section 414(b), (c), (m) or (o) of the Code or Section 4001(b) of ERISA. “Erroneous Payment” has the meaning assigned thereto in Section 10.10(a). “Erroneous Payment Deficiency Assignment” has the meaning assigned thereto in Section 10.10(d). “Erroneous Payment Impacted Class” has the meaning assigned thereto in Section 10.10(d).


 
12 175130428 “Erroneous Payment Return Deficiency” has the meaning assigned thereto in Section 10.10(d). “EU Bail-In Legislation Schedule” means the EU Bail-In Legislation Schedule published by the Loan Market Association (or any successor thereto), as in effect from time to time. “Event of Default” means any of the events specified in Section 9.1; provided that any requirement for passage of time, giving of notice, or any other condition, has been satisfied. “Exchange Act” means the Securities Exchange Act of 1934 (15 U.S.C. § 77 et seq.). “Excluded Subsidiaries” means, collectively, BVESI and each of its Subsidiaries. “Excluded Taxes” means any of the following Taxes imposed on or with respect to a Recipient or required to be withheld or deducted from a payment to a Recipient, (a) Taxes imposed on or measured by net income (however denominated), franchise Taxes, and branch profits Taxes, in each case, (i) imposed as a result of such Recipient being organized under the laws of, or having its principal office or, in the case of any Lender, its applicable Lending Office located in, the jurisdiction imposing such Tax (or any political subdivision thereof) or (ii) that are Other Connection Taxes, (b) in the case of a Lender, United States federal withholding Taxes imposed on amounts payable to or for the account of such Lender with respect to an applicable interest in a Loan or Commitment pursuant to a law in effect on the date on which (i) such Lender acquires such interest in the Loan or Commitment (other than pursuant to an assignment request by the Borrower under Section 4.12(b)) or (ii) such Lender changes its Lending Office, except in each case to the extent that, pursuant to Section 4.11, amounts with respect to such Taxes were payable either to such Lender’s assignor immediately before such Lender became a party hereto or to such Lender immediately before it changed its Lending Office, (c) Taxes attributable to such Recipient’s failure to comply with Section 4.11(g) and (d) any withholding Taxes imposed under FATCA. “Existing Credit Agreement” means that certain Amended and Restated Credit Agreement dated as of June 3, 2005, by and among the Borrower, each lender party thereto and Wells Fargo, as administrative agent. “Existing Letters of Credit” means those letters of credit existing on the Closing Date and identified on Schedule 1.1(a). “Extensions of Credit” means, as to any Lender at any time, (a) an amount equal to the sum of (i) the aggregate principal amount of all Revolving Credit Loans made by such Lender then outstanding, (ii) such Lender’s Commitment Percentage of the L/C Obligations then outstanding, and (iii) such Lender’s Commitment Percentage of the Swingline Loans then outstanding or (b) the making of any Loan or participation in any Letter of Credit by such Lender, as the context requires. “Farm Credit Equities” means cash patronage, stock or other equities in any Farm Credit Lender acquired in connection with a patronage loan from such Farm Credit Lender. “Farm Credit Lender” means a federally-chartered Farm Credit System lending institution organized under the Farm Credit Act of 1971, as the same may be amended or supplemented from time to time. When used in this Agreement in reference to the Farm Credit Equities, “Farm Credit Lender” shall also include the affiliate of such Farm Credit Lender in which such Farm Credit Equities are purchased or acquired, as applicable. “FASB ASC” means the Accounting Standards Codification of the Financial Accounting Standards Board.


 
13 175130428 “FATCA” means Sections 1471 through 1474 of the Code, as of the date of this Agreement (or any amended or successor version that is substantively comparable and not materially more onerous to comply with), any current or future regulations or official interpretations thereof, and any agreements entered into pursuant to Section 1471(b)(1) of the Code and any fiscal or regulatory legislation, rules or practices adopted pursuant to any intergovernmental agreement, treaty or convention among Governmental Authorities and implementing such Sections of the Code. “FDIC” means the Federal Deposit Insurance Corporation. “Federal Funds Rate” means, for any day, the rate per annum equal to the weighted average of the rates on overnight federal funds transactions with members of the Federal Reserve System, as published by the Federal Reserve Bank of New York on the Business Day next succeeding such day, provided that if such rate is not so published for any day which is a Business Day, the Federal Funds Rate for such day shall be the average of the quotation for such day on such transactions received by the Administrative Agent from three federal funds brokers of recognized standing selected by the Administrative Agent. Notwithstanding the foregoing, if the Federal Funds Rate shall be less than zero, such rate shall be deemed to be zero for purposes of this Agreement. “Fee Letters” means (a) the separate fee letter agreement dated June 5, 2023 among, inter alia, the Borrower, Wells Fargo and Wells Fargo Securities, LLC, (b) the separate fee letter agreement dated June 5, 2023 among, inter alia, the Borrower and Bank of China, Los Angeles Branch, and (c) any letter between the Borrower and any Issuing Lender (other than Wells Fargo) relating to certain fees payable to such Issuing Lender in its capacity as such. “Fiscal Year” means the fiscal year of the Borrower and its Subsidiaries ending on December 31. “Floor” means a rate of interest equal to 0.00%. “Foreign Lender” means (a) if the Borrower is a U.S. Person, a Lender that is not a U.S. Person, and (b) if the Borrower is not a U.S. Person, a Lender that is resident or organized under the laws of a jurisdiction other than that in which the Borrower is resident for tax purposes. “FRB” means the Board of Governors of the Federal Reserve System of the United States. “Fronting Exposure” means, at any time there is a Defaulting Lender, (a) with respect to any Issuing Lender, such Defaulting Lender’s Commitment Percentage of the outstanding L/C Obligations with respect to Letters of Credit issued by such Issuing Lender, other than such L/C Obligations as to which such Defaulting Lender’s participation obligation has been reallocated to other Lenders or Cash Collateralized in accordance with the terms hereof and (b) with respect to the Swingline Lender, such Defaulting Lender’s Commitment Percentage of outstanding Swingline Loans other than Swingline Loans as to which such Defaulting Lender’s participation obligation has been reallocated to other Lenders or Cash Collateralized in accordance with the terms hereof. “Fund” means any Person (other than a natural Person) that is (or will be) engaged in making, purchasing, holding or otherwise investing in commercial loans, bonds and similar extensions of credit in the ordinary course of its activities. “GAAP” means generally accepted accounting principles in the United States set forth in the opinions and pronouncements of the Accounting Principles Board and the American Institute of Certified Public Accountants and statements and pronouncements of the Financial Accounting Standards Board or


 
14 175130428 such other principles as may be approved by a significant segment of the accounting profession in the United States, that are applicable to the circumstances as of the date of determination, consistently applied. “Governmental Approvals” means all authorizations, consents, approvals, permits, licenses and exemptions of, and all registrations and filings with or issued by, any Governmental Authorities. “Governmental Authority” means the government of the United States or any other nation, or of any political subdivision thereof, whether state or local, and any agency, authority, instrumentality, regulatory body, court, central bank or other entity exercising executive, legislative, judicial, taxing, regulatory or administrative powers or functions of or pertaining to government (including any supra- national bodies such as the European Union or the European Central Bank). “GSWC” means Golden State Water Company, a California corporation. “GSWC Credit Agreement” means that certain Credit Agreement dated as of June 28, 2023, among GSWC, Wells Fargo, as administrative agent, and the lenders from time to time party thereto. “Guarantee” of or by any Person (the “guarantor”) means any obligation, contingent or otherwise, of the guarantor guaranteeing or having the economic effect of guaranteeing any Indebtedness or other obligation of any other Person (the “primary obligor”) in any manner, whether directly or indirectly, and including any obligation of the guarantor, direct or indirect, (a) to purchase or pay (or advance or supply funds for the purchase or payment of) such Indebtedness or other obligation or to purchase (or to advance or supply funds for the purchase of) any security for the payment thereof, (b) to purchase or lease property, securities or services for the purpose of assuring the owner of such Indebtedness or other obligation of the payment thereof, (c) to maintain working capital, equity capital or any other financial statement condition or liquidity of the primary obligor so as to enable the primary obligor to pay such Indebtedness or other obligation, (d) as an account party in respect of any letter of credit or letter of guaranty issued to support such Indebtedness or obligation or (e) for the purpose of assuring in any other manner the obligee in respect of such Indebtedness or other obligation of the payment or performance thereof or to protect such obligee against loss in respect thereof (whether in whole or in part); provided that the term “Guarantee” shall not include endorsements for collection or deposit, in each case, in the ordinary course of business, or customary and reasonable indemnity obligations in connection with any disposition of assets permitted under this Agreement (other than any such obligations with respect to Indebtedness) or any guaranty by the Borrower or any of its Subsidiaries of the performance by any Subsidiary (other than any Excluded Subsidiary) of any contract (direct or indirect) with any branch of the U.S. military to provide water or wastewater services. “Hazardous Materials” means oil or petrochemical products, poly-chlorinated biphenyls, asbestos, urea formaldehyde, flammable explosives, radioactive materials, hazardous wastes, toxic substances or related materials, including any substances considered “hazardous substances,” “hazardous wastes,” “hazardous materials,” “infectious wastes”, “pollutant substances”, “solid waste” or “toxic substances” under any Hazardous Materials Laws. “Hazardous Materials Laws” means all Laws pertaining to the treatment, transportation or disposal of Hazardous Materials on or about any Real Property owned or leased by Borrower or any Subsidiary thereof (other than the Excluded Subsidiaries), or any portion thereof, including without limitation the following: the Federal Water Pollution Control Act (33 U.S.C. § 1251, et seq.), the Federal Resource Conservation and Recovery Act of 1976 (42 U.S.C. § 6901, et seq.), the Comprehensive Environmental Response, Compensation and Liability Act of 1980, as amended (42 U.S.C. § 9601, et seq.) and the Superfund Amendments and Reauthorization Act of 1986, the Hazardous Materials Transportation Act, as amended (44 U.S.C. § 1801, et seq.), the Toxic Substances Control Act, 15 U.S.C. § 2601 et seq., the


 
15 175130428 California Health and Safety Code (Section 25100, et seq.), the California Water Code and the California Administrative Code, in each case as such Laws are amended from time to time. “Hedge Agreement” means (a) any and all rate swap transactions, basis swaps, credit derivative transactions, forward rate transactions, commodity swaps, commodity options, forward commodity contracts, equity or equity index swaps or options, bond or bond price or bond index swaps or options or forward bond or forward bond price or forward bond index transactions, interest rate options, forward foreign exchange transactions, cap transactions, floor transactions, collar transactions, currency swap transactions, cross-currency rate swap transactions, currency options, spot contracts, or any other similar transactions or any combination of any of the foregoing (including any options to enter into any of the foregoing), whether or not any such transaction is governed by or subject to any master agreement, and (b) any and all transactions of any kind, and the related confirmations, which are subject to the terms and conditions of, or governed by, any form of master agreement published by the International Swaps and Derivatives Association, Inc., any International Foreign Exchange Master Agreement, or any other master agreement. “Hedge Termination Value” means, in respect of any one or more Hedge Agreements, after taking into account the effect of any legally enforceable netting agreement relating to such Hedge Agreements, (a) for any date on or after the date such Hedge Agreements have been closed out and termination value(s) determined in accordance therewith, such termination value(s), and (b) for any date prior to the date referenced in clause (a), the amount(s) determined as the mark-to-market value(s) for such Hedge Agreements, as determined based upon one or more mid-market or other readily available quotations provided by any recognized dealer in such Hedge Agreements (which may include a Lender or any Affiliate of a Lender). “Increase Effective Date” has the meaning assigned thereto in Section 4.13(c). “Incremental Amendment” has the meaning assigned thereto in Section 4.13(f). “Incremental Facilities Limit” means $75,000,000 less the total aggregate initial principal amount (as of the date of incurrence thereof) of all previously incurred Incremental Increases. “Incremental Increase” has the meaning assigned thereto in Section 4.13(a). “Incremental Lender” has the meaning assigned thereto in Section 4.13(b). “Indebtedness” means, with respect to any Person at any date and without duplication, the sum of the following: (a) all liabilities, obligations and indebtedness of such Person for borrowed money, including obligations of such Person evidenced by bonds, debentures, notes or other similar instruments, of such Person; (b) all obligations of such Person to pay the deferred purchase price of property or services of such Person (including all payment obligations under non-competition, earn-out or similar agreements, solely to the extent any such payment obligation under non-competition, earn-out or similar agreements becomes a liability on the balance sheet of such Person in accordance with GAAP), except trade payables arising in the ordinary course of business; (c) the Attributable Indebtedness of such Person with respect to such Person’s Capital Lease Obligations and Synthetic Leases (regardless of whether accounted for as indebtedness under GAAP);


 
16 175130428 (d) all obligations of such Person under conditional sale or other title retention agreements relating to property purchased by such Person to the extent of the value of such property (other than customary reservations or retentions of title under agreements with suppliers entered into in the ordinary course of business); (e) all Indebtedness of any other Person secured by a Lien on any asset owned or being purchased by such Person (including indebtedness arising under conditional sales or other title retention agreements except trade payables arising in the ordinary course of business), whether or not such indebtedness shall have been assumed by such Person or is limited in recourse; (f) all obligations, contingent or otherwise, of such Person relative to the face amount of letters of credit, whether or not drawn, including any Reimbursement Obligation, and banker’s acceptances issued for the account of such Person; (g) all obligations of such Person in respect of Disqualified Equity Interests; (h) all net obligations of such Person under any Hedge Agreements; and (i) all Guarantees of such Person with respect to any of the foregoing. For all purposes hereof, the Indebtedness of any Person shall include the Indebtedness of any partnership or joint venture (other than a joint venture that is itself a corporation or limited liability company) in which such Person is a general partner or a joint venturer, unless such Indebtedness is expressly made non-recourse to such Person. In respect of Indebtedness of another Person secured by a Lien on the assets of the specified Person, if such Indebtedness shall not have been assumed by such Person or is limited in recourse to the assets securing such Lien, the amount of such Indebtedness as of any date of determination will be the lesser of (x) the fair market value of such assets as of such date (as determined in good faith by the Borrower) and (y) the amount of such Indebtedness as of such date. The amount of any net obligation under any Hedge Agreement on any date shall be deemed to be the Hedge Termination Value thereof as of such date. The amount of obligations in respect of any Disqualified Equity Interests shall be valued, in the case of a redeemable preferred interest, at the greater of its voluntary or involuntary liquidation preference plus accrued and unpaid dividends that are past due. Notwithstanding the foregoing, Indebtedness shall be deemed not to include (1) Advances for Construction of any Subsidiary of the Borrower in the ordinary course of business and (2) the purchase price obligation in connection with a Military Utility Privatization, to the extent that such obligation is recorded as a liability offset by a receivable in the same amount on the financial statements of Borrower. “Indemnified Taxes” means (a) Taxes, other than Excluded Taxes, imposed on or with respect to any payment made by or on account of any obligation of the Borrower under any Loan Document and (b) to the extent not otherwise described in clause (a), Other Taxes. “Indemnitee” has the meaning assigned thereto in Section 11.3(b). “Information” has the meaning assigned thereto in Section 11.10. “Initial Issuing Lender” means Wells Fargo. “Interest Period” means, as to any SOFR Loan, the period commencing on the date such SOFR Loan is disbursed or converted to or continued as a SOFR Loan and ending on the date one (1), three (3) or


 
17 175130428 six (6) months thereafter, in each case as selected by the Borrower in its Notice of Borrowing or Notice of Conversion/Continuation and subject to availability; provided that: (a) the Interest Period shall commence on the date of advance of or conversion to any SOFR Loan and, in the case of immediately successive Interest Periods, each successive Interest Period shall commence on the date on which the immediately preceding Interest Period expires; (b) if any Interest Period would otherwise expire on a day that is not a Business Day, such Interest Period shall expire on the next succeeding Business Day; provided that if any Interest Period would otherwise expire on a day that is not a Business Day but is a day of the month after which no further Business Day occurs in such month, such Interest Period shall expire on the immediately preceding Business Day; (c) any Interest Period that begins on the last Business Day of a calendar month (or on a day for which there is no numerically corresponding day in the calendar month at the end of such Interest Period) shall end on the last Business Day of the relevant calendar month at the end of such Interest Period; (d) no Interest Period shall extend beyond the Maturity Date; (e) there shall be no more than six (6) Interest Periods in effect at any time; and (f) no tenor that has been removed from this definition pursuant to Section 4.8(c)(iv) shall be available for specification in any Notice of Borrowing or Notice of Conversion/Continuation. “Interstate Commerce Act” means the body of law commonly known as the Interstate Commerce Act (49 U.S.C. App. § 1 et seq.). “Investment” means, as to any Person, any direct or indirect acquisition or investment by such Person, whether by means of (a) the purchase or other acquisition of capital stock or other securities of another Person, (b) a loan, advance or capital contribution to, Guarantee or assumption of debt of, or purchase or other acquisition of any other debt or equity participation or interest in, another Person, including any partnership or joint venture interest in such other Person and any arrangement pursuant to which the investor Guarantees Indebtedness of such other Person, or (c) the purchase or other acquisition (in one transaction or a series of transactions) of assets of another Person that constitute a business unit. For purposes of covenant compliance, the amount of any Investment shall be the amount actually invested at the time such Investment is made, without adjustment for subsequent increases or decreases in the value of such Investment less any amount realized in respect of such Investment upon the sale, collection or return of capital (not to exceed the original amount invested). “Investment Company Act” means the Investment Company Act of 1940 (15 U.S.C. § 80(a)(1), et seq.). “IRS” means the United States Internal Revenue Service. “ISP” means the International Standby Practices, International Chamber of Commerce Publication No. 590 (or such later version thereof as may be in effect at the applicable time). “Issuing Lender” means (a) the Initial Issuing Lender and (b) any other Lender to the extent it has agreed in its sole discretion to act as an “Issuing Lender” hereunder and that has been approved in writing by the Borrower and the Administrative Agent as an “Issuing Lender” hereunder, in each case in its capacity as issuer of any Letter of Credit.


 
18 175130428 “L/C Commitment” means, as to any Issuing Lender, the obligation of such Issuing Lender to issue Letters of Credit for the account of the Borrower from time to time in an aggregate amount equal to (a) for each of the Initial Issuing Lenders, the amount set forth opposite the name of each such Initial Issuing Lender on Schedule 1.1(b) and (b) for any other Issuing Lender becoming an Issuing Lender after the Closing Date, such amount as separately agreed to in a written agreement between the Borrower and such Issuing Lender (which such agreement shall be promptly delivered to the Administrative Agent upon execution), in each case of clauses (a) and (b) above, any such amount may be changed after the Closing Date in a written agreement between the Borrower and such Issuing Lender (which such agreement shall be promptly delivered to the Administrative Agent upon execution); provided that the L/C Commitment with respect to any Person that ceases to be an Issuing Lender for any reason pursuant to the terms hereof shall be $0 (subject to the Letters of Credit of such Person remaining outstanding in accordance with the provisions hereof). “L/C Facility” means the letter of credit facility established pursuant to Article III. “L/C Obligations” means at any time, an amount equal to the sum of (a) the aggregate undrawn and unexpired amount of the then outstanding Letters of Credit and (b) the aggregate amount of drawings under Letters of Credit which have not then been reimbursed pursuant to Section 3.5. “L/C Participants” means, with respect to any Letter of Credit, the collective reference to all the Lenders other than the applicable Issuing Lender. “L/C Sublimit” means the lesser of (a) $10,000,000 and (b) the aggregate amount of the Commitments. “Lender” means each Person executing this Agreement as a Lender on the Closing Date and any other Person that shall have become a party to this Agreement as a Lender pursuant to an Assignment and Assumption or pursuant to Section 4.13, other than any Person that ceases to be a party hereto as a Lender pursuant to an Assignment and Assumption. Unless the context otherwise requires, the term “Lenders” includes the Swingline Lender. “Lender Parties” means, collectively, the Administrative Agent, the Lenders, the Issuing Lenders, each co-agent or sub-agent appointed by the Administrative Agent from time to time pursuant to Section 10.5, and, in each case, their respective successors and permitted assigns. “Lending Office” means, with respect to any Lender, the office of such Lender maintaining such Lender’s Extensions of Credit, which office may, to the extent the applicable Lender notifies the Administrative Agent in writing, include an office of any Affiliate of such Lender or any domestic or foreign branch of such Lender or Affiliate. “Letter of Credit Application” means an application requesting the applicable Issuing Lender to issue a Letter of Credit in the form specified by the applicable Issuing Lender from time to time. “Letter of Credit Documents” means with respect to any Letter of Credit, such Letter of Credit, the Letter of Credit Application, a letter of credit agreement or reimbursement agreement and any other document, agreement and instrument required by the applicable Issuing Lender and relating to such Letter of Credit, in each case in the form specified by the applicable Issuing Lender from time to time. “Letters of Credit” means the collective reference to letters of credit issued pursuant to Section 3.1 and the Existing Letters of Credit.


 
19 175130428 “Lien” means, with respect to any asset, any mortgage, leasehold mortgage, lien, pledge, charge, security interest, hypothecation or encumbrance of any kind in respect of such asset. For the purposes of this Agreement, a Person shall be deemed to own subject to a Lien any asset which it has acquired or holds subject to the interest of a vendor or lessor under any conditional sale agreement, Capital Lease Obligation or other title retention agreement relating to such asset. “Loan Documents” means, collectively, this Agreement, each Note, the Letter of Credit Documents, the Fee Letters, and each other document, instrument, certificate and agreement executed and delivered by the Borrower or any of its Subsidiaries in favor of or provided to the Administrative Agent or any Lender Party in connection with this Agreement or otherwise referred to herein or contemplated hereby (excluding any Hedge Agreement and any documentation with respect to any cash management arrangement). “Loans” means the collective reference to the Revolving Credit Loans and the Swingline Loans, and “Loan” means any of such Loans. “Material Adverse Effect” means (a) a material adverse change in, or a material adverse effect on, the operations, business, assets, properties, liabilities (actual or contingent) or condition (financial or otherwise) of the Borrower and its Subsidiaries (other than any Excluded Subsidiary), taken as a whole, (b) a material impairment of the rights and remedies of the Administrative Agent or any Lender under any Loan Document, (c) a material impairment of the ability of the Borrower to perform its obligations under the Loan Documents or (d) a material adverse effect upon the legality, validity, binding effect or enforceability against the Borrower of any Loan Document. “Maturity Date” means the earliest to occur of (a) June 28, 2028, (b) the date of termination of the entire Commitment by the Borrower pursuant to Section 2.5, and (c) the date of termination of the Commitment pursuant to Section 9.2(a). “Military Utility Privatization” means the acquisition of a water or wastewater system or systems from the United States Government pursuant to 10 USC §2688 in connection with a contract to provide utility services. It is understood that, in accordance with GAAP as in effect on the date hereof, the water and wastewater systems acquired are not reflected as fixed assets on the financial statements of the Borrower or its Subsidiaries and the purchase price obligation is recorded as a liability offset by a receivable in the same amount, thereby having no effect on the financial position of the Borrower. “Minimum Collateral Amount” means, at any time, (a) with respect to Cash Collateral consisting of cash or deposit account balances provided to reduce or eliminate Fronting Exposure during the existence of a Defaulting Lender, an amount equal to 105% of the Fronting Exposure of each of the Issuing Lenders with respect to Letters of Credit issued by it and outstanding at such time, (b) with respect to Cash Collateral consisting of cash or deposit account balances provided in accordance with the provisions of Section 9.2(b), an amount equal to 105% of the aggregate outstanding amount of all L/C Obligations and (c) otherwise, an amount determined by the Administrative Agent and each of the applicable Issuing Lenders that is entitled to Cash Collateral hereunder at such time in their sole discretion. “Moody’s” means Moody’s Investors Service, Inc. “Multiemployer Plan” means a “multiemployer plan” as defined in Section 4001(a)(3) of ERISA to which the Borrower or any ERISA Affiliate is making, or is accruing an obligation to make, or has accrued an obligation to make contributions within the preceding five (5) years, or to which the Borrower or any ERISA Affiliate has any liability (contingent or otherwise).


 
20 175130428 “Non-Consenting Lender” means any Lender that does not approve any consent, waiver, amendment, modification or termination that (a) requires the approval of all Lenders or all affected Lenders in accordance with the terms of Section 11.2 and (b) has been approved by the Required Lenders. “Non-Defaulting Lender” means, at any time, each Lender that is not a Defaulting Lender at such time. “Notes” means the collective reference to the Revolving Credit Notes and the Swingline Note. “Notice of Account Designation” has the meaning assigned thereto in Section 2.3(b). “Notice of Borrowing” has the meaning assigned thereto in Section 2.3(a). “Notice of Conversion/Continuation” has the meaning assigned thereto in Section 4.2. “Notice of Prepayment” has the meaning assigned thereto in Section 2.4(c). “Obligations” means, in each case, whether now in existence or hereafter arising: (a) the principal of and interest on (including interest accruing after the filing of any bankruptcy or similar petition) the Loans, (b) the L/C Obligations and (c) all other fees and commissions (including attorneys’ fees), charges, indebtedness, loans, liabilities, financial accommodations, obligations, covenants and duties owing by the Borrower to the Lenders, the Issuing Lenders or the Administrative Agent, in each case under any Loan Document, with respect to any Loan or Letter of Credit of every kind, nature and description, direct or indirect, absolute or contingent, due or to become due, contractual or tortious, liquidated or unliquidated, and whether or not evidenced by any note and including interest and fees that accrue after the commencement by or against the Borrower of any proceeding under any Debtor Relief Laws, naming such Person as the debtor in such proceeding, regardless of whether such interest and fees are allowed claims in such proceeding. “OFAC” means the U.S. Department of the Treasury’s Office of Foreign Assets Control. “Organizational Documents” means, (a) with respect to any corporation, the certificate or articles of incorporation and the bylaws (or equivalent or comparable constitutive documents); (b) with respect to any limited liability company, the certificate or articles of formation or organization and operating agreement or limited liability company agreement (or equivalent or comparable documents); and (c) with respect to any partnership, joint venture, trust or other form of business entity, the partnership, joint venture or other applicable agreement of formation or organization and any agreement, instrument, filing or notice with respect thereto filed in connection with its formation or organization with the applicable Governmental Authority in the jurisdiction of its formation or organization and, if applicable, any certificate or articles of formation or organization of such entity. “Other Connection Taxes” means, with respect to any Recipient, Taxes imposed as a result of a present or former connection between such Recipient and the jurisdiction imposing such Tax (other than connections arising from such Recipient having executed, delivered, become a party to, performed its obligations under, received payments under, received or perfected a security interest under, engaged in any other transaction pursuant to or enforced any Loan Document, or sold or assigned an interest in any Loan or Loan Document). “Other Taxes” means all present or future stamp, court, documentary, intangible, recording, filing or similar Taxes that arise from any payment made under, from the execution, delivery, performance, enforcement or registration of, from the receipt or perfection of a security interest under, or otherwise with


 
21 175130428 respect to, any Loan Document, except any such Taxes that are Other Connection Taxes imposed with respect to an assignment (other than an assignment made pursuant to Section 4.12). “Overnight Rate” means, for any day, the greater of (a) the Federal Funds Rate and (b) an overnight rate determined by the Administrative Agent in accordance with banking industry rules on interbank compensation. “Participant” has the meaning assigned thereto in Section 11.9(d). “Participant Register” has the meaning assigned thereto in Section 11.9(d). “PATRIOT Act” means the USA PATRIOT Act (Title III of Pub. L. 107-56 (signed into law October 26, 2001)). “Payment Recipient” has the meaning assigned thereto in Section 10.10(a). “PBGC” means the Pension Benefit Guaranty Corporation or any successor agency. “Pension Plan” means any Employee Benefit Plan, other than a Multiemployer Plan, which is subject to the provisions of Title IV of ERISA or Section 412 of the Code and which (a) is maintained, funded or administered for the employees of the Borrower or any ERISA Affiliate, (b) has at any time within the preceding five (5) years been maintained, funded or administered for the employees of the Borrower or any current or former ERISA Affiliates or (c) the Borrower or any ERISA Affiliate has any liability (contingent or otherwise). “Permitted Acquisition” means any Acquisition that meets all of the following requirements: (a) the board of directors or other similar governing body of the Person to be acquired shall have approved such Acquisition; (b) the Person or business to be acquired shall be in a line of business permitted pursuant to Section 8.11 or, in the case of an Acquisition of assets, the assets acquired are used or useful in the business of the Consolidated Group as conducted immediately prior to such Acquisition or permitted pursuant to Section 8.11; (c) if such Acquisition is a merger or consolidation, the Borrower or a Wholly-Owned Subsidiary of the Borrower shall be the surviving Person; and no Change in Control shall have been effected thereby; (d) no Default or Event of Default shall have occurred and be continuing both before and after giving effect to such Acquisition and any Indebtedness incurred in connection therewith; and (e) immediately after giving pro forma effect to any such Acquisition, the Consolidated Group shall be in pro forma compliance with the financial covenant set forth in Section 8.11, such compliance to be determined on the basis of the financial information most recently delivered to the Administrative Agent pursuant to Section 7.1(a) or (b) as though any Indebtedness incurred in connection with such Acquisition was incurred as of the last day of the four consecutive fiscal-quarter period covered thereby. “Permitted Liens” means the Liens permitted pursuant to Section 8.2.


 
22 175130428 “Permitted Restriction” means any of the following: (i) this Agreement and the other Loan Documents, (ii) any document or instrument governing Indebtedness incurred pursuant to Section 8.1(d) (provided that any such restriction contained therein relates only to the asset or assets financed thereby), (iii) the GSWC Credit Agreement, (iv) any Permitted Lien or any document or instrument governing any Permitted Lien (provided that any such restriction contained therein relates only to the asset or assets subject to such Permitted Lien), (v) with respect to the rights of a Subsidiary of the Borrower under a Military Utility Privatization entered into by such Subsidiary, (vi) Applicable Law, (vii) obligations that are binding on a Subsidiary at the time such Subsidiary first becomes a Subsidiary of the Borrower, so long as such obligations are not entered into in contemplation of such Person becoming a Subsidiary, (viii) customary restrictions contained in an agreement related to the sale of Property (to the extent such sale is permitted pursuant to Section 8.5) that limit the transfer of such Property pending the consummation of such sale, (ix) customary restrictions in leases, subleases, licenses and sublicenses or asset sale agreements otherwise permitted by this Agreement so long as such restrictions relate only to the assets subject thereto, (x) customary provisions restricting assignment of any agreement entered into in the ordinary course of business, (xi) any Lien, agreement, instrument or undertaking required to be entered into by any relevant regulatory authority, (xii) restrictions on a Subsidiary in Indebtedness incurred pursuant to Section 8.1(e), so long as such restrictions were not incurred in connection with, or in contemplation of, such Person becoming a Subsidiary or the acquisition of such assets, (xiii) restrictions existing on the date hereof in the agreements set forth on Schedule 8.9, and (xiv) restrictions in favor of any holder of Indebtedness permitted under Section 8.1 incurred in the ordinary course or otherwise substantially consistent with the Borrower’s or such Subsidiary’s historic practices, which would not, in the Borrower’s good faith determination, materially impair the ability of the Borrower or any of its Subsidiaries to perform its payment obligations under the Loan Documents and which are not more restrictive than the restrictions set forth in the agreements set forth on Schedule 8.9. “Person” means any natural person, corporation, limited liability company, trust, joint venture, association, company, partnership, Governmental Authority or other entity. “Platform” means Debt Domain, Intralinks, SyndTrak or a substantially similar electronic transmission system. “Prime Rate” means, at any time, the rate of interest per annum publicly announced from time to time by the Administrative Agent as its prime rate. Each change in the Prime Rate shall be effective as of the opening of business on the day such change in such prime rate occurs. The parties hereto acknowledge that the rate announced publicly by the Administrative Agent as its prime rate is an index or base rate and shall not necessarily be its lowest or best rate charged to its customers or other banks. “Property” means any right or interest in or to property of any kind whatsoever, whether real, personal or mixed and whether tangible or intangible, including Equity Interests. “PTE” means a prohibited transaction class exemption issued by the U.S. Department of Labor, as any such exemption may be amended from time to time. “Public Lenders” has the meaning assigned thereto in Section 7.2. “Qualified Equity Interests” means any Equity Interests that are not Disqualified Equity Interests. “Real Property” means, as of any date of determination, all real property then or theretofore owned, leased or occupied by Borrower or any Subsidiary.


 
23 175130428 “Recipient” means (a) the Administrative Agent, (b) any Lender or (c) any Issuing Lender, as applicable. “Register” has the meaning assigned thereto in Section 11.9(c). “Reimbursement Obligation” means the obligation of the Borrower to reimburse any Issuing Lender pursuant to Section 3.5 for amounts drawn under Letters of Credit issued by such Issuing Lender. “Related Parties” means, with respect to any Person, such Person’s Affiliates and the partners, directors, officers, employees, agents, trustees, administrators, managers, advisors and representatives of such Person and of such Person’s Affiliates. “Relevant Governmental Body” means the FRB or the Federal Reserve Bank of New York, or a committee officially endorsed or convened by the FRB or the Federal Reserve Bank of New York, or any successor thereto. “Removal Effective Date” has the meaning assigned thereto in Section 10.6(b). “Required Lenders” means, at any time, Lenders having Total Credit Exposure representing more than fifty percent (50%) of the Total Credit Exposure of all Lenders. The Total Credit Exposure of any Defaulting Lender shall be disregarded in determining Required Lenders at any time. “Resignation Effective Date” has the meaning assigned thereto in Section 10.6(a). “Resolution Authority” means an EEA Resolution Authority or, with respect to any UK Financial Institution, a UK Resolution Authority. “Responsible Officer” means, as to any Person, (x) the chief executive officer, president, chief financial officer, controller, treasurer or assistant treasurer of such Person or any other officer of such Person designated in writing by the Borrower or such Person and reasonably acceptable to the Administrative Agent and (y) solely for purposes of the delivery of any secretary or incumbency certificates, the secretary or any assistant secretary of such Person; provided that, to the extent requested thereby, the Administrative Agent shall have received a certificate of such Person certifying as to the incumbency and genuineness of the signature of each such officer. Any document delivered hereunder or under any other Loan Document that is signed by a Responsible Officer of a Person shall be conclusively presumed to have been authorized by all necessary corporate, limited liability company, partnership and/or other action on the part of such Person and such Responsible Officer shall be conclusively presumed to have acted on behalf of such Person. “Restricted Payment” means any dividend on, or the making of any payment or other distribution on account of, or the purchase, redemption, retirement or other acquisition (directly or indirectly) of, or the setting apart assets for a sinking or other analogous fund for the purchase, redemption, retirement or other acquisition of, any class of Equity Interests of the Borrower or any Subsidiary, or the making of any distribution of cash, property or assets to the holders of any Equity Interests of the Borrower or any Subsidiary on account of such Equity Interests. “Revolving Credit Exposure” means, as to any Lender at any time, the aggregate principal amount at such time of its outstanding Revolving Credit Loans and such Lender’s participation in L/C Obligations and Swingline Loans at such time. “Revolving Credit Facility” means the revolving credit facility established pursuant to Article II (including any increase in such revolving credit facility pursuant to Section 4.13).


 
24 175130428 “Revolving Credit Loan” means any revolving loan made to the Borrower pursuant to Section 2.1, and all such revolving loans collectively as the context requires. “Revolving Credit Note” means a promissory note made by the Borrower in favor of a Lender evidencing the Revolving Credit Loans made by such Lender, substantially in the form attached as Exhibit A-1, and any substitutes therefor, and any replacements, restatements, renewals or extension thereof, in whole or in part. “Revolving Credit Outstandings” means the sum of (a) with respect to Revolving Credit Loans and Swingline Loans on any date, the aggregate outstanding principal amount thereof after giving effect to any borrowings and prepayments or repayments of Revolving Credit Loans and Swingline Loans, as the case may be, occurring on such date; plus (b) with respect to any L/C Obligations on any date, the aggregate outstanding amount thereof on such date after giving effect to any Extensions of Credit occurring on such date and any other changes in the aggregate amount of the L/C Obligations as of such date, including as a result of any reimbursements of outstanding unpaid drawings under any Letters of Credit or any reductions in the maximum amount available for drawing under Letters of Credit taking effect on such date. “S&P” means Standard & Poor’s Rating Service, a division of S&P Global Inc. and any successor thereto. “Sanctioned Country” means at any time, a country, region or territory which is itself (or whose government is) the subject or target of any Sanctions (including, as of the Closing Date, Cuba, Iran, North Korea, Syria, Venezuela and Crimea). “Sanctioned Person” means, at any time, (a) any Person listed in any Sanctions-related list of designated Persons maintained by OFAC (including OFAC’s Specially Designated Nationals and Blocked Persons List and OFAC’s Consolidated Non-SDN List), the U.S. Department of State, the United Nations Security Council, the European Union, any European member state, His Majesty’s Treasury, or other relevant sanctions authority, (b) any Person operating, organized or resident in a Sanctioned Country, (c) any Person owned or controlled by, or acting or purporting to act for or on behalf of, directly or indirectly, any such Person or Persons described in clauses (a) and (b), including a Person that is deemed by OFAC to be a Sanctions target based on the ownership of such legal entity by Sanctioned Person(s) or (d) any Person otherwise a target of Sanctions, including vessels and aircraft, that are designated under any Sanctions program. “Sanctions” means any and all economic or financial sanctions, sectoral sanctions, secondary sanctions, trade embargoes and restrictions and anti-terrorism laws, including but not limited to those imposed, administered or enforced from time to time by the U.S. government (including those administered by OFAC or the U.S. Department of State), the United Nations Security Council, the European Union, any European member state, His Majesty’s Treasury, or other relevant sanctions authority in any jurisdiction in which (a) the Borrower or any of its Subsidiaries or Affiliates is located or conducts business, (b) in which any of the proceeds of the Extensions of Credit will be used, or (c) from which repayment of the Extensions of Credit will be derived. “SEC” means the U.S. Securities and Exchange Commission, or any Governmental Authority succeeding to any of its principal functions. “Securities Act” means the Securities Act of 1933 (15 U.S.C. § 77 et seq.). “Shareholders’ Equity” means, as of any date of determination, Consolidated shareholders’ equity of the Consolidated Group as of that date determined in accordance with GAAP.


 
25 175130428 “SOFR” means a rate equal to the secured overnight financing rate as administered by the SOFR Administrator. “SOFR Administrator” means the Federal Reserve Bank of New York (or a successor administrator of the secured overnight financing rate). “SOFR Loan” means any Loan bearing interest at a rate based on Adjusted Term SOFR as provided in Section 4.1(a). “Solvent” and “Solvency” mean, with respect to any Person on any date of determination, that on such date (a) the fair value of the Property of such Person is greater than the total amount of liabilities, including contingent liabilities, of such Person, (b) the present fair salable value of the assets of such Person is not less than the amount that will be required to pay the probable liability of such Person on its debts as they become absolute and matured, (c) such Person does not intend to, and does not believe that it will, incur debts or liabilities beyond such Person’s ability to pay such debts and liabilities as they mature, (d) such Person is not engaged in business or a transaction, and is not about to engage in business or a transaction, for which such Person’s property would constitute an unreasonably small capital, and (e) such Person is able to pay its debts and liabilities, contingent obligations and other commitments as they mature in the ordinary course of business. For purposes of this definition, the amount of contingent liabilities at any time shall be computed as the amount that, in the light of all the facts and circumstances existing at such time, represents the amount that can reasonably be expected to become an actual or matured liability. “Subsidiary” means as to any Person, any corporation, partnership, limited liability company or other entity of which more than fifty percent (50%) of the outstanding Equity Interests having ordinary voting power to elect a majority of the board of directors (or equivalent governing body) or other managers of such corporation, partnership, limited liability company or other entity is at the time owned by (directly or indirectly) or the management is otherwise controlled by (directly or indirectly) such Person (irrespective of whether, at the time, Equity Interests of any other class or classes of such corporation, partnership, limited liability company or other entity shall have or might have voting power by reason of the happening of any contingency). Unless otherwise qualified, references to “Subsidiary” or “Subsidiaries” herein shall refer to those of the Borrower. “Sweep Arrangement” has the meaning assigned thereto in Section 2.2(a). “Swingline Commitment” means the lesser of (a) $15,000,000 and (b) the aggregate amount of the Commitments. “Swingline Facility” means the swingline facility established pursuant to Section 2.2. “Swingline Lender” means Wells Fargo in its capacity as swingline lender hereunder or any successor thereto. “Swingline Loan” means any swingline loan made by the Swingline Lender to the Borrower pursuant to Section 2.2, and all such swingline loans collectively as the context requires. “Swingline Note” means a promissory note made by the Borrower in favor of the Swingline Lender evidencing the Swingline Loans made by the Swingline Lender, substantially in the form attached as Exhibit A-2, and any substitutes therefor, and any replacements, restatements, renewals or extension thereof, in whole or in part. “Swingline Participation Amount” has the meaning assigned thereto in Section 2.2(b)(iii).


 
26 175130428 “Synthetic Lease” means any synthetic lease, tax retention operating lease, off-balance sheet loan or similar off-balance sheet financing product where such transaction is considered borrowed money indebtedness for tax purposes but is classified as an operating lease in accordance with GAAP. “Taxes” means all present or future taxes, levies, imposts, duties, deductions, withholdings (including backup withholding), assessments, fees or other charges imposed by any Governmental Authority, including any interest, fines, additions to tax or penalties applicable thereto. “Term SOFR” means, (a) for any calculation with respect to a SOFR Loan, the Term SOFR Reference Rate for a tenor comparable to the applicable Interest Period on the day (such day, the “Periodic Term SOFR Determination Day”) that is two (2) U.S. Government Securities Business Days prior to the first day of such Interest Period, as such rate is published by the Term SOFR Administrator; provided, however, that if as of 5:00 p.m. (Eastern time) on any Periodic Term SOFR Determination Day the Term SOFR Reference Rate for the applicable tenor has not been published by the Term SOFR Administrator and a Benchmark Replacement Date with respect to the Term SOFR Reference Rate has not occurred, then Term SOFR will be the Term SOFR Reference Rate for such tenor as published by the Term SOFR Administrator on the first preceding U.S. Government Securities Business Day for which such Term SOFR Reference Rate for such tenor was published by the Term SOFR Administrator so long as such first preceding U.S. Government Securities Business Day is not more than three (3) U.S. Government Securities Business Days prior to such Periodic Term SOFR Determination Day, and (b) for any calculation with respect to a Base Rate Loan on any day, the Term SOFR Reference Rate for a tenor of one month on the day (such day, the “Base Rate Term SOFR Determination Day”) that is two (2) U.S. Government Securities Business Days prior to such day, as such rate is published by the Term SOFR Administrator; provided, however, that if as of 5:00 p.m. (Eastern time) on any Base Rate Term SOFR Determination Day the Term SOFR Reference Rate for the applicable tenor has not been published by the Term SOFR Administrator and a Benchmark Replacement Date with respect to the Term SOFR Reference Rate has not occurred, then Term SOFR will be the Term SOFR Reference Rate for such tenor as published by the Term SOFR Administrator on the first preceding U.S. Government Securities Business Day for which such Term SOFR Reference Rate for such tenor was published by the Term SOFR Administrator so long as such first preceding U.S. Government Securities Business Day is not more than three (3) U.S. Government Securities Business Days prior to such Base Rate Term SOFR Determination Day. “Term SOFR Adjustment” means a percentage equal to 0.10% per annum. “Term SOFR Administrator” means CME Group Benchmark Administration Limited (CBA) (or a successor administrator of the Term SOFR Reference Rate selected by the Administrative Agent in its reasonable discretion). “Term SOFR Reference Rate” means the forward-looking term rate based on SOFR. “Termination Event” means the occurrence of any of the following which, individually or in the aggregate, has resulted or could reasonably be expected to result in liability of the Borrower in an aggregate amount in excess of the Threshold Amount: (a) a “Reportable Event” described in Section 4043 of ERISA unless the thirty (30)-day notice requirement has been duly waived under the applicable regulations or otherwise by the PBGC, or (b) the withdrawal of the Borrower or any ERISA Affiliate from a Pension Plan during a plan year in which it was a “substantial employer” as defined in Section 4001(a)(2) of ERISA or a cessation of operations that is treated as such a withdrawal under Section 4062(e) of ERISA, or (c) the


 
27 175130428 termination of a Pension Plan, the filing of a notice of intent to terminate a Pension Plan or the treatment of a Pension Plan amendment as a termination, under Section 4041 of ERISA, if the plan assets of such Pension Plan are not sufficient to pay all plan liabilities, or (d) the institution of proceedings to terminate, or the appointment of a trustee with respect to, any Pension Plan by the PBGC, or (e) any other event or condition which would constitute grounds under Section 4042(a) of ERISA for the termination of, or the appointment of a trustee to administer, any Pension Plan, or (f) the imposition of a Lien pursuant to Section 430(k) of the Code or Section 303 of ERISA, or (g) the determination that any Pension Plan or Multiemployer Plan is considered an at-risk plan or plan in endangered or critical status within the meaning of Sections 430, 431 or 432 of the Code or Sections 303, 304 or 305 of ERISA or (h) the partial or complete withdrawal of the Borrower or any ERISA Affiliate from a Multiemployer Plan if withdrawal liability is asserted by such plan, or (i) any event or condition which results in the reorganization or insolvency of a Multiemployer Plan under Section 4245 of ERISA, or (j) any event or condition which results in the termination of a Multiemployer Plan under Section 4041A of ERISA or the institution by PBGC of proceedings to terminate a Multiemployer Plan under Section 4042 of ERISA, or (k) the imposition of any liability under Title IV of ERISA, other than for PBGC premiums due but not delinquent under Section 4007 of ERISA, upon the Borrower or any ERISA Affiliate. “Threshold Amount” means $12,500,000. “Total Capitalization Ratio” means, as of any date of determination, the ratio of (a) Consolidated Funded Indebtedness as of such date to (b) the sum of (i) Shareholders’ Equity as of such date plus (ii) Consolidated Funded Indebtedness as of such date. “Total Credit Exposure” means, as to any Lender at any time, the unused Commitments and Revolving Credit Exposure of such Lender at such time. “UCC” means the Uniform Commercial Code as in effect in the State of New York. “UK Financial Institution” means any BRRD Undertaking (as such term is defined under the PRA Rulebook (as amended from time to time) promulgated by the United Kingdom Prudential Regulation Authority) or any person falling within IFPRU 11.6 of the FCA Handbook (as amended from time to time) promulgated by the United Kingdom Financial Conduct Authority, which includes certain credit institutions and investment firms, and certain affiliates of such credit institutions or investment firms. “UK Resolution Authority” means the Bank of England or any other public administrative authority having responsibility for the resolution of any UK Financial Institution. “Unadjusted Benchmark Replacement” means the applicable Benchmark Replacement excluding the related Benchmark Replacement Adjustment. “United States” means the United States of America. “U.S. Government Securities Business Day” means any day except for (a) a Saturday, (b) a Sunday or (c) a day on which the Securities Industry and Financial Markets Association recommends that the fixed income departments of its members be closed for the entire day for purposes of trading in United States government securities; provided, that for purposes of notice requirements in Sections 2.3(a), 2.4(c) and 4.2, in each case, such day is also a Business Day. “U.S. Person” means any Person that is a “United States person” as defined in Section 7701(a)(30) of the Code.


 
28 175130428 “U.S. Tax Compliance Certificate” has the meaning assigned thereto in Section 4.11(g). “Wells Fargo” means Wells Fargo Bank, National Association, a national banking association. “Wholly-Owned” means, with respect to a Subsidiary, that all of the Equity Interests of such Subsidiary are, directly or indirectly, owned or controlled by the Borrower and/or one or more of its Wholly- Owned Subsidiaries (except for directors’ qualifying shares or other shares required by Applicable Law to be owned by a Person other than the Borrower and/or one or more of its Wholly-Owned Subsidiaries). “Withholding Agent” means the Borrower and the Administrative Agent. “Write-Down and Conversion Powers” means (a) with respect to any EEA Resolution Authority, the write-down and conversion powers of such EEA Resolution Authority from time to time under the Bail- In Legislation for the applicable EEA Member Country, which write-down and conversion powers are described in the EU Bail-In Legislation Schedule and (b) with respect to the United Kingdom, any powers of the applicable Resolution Authority under the Bail-In Legislation to cancel, reduce, modify or change the form of a liability of any UK Financial Institution or any contract or instrument under which that liability arises, to convert all or part of that liability into shares, securities or obligations of that person or any other person, to provide that any such contract or instrument is to have effect as if a right had been exercised under it or to suspend any obligation in respect of that liability or any of the powers under that Bail-In Legislation that are related to or ancillary to any of those powers. SECTION 1.2 Other Definitions and Provisions. With reference to this Agreement and each other Loan Document, unless otherwise specified herein or in such other Loan Document: (a) the definitions of terms herein shall apply equally to the singular and plural forms of the terms defined, (b) whenever the context may require, any pronoun shall include the corresponding masculine, feminine and neuter forms, (c) the words “include”, “includes” and “including” shall be deemed to be followed by the phrase “without limitation”, (d) the word “will” shall be construed to have the same meaning and effect as the word “shall”, (e) any reference herein to any Person shall be construed to include such Person’s successors and assigns, (f) the words “herein”, “hereof” and “hereunder”, and words of similar import, shall be construed to refer to this Agreement in its entirety and not to any particular provision hereof, (g) all references herein to Articles, Sections, Exhibits and Schedules shall be construed to refer to Articles and Sections of, and Exhibits and Schedules to, this Agreement, (h) the words “asset” and “property” shall be construed to have the same meaning and effect and to refer to any and all tangible and intangible assets and properties, including cash, securities, accounts and contract rights, (i) the term “documents” includes any and all instruments, documents, agreements, certificates, notices, reports, financial statements and other writings, however evidenced, whether in physical or electronic form and (j) in the computation of periods of time from a specified date to a later specified date, the word “from” means “from and including;” the words “to” and “until” each mean “to but excluding;” and the word “through” means “to and including”. SECTION 1.3 Accounting Terms. (a) All accounting terms not specifically or completely defined herein shall be construed in conformity with, and all financial data (including financial ratios and other financial calculations) required to be submitted pursuant to this Agreement shall be prepared in conformity with GAAP, applied on a consistent basis, as in effect from time to time and in a manner consistent with that used in preparing the audited financial statements required by Section 5.1(d) and Section 7.1(a), except as otherwise specifically prescribed herein. Notwithstanding the foregoing, for purposes of determining compliance with any covenant (including the computation of any financial covenant) contained herein, Indebtedness of the Consolidated Group shall be deemed to be carried at 100% of the outstanding principal amount thereof, and the effects of FASB ASC 825 and FASB ASC 470-20 on financial liabilities shall be disregarded.


 
29 175130428 (b) If at any time any change in GAAP would affect the computation of any financial ratio or requirement set forth in any Loan Document, and either the Borrower or the Required Lenders shall so request, the Administrative Agent, the Lenders and the Borrower shall negotiate in good faith to amend such ratio or requirement to preserve the original intent thereof in light of such change in GAAP (subject to the approval of the Required Lenders); provided that, until so amended, (i) such ratio or requirement shall continue to be computed in accordance with GAAP prior to such change therein and (ii) the Borrower shall provide to the Administrative Agent and the Lenders financial statements and other documents required under this Agreement or as reasonably requested hereunder setting forth a reconciliation between calculations of such ratio or requirement made before and after giving effect to such change in GAAP. SECTION 1.4 UCC Terms. Terms defined in the UCC in effect on the Closing Date and not otherwise defined herein shall, unless the context otherwise indicates, have the meanings provided by those definitions. Subject to the foregoing, the term “UCC” refers, as of any date of determination, to the UCC then in effect. SECTION 1.5 Rounding. Any financial ratios required to be maintained pursuant to this Agreement shall be calculated by dividing the appropriate component by the other component, carrying the result to one place more than the number of places by which such ratio or percentage is expressed herein and rounding the result up or down to the nearest number (with a rounding-up if there is no nearest number). SECTION 1.6 References to Agreement and Laws. Unless otherwise expressly provided herein, (a) any definition or reference to formation documents, governing documents, agreements (including the Loan Documents) and other contractual documents or instruments shall be deemed to include all subsequent amendments, restatements, extensions, supplements and other modifications thereto, but only to the extent that such amendments, restatements, extensions, supplements and other modifications are not prohibited by any Loan Document; and (b) any definition or reference to any Applicable Law, including Anti-Corruption Laws, Anti-Money Laundering Laws, the Bankruptcy Code, the Code, the Commodity Exchange Act, ERISA, the Exchange Act, the PATRIOT Act, the Securities Act, the UCC, the Investment Company Act, the Trading with the Enemy Act of the United States or any of the foreign assets control regulations of the United States Treasury Department, shall include all statutory and regulatory provisions consolidating, amending, replacing, supplementing or interpreting such Applicable Law. SECTION 1.7 Times of Day. Unless otherwise specified, all references herein to times of day shall be references to Eastern time (daylight or standard, as applicable). SECTION 1.8 Guarantees/Earn-Outs. Unless otherwise specified, (a) the amount of any Guarantee shall be the lesser of the amount of the obligations guaranteed and still outstanding and the maximum amount for which the guaranteeing Person may be liable pursuant to the terms of the instrument embodying such Guarantee and (b) the amount of any earn-out or similar obligation shall be the amount of such obligation as reflected on the balance sheet of such Person in accordance with GAAP. SECTION 1.9 Covenant Compliance Generally. For purposes of determining compliance under Sections 8.1, 8.2, 8.3, 8.5 and 8.6, any amount in a currency other than Dollars will be converted to Dollars in a manner consistent with that used in calculating consolidated net income in the most recent annual financial statements of the Borrower and its Subsidiaries delivered pursuant to Section 7.1(a) or Section 5.1(d), as applicable. Notwithstanding the foregoing, for purposes of determining compliance with Sections 8.1, 8.2 and 8.3, with respect to any amount of Indebtedness or Investment in a currency other than Dollars, no breach of any basket contained in such sections shall be deemed to have occurred solely as a result of changes in rates of exchange occurring after the time such Indebtedness or Investment is incurred; provided that for the avoidance of doubt, the foregoing provisions of this Section 1.9 shall


 
30 175130428 otherwise apply to such Sections, including with respect to determining whether any Indebtedness or Investment may be incurred at any time under such Sections. SECTION 1.10 Rates. The Administrative Agent does not warrant or accept any responsibility for, and shall not have any liability with respect to, (a) the continuation of, administration of, submission of, calculation of or any other matter related to the Term SOFR Reference Rate, Adjusted Term SOFR or Term SOFR, or any component definition thereof or rates referred to in the definition thereof, or with respect to any alternative, successor or replacement rate thereto (including any Benchmark Replacement), including whether the composition or characteristics of any such alternative, successor or replacement rate (including any Benchmark Replacement), as it may or may not be adjusted pursuant to Section 5.8(c), will be similar to, or produce the same value or economic equivalence of, or have the same volume or liquidity as, the Term SOFR Reference Rate, Adjusted Term SOFR, Term SOFR or any other Benchmark prior to its discontinuance or unavailability, or (b) the effect, implementation or composition of any Conforming Changes. The Administrative Agent and its Affiliates or other related entities may engage in transactions that affect the calculation of the Term SOFR Reference Rate, Adjusted Term SOFR, Term SOFR, any alternative, successor or replacement rate (including any Benchmark Replacement) or any relevant adjustments thereto and such transactions may be adverse to the Borrower. The Administrative Agent may select information sources or services in its reasonable discretion to ascertain the Term SOFR Reference Rate, Adjusted Term SOFR or Term SOFR, or any other Benchmark, any component definition thereof or rates referred to in the definition thereof, in each case pursuant to the terms of this Agreement, and shall have no liability to the Borrower, any Lender or any other person or entity for damages of any kind, including direct or indirect, special, punitive, incidental or consequential damages, costs, losses or expenses (whether in tort, contract or otherwise and whether at law or in equity), for any error or calculation of any such rate (or component thereof) provided by any such information source or service. SECTION 1.11 Divisions. For all purposes under the Loan Documents, in connection with any division or plan of division under Delaware law (or any comparable event under a different jurisdiction’s laws): (a) if any asset, right, obligation or liability of any Person becomes the asset, right, obligation or liability of a different Person, then it shall be deemed to have been transferred from the original Person to the subsequent Person, and (b) if any new Person comes into existence, such new Person shall be deemed to have been organized on the first date of its existence by the holders of its Equity Interests at such time. ARTICLE II REVOLVING CREDIT FACILITY SECTION 2.1 Revolving Credit Loans. Subject to the terms and conditions of this Agreement and the other Loan Documents, and in reliance upon the representations and warranties set forth in this Agreement and the other Loan Documents, each Lender severally agrees to make Revolving Credit Loans in Dollars to the Borrower from time to time from the Closing Date to, but not including, the Maturity Date as requested by the Borrower in accordance with the terms of Section 2.3; provided, that (a) the Revolving Credit Outstandings shall not exceed the Commitment and (b) the Revolving Credit Exposure of any Lender shall not at any time exceed such Lender’s Commitment. Each Revolving Credit Loan by a Lender shall be in a principal amount equal to such Lender’s Commitment Percentage of the aggregate principal amount of Revolving Credit Loans requested on such occasion. Subject to the terms and conditions hereof, the Borrower may borrow, repay and reborrow Revolving Credit Loans hereunder until the Maturity Date. SECTION 2.2 Swingline Loans. (a) Availability. Subject to the terms and conditions of this Agreement and the other Loan Documents and in reliance upon the representations and warranties set forth in this Agreement and the other


 
31 175130428 Loan Documents, the Swingline Lender may, in its sole discretion, make Swingline Loans in Dollars to the Borrower from time to time from the Closing Date to, but not including, the Maturity Date; provided, that (i) after giving effect to any amount requested, the Revolving Credit Outstandings shall not exceed the Commitment and (ii) the aggregate principal amount of all outstanding Swingline Loans (after giving effect to any amount requested) shall not exceed the Swingline Commitment. Notwithstanding any provision herein to the contrary, the Swingline Lender and the Borrower may agree that the Swingline Facility may be used to automatically draw and repay Swingline Loans (subject to the limitations set forth herein) pursuant to cash management arrangements between the Borrower and the Swingline Lender (the “Sweep Arrangement”). Principal and interest on Swingline Loans deemed requested pursuant to the Sweep Arrangement shall be paid pursuant to the terms and conditions agreed to between the Borrower and the Swingline Lender (without any deduction, setoff or counterclaim whatsoever). The borrowing and disbursement provisions set forth in Section 2.3 and any other provision hereof with respect to the timing or amount of payments on the Swingline Loans (other than Section 2.4(a)) shall not be applicable to Swingline Loans made and prepaid pursuant to the Sweep Arrangement. Unless sooner paid pursuant to the provisions hereof or the provisions of the Sweep Arrangement, the principal amount of the Swingline Loans shall be paid in full, together with accrued interest thereon, on the Maturity Date. (b) Refunding. (i) The Swingline Lender, at any time and from time to time in its sole and absolute discretion may, on behalf of the Borrower (which hereby irrevocably directs the Swingline Lender to act on its behalf), by written notice given no later than 11:00 a.m. on any Business Day request each Lender to make, and each Lender hereby agrees to make, a Revolving Credit Loan as a Base Rate Loan in an amount equal to such Lender’s Commitment Percentage of the aggregate amount of the Swingline Loans outstanding on the date of such notice, to repay the Swingline Lender. Each Lender shall make the amount of such Revolving Credit Loan available to the Administrative Agent in immediately available funds at the Administrative Agent’s Office not later than 1:00 p.m. on the day specified in such notice. The proceeds of such Revolving Credit Loans shall be immediately made available by the Administrative Agent to the Swingline Lender for application by the Swingline Lender to the repayment of the Swingline Loans. No Lender’s obligation to fund its respective Commitment Percentage of a Swingline Loan shall be affected by any other Lender’s failure to fund its Commitment Percentage of a Swingline Loan, nor shall any Lender’s Commitment Percentage be increased as a result of any such failure of any other Lender to fund its Commitment Percentage of a Swingline Loan. (ii) The Borrower shall pay to the Swingline Lender on demand, and in any event on the Maturity Date, in immediately available funds the amount of such Swingline Loans to the extent amounts received from the Lenders are not sufficient to repay in full the outstanding Swingline Loans requested or required to be refunded. In addition, the Borrower irrevocably authorizes the Administrative Agent to charge any account maintained by the Borrower with the Swingline Lender (up to the amount available therein) in order to immediately pay the Swingline Lender the amount of such Swingline Loans to the extent amounts received from the Lenders are not sufficient to repay in full the outstanding Swingline Loans requested or required to be refunded. If any portion of any such amount paid to the Swingline Lender shall be recovered by or on behalf of the Borrower from the Swingline Lender in bankruptcy or otherwise, the loss of the amount so recovered shall be ratably shared among all the Lenders in accordance with their respective Commitment Percentages. (iii) If for any reason any Swingline Loan cannot be refinanced with a Revolving Credit Loan pursuant to Section 2.2(b)(i), each Lender shall, on the date such Revolving Credit Loan was to have been made pursuant to the notice referred to in Section 2.2(b)(i), purchase for cash an undivided participating interest in the then outstanding Swingline Loans by paying to the Swingline


 
32 175130428 Lender an amount (the “Swingline Participation Amount”) equal to such Lender’s Commitment Percentage of the aggregate principal amount of Swingline Loans then outstanding. Each Lender will immediately transfer to the Swingline Lender, in immediately available funds, the amount of its Swingline Participation Amount. Whenever, at any time after the Swingline Lender has received from any Lender such Lender’s Swingline Participation Amount, the Swingline Lender receives any payment on account of the Swingline Loans, the Swingline Lender will distribute to such Lender its Swingline Participation Amount (appropriately adjusted, in the case of interest payments, to reflect the period of time during which such Lender’s participating interest was outstanding and funded and, in the case of principal and interest payments, to reflect such Lender’s pro rata portion of such payment if such payment is not sufficient to pay the principal of and interest on all Swingline Loans then due); provided that in the event that such payment received by the Swingline Lender is required to be returned, such Lender will return to the Swingline Lender any portion thereof previously distributed to it by the Swingline Lender. (iv) Each Lender’s obligation to make the Revolving Credit Loans referred to in Section 2.2(b)(i) and to purchase participating interests pursuant to Section 2.2(b)(iii) shall be absolute and unconditional and shall not be affected by any circumstance, including (A) any setoff, counterclaim, recoupment, defense or other right that such Lender or the Borrower may have against the Swingline Lender, the Borrower or any other Person for any reason whatsoever, (B) the occurrence or continuance of a Default or an Event of Default or the failure to satisfy any of the other conditions specified in Article V, (C) any adverse change in the condition (financial or otherwise) of the Borrower, (D) any breach of this Agreement or any other Loan Document by the Borrower or any other Lender or (E) any other circumstance, happening or event whatsoever, whether or not similar to any of the foregoing. (v) If any Lender fails to make available to the Administrative Agent, for the account of the Swingline Lender, any amount required to be paid by such Lender pursuant to the foregoing provisions of this Section 2.2(b) by the time specified in Section 2.2(b)(i) or 2.2(b)(iii), as applicable, the Swingline Lender shall be entitled to recover from such Lender (acting through the Administrative Agent), on demand, such amount with interest thereon for the period from the date such payment is required to the date on which such payment is immediately available to the Swingline Lender at a rate per annum equal to the Overnight Rate, plus any administrative, processing or similar fees customarily charged by the Swingline Lender in connection with the foregoing. If such Lender pays such amount (with interest and fees as aforesaid), the amount so paid shall constitute such Lender’s Revolving Credit Loan or Swingline Participation Amount, as the case may be. A certificate of the Swingline Lender submitted to any Lender (through the Administrative Agent) with respect to any amounts owing under this clause (v) shall be conclusive absent manifest error. (c) Defaulting Lenders. Notwithstanding anything to the contrary contained in this Agreement, this Section 2.2 shall be subject to the terms and conditions of Section 4.14 and Section 4.15. SECTION 2.3 Procedure for Advances of Revolving Credit Loans and Swingline Loans. (a) Requests for Borrowing. The Borrower shall give the Administrative Agent irrevocable prior written notice substantially in the form of Exhibit B (a “Notice of Borrowing”) not later than 12:00 p.m. (i) on the same Business Day as each Base Rate Loan and each Swingline Loan and (ii) at least three (3) U.S. Government Securities Business Days before each SOFR Loan, of its intention to borrow, specifying (A) the date of such borrowing, which shall be a Business Day, (B) the amount of such borrowing, which shall be, (x) with respect to Base Rate Loans (other than Swingline Loans) in an aggregate principal amount of $500,000 or a whole multiple of $100,000 in excess thereof, (y) with respect to SOFR


 
33 175130428 Loans in an aggregate principal amount of $500,000 or a whole multiple of $100,000 in excess thereof and (z) with respect to Swingline Loans in an aggregate principal amount of $100,000 or a whole multiple of $100,000 in excess thereof (or, in each case, the remaining amount of the Commitment or the Swingline Commitment, as applicable), (C) whether such Loan is to be a Revolving Credit Loan or Swingline Loan, (D) in the case of a Revolving Credit Loan whether such Revolving Credit Loan is to be a SOFR Loan or a Base Rate Loan, and (E) in the case of a SOFR Loan, the duration of the Interest Period applicable thereto. If the Borrower fails to specify a type of Loan in a Notice of Borrowing, then the applicable Loans shall be made as Base Rate Loans. If the Borrower requests a borrowing of a SOFR Loan in any such Notice of Borrowing, but fails to specify an Interest Period, it will be deemed to have specified an Interest Period of one month. A Notice of Borrowing received after 12:00 p.m. shall be deemed received on the next Business Day or U.S. Government Securities Business Day, as applicable. The Administrative Agent shall promptly notify the Lenders of each Notice of Borrowing. (b) Disbursement of Revolving Credit and Swingline Loans. Not later than 2:00 p.m. on the proposed borrowing date, (i) each Lender will make available to the Administrative Agent, for the account of the Borrower, at the Administrative Agent’s Office in funds immediately available to the Administrative Agent, such Lender’s Commitment Percentage of the Revolving Credit Loans to be made on such borrowing date and (ii) the Swingline Lender will make available to the Administrative Agent, for the account of the Borrower, at the Administrative Agent’s Office in funds immediately available to the Administrative Agent, the Swingline Loans to be made on such borrowing date. The Borrower hereby irrevocably authorizes the Administrative Agent to disburse the proceeds of each borrowing requested pursuant to this Section in immediately available funds by crediting or wiring such proceeds to the deposit account of the Borrower identified in the most recent notice substantially in the form attached as Exhibit C (a “Notice of Account Designation”) delivered by the Borrower to the Administrative Agent or as may be otherwise agreed upon by the Borrower and the Administrative Agent from time to time. Subject to Section 4.7 hereof, the Administrative Agent shall not be obligated to disburse the portion of the proceeds of any Revolving Credit Loan requested pursuant to this Section to the extent that any Lender has not made available to the Administrative Agent its Commitment Percentage of such Loan. Revolving Credit Loans to be made for the purpose of refunding Swingline Loans shall be made by the Lenders as provided in Section 2.2(b). SECTION 2.4 Repayment and Prepayment of Revolving Credit and Swingline Loans. (a) Repayment on Termination Date. The Borrower hereby agrees to repay the outstanding principal amount of (i) all Revolving Credit Loans in full on the Maturity Date, and (ii) all Swingline Loans in accordance with Section 2.2(b) (but, in any event, no later than the Maturity Date), together, in each case, with all accrued but unpaid interest thereon. (b) Mandatory Prepayments. If at any time the Revolving Credit Outstandings exceed the Commitment, the Borrower agrees to repay immediately upon notice from the Administrative Agent, by payment to the Administrative Agent for the account of the Lenders, Extensions of Credit in an amount equal to such excess with each such repayment applied first, to the principal amount of outstanding Swingline Loans, second to the principal amount of outstanding Revolving Credit Loans and third, with respect to any Letters of Credit then outstanding, as a payment of Cash Collateral into a Cash Collateral account opened by the Administrative Agent, for the benefit of the Lenders, in an amount equal to such excess (such Cash Collateral to be applied in accordance with Section 9.2(b)). (c) Optional Prepayments. The Borrower may at any time and from time to time prepay Revolving Credit Loans and Swingline Loans, in whole or in part, without premium or penalty, with irrevocable prior written notice to the Administrative Agent substantially in the form attached as Exhibit D (a “Notice of Prepayment”) given not later than 11:00 a.m. (i) on the same Business Day as prepayment of


 
34 175130428 each Base Rate Loan and each Swingline Loan and (ii) at least three (3) U.S. Government Securities Business Days before prepayment of each SOFR Loan, specifying the date and amount of prepayment and whether the prepayment is of SOFR Loans, Base Rate Loans, Swingline Loans or a combination thereof, and, if of a combination thereof, the amount allocable to each. Upon receipt of such notice, the Administrative Agent shall promptly notify each Lender. If any such notice is given, the amount specified in such notice shall be due and payable on the date set forth in such notice. Partial prepayments shall be in an aggregate amount of $500,000 or a whole multiple of $100,000 in excess thereof with respect to Base Rate Loans (other than Swingline Loans), $500,000 or a whole multiple of $100,000 in excess thereof with respect to SOFR Loans and $100,000 or a whole multiple of $100,000 in excess thereof with respect to Swingline Loans. A Notice of Prepayment received after 11:00 a.m. shall be deemed received on the next Business Day or U.S. Government Securities Business Day, as applicable. Each such repayment shall be accompanied by any amount required to be paid pursuant to Section 4.9 hereof. (d) Limitation on Prepayment of SOFR Loans. The Borrower may not prepay any SOFR Loan on any day other than on the last day of the Interest Period applicable thereto unless such prepayment is accompanied by any amount required to be paid pursuant to Section 4.9 hereof. (e) Hedge Agreements. No repayment or prepayment of the Loans pursuant to this Section shall affect any of the Borrower’s obligations under any Hedge Agreement entered into with respect to the Loans. SECTION 2.5 Permanent Reduction of the Commitment. (a) Voluntary Reduction. The Borrower shall have the right at any time and from time to time, upon at least five (5) Business Days prior irrevocable written notice to the Administrative Agent, to permanently reduce, without premium or penalty, (i) the entire Commitment at any time or (ii) portions of the Commitment, from time to time, in an aggregate principal amount not less than $1,000,000 or any whole multiple of $1,000,000 in excess thereof. Any reduction of the Commitment shall be applied to the Commitment of each Lender according to its Commitment Percentage. All Commitment Fees accrued until the effective date of any termination of the Commitment shall be paid on the effective date of such termination. (b) Corresponding Payment. Each permanent reduction permitted pursuant to this Section shall be accompanied by a payment of principal sufficient to reduce the aggregate outstanding Revolving Credit Loans, Swingline Loans and L/C Obligations, as applicable, after such reduction to the Commitment as so reduced, and if the aggregate amount of all outstanding Letters of Credit exceeds the Commitment as so reduced, the Borrower shall be required to deposit Cash Collateral in a Cash Collateral account opened by the Administrative Agent in an amount equal to such excess. Such Cash Collateral shall be applied in accordance with Section 9.2(b). Any reduction of the Commitment to zero shall be accompanied by payment of all outstanding Revolving Credit Loans and Swingline Loans (and furnishing of Cash Collateral satisfactory to the Administrative Agent for all L/C Obligations or other arrangements satisfactory to the respective Issuing Lenders) and shall result in the termination of the Commitment and the Swingline Commitment and the Revolving Credit Facility. If the reduction of the Commitment requires the repayment of any SOFR Loan, such repayment shall be accompanied by any amount required to be paid pursuant to Section 4.9 hereof. SECTION 2.6 Termination of Revolving Credit Facility. The Revolving Credit Facility and the Commitments shall terminate on the Maturity Date.


 
35 175130428 ARTICLE III LETTER OF CREDIT FACILITY SECTION 3.1 L/C Facility. (a) Availability. Subject to the terms and conditions hereof, each Issuing Lender, in reliance on the agreements of the Lenders set forth in Section 3.4(a), agrees to issue standby Letters of Credit in an aggregate amount not to exceed its L/C Commitment for the account of the Borrower or, subject to Section 3.11, any Subsidiary (other than any Excluded Subsidiary or GSWC or any Subsidiary thereof). Letters of Credit may be issued on any Business Day from the Closing Date to, but not including the fifteenth (15th) Business Day prior to the Maturity Date in such form as may be approved from time to time by the applicable Issuing Lender; provided, that no Issuing Lender shall issue any Letter of Credit if, after giving effect to such issuance, (i) the aggregate amount of the outstanding Letters of Credit issued by such Issuing Lender would exceed its L/C Commitment, (ii) the L/C Obligations would exceed the L/C Sublimit or (iii) the Revolving Credit Outstandings would exceed the Commitment. Letters of Credit issued hereunder shall constitute utilization of the Commitments. (b) Terms of Letters of Credit. Each Letter of Credit shall (i) be denominated in Dollars in a minimum amount of $100,000 (or such lesser amount as agreed to by the applicable Issuing Lender and the Administrative Agent), (ii) expire on a date no more than twelve (12) months after the date of issuance or last renewal or extension of such Letter of Credit (subject to automatic renewal or extension for additional one (1) year periods (but not to a date later than the date set forth below) pursuant to the terms of the Letter of Credit Documents or other documentation acceptable to the applicable Issuing Lender), which date shall be no later than the fifth (5th) Business Day prior to the Maturity Date, and (iii) unless otherwise expressly agreed by the applicable Issuing Lender and the Borrower when a Letter of Credit is issued by it (including any such agreement applicable to an Existing Letter of Credit), be subject to the ISP as set forth in the Letter of Credit Documents or as determined by the applicable Issuing Lender and, to the extent not inconsistent therewith, the laws of the State of New York. No Issuing Lender shall at any time be obligated to issue any Letter of Credit hereunder if (A) any order, judgment or decree of any Governmental Authority or arbitrator shall by its terms purport to enjoin or restrain such Issuing Lender from issuing such Letter of Credit, or request that such Issuing Lender refrain from, or any Applicable Law applicable to such Issuing Lender or any request or directive (whether or not having the force of law) from any Governmental Authority with jurisdiction over such Issuing Lender shall prohibit, the issuance of letters of credit generally or such Letter of Credit in particular or shall impose upon such Issuing Lender with respect to letters of credit generally or such Letter of Credit in particular any restriction or reserve or capital requirement (for which such Issuing Lender is not otherwise compensated) not in effect on the Closing Date, or any unreimbursed loss, cost or expense that was not applicable, in effect or known to such Issuing Lender as of the Closing Date and that such Issuing Lender in good faith deems material to it, (B) the conditions set forth in Section 5.2 are not satisfied, (C) the issuance of such Letter of Credit would violate one or more policies of such Issuing Lender applicable to letters of credit generally, (D) the proceeds of which would be made available to any Person (x) to fund any activity or business of or with any Sanctioned Person, or in any Sanctioned Country or (y) in any manner that would result in a violation of any Sanctions by any party to this Agreement or (E) any Lender is at that time a Defaulting Lender, unless such Issuing Lender has entered into arrangements, including the delivery of Cash Collateral, satisfactory to such Issuing Lender (in its sole discretion) with the Borrower or such Lender to eliminate such Issuing Lender’s actual or potential Fronting Exposure (after giving effect to Section 4.15(a)(iv)) with respect to the Defaulting Lender arising from either the Letter of Credit then proposed to be issued or that Letter of Credit and all other L/C Obligations as to which such Issuing Lender has actual or potential Fronting Exposure, as it may elect in its sole discretion. An Issuing Lender shall be under no obligation to amend any Letter of Credit if (x) such Issuing Lender would have no obligation at such time to issue the Letter of Credit in its amended form under the terms hereof or (y)


 
36 175130428 the beneficiary of the Letter of Credit does not accept the proposed amendment to the Letter of Credit. References herein to “issue” and derivations thereof with respect to Letters of Credit shall also include extensions or modifications of any outstanding Letters of Credit, unless the context otherwise requires. As of the Closing Date, each of the Existing Letters of Credit shall constitute, for all purposes of this Agreement and the other Loan Documents, a Letter of Credit issued and outstanding hereunder. (c) Defaulting Lenders. Notwithstanding anything to the contrary contained in this Agreement, Article III shall be subject to the terms and conditions of Section 4.14 and Section 4.15. SECTION 3.2 Procedure for Issuance and Disbursement of Letters of Credit. (a) The Borrower may from time to time request that any Issuing Lender issue, amend, renew or extend a Letter of Credit by delivering to such Issuing Lender at its applicable office (with a copy to the Administrative Agent at the Administrative Agent’s Office) a Letter of Credit Application therefor, completed to the satisfaction of such Issuing Lender, and such other certificates, documents and other Letter of Credit Documents and information as such Issuing Lender or the Administrative Agent may request, not later than 11:00 a.m. at least two (2) Business Days (or such later date and time as the Administrative Agent and such Issuing Lender may agree in their sole discretion) prior to the proposed date of issuance, amendment, renewal or extension, as the case may be. Such notice shall specify (i) the requested date of issuance, amendment, renewal or extension (which shall be a Business Day), (ii) the date on which such Letter of Credit is to expire (which shall comply with Section 3.1(b)), (iii) the amount of such Letter of Credit, (iv) the name and address of the beneficiary thereof, (v) the purpose and nature of such Letter of Credit and (vi) such other information as shall be necessary to issue, amend, renew or extend such Letter of Credit. Upon receipt of any Letter of Credit Application, the applicable Issuing Lender shall, process such Letter of Credit Application and the certificates, documents and other Letter of Credit Documents and information delivered to it in connection therewith in accordance with its customary procedures and shall, subject to Section 3.1 and Article V, promptly issue, amend, renew or extend the Letter of Credit requested thereby (subject to the timing requirements set forth in this Section 3.2) by issuing the original of such Letter of Credit to the beneficiary thereof or as otherwise may be agreed by such Issuing Lender and the Borrower. Additionally, the Borrower shall furnish to the applicable Issuing Lender and the Administrative Agent such other documents and information pertaining to such requested Letter of Credit issuance or amendment, renewal or extension, including any Letter of Credit Documents, as the applicable Issuing Lender or the Administrative Agent may reasonably require. The applicable Issuing Lender shall promptly furnish to the Borrower and the Administrative Agent a copy of such Letter of Credit and the related Letter of Credit Documents and the Administrative Agent shall promptly notify each Lender of the issuance and upon request by any Lender, furnish to such Lender a copy of such Letter of Credit and the amount of such Lender’s participation therein. (b) The Issuing Lender for any Letter of Credit shall, within the time allowed by Applicable Laws or the specific terms of the Letter of Credit following its receipt thereof, examine all documents purporting to represent a demand for payment under such Letter of Credit. Such Issuing Lender shall promptly after such examination notify the Administrative Agent and the Borrower in writing of such demand for payment if such Issuing Lender has or will honor such demand for payment thereunder; provided that any failure to give or delay in giving such notice shall not relieve the Borrower of its obligation to reimburse such Issuing Lender and the L/C Participants with respect to such payment. SECTION 3.3 Commissions and Other Charges. (a) Letter of Credit Commissions. Subject to Section 5.15(a)(iii)(B), the Borrower shall pay to the Administrative Agent, for the account of the applicable Issuing Lender and the L/C Participants, a letter of credit commission with respect to each Letter of Credit in the amount equal to the daily amount


 
37 175130428 available to be drawn under such standby Letters of Credit times the Applicable Margin with respect to Revolving Credit Loans that are SOFR Loans (determined, in each case, on a per annum basis). Such commission shall be payable quarterly in arrears on the last Business Day of each calendar quarter (commencing with the first such date to occur after the issuance of such Letter of Credit), on the Maturity Date and thereafter on demand of the Administrative Agent. The Administrative Agent shall, promptly following its receipt thereof, distribute to the applicable Issuing Lender and the L/C Participants all commissions received pursuant to this Section 3.3 in accordance with their respective Commitment Percentages. (b) Issuance Fee. In addition to the foregoing commission, the Borrower shall pay directly to the applicable Issuing Lender, for its own account, an issuance fee with respect to each Letter of Credit issued by such Issuing Lender in such amount as set forth in the Fee Letter (in the case of the Initial Issuing Lender or as otherwise agreed upon between such Issuing Lender and the Borrower. Such issuance fee shall be payable quarterly in arrears on the last Business Day of each calendar quarter commencing with the first such date to occur after the issuance of such Letter of Credit, on the Maturity Date and thereafter on demand of the applicable Issuing Lender. For the avoidance of doubt, such issuance fee shall be applicable to and paid upon each of the Existing Letters of Credit. (c) Other Fees, Costs, Charges and Expenses. In addition to the foregoing fees and commissions, the Borrower shall pay or reimburse each Issuing Lender for such normal and customary fees, costs, charges and expenses as are incurred or charged by such Issuing Lender in issuing, effecting payment under, amending or otherwise administering any Letter of Credit issued by it. Such customary fees, costs, charges and expenses are due and payable on demand and are nonrefundable. SECTION 3.4 L/C Participations. (a) Each Issuing Lender irrevocably agrees to grant and hereby grants to each L/C Participant, and, to induce each Issuing Lender to issue Letters of Credit hereunder, each L/C Participant irrevocably agrees to accept and purchase and hereby accepts and purchases from each Issuing Lender, on the terms and conditions hereinafter stated, for such L/C Participant’s own account and risk an undivided interest equal to such L/C Participant’s Commitment Percentage in each Issuing Lender’s obligations and rights under and in respect of each Letter of Credit issued by it hereunder and the amount of each draft paid by such Issuing Lender thereunder. Each L/C Participant unconditionally and irrevocably agrees with each Issuing Lender that, if a draft is paid under any Letter of Credit issued by such Issuing Lender for which such Issuing Lender is not reimbursed in full by the Borrower through a Revolving Credit Loan or otherwise in accordance with the terms of this Agreement, such L/C Participant shall pay to such Issuing Lender upon demand at such Issuing Lender’s address for notices specified herein an amount equal to such L/C Participant’s Commitment Percentage of the amount of such draft, or any part thereof, which is not so reimbursed. (b) Upon becoming aware of any amount required to be paid by any L/C Participant to any Issuing Lender pursuant to Section 3.4(a) in respect of any unreimbursed portion of any payment made by such Issuing Lender under any Letter of Credit, issued by it, such Issuing Lender shall notify the Administrative Agent of such unreimbursed amount and the Administrative Agent shall notify each L/C Participant (with a copy to the applicable Issuing Lender) of the amount and due date of such required payment and such L/C Participant shall pay to the Administrative Agent (which, in turn shall pay such Issuing Lender) the amount specified on the applicable due date. If any such amount is paid to such Issuing Lender after the date such payment is due, such L/C Participant shall pay to the Administrative Agent, which in turn shall pay such Issuing Lender on demand, in addition to such amount, the product of (i) such amount, times (ii) the Overnight Rate as determined by the Administrative Agent during the period from and including the date such payment is due to the date on which such payment is immediately available to


 
38 175130428 such Issuing Lender, times (iii) a fraction the numerator of which is the number of days that elapse during such period and the denominator of which is 360, plus any administrative, processing or similar fees customarily charged by such Issuing Lender in connection with the foregoing. A certificate of such Issuing Lender with respect to any amounts owing under this Section shall be conclusive in the absence of manifest error. With respect to payment to such Issuing Lender of the unreimbursed amounts described in this Section, if the L/C Participants receive notice that any such payment is due (A) prior to 1:00 p.m. on any Business Day, such payment shall be due that Business Day, and (B) after 1:00 p.m. on any Business Day, such payment shall be due on the following Business Day. (c) Whenever, at any time after any Issuing Lender has made payment under any Letter of Credit issued by it and has received from any L/C Participant its Commitment Percentage of such payment in accordance with this Section, such Issuing Lender receives any payment related to such Letter of Credit (whether directly from the Administrative Agent or otherwise), or any payment of interest on account thereof, such Issuing Lender will distribute to such L/C Participant its pro rata share thereof; provided, that in the event that any such payment received by such Issuing Lender shall be required to be returned by such Issuing Lender, such L/C Participant shall return to the Administrative Agent, which shall in turn pay to such Issuing Lender, the portion thereof previously distributed by such Issuing Lender to it. (d) Each L/C Participant’s obligation to make the Revolving Credit Loans and to purchase participating interests pursuant to this Section 3.4 or Section 3.5, as applicable, shall be absolute and unconditional and shall not be affected by any circumstance, including (i) any setoff, counterclaim, recoupment, defense or other right that such Lender or the Borrower may have against the Issuing Lender, the Borrower or any other Person for any reason whatsoever, (ii) the occurrence or continuance of a Default or an Event of Default or the failure to satisfy any of the other conditions specified in Article V, (iii) any adverse change in the condition (financial or otherwise) of the Borrower, (iv) any breach of this Agreement or any other Loan Document by the Borrower, or any other Lender or (v) any other circumstance, happening or event whatsoever, whether or not similar to any of the foregoing. SECTION 3.5 Reimbursement. In the event of any drawing under any Letter of Credit, the Borrower agrees to reimburse (either with the proceeds of a Revolving Credit Loan as provided for in this Section or with funds from other sources), in same day funds, the applicable Issuing Lender by paying to the Administrative Agent the amount of such drawing not later than 12:00 noon on (i) the Business Day that the Borrower receives notice of such drawing, if such notice is received by the Borrower prior to 10:00 a.m., or (ii) the Business Day immediately following the day that the Borrower receives such notice, if such notice is not received prior to such time, for the amount of (x) such draft so paid and (y) any amounts referred to in Section 3.3(c) incurred by such Issuing Lender in connection with such payment. Unless the Borrower shall immediately notify the Administrative Agent and such Issuing Lender that the Borrower intends to reimburse such Issuing Lender for such drawing from other sources or funds, the Borrower shall be deemed to have timely given a Notice of Borrowing to the Administrative Agent requesting that the Lenders make a Revolving Credit Loan as a Base Rate Loan on the applicable repayment date in the amount (without regard to the minimum and multiples specified in Section 2.3(a)) of (i) such draft so paid and (ii) any amounts referred to in Section 3.3(c) incurred by such Issuing Lender in connection with such payment, and the Lenders shall make a Revolving Credit Loan as a Base Rate Loan in such amount, the proceeds of which shall be applied to reimburse such Issuing Lender for the amount of the related drawing and such fees and expenses. Each Lender acknowledges and agrees that its obligation to fund a Revolving Credit Loan in accordance with this Section to reimburse such Issuing Lender for any draft paid under a Letter of Credit issued by it is absolute and unconditional and shall not be affected by any circumstance whatsoever, including non-satisfaction of the conditions set forth in Section 2.3(a) or Article V. If the Borrower has elected to pay the amount of such drawing with funds from other sources and shall fail to reimburse such Issuing Lender as provided above, or if the amount of such drawing is not fully refunded through a Base Rate Loan as provided above, the unreimbursed amount of such drawing shall bear interest


 
39 175130428 at the rate which would be payable on any outstanding Base Rate Loans which were then overdue from the date such amounts become payable (whether at stated maturity, by acceleration or otherwise) until paid in full. SECTION 3.6 Obligations Absolute. (a) The Borrower’s obligations under this Article III (including the Reimbursement Obligation) shall be absolute, unconditional and irrevocable under any and all circumstances whatsoever, and shall be performed strictly in accordance with the terms of this Agreement, and irrespective of: (i) any lack of validity or enforceability of any Letter of Credit, any Letter of Credit Document or this Agreement, or any term or provision therein or herein; (ii) the existence of any claim, counterclaim, setoff, defense or other right that the Borrower may have or have had against the applicable Issuing Lender or any beneficiary of a Letter of Credit (or any Person for whom any such beneficiary or any such transferee may be acting), the applicable Issuing Lender or any other Person, whether in connection with this Agreement, the transactions contemplated hereby or by such Letter of Credit or any agreement or instrument relating thereto, or any unrelated transaction; (iii) the validity or genuineness of documents or of any endorsements thereon, even though such documents shall in fact prove to be invalid, fraudulent, forged or insufficient in any respect or any statement in such draft or other document being untrue or inaccurate in any respect; or any loss or delay in the transmission or otherwise of any document required in order to make a drawing under such Letter of Credit; (iv) any payment by the Issuing Lender under a Letter of Credit against presentation of a draft or other document that does not comply with the terms of such Letter of Credit; (v) any draft or other document presented under a Letter of Credit proving to be forged, fraudulent or invalid in any respect or any statement in such draft or other document being untrue or inaccurate in any respect; or (vi) any other event or circumstance whatsoever, whether or not similar to any of the foregoing, that might, but for the provisions of this Section, constitute a legal or equitable discharge of, or provide a right of setoff against, the Borrower’s obligations hereunder. (b) The Borrower also agrees that the applicable Issuing Lender and the L/C Participants shall not be responsible for, and the Borrower’s Reimbursement Obligation under Section 3.5 shall not be affected by, among other things, the validity or genuineness of documents or of any endorsements thereon, even though such documents shall in fact prove to be invalid, fraudulent or forged, or any dispute between or among the Borrower and any beneficiary of any Letter of Credit or any other party to which such Letter of Credit may be transferred or any claims whatsoever of the Borrower against any beneficiary of such Letter of Credit or any such transferee. The applicable Issuing Lender, the L/C Participants and their respective Related Parties shall not have any liability or responsibility by reason of or in connection with the issuance or transfer of any Letter of Credit, or any payment or failure to make any payment thereunder (irrespective of any of the circumstances referred to in the preceding sentence), or any error, omission, interruption, loss or delay in transmission or delivery of any draft, notice or other communication under or relating to any Letter of Credit (including any document required to make a drawing thereunder), any error in interpretation of technical terms or any consequence arising from causes beyond the control of the applicable Issuing Lender; provided that the foregoing shall not be construed to excuse an Issuing Lender


 
40 175130428 from liability to the Borrower to the extent of any direct damages (as opposed to special, indirect, consequential or punitive damages, claims in respect of which are hereby waived by the Borrower to the extent permitted by Applicable Law) suffered by the Borrower that are caused by such Issuing Lender’s failure to exercise care when determining whether drafts and other documents presented under a Letter of Credit comply with the terms thereof. The parties hereto expressly agree that, in the absence of gross negligence or willful misconduct on the part of the applicable Issuing Lender (as finally determined by a court of competent jurisdiction), such Issuing Lender shall be deemed to have exercised care in each such determination. (c) In furtherance of the foregoing and without limiting the generality thereof, the parties agree that (i) with respect to documents presented which appear on their face to be in substantial compliance with the terms of a Letter of Credit, the applicable Issuing Lender may, in its sole discretion, either accept and make payment upon such documents without responsibility for further investigation, regardless of any notice or information to the contrary, or refuse to accept and make payment upon such documents if such documents are not in strict compliance with the terms of such Letter of Credit, (ii) an Issuing Lender may act upon any instruction or request relative to a Letter of Credit or requested Letter of Credit that such Issuing Lender in good faith believes to have been given by a Person authorized to give such instruction or request and (iii) an Issuing Lender may replace a purportedly lost, stolen, or destroyed original Letter of Credit or missing amendment thereto with a certified true copy marked as such or waive a requirement for its presentation. The responsibility of any Issuing Lender to the Borrower in connection with any draft presented for payment under any Letter of Credit issued by it shall, in addition to any payment obligation expressly provided for in such Letter of Credit, be limited to determining that the documents (including each draft) delivered under such Letter of Credit in connection with such presentment substantially conforms to the requirements under such Letter of Credit. (d) Notwithstanding anything to the contrary herein, no Issuing Lender shall be responsible to the Borrower for, and such Issuing Lender’s rights and remedies against the Borrower shall not be impaired by, any action or inaction of such Issuing Lender required or permitted under any law, order, or practice that is required or permitted to be applied to any Letter of Credit or this Agreement, including the Applicable Laws or any order of a jurisdiction in which such Issuing Lender or the beneficiary is located, the practice stated in the ISP or in the decisions, opinions, practice statements or official commentary of the International Chamber of Commerce Banking Commission, the Banker’s Association for Finance and Trade (BAFT) or the Institute of International Banking Law & Practice, whether or not any Letter of Credit chooses such laws or practice rules. SECTION 3.7 Effect of Letter of Credit Documents. To the extent that any provision of any Letter of Credit Document related to any Letter of Credit is inconsistent with the provisions of this Article III, the provisions of this Article III shall apply. SECTION 3.8 Resignation of Issuing Lenders. (a) Any Issuing Lender may resign at any time by giving 30 days’ prior notice to the Administrative Agent, the Lenders and the Borrower. After the resignation of an Issuing Lender hereunder, the retiring Issuing Lender shall remain a party hereto and shall continue to have all the rights and obligations of an Issuing Lender under this Agreement and the other Loan Documents with respect to Letters of Credit issued by it prior to such resignation, but shall not be required to issue additional Letters of Credit or to extend, renew or increase the outstanding Letter of Credit. (b) Any resigning Issuing Lender shall retain all the rights, powers, privileges and duties of an Issuing Lender hereunder with respect to all Letters of Credit issued by it that are outstanding as of the effective date of its resignation as an Issuing Lender and all L/C Obligations with respect thereto (including


 
41 175130428 the right to require the Lenders to take such actions as are required under Section 3.4). Without limiting the foregoing, upon the resignation of a Lender as an Issuing Lender hereunder, the Borrower may, or at the request of such resigned Issuing Lender the Borrower shall, use commercially reasonable efforts to, arrange for one or more of the other Issuing Lenders to issue Letters of Credit hereunder in substitution for the Letters of Credit, if any, issued by such resigned Issuing Lender and outstanding at the time of such resignation, or make other arrangements satisfactory to the resigned Issuing Lender to effectively cause another Issuing Lender to assume the obligations of the resigned Issuing Lender with respect to any such Letters of Credit. SECTION 3.9 Reporting of Letter of Credit Information and L/C Commitment. At any time that there is an Issuing Lender that is not also the financial institution acting as Administrative Agent, then (a) no later than the fifth Business Day following the last day of each calendar month, (b) on each date that a Letter of Credit is amended, terminated or otherwise expires, (c) on each date that a Letter of Credit is issued or the expiry date of a Letter of Credit is extended, and (d) upon the request of the Administrative Agent, each Issuing Lender (or, in the case of clauses (b), (c) or (d) of this Section, the applicable Issuing Lender) shall deliver to the Administrative Agent a report setting forth in form and detail reasonably satisfactory to the Administrative Agent information (including any reimbursement, Cash Collateral, or termination in respect of Letters of Credit issued by such Issuing Lender) with respect to each Letter of Credit issued by such Issuing Lender that is outstanding hereunder. In addition, each Issuing Lender shall provide notice to the Administrative Agent of its L/C Commitment, or any change thereto, promptly upon it becoming an Issuing Lender or making any change to its L/C Commitment. No failure on the part of any Issuing Lender to provide such information pursuant to this Section 3.9 shall limit the obligations of the Borrower or any Lender hereunder with respect to its reimbursement and participation obligations hereunder. SECTION 3.10 Letter of Credit Amounts. Unless otherwise specified, all references herein to the amount of a Letter of Credit at any time shall be deemed to mean the maximum face amount of such Letter of Credit after giving effect to all increases thereof contemplated by such Letter of Credit or the Letter of Credit Documents therefor (at the time specified therefor in such applicable Letter of Credit or Letter of Credit Documents and as such amount may be reduced by (a) any permanent reduction of such Letter of Credit or (b) any amount which is drawn, reimbursed and no longer available under such Letter of Credit). SECTION 3.11 Letters of Credit Issued for Subsidiaries. Notwithstanding that a Letter of Credit issued or outstanding hereunder is in support of any obligations of, or is for the account of, a Subsidiary (other than any Excluded Subsidiary or GSWC or any of its Subsidiaries), or states that a Subsidiary (other than any Excluded Subsidiary or GSWC or any of its Subsidiaries) is the “account party,” “applicant,” “customer,” “instructing party,” or the like of or for such Letter of Credit, and without derogating from any rights of the applicable Issuing Lender (whether arising by contract, at law, in equity or otherwise) against such Subsidiary in respect of such Letter of Credit, the Borrower (a) shall be obligated to reimburse, or to cause the applicable Subsidiary to reimburse, the applicable Issuing Lender hereunder for any and all drawings under such Letter of Credit as if such Letter of Credit had been issued solely for the account of the Borrower and (b) irrevocably waives any and all defenses that might otherwise be available to it as a guarantor or surety of any or all of the obligations of such Subsidiary in respect of such Letter of Credit. The Borrower hereby acknowledges that the issuance of Letters of Credit for the account of any of its Subsidiaries (other than any Excluded Subsidiary or GSWC or any of its Subsidiaries) inures to the benefit of the Borrower and that the Borrower’s business derives substantial benefits from the businesses of such Subsidiaries.


 
42 175130428 ARTICLE IV GENERAL LOAN PROVISIONS SECTION 4.1 Interest. (a) Interest Rate Options. Subject to the provisions of this Section, at the election of the Borrower, (i) Revolving Credit Loans shall bear interest at (A) the Base Rate plus the Applicable Margin or (B) Adjusted Term SOFR plus the Applicable Margin (provided that Adjusted Term SOFR shall not be available until three (3) U.S. Government Securities Business Days after the Closing Date unless the Borrower has delivered to the Administrative Agent a letter in form and substance reasonably satisfactory to the Administrative Agent indemnifying the Lenders in the manner set forth in Section 4.9) and (ii) any Swingline Loan shall bear interest at the Base Rate plus the Applicable Margin. The Borrower shall select the rate of interest and Interest Period, if any, applicable to any Loan at the time a Notice of Borrowing is given or at the time a Notice of Conversion/Continuation is given pursuant to Section 4.2. (b) Default Rate. Subject to Section 9.3, (i) immediately upon the occurrence and during the continuance of an Event of Default under Section 9.1(a), (b), (h) or (i), or (ii) at the election of the Required Lenders (or the Administrative Agent at the direction of the Required Lenders), upon the occurrence and during the continuance of any other Event of Default, (A) the Borrower shall no longer have the option to request SOFR Loans, Swingline Loans or Letters of Credit, (B) all outstanding SOFR Loans shall bear interest at a rate per annum of two percent (2%) in excess of the rate (including the Applicable Margin) then applicable to SOFR Loans until the end of the applicable Interest Period and thereafter at a rate per annum of two percent (2%) in excess of the rate (including the Applicable Margin) then applicable to Base Rate Loans, (C) all outstanding Base Rate Loans and other Obligations arising hereunder or under any other Loan Document shall bear interest at a rate per annum of two percent (2%) in excess of the rate (including the Applicable Margin) then applicable to Base Rate Loans or such other Obligations arising hereunder or under any other Loan Document and (D) all accrued and unpaid interest shall be due and payable on demand of the Administrative Agent. Interest shall continue to accrue on the Obligations after the filing by or against the Borrower of any petition seeking any relief in bankruptcy or under any Debtor Relief Law. (c) Interest Payment and Computation. Interest on each Base Rate Loan shall be due and payable in arrears on the last Business Day of each calendar quarter commencing on September 29, 2023 and interest on each SOFR Loan shall be due and payable in arrears on the last day of each Interest Period applicable thereto, and if such Interest Period extends over three (3) months, at the end of each three (3) month interval during such Interest Period; provided that (i) in the event of any repayment or prepayment of any SOFR Loan, accrued interest on the principal amount repaid or prepaid shall be payable on the date of such repayment or prepayment and (ii) in the event of any conversion of any SOFR Loan prior to the end of the Interest Period therefor, accrued interest on such Loan shall be payable on the effective date of such conversion. All computations of interest for Base Rate Loans shall be made on the basis of a year of 365 or 366 days, as the case may be, and actual days elapsed. All other computations of fees and interest provided hereunder shall be made on the basis of a 360-day year and actual days elapsed (which results in more fees or interest, as applicable, being paid than if computed on the basis of a 365/366-day year). (d) Maximum Rate. In no contingency or event whatsoever shall the aggregate of all amounts deemed interest under this Agreement charged or collected pursuant to the terms of this Agreement exceed the highest rate permissible under any Applicable Law which a court of competent jurisdiction shall, in a final determination, deem applicable hereto. In the event that such a court determines that the Lenders have charged or received interest hereunder in excess of the highest applicable rate, the rate in effect hereunder shall automatically be reduced to the maximum rate permitted by Applicable Law and the Lenders shall at the Administrative Agent’s option (i) promptly refund to the Borrower any interest received by the Lenders


 
43 175130428 in excess of the maximum lawful rate or (ii) apply such excess to the principal balance of the Obligations. It is the intent hereof that the Borrower not pay or contract to pay, and that neither the Administrative Agent nor any Lender receive or contract to receive, directly or indirectly in any manner whatsoever, interest in excess of that which may be paid by the Borrower under Applicable Law. (e) Term SOFR Conforming Changes. In connection with the use or administration of Term SOFR, the Administrative Agent will have the right to make Conforming Changes from time to time and, notwithstanding anything to the contrary herein or in any other Loan Document, any amendments implementing such Conforming Changes will become effective without any further action or consent of any other party to this Agreement or any other Loan Document. The Administrative Agent will promptly notify the Borrower and the Lenders of the effectiveness of any Conforming Changes in connection with the use or administration of Term SOFR. SECTION 4.2 Notice and Manner of Conversion or Continuation of Loans. Provided that no Default or Event of Default has occurred and is then continuing, the Borrower shall have the option to (a) convert at any time following the third U.S. Government Securities Business Day after the Closing Date, subject to the notice requirements herein, all or any portion of any outstanding Base Rate Loans (other than Swingline Loans) in a principal amount equal to $2,000,000 or any whole multiple of $1,000,000 in excess thereof (or such lesser amount as shall represent all of the Base Rate Loans then outstanding) into one or more SOFR Loans and (b) upon the expiration of any Interest Period therefor, (i) convert all or any part of any outstanding SOFR Loans in a principal amount equal to $1,000,000 or a whole multiple of $500,000 in excess thereof (or such lesser amount as shall represent all of the SOFR Loans then outstanding) into Base Rate Loans (other than Swingline Loans) or (ii) continue any such SOFR Loans as SOFR Loans. Whenever the Borrower desires to convert or continue Loans as provided above, the Borrower shall give the Administrative Agent irrevocable prior written notice in the form attached as Exhibit E (a “Notice of Conversion/Continuation”) not later than 11:00 a.m. three (3) U.S. Government Securities Business Days before the day on which a proposed conversion or continuation of such Loan is to be effective specifying (A) the Loans to be converted or continued, and, in the case of any SOFR Loan to be converted or continued, the last day of the Interest Period therefor, (B) the effective date of such conversion or continuation (which shall be a Business Day), (C) the principal amount of such Loans to be converted or continued, and (D) the Interest Period to be applicable to such converted or continued SOFR Loan. If the Borrower fails to deliver a timely Notice of Conversion/Continuation prior to the end of the Interest Period for any SOFR Loan, then the applicable SOFR Loan shall be automatically converted to a Base Rate Loan. Any such automatic conversion to a Base Rate Loan shall be effective as of the last day of the Interest Period then in effect with respect to the applicable SOFR Loan. If the Borrower requests a conversion to, or continuation of, a SOFR Loan, but fails to specify an Interest Period, it will be deemed to have specified an Interest Period of one month. Notwithstanding anything to the contrary herein, a Swingline Loan may not be converted to a SOFR Loan. The Administrative Agent shall promptly notify the affected Lenders of such Notice of Conversion/Continuation. SECTION 4.3 Fees. (a) Commitment Fee. Commencing on the Closing Date, subject to Section 4.15(a)(iii)(A), the Borrower shall pay to the Administrative Agent, for the account of the Lenders, a non-refundable commitment fee (the “Commitment Fee”) at a rate per annum equal to the applicable amount for Commitment Fees as set forth in the definition of Applicable Margin on the average daily unused portion of the Commitment of the Lenders (other than the Defaulting Lenders, if any); provided, that the amount of outstanding Swingline Loans shall not be considered usage of the Commitment for the purpose of calculating the Commitment Fee. The Commitment Fee shall be payable in arrears on the last Business Day of each calendar quarter during the term of this Agreement commencing on September 29, 2023, and ending on the date upon which all Obligations (other than contingent indemnification obligations not then


 
44 175130428 due) arising under the Revolving Credit Facility shall have been indefeasibly and irrevocably paid and satisfied in full, all Letters of Credit have been terminated or expired (or been Cash Collateralized) and the Commitment has been terminated. The Commitment Fee shall be distributed by the Administrative Agent to the Lenders (other than any Defaulting Lender) pro rata in accordance with such Lenders’ respective Commitment Percentages. (b) Other Fees. The Borrower shall pay to the Arrangers and the Administrative Agent for their own respective accounts fees in the amounts and at the times specified in the applicable Fee Letter. The Borrower shall pay to the Lenders such fees as shall have been separately agreed upon in writing in the amounts and at the times so specified. SECTION 4.4 Manner of Payment. Each payment by the Borrower on account of the principal of or interest on the Loans or of any fee, commission or other amounts (including the Reimbursement Obligation) payable to the Lenders under this Agreement shall be made not later than 1:00 p.m. on the date specified for payment under this Agreement to the Administrative Agent at the Administrative Agent’s Office for the account of the Lenders entitled to such payment in Dollars, in immediately available funds and shall be made without any setoff, counterclaim or deduction whatsoever. Any payment received after such time but before 2:00 p.m. on such day shall be deemed a payment on such date for the purposes of Section 9.1, but for all other purposes shall be deemed to have been made on the next succeeding Business Day. Any payment received after 2:00 p.m. shall be deemed to have been made on the next succeeding Business Day for all purposes. Upon receipt by the Administrative Agent of each such payment, the Administrative Agent shall distribute to each such Lender at its address for notices set forth herein its Commitment Percentage in respect of the relevant Credit Facility (or other applicable share as provided herein) of such payment and shall wire advice of the amount of such credit to each Lender. Each payment to the Administrative Agent on account of the principal of or interest on the Swingline Loans or of any fee, commission or other amounts payable to the Swingline Lender shall be made in like manner, but for the account of the Swingline Lender. Each payment to the Administrative Agent of any Issuing Lender’s fees or L/C Participants’ commissions shall be made in like manner, but for the account of such Issuing Lender or the L/C Participants, as the case may be. Each payment to the Administrative Agent of Administrative Agent’s fees or expenses shall be made for the account of the Administrative Agent and any amount payable to any Lender under Sections 4.9, 4.10, 4.11 or 11.3 shall be paid to the Administrative Agent for the account of the applicable Lender. Subject to the definition of Interest Period, if any payment under this Agreement shall be specified to be made upon a day which is not a Business Day, it shall be made on the next succeeding day which is a Business Day and such extension of time shall in such case be included in computing any interest if payable along with such payment. Notwithstanding the foregoing, if there exists a Defaulting Lender each payment by the Borrower to such Defaulting Lender hereunder shall be applied in accordance with Section 4.15(a)(ii). SECTION 4.5 Evidence of Indebtedness. (a) Extensions of Credit. The Extensions of Credit made by each Lender and each Issuing Lender shall be evidenced by one or more accounts or records maintained by such Lender or such Issuing Lender and by the Administrative Agent in the ordinary course of business. The accounts or records maintained by the Administrative Agent and each Lender or the applicable Issuing Lender shall be conclusive absent manifest error of the amount of the Extensions of Credit made by the Lenders or such Issuing Lender to the Borrower and its Subsidiaries and the interest and payments thereon. Any failure to so record or any error in doing so shall not, however, limit or otherwise affect the obligation of the Borrower hereunder to pay any amount owing with respect to the Obligations. In the event of any conflict between the accounts and records maintained by any Lender or any Issuing Lender and the accounts and records of the Administrative Agent in respect of such matters, the accounts and records of the Administrative Agent shall control in the absence of manifest error. Upon the request of any Lender made through the


 
45 175130428 Administrative Agent, the Borrower shall execute and deliver to such Lender (through the Administrative Agent) a Revolving Credit Note and/or Swingline Note, as applicable, which shall evidence such Lender’s Revolving Credit Loans and/or Swingline Loans, as applicable, in addition to such accounts or records. Each Lender may attach schedules to its Notes and endorse thereon the date, amount and maturity of its Loans and payments with respect thereto. (b) Participations. In addition to the accounts and records referred to in subsection (a), each Lender and the Administrative Agent shall maintain in accordance with its usual practice accounts or records evidencing the purchases and sales by such Lender of participations in Letters of Credit and Swingline Loans. In the event of any conflict between the accounts and records maintained by the Administrative Agent and the accounts and records of any Lender in respect of such matters, the accounts and records of the Administrative Agent shall control in the absence of manifest error. SECTION 4.6 Sharing of Payments by Lenders. If any Lender shall, by exercising any right of setoff or counterclaim or otherwise, obtain payment in respect of any principal of or interest on any of its Loans or other obligations hereunder resulting in such Lender’s receiving payment of a proportion of the aggregate amount of its Loans and accrued interest thereon or other such obligations (other than pursuant to Sections 4.9, 4.10, 4.11 or 11.3) greater than its pro rata share thereof as provided herein, then the Lender receiving such greater proportion shall (a) notify the Administrative Agent of such fact, and (b) purchase (for cash at face value) participations in the Loans and such other obligations of the other Lenders, or make such other adjustments as shall be equitable, so that the benefit of all such payments shall be shared by the Lenders ratably in accordance with the aggregate amount of principal of and accrued interest on their respective Loans and other amounts owing them; provided that: (i) if any such participations are purchased and all or any portion of the payment giving rise thereto is recovered, such participations shall be rescinded and the purchase price restored to the extent of such recovery, without interest, and (ii) the provisions of this paragraph shall not be construed to apply to (A) any payment made by the Borrower pursuant to and in accordance with the express terms of this Agreement (including the application of funds arising from the existence of a Defaulting Lender), (B) the application of Cash Collateral provided for in Section 4.14 or (C) any payment obtained by a Lender as consideration for the assignment of, or sale of, a participation in any of its Loans or participations in Swingline Loans and Letters of Credit to any assignee or participant, other than to the Borrower or any of its Subsidiaries or Affiliates (as to which the provisions of this paragraph shall apply). The Borrower consents to the foregoing and agrees, to the extent it may effectively do so under Applicable Law, that any Lender acquiring a participation pursuant to the foregoing arrangements may exercise against the Borrower rights of setoff and counterclaim with respect to such participation as fully as if such Lender were a direct creditor of the Borrower in the amount of such participation. SECTION 4.7 Administrative Agent’s Clawback. (a) Funding by Lenders; Presumption by Administrative Agent. In connection with any borrowing hereunder, the Administrative Agent may assume that each Lender has made its respective share of such borrowing available on such date in accordance with Section 2.3(b) and may, in reliance upon such assumption, make available to the Borrower a corresponding amount. In such event, if a Lender has not in fact made its share of the applicable borrowing available to the Administrative Agent, then the applicable Lender and the Borrower severally agree to pay to the Administrative Agent forthwith on demand such corresponding amount with interest thereon, for each day from and including the date such amount is made


 
46 175130428 available to the Borrower to but excluding the date of payment to the Administrative Agent, at (A) in the case of a payment to be made by such Lender, the Overnight Rate and (B) in the case of a payment to be made by the Borrower, the interest rate applicable to Base Rate Loans. If the Borrower and such Lender shall pay such interest to the Administrative Agent for the same or an overlapping period, the Administrative Agent shall promptly remit to the Borrower the amount of such interest paid by the Borrower for such period. If such Lender pays its share of the applicable borrowing to the Administrative Agent, then the amount so paid shall constitute such Lender’s Loan included in such borrowing. Any payment by the Borrower shall be without prejudice to any claim the Borrower may have against a Lender that shall have failed to make such payment to the Administrative Agent. (b) Payments by the Borrower; Presumptions by Administrative Agent. Unless the Administrative Agent shall have received notice from the Borrower prior to the date on which any payment is due to the Administrative Agent for the account of the Lenders, the Issuing Lenders or the Swingline Lender hereunder that the Borrower will not make such payment, the Administrative Agent may assume that the Borrower has made such payment on such date in accordance herewith and may, in reliance upon such assumption, distribute to the Lenders, the Issuing Lenders or the Swingline Lender, as the case may be, the amount due. In such event, if the Borrower has not in fact made such payment, then each of the Lenders, the Issuing Lenders or the Swingline Lender, as the case maybe, severally agrees to repay to the Administrative Agent forthwith on demand the amount so distributed to such Lender, Issuing Lender or the Swingline Lender, with interest thereon, for each day from and including the date such amount is distributed to it to but excluding the date of payment to the Administrative Agent, at the Overnight Rate. (c) Nature of Obligations of Lenders. The obligations of the Lenders under this Agreement to make the Loans, to issue or participate in Letters of Credit and to make payments under this Section, Section 4.11(e), Section 10.10, Section 11.3(c) or Section 11.7, as applicable, are several and are not joint or joint and several. The failure of any Lender to make available its Commitment Percentage of any Loan requested by the Borrower shall not relieve it or any other Lender of its obligation, if any, hereunder to make its Commitment Percentage of such Loan available on the borrowing date, but no Lender shall be responsible for the failure of any other Lender to make its Commitment Percentage of such Loan available on the borrowing date. SECTION 4.8 Changed Circumstances. (a) Circumstances Affecting Benchmark Availability. Subject to clause (c) below, in connection with any request for a SOFR Loan or a conversion to or continuation thereof or otherwise, if for any reason (i) the Administrative Agent shall determine (which determination shall be conclusive and binding absent manifest error) that reasonable and adequate means do not exist for ascertaining Adjusted Term SOFR for the applicable Interest Period with respect to a proposed SOFR Loan on or prior to the first day of such Interest Period or (ii) the Required Lenders shall determine (which determination shall be conclusive and binding absent manifest error) that Adjusted Term SOFR does not adequately and fairly reflect the cost to such Lenders of making or maintaining such Loans during such Interest Period and, in the case of clause (ii), the Required Lenders have provided notice of such determination to the Administrative Agent, then, in each case, the Administrative Agent shall promptly give notice thereof to the Borrower. Upon notice thereof by the Administrative Agent to the Borrower, any obligation of the Lenders to make SOFR Loans, and any right of the Borrower to convert any Loan to or continue any Loan as a SOFR Loan, shall be suspended (to the extent of the affected SOFR Loans or the affected Interest Periods) until the Administrative Agent (with respect to clause (ii), at the instruction of the Required Lenders) revokes such notice. Upon receipt of such notice, (A) the Borrower may revoke any pending request for a borrowing of, conversion to or continuation of SOFR Loans (to the extent of the affected SOFR Loans or the affected Interest Periods) or, failing that, the Borrower will be deemed to have converted any such request into a request for a borrowing of or conversion to Base Rate Loans in the amount specified


 
47 175130428 therein and (B) any outstanding affected SOFR Loans will be deemed to have been converted into Base Rate Loans at the end of the applicable Interest Period. Upon any such prepayment or conversion, the Borrower shall also pay accrued interest on the amount so prepaid or converted, together with any additional amounts required pursuant to Section 4.9. (b) Laws Affecting SOFR Availability. If, after the date hereof, the introduction of, or any change in, any Applicable Law or any change in the interpretation or administration thereof by any Governmental Authority, central bank or comparable agency charged with the interpretation or administration thereof, or compliance by any of the Lenders (or any of their respective Lending Offices) with any request or directive (whether or not having the force of law) of any such Governmental Authority, central bank or comparable agency, shall make it unlawful or impossible for any of the Lenders (or any of their respective Lending Offices) to honor its obligations hereunder to make or maintain any SOFR Loan, or to determine or charge interest based upon SOFR, the Term SOFR Reference Rate, Adjusted Term SOFR or Term SOFR, such Lender shall promptly give notice thereof to the Administrative Agent and the Administrative Agent shall promptly give notice to the Borrower and the other Lenders (an “Illegality Notice”). Thereafter, until each affected Lender notifies the Administrative Agent and the Administrative Agent notifies the Borrower that the circumstances giving rise to such determination no longer exist, (i) any obligation of the Lenders to make SOFR Loans, and any right of the Borrower to convert any Loan to a SOFR Loan or continue any Loan as a SOFR Loan, shall be suspended and (ii) if necessary to avoid such illegality, the Administrative Agent shall compute the Base Rate without reference to clause (c) of the definition of “Base Rate”. Upon receipt of an Illegality Notice, the Borrower shall, if necessary to avoid such illegality, upon demand from any Lender (with a copy to the Administrative Agent), prepay or, if applicable, convert all SOFR Loans to Base Rate Loans (in each case, if necessary to avoid such illegality, the Administrative Agent shall compute the Base Rate without reference to clause (c) of the definition of “Base Rate”), on the last day of the Interest Period therefor, if all affected Lenders may lawfully continue to maintain such SOFR Loans to such day, or immediately, if any Lender may not lawfully continue to maintain such SOFR Loans to such day. Upon any such prepayment or conversion, the Borrower shall also pay accrued interest on the amount so prepaid or converted, together with any additional amounts required pursuant to Section 4.9. (c) Benchmark Replacement Setting. (i) Benchmark Replacement. Notwithstanding anything to the contrary herein or in any other Loan Document, upon the occurrence of a Benchmark Transition Event, the Administrative Agent and the Borrower may amend this Agreement to replace the then-current Benchmark with a Benchmark Replacement. Any such amendment with respect to a Benchmark Transition Event will become effective at 5:00 p.m. on the fifth (5th) Business Day after the Administrative Agent has posted such proposed amendment to all affected Lenders and the Borrower so long as the Administrative Agent has not received, by such time, written notice of objection to such amendment from Lenders comprising the Required Lenders. No replacement of a Benchmark with a Benchmark Replacement pursuant to this Section 4.8(c)(i) will occur prior to the applicable Benchmark Transition Start Date. (ii) Benchmark Replacement Conforming Changes. In connection with the use, administration, adoption or implementation of a Benchmark Replacement, the Administrative Agent will have the right to make Conforming Changes from time to time and, notwithstanding anything to the contrary herein or in any other Loan Document, any amendments implementing such Conforming Changes will become effective without any further action or consent of any other party to this Agreement or any other Loan Document.


 
48 175130428 (iii) Notices; Standards for Decisions and Determinations. The Administrative Agent will promptly notify the Borrower and the Lenders of (A) the implementation of any Benchmark Replacement and (B) the effectiveness of any Conforming Changes in connection with the use, administration, adoption or implementation of a Benchmark Replacement. The Administrative Agent will promptly notify the Borrower of the removal or reinstatement of any tenor of a Benchmark pursuant to Section 4.8(c)(iv). Any determination, decision or election that may be made by the Administrative Agent or, if applicable, any Lender (or group of Lenders) pursuant to this Section 4.8(c), including any determination with respect to a tenor, rate or adjustment or of the occurrence or non-occurrence of an event, circumstance or date and any decision to take or refrain from taking any action or any selection, will be conclusive and binding absent manifest error and may be made in its or their sole discretion and without consent from any other party to this Agreement or any other Loan Document, except, in each case, as expressly required pursuant to this Section 4.8(c). (iv) Unavailability of Tenor of Benchmark. Notwithstanding anything to the contrary herein or in any other Loan Document, at any time (including in connection with the implementation of a Benchmark Replacement), (A) if the then-current Benchmark is a term rate (including the Term SOFR Reference Rate) and either (1) any tenor for such Benchmark is not displayed on a screen or other information service that publishes such rate from time to time as selected by the Administrative Agent in its reasonable discretion or (2) the regulatory supervisor for the administrator of such Benchmark has provided a public statement or publication of information announcing that any tenor for such Benchmark is not or will not be representative, then the Administrative Agent may modify the definition of “Interest Period” (or any similar or analogous definition) for any Benchmark settings at or after such time to remove such unavailable or non-representative tenor and (B) if a tenor that was removed pursuant to clause (A) above either (1) is subsequently displayed on a screen or information service for a Benchmark (including a Benchmark Replacement) or (2) is not, or is no longer, subject to an announcement that it is not or will not be representative for a Benchmark (including a Benchmark Replacement), then the Administrative Agent may modify the definition of “Interest Period” (or any similar or analogous definition) for all Benchmark settings at or after such time to reinstate such previously removed tenor. (v) Benchmark Unavailability Period. Upon the Borrower’s receipt of notice of the commencement of a Benchmark Unavailability Period, (A) the Borrower may revoke any pending request for a borrowing of, conversion to or continuation of SOFR Loans to be made, converted or continued during any Benchmark Unavailability Period and, failing that, the Borrower will be deemed to have converted any such request into a request for a borrowing of or conversion to Base Rate Loans and (B) any outstanding affected SOFR Loans will be deemed to have been converted to Base Rate Loans at the end of the applicable Interest Period. During any Benchmark Unavailability Period or at any time that a tenor for the then-current Benchmark is not an Available Tenor, the component of the Base Rate based upon the then-current Benchmark or such tenor for such Benchmark, as applicable, will not be used in any determination of the Base Rate. SECTION 4.9 Indemnity. The Borrower hereby indemnifies each of the Lenders against any loss, cost or expense (including any loss, cost or expense arising from the liquidation or reemployment of funds or from any fees payable) which may arise, be attributable to or result due to or as a consequence of (a) any failure by the Borrower to make any payment when due of any amount due hereunder in connection with a SOFR Loan, (b) any failure of the Borrower to borrow or continue a SOFR Loan or convert to a SOFR Loan on a date specified therefor in a Notice of Borrowing or Notice of Conversion/Continuation, (c) any failure of the Borrower to prepay any SOFR Loan on a date specified therefor in any Notice of Prepayment (regardless of whether any such Notice of Prepayment may be revoked under Section 2.4(c)


 
49 175130428 and is revoked in accordance therewith), (d) any payment, prepayment or conversion of any SOFR Loan on a date other than the last day of the Interest Period therefor (including as a result of an Event of Default) or (e) the assignment of any SOFR Loan other than on the last day of the Interest Period applicable thereto as a result of a request by the Borrower pursuant to Section 4.12(b). A certificate of such Lender setting forth the basis for determining such amount or amounts necessary to compensate such Lender shall be forwarded to the Borrower through the Administrative Agent and shall be conclusively presumed to be correct save for manifest error. All of the obligations of the Borrower under this Section 4.9 shall survive the resignation or replacement of the Administrative Agent or any assignment of rights by, or the replacement of, a Lender, the termination of the Commitments and the repayment, satisfaction or discharge of all obligations under any Loan Document. SECTION 4.10 Increased Costs. (a) Increased Costs Generally. If any Change in Law shall: (i) impose, modify or deem applicable any reserve (including pursuant to regulations issued from time to time by the FRB for determining the maximum reserve requirement (including any emergency, special, supplemental or other marginal reserve requirement) with respect to eurocurrency funding (currently referred to as “Eurocurrency liabilities” in Regulation D of the FRB, as amended and in effect from time to time)), special deposit, compulsory loan, insurance charge or similar requirement against assets of, deposits with or for the account of, or advances, loans or other credit extended or participated in by, any Lender or any Issuing Lender; (ii) subject any Recipient to any Taxes (other than (A) Indemnified Taxes, (B) Taxes described in clauses (b) through (d) of the definition of Excluded Taxes and (C) Connection Income Taxes) on its loans, loan principal, letters of credit, commitments, or other obligations, or its deposits, reserves, other liabilities or capital attributable thereto; or (iii) impose on any Lender or any Issuing Lender any other condition, cost or expense (other than Taxes) affecting this Agreement or Loans made by such Lender or any Letter of Credit or participation therein; and the result of any of the foregoing shall be to increase the cost to such Lender, any Issuing Lender or such other Recipient of making, converting to, continuing or maintaining any Loan (or of maintaining its obligation to make any such Loan), or to increase the cost to such Lender, such Issuing Lender or such other Recipient of participating in, issuing or maintaining any Letter of Credit (or of maintaining its obligation to participate in or to issue any Letter of Credit), or to reduce the amount of any sum received or receivable by such Lender, such Issuing Lender or such other Recipient hereunder (whether of principal, interest or any other amount) then, upon written request of such Lender, such Issuing Lender or other Recipient, the Borrower shall promptly pay to any such Lender, such Issuing Lender or other Recipient, as the case may be, such additional amount or amounts as will compensate such Lender, such Issuing Lender or other Recipient, as the case may be, for such additional costs incurred or reduction suffered. (b) Capital Requirements. If any Lender or any Issuing Lender determines that any Change in Law affecting such Lender or such Issuing Lender or any Lending Office of such Lender or such Lender’s or such Issuing Lender’s holding company, if any, regarding capital or liquidity requirements, has or would have the effect of reducing the rate of return on such Lender’s or such Issuing Lender’s capital or on the capital of such Lender’s or such Issuing Lender’s holding company, if any, as a consequence of this Agreement, the Commitment of such Lender or the Loans made by, or participations in Letters of Credit or Swingline Loans held by, such Lender, or the Letters of Credit issued by such Issuing Lender, to a level below that which such Lender or such Issuing Lender or such Lender’s or such Issuing Lender’s holding


 
50 175130428 company could have achieved but for such Change in Law (taking into consideration such Lender’s or such Issuing Lender’s policies and the policies of such Lender’s or such Issuing Lender’s holding company with respect to capital adequacy and liquidity), then from time to time upon written request of such Lender or such Issuing Lender the Borrower shall promptly pay to such Lender or such Issuing Lender, as the case may be, such additional amount or amounts as will compensate such Lender or such Issuing Lender or such Lender’s or such Issuing Lender’s holding company for any such reduction suffered. (c) Certificates for Reimbursement. A certificate of a Lender, or an Issuing Lender or such other Recipient setting forth the amount or amounts necessary to compensate such Lender or such Issuing Lender, such other Recipient or any of their respective holding companies, as the case may be, as specified in paragraph (a) or (b) of this Section and delivered to the Borrower, shall be conclusive absent manifest error. The Borrower shall pay such Lender or such Issuing Lender or such other Recipient, as the case may be, the amount shown as due on any such certificate within ten (10) days after receipt thereof. (d) Delay in Requests. Failure or delay on the part of any Lender or any Issuing Lender or such other Recipient to demand compensation pursuant to this Section shall not constitute a waiver of such Lender’s or such Issuing Lender’s or such other Recipient’s right to demand such compensation; provided that the Borrower shall not be required to compensate any Lender or an Issuing Lender or any other Recipient pursuant to this Section for any increased costs incurred or reductions suffered more than nine (9) months prior to the date that such Lender or such Issuing Lender or such other Recipient, as the case may be, notifies the Borrower of the Change in Law giving rise to such increased costs or reductions, and of such Lender’s or such Issuing Lender’s or such other Recipient’s intention to claim compensation therefor (except that if the Change in Law giving rise to such increased costs or reductions is retroactive, then the nine-month period referred to above shall be extended to include the period of retroactive effect thereof). (e) Survival. All of the obligations of the Borrower under this Section 4.10 shall survive the resignation or replacement of the Administrative Agent or any assignment of rights by, or the replacement of, a Lender, the termination of the Commitments and the repayment, satisfaction or discharge of all obligations under any Loan Document. SECTION 4.11 Taxes. (a) Defined Terms. For purposes of this Section 4.11, the term “Lender” includes any Issuing Lender and the term “Applicable Law” includes FATCA. (b) Payments Free of Taxes. Any and all payments by or on account of any obligation of the Borrower under any Loan Document shall be made without deduction or withholding for any Taxes, except as required by Applicable Law. If any Applicable Law (as determined in the good faith discretion of an applicable Withholding Agent) requires the deduction or withholding of any Tax from any such payment by a Withholding Agent, then the applicable Withholding Agent shall be entitled to make such deduction or withholding and shall timely pay the full amount deducted or withheld to the relevant Governmental Authority in accordance with Applicable Law and, if such Tax is an Indemnified Tax, then the sum payable by the Borrower shall be increased as necessary so that, after such deduction or withholding has been made (including such deductions and withholdings applicable to additional sums payable under this Section), the applicable Recipient receives an amount equal to the sum it would have received had no such deduction or withholding been made. (c) Payment of Other Taxes by the Borrower. The Borrower shall timely pay to the relevant Governmental Authority in accordance with Applicable Law, or at the option of the Administrative Agent timely reimburse it for the payment of, any Other Taxes.


 
51 175130428 (d) Indemnification by the Borrower. The Borrower shall indemnify each Recipient, within ten (10) days after demand therefor, for the full amount of any Indemnified Taxes (including Indemnified Taxes imposed or asserted on or attributable to amounts payable under this Section) payable or paid by such Recipient or required to be withheld or deducted from a payment to such Recipient and any reasonable expenses arising therefrom or with respect thereto, whether or not such Indemnified Taxes were correctly or legally imposed or asserted by the relevant Governmental Authority. A certificate as to the amount of such payment or liability delivered to the Borrower by a Recipient (with a copy to the Administrative Agent), or by the Administrative Agent on its own behalf or on behalf of a Recipient, shall be conclusive absent manifest error. (e) Indemnification by the Lenders. Each Lender shall severally indemnify the Administrative Agent, within ten (10) days after demand therefor, for (i) any Indemnified Taxes attributable to such Lender (but only to the extent that the Borrower has not already indemnified the Administrative Agent for such Indemnified Taxes and without limiting the obligation of the Borrower to do so), (ii) any Taxes attributable to such Lender’s failure to comply with the provisions of Section 11.9(d) relating to the maintenance of a Participant Register and (iii) any Excluded Taxes attributable to such Lender, in each case, that are payable or paid by the Administrative Agent in connection with any Loan Document, and any reasonable expenses arising therefrom or with respect thereto, whether or not such Taxes were correctly or legally imposed or asserted by the relevant Governmental Authority. A certificate as to the amount of such payment or liability delivered to any Lender by the Administrative Agent shall be conclusive absent manifest error. Each Lender hereby authorizes the Administrative Agent to setoff and apply any and all amounts at any time owing to such Lender under any Loan Document or otherwise payable by the Administrative Agent to the Lender from any other source against any amount due to the Administrative Agent under this paragraph (e). (f) Evidence of Payments. As soon as practicable after any payment of Taxes by the Borrower to a Governmental Authority pursuant to this Section 4.11, the Borrower shall deliver to the Administrative Agent the original or a certified copy of a receipt issued by such Governmental Authority evidencing such payment, a copy of the return reporting such payment or other evidence of such payment reasonably satisfactory to the Administrative Agent. (g) Status of Lenders. (i) Any Lender that is entitled to an exemption from or reduction of withholding Tax with respect to payments made under any Loan Document shall deliver to the Borrower and the Administrative Agent, at the time or times reasonably requested by the Borrower or the Administrative Agent, such properly completed and executed documentation reasonably requested by the Borrower or the Administrative Agent as will permit such payments to be made without withholding or at a reduced rate of withholding. In addition, any Lender, if reasonably requested by the Borrower or the Administrative Agent, shall deliver such other documentation prescribed by Applicable Law or reasonably requested by the Borrower or the Administrative Agent as will enable the Borrower or the Administrative Agent to determine whether or not such Lender is subject to backup withholding or information reporting requirements. Notwithstanding anything to the contrary in the preceding two sentences, the completion, execution and submission of such documentation (other than such documentation set forth in Section 4.11(g)(ii)(A), (ii)(B) and (ii)(D) below) shall not be required if in the Lender’s reasonable judgment such completion, execution or submission would subject such Lender to any material unreimbursed cost or expense or would materially prejudice the legal or commercial position of such Lender. (ii) Without limiting the generality of the foregoing,:


 
52 175130428 (A) any Lender that is a U.S. Person shall deliver to the Borrower and the Administrative Agent on or prior to the date on which such Lender becomes a Lender under this Agreement (and from time to time thereafter upon the reasonable request of the Borrower or the Administrative Agent), executed copies of IRS Form W-9 certifying that such Lender is exempt from United States federal backup withholding tax; (B) any Foreign Lender shall, to the extent it is legally entitled to do so, deliver to the Borrower and the Administrative Agent (in such number of copies as shall be requested by the recipient) on or prior to the date on which such Foreign Lender becomes a Lender under this Agreement (and from time to time thereafter upon the reasonable request of the Borrower or the Administrative Agent), whichever of the following is applicable: (1) in the case of a Foreign Lender claiming the benefits of an income tax treaty to which the United States is a party (x) with respect to payments of interest under any Loan Document, executed copies of IRS Form W-8BEN-E establishing an exemption from, or reduction of, United States federal withholding Tax pursuant to the “interest” article of such tax treaty and (y) with respect to any other applicable payments under any Loan Document, IRS Form W-8BEN-E establishing an exemption from, or reduction of, United States federal withholding Tax pursuant to the “business profits” or “other income” article of such tax treaty; (2) executed copies of IRS Form W-8ECI; (3) in the case of a Foreign Lender claiming the benefits of the exemption for portfolio interest under Section 881(c) of the Code, (x) a certificate substantially in the form of Exhibit H-1 to the effect that such Foreign Lender is not a “bank” within the meaning of Section 881(c)(3)(A) of the Code, a “10 percent shareholder” of the Borrower within the meaning of Section 881(c)(3)(B) of the Code, or a “controlled foreign corporation” described in Section 881(c)(3)(C) of the Code (a “U.S. Tax Compliance Certificate”) and (y) executed copies of IRS Form W-8BEN-E; or (4) to the extent a Foreign Lender is not the beneficial owner, executed copies of IRS Form W-8IMY, accompanied by IRS Form W-8ECI, IRS Form W-8BEN-E, a U.S. Tax Compliance Certificate substantially in the form of Exhibit H-2 or Exhibit H-3, IRS Form W-9, and/or other certification documents from each beneficial owner, as applicable; provided that if the Foreign Lender is a partnership and one or more direct or indirect partners of such Foreign Lender are claiming the portfolio interest exemption, such Foreign Lender may provide a U.S. Tax Compliance Certificate substantially in the form of Exhibit H-4 on behalf of each such direct and indirect partner; (C) any Foreign Lender shall, to the extent it is legally entitled to do so, deliver to the Borrower and the Administrative Agent (in such number of copies as shall be requested by the recipient) on or prior to the date on which such Foreign Lender becomes a Lender under this Agreement (and from time to time thereafter upon the reasonable request of the Borrower or the Administrative Agent), executed copies of any other form prescribed by Applicable Law as a basis for claiming exemption from or a reduction in United States federal withholding Tax, duly completed, together with such supplementary


 
53 175130428 documentation as may be prescribed by Applicable Law to permit the Borrower or the Administrative Agent to determine the withholding or deduction required to be made; and (D) if a payment made to a Lender under any Loan Document would be subject to United States federal withholding Tax imposed by FATCA if such Lender were to fail to comply with the applicable reporting requirements of FATCA (including those contained in Section 1471(b) or 1472(b) of the Code, as applicable), such Lender shall deliver to the Borrower and the Administrative Agent at the time or times prescribed by law and at such time or times reasonably requested by the Borrower or the Administrative Agent such documentation prescribed by Applicable Law (including as prescribed by Section 1471(b)(3)(C)(i) of the Code) and such additional documentation reasonably requested by the Borrower or the Administrative Agent as may be necessary for the Borrower and the Administrative Agent to comply with their obligations under FATCA and to determine that such Lender has complied with such Lender’s obligations under FATCA or to determine the amount to deduct and withhold from such payment. Solely for purposes of this clause (D), “FATCA” shall include any amendments made to FATCA after the date of this Agreement. Each Lender agrees that if any form or certification it previously delivered expires or becomes obsolete or inaccurate in any respect, it shall update such form or certification or promptly notify the Borrower and the Administrative Agent in writing of its legal inability to do so. (h) Treatment of Certain Refunds. If any party determines, in its sole discretion exercised in good faith, that it has received a refund of any Taxes as to which it has been indemnified pursuant to this Section 4.11 (including by the payment of additional amounts pursuant to this Section 4.11), it shall pay to the indemnifying party an amount equal to such refund (but only to the extent of indemnity payments made under this Section with respect to the Taxes giving rise to such refund), net of all out-of-pocket expenses (including Taxes) of such indemnified party and without interest (other than any interest paid by the relevant Governmental Authority with respect to such refund). Such indemnifying party, upon the request of such indemnified party, shall repay to such indemnified party the amount paid over pursuant to this paragraph (h) (plus any penalties, interest or other charges imposed by the relevant Governmental Authority) in the event that such indemnified party is required to repay such refund to such Governmental Authority. Notwithstanding anything to the contrary in this paragraph (h), in no event will the indemnified party be required to pay any amount to an indemnifying party pursuant to this paragraph (h) the payment of which would place the indemnified party in a less favorable net after-Tax position than the indemnified party would have been in if the Tax subject to indemnification and giving rise to such refund had not been deducted, withheld or otherwise imposed and the indemnification payments or additional amounts with respect to such Tax had never been paid. This paragraph shall not be construed to require any indemnified party to make available its Tax returns (or any other information relating to its Taxes that it deems confidential) to the indemnifying party or any other Person. (i) Survival. Each party’s obligations under this Section 4.11 shall survive the resignation or replacement of the Administrative Agent or any assignment of rights by, or the replacement of, a Lender, the termination of the Commitments and the repayment, satisfaction or discharge of all obligations under any Loan Document. SECTION 4.12 Mitigation Obligations; Replacement of Lenders. (a) Designation of a Different Lending Office. If any Lender requests compensation under Section 4.10, or requires the Borrower to pay any Indemnified Taxes or additional amounts to any Lender or any Governmental Authority for the account of any Lender pursuant to Section 4.11, then such Lender


 
54 175130428 shall, at the request of the Borrower, use reasonable efforts to designate a different Lending Office for funding or booking its Loans hereunder or to assign its rights and obligations hereunder to another of its offices, branches or affiliates, if, in the judgment of such Lender, such designation or assignment (i) would eliminate or reduce amounts payable pursuant to Section 4.10 or Section 4.11, as the case may be, in the future and (ii) would not subject such Lender to any unreimbursed cost or expense and would not otherwise be disadvantageous to such Lender. The Borrower hereby agrees to pay all reasonable costs and expenses incurred by any Lender in connection with any such designation or assignment. (b) Replacement of Lenders. If any Lender requests compensation under Section 4.10, or if the Borrower is required to pay any Indemnified Taxes or additional amounts to any Lender or any Governmental Authority for the account of any Lender pursuant to Section 4.11, and, in each case, such Lender has declined or is unable to designate a different Lending Office in accordance with Section 4.12(a), or if any Lender is a Defaulting Lender or a Non-Consenting Lender, then the Borrower may, at its sole expense and effort, upon notice to such Lender and the Administrative Agent, require such Lender to assign and delegate, without recourse (in accordance with and subject to the restrictions contained in, and consents required by, Section 11.9), all of its interests, rights (other than its existing rights to payments pursuant to Section 4.10 or Section 4.11) and obligations under this Agreement and the related Loan Documents to an Eligible Assignee that shall assume such obligations (which assignee may be another Lender, if a Lender accepts such assignment); provided that: (i) the Borrower shall have paid to the Administrative Agent the assignment fee (if any) specified in Section 11.9; (ii) such Lender shall have received payment of an amount equal to the outstanding principal of its Loans and funded participations in Letters of Credit and Swingline Loans, accrued interest thereon, accrued fees and all other amounts payable to it hereunder and under the other Loan Documents (including any amounts under Section 4.9) from the assignee (to the extent of such outstanding principal and accrued interest and fees) or the Borrower (in the case of all other amounts); (iii) in the case of any such assignment resulting from a claim for compensation under Section 4.10 or payments required to be made pursuant to Section 4.11, such assignment will result in a reduction in such compensation or payments thereafter; (iv) such assignment does not conflict with Applicable Law; and (v) in the case of any assignment resulting from a Lender becoming a Non-Consenting Lender, the applicable assignee shall have consented to the applicable amendment, waiver or consent. A Lender shall not be required to make any such assignment or delegation if, prior thereto, as a result of a waiver by such Lender or otherwise, the circumstances entitling the Borrower to require such assignment and delegation cease to apply. Each party hereto agrees that (x) an assignment required pursuant to this Section 4.12 may be effected pursuant to an Assignment and Assumption executed by the Borrower, the Administrative Agent and the assignee and (y) the Lender required to make such assignment need not be a party thereto in order for such assignment to be effective and shall be deemed to have consented to and be bound by the terms thereof; provided that, following the effectiveness of any such assignment, the other parties to such assignment agree to execute and deliver such documents necessary to evidence such assignment as


 
55 175130428 reasonably requested by the applicable Lender or the Administrative Agent, provided, further that any such documents shall be without recourse to or warranty by the parties thereto. (c) Selection of Lending Office. Subject to Section 4.12(a), each Lender may make any Loan to the Borrower through any Lending Office, provided that the exercise of this option shall not affect the obligations of the Borrower to repay the Loan in accordance with the terms of this Agreement or otherwise alter the rights of the parties hereto. SECTION 4.13 Incremental Increases. (a) Request for Incremental Increase. At any time after the Closing Date, upon written notice to the Administrative Agent, the Borrower may, from time to time, request one or more increases in the Commitments (each, an “Incremental Increase”); provided that (i) the aggregate initial principal amount of such requested Incremental Increase shall not exceed the Incremental Facilities Limit, (ii) any such Incremental Increase shall be in a minimum amount of $20,000,000 (or such lesser amount as agreed to by the Administrative Agent) or, if less, the remaining amount of the Incremental Facilities Limit, and (iii) no Lender will be required or otherwise obligated to provide any portion of such Incremental Increase. (b) Incremental Lenders. Each notice from the Borrower pursuant to this Section 4.13 shall set forth the requested amount and proposed terms of the relevant Incremental Increase. Incremental Increases may be provided by any existing Lender or by any other Persons (each such Lender or other Person, an “Incremental Lender”); provided that the Administrative Agent, each Issuing Lender and/or the Swingline Lender, as applicable, shall have consented (not to be unreasonably withheld or delayed) to such Incremental Lender’s providing such Incremental Increases to the extent any such consent would be required under Section 11.9(b) for an assignment of Loans or Commitments, as applicable, to such Incremental Lender. At the time of sending such notice, the Borrower (in consultation with the Administrative Agent) shall specify the time period within which each proposed Incremental Lender is requested to respond, which shall in no event be less than ten (10) Business Days from the date of delivery of such notice to the proposed Incremental Lenders (or such shorter period as agreed to by the Administrative Agent). Each proposed Incremental Lender may elect or decline, in its sole discretion, and shall notify the Administrative Agent within such time period whether it agrees, to provide an Incremental Increase and, if so, whether by an amount equal to, greater than or less than requested. Any Person not responding within such time period shall be deemed to have declined to provide an Incremental Increase. (c) Increase Effective Date and Allocations. The Administrative Agent and the Borrower shall determine the effective date (the “Increase Effective Date”) and the final allocation of such Incremental Increase. The Administrative Agent shall promptly notify the Borrower and the Incremental Lenders of the final allocation of such Incremental Increases and the Increase Effective Date. (d) Terms of Incremental Increases. The terms of each Incremental Increase (which shall be set forth in the relevant Incremental Amendment) shall be determined by the Borrower and the applicable Incremental Lenders; provided that: (i) each such Incremental Increase shall have the same terms, including maturity, Applicable Margin and Commitment Fees, as the Revolving Credit Facility; provided that any upfront fees payable by the Borrower to the Lenders under any Incremental Increases may differ from those payable under the then existing Commitments; and (ii) the outstanding Revolving Credit Loans and Commitment Percentages of Swingline Loans and L/C Obligations will be reallocated by the Administrative Agent on the applicable Increase Effective Date among the Lenders (including the Incremental Lenders


 
56 175130428 providing such Incremental Increase) in accordance with their revised Commitment Percentages (and the Lenders (including the Incremental Lenders providing such Incremental Increase) agree to make all payments and adjustments necessary to effect such reallocation and the Borrower shall pay any and all costs required pursuant to Section 4.9 in connection with such reallocation as if such reallocation were a repayment); and (iii) each Incremental Increase shall constitute Obligations of the Borrower. (e) Conditions to Effectiveness of Incremental Increases. Any Incremental Increase shall become effective as of such Increase Effective Date and shall be subject to the following conditions precedent: (i) no Default or Event of Default shall exist on such Increase Effective Date immediately prior to or after giving effect to (A) such Incremental Increase or (B) the making of the initial Extensions of Credit pursuant thereto; (ii) all of the representations and warranties set forth in Article VI shall be true and correct in all material respects (or if qualified by materiality or Material Adverse Effect, in all respects) as of such Increase Effective Date, or if such representation speaks as of an earlier date, as of such earlier date; (iii) giving effect to such Indebtedness and the use of proceeds thereof, the Consolidated Group shall be in pro forma compliance with the financial covenant set forth in Section 8.11, such compliance to be determined on the basis of the financial information most recently delivered to the Administrative Agent pursuant to Section 7.1(a) or (b) as though any Indebtedness incurred in connection with such Incremental Increase was incurred as of the last day of the four consecutive fiscal-quarter period covered thereby; provided, that only the portion of any Incremental Increase actually drawn and outstanding on such Increase Effective Date shall be deemed incurred for purposes of this clause; (iv) the Borrower shall have executed an Incremental Amendment in form and substance reasonably acceptable to the Borrower and the applicable Incremental Lenders; and (v) the Administrative Agent shall have received from the Borrower, any customary legal opinions or other documents (including a resolution duly adopted by the board of directors (or equivalent governing body) of the Borrower authorizing such Incremental Increase) reasonably requested by Administrative Agent in connection with such Incremental Increase. (f) Incremental Amendments. Each such Incremental Increase shall be effected pursuant to an amendment (an “Incremental Amendment”) to this Agreement and, as appropriate, the other Loan Documents, executed by the Borrower, the Administrative Agent and the applicable Incremental Lenders, which Incremental Amendment may, without the consent of any other Lenders, effect such amendments to this Agreement and the other Loan Documents as may be necessary or appropriate, in the reasonable opinion of the Administrative Agent, to effect the provisions of this Section 4.13. (g) The proceeds of any Incremental Increase may be used by the Borrower and its Subsidiaries for any purpose permitted by Section 7.13. SECTION 4.14 Cash Collateral. At any time that there shall exist a Defaulting Lender, within three (3) Business Days following the written request of the Administrative Agent, any Issuing Lender (with a copy to the Administrative Agent) or the Swingline Lender (with a copy to the Administrative


 
57 175130428 Agent), the Borrower shall Cash Collateralize the Fronting Exposure of such Issuing Lender and/or the Swingline Lender, as applicable, with respect to such Defaulting Lender (determined after giving effect to Section 4.15(a)(iv) and any Cash Collateral provided by such Defaulting Lender) in an amount not less than the Minimum Collateral Amount. (a) Grant of Security Interest. The Borrower, and to the extent provided by any Defaulting Lender, such Defaulting Lender, hereby grants to the Administrative Agent, for the benefit of each Issuing Lender and the Swingline Lender, and agrees to maintain, a first priority security interest in all such Cash Collateral as security for the Defaulting Lender’s obligation to fund participations in respect of L/C Obligations and Swingline Loans, to be applied pursuant to subsection (b) below. If at any time the Administrative Agent determines that Cash Collateral is subject to any right or claim of any Person other than the Administrative Agent, each Issuing Lender and the Swingline Lender as herein provided, or that the total amount of such Cash Collateral is less than the Minimum Collateral Amount, the Borrower will, promptly upon demand by the Administrative Agent, pay or provide to the Administrative Agent additional Cash Collateral in an amount sufficient to eliminate such deficiency (after giving effect to any Cash Collateral provided by the Defaulting Lender). (b) Application. Notwithstanding anything to the contrary contained in this Agreement or any other Loan Document, Cash Collateral provided under this Section 4.14 or Section 4.15 in respect of Letters of Credit and Swingline Loans shall be applied to the satisfaction of the Defaulting Lender’s obligation to fund participations in respect of L/C Obligations and Swingline Loans (including, as to Cash Collateral provided by a Defaulting Lender, any interest accrued on such obligation) for which the Cash Collateral was so provided, prior to any other application of such property as may otherwise be provided for herein. (c) Termination of Requirement. Cash Collateral (or the appropriate portion thereof) provided to reduce the Fronting Exposure of any Issuing Lender and/or the Swingline Lender, as applicable, shall no longer be required to be held as Cash Collateral pursuant to this Section 4.14 following (i) the elimination of the applicable Fronting Exposure (including by the termination of Defaulting Lender status of the applicable Lender), or (ii) the determination by the Administrative Agent, the Issuing Lenders and the Swingline Lender that there exists excess Cash Collateral; provided that, subject to Section 5.15, the Person providing Cash Collateral, the Issuing Lenders and the Swingline Lender may agree that Cash Collateral shall be held to support future anticipated Fronting Exposure or other obligations. SECTION 4.15 Defaulting Lenders. (a) Defaulting Lender Adjustments. Notwithstanding anything to the contrary contained in this Agreement, if any Lender becomes a Defaulting Lender, then, until such time as such Lender is no longer a Defaulting Lender, to the extent permitted by Applicable Law: (i) Waivers and Amendments. Such Defaulting Lender’s right to approve or disapprove any amendment, waiver or consent with respect to this Agreement shall be restricted as set forth in the definition of “Required Lenders” and Section 11.2. (ii) Defaulting Lender Waterfall. Any payment of principal, interest, fees or other amounts received by the Administrative Agent for the account of such Defaulting Lender (whether voluntary or mandatory, at maturity, pursuant to Article IX or otherwise) or received by the Administrative Agent from a Defaulting Lender pursuant to Section 11.4 shall be applied at such time or times as may be determined by the Administrative Agent as follows: first, to the payment of any amounts owing by such Defaulting Lender to the Administrative Agent hereunder; second, to the payment on a pro rata basis of any amounts owing by such Defaulting Lender to the Issuing Lenders or the Swingline Lender hereunder; third, to Cash Collateralize the Fronting Exposure of


 
58 175130428 the Issuing Lenders and the Swingline Lender with respect to such Defaulting Lender in accordance with Section 4.14; fourth, as the Borrower may request (so long as no Default or Event of Default exists), to the funding of any Loan or funded participation in respect of which such Defaulting Lender has failed to fund its portion thereof as required by this Agreement, as determined by the Administrative Agent; fifth, if so determined by the Administrative Agent and the Borrower, to be held in a deposit account and released pro rata in order to (A) satisfy such Defaulting Lender’s potential future funding obligations with respect to Loans and funded participations under this Agreement and (B) Cash Collateralize the Issuing Lenders’ future Fronting Exposure with respect to such Defaulting Lender with respect to future Letters of Credit issued under this Agreement, in accordance with Section 4.14; sixth, to the payment of any amounts owing to the Lenders, the Issuing Lenders or the Swingline Lender as a result of any judgment of a court of competent jurisdiction obtained by any Lender, any Issuing Lender or the Swingline Lender against such Defaulting Lender as a result of such Defaulting Lender’s breach of its obligations under this Agreement; seventh, so long as no Default or Event of Default exists, to the payment of any amounts owing to the Borrower as a result of any judgment of a court of competent jurisdiction obtained by the Borrower against such Defaulting Lender as a result of such Defaulting Lender’s breach of its obligations under this Agreement; and eighth, to such Defaulting Lender or as otherwise directed by a court of competent jurisdiction; provided that if (1) such payment is a payment of the principal amount of any Loans or funded participations in Letters of Credit or Swingline Loans in respect of which such Defaulting Lender has not fully funded its appropriate share, and (2) such Loans were made or the related Letters of Credit or Swingline Loans were issued at a time when the conditions set forth in Section 5.2 were satisfied or waived, such payment shall be applied solely to pay the Loans of, and funded participations in Letters of Credit or Swingline Loans owed to, all Non-Defaulting Lenders on a pro rata basis prior to being applied to the payment of any Loans of, or funded participations in Letters of Credit or Swingline Loans owed to, such Defaulting Lender until such time as all Loans and funded and unfunded participations in L/C Obligations and Swingline Loans are held by the Lenders pro rata in accordance with the Commitments under the applicable Revolving Credit Facility without giving effect to Section 4.15(a)(iv). Any payments, prepayments or other amounts paid or payable to a Defaulting Lender that are applied (or held) to pay amounts owed by a Defaulting Lender or to post Cash Collateral pursuant to this Section 4.15(a)(ii) shall be deemed paid to and redirected by such Defaulting Lender, and each Lender irrevocably consents hereto. (iii) Certain Fees. (A) No Defaulting Lender shall be entitled to receive any Commitment Fee for any period during which that Lender is a Defaulting Lender (and the Borrower shall not be required to pay any such fee that otherwise would have been required to have been paid to that Defaulting Lender). (B) Each Defaulting Lender shall be entitled to receive Letter of Credit commissions pursuant to Section 3.3 for any period during which that Lender is a Defaulting Lender only to the extent allocable to its Commitment Percentage of the stated amount of Letters of Credit for which it has provided Cash Collateral pursuant to Section 4.14. (C) With respect to any Commitment Fee not required to be paid to any Defaulting Lender pursuant to clause (A) or (B) above, the Borrower shall (1) pay to each Non-Defaulting Lender that portion of any such fee otherwise payable to such Defaulting Lender with respect to such Defaulting Lender’s participation in L/C Obligations or Swingline Loans that has been reallocated to such Non-Defaulting Lender pursuant to


 
59 175130428 clause (iv) below, (2) pay to each applicable Issuing Lender and Swingline Lender, as applicable, the amount of any such fee otherwise payable to such Defaulting Lender to the extent allocable to such Issuing Lender’s or Swingline Lender’s Fronting Exposure to such Defaulting Lender, and (3) not be required to pay the remaining amount of any such fee. (iv) Reallocation of Participations to Reduce Fronting Exposure. All or any part of such Defaulting Lender’s participation in L/C Obligations and Swingline Loans shall be reallocated among the Non-Defaulting Lenders in accordance with their respective Commitment Percentages (calculated without regard to such Defaulting Lender’s Commitment) but only to the extent that such reallocation does not cause the aggregate Revolving Credit Exposure of any Non-Defaulting Lender to exceed such Non-Defaulting Lender’s Commitment. Subject to Section 11.23, no reallocation hereunder shall constitute a waiver or release of any claim of any party hereunder against a Defaulting Lender arising from that Lender having become a Defaulting Lender, including any claim of a Non-Defaulting Lender as a result of such Non-Defaulting Lender’s increased exposure following such reallocation. (v) Cash Collateral, Repayment of Swingline Loans. If the reallocation described in clause (iv) above cannot, or can only partially, be effected, the Borrower shall, without prejudice to any right or remedy available to it hereunder or under law, (x) first, repay Swingline Loans in an amount equal to the Swingline Lenders’ Fronting Exposure and (y) second, Cash Collateralize the Issuing Lenders’ Fronting Exposure in accordance with the procedures set forth in Section 4.14. (b) Defaulting Lender Cure. If the Borrower, the Administrative Agent, the Issuing Lenders and the Swingline Lender agree in writing that a Lender is no longer a Defaulting Lender, the Administrative Agent will so notify the parties hereto, whereupon as of the effective date specified in such notice and subject to any conditions set forth therein (which may include arrangements with respect to any Cash Collateral), such Lender will, to the extent applicable, purchase at par that portion of outstanding Loans of the other Lenders or take such other actions as the Administrative Agent may determine to be necessary to cause the Loans and funded and unfunded participations in Letters of Credit and Swingline Loans to be held pro rata by the Lenders in accordance with the Commitments under the applicable Credit Facility (without giving effect to Section 4.15(a)(iv)), whereupon such Lender will cease to be a Defaulting Lender; provided that no adjustments will be made retroactively with respect to fees accrued or payments made by or on behalf of the Borrower while that Lender was a Defaulting Lender; and provided, further, that except to the extent otherwise expressly agreed by the affected parties, no change hereunder from Defaulting Lender to Non-Defaulting Lender will constitute a waiver or release of any claim of any party hereunder arising from that Lender’s having been a Defaulting Lender. ARTICLE V CONDITIONS OF CLOSING AND BORROWING SECTION 5.1 Conditions to Closing and Initial Extensions of Credit. The obligation of the Lenders to close this Agreement and to make the initial Loans or issue or participate in the initial Letter of Credit, if any, is subject to the satisfaction of each of the following conditions: (a) Executed Loan Documents. This Agreement, a Revolving Credit Note in favor of each Lender requesting a Revolving Credit Note, a Swingline Note in favor of the Swingline Lender (if requested thereby), and any other applicable Loan Documents to be delivered on the Closing Date, shall have been duly authorized, executed and delivered to the Administrative Agent by the parties thereto, shall be in full force and effect and no Default or Event of Default shall have occurred and be continuing.


 
60 175130428 (b) Closing Certificates; Etc. The Administrative Agent shall have received each of the following in form and substance reasonably satisfactory to the Administrative Agent: (i) Officer’s Certificate. A certificate from a Responsible Officer of the Borrower certifying (A) that all representations and warranties of the Borrower contained in this Agreement and the other Loan Documents are true, correct and complete in all material respects (except to the extent any such representation and warranty is qualified by materiality or reference to Material Adverse Effect, in which case, such representation and warranty shall be true, correct and complete in all respects); (B) that no Default or Event of Default has occurred and is continuing; (C) that since December 31, 2022, no event has occurred or condition arisen, either individually or in the aggregate, that has had or could reasonably be expected to have a Material Adverse Effect; and (D) as to true, correct and complete copies of all governmental and third party consents, licenses and approvals required in connection with the execution, delivery and performance by the Borrower of the Loan Documents and the transactions contemplated thereby and that such consents, licenses and approvals are in full force and effect (or certifying that no such consents, licenses or approvals are so required). (ii) Certificate of Secretary of the Borrower. A certificate of a Responsible Officer of the Borrower certifying as to the incumbency and genuineness of the signature of each officer of the Borrower executing Loan Documents and certifying that attached thereto is a true, correct and complete copy of (A) the articles or certificate of incorporation or formation (or equivalent) of the Borrower and all amendments thereto, certified as of a recent date by the appropriate Governmental Authority in its jurisdiction of incorporation, organization or formation (or equivalent), (B) the bylaws or governing documents of the Borrower as in effect on the Closing Date, (C) resolutions duly adopted by the board of directors (or other governing body) of the Borrower authorizing and approving the transactions contemplated hereunder and the execution, delivery and performance of this Agreement and the other Loan Documents, and (D) the certificate required to be delivered pursuant to Section 5.1(b)(iii). (iii) Certificates of Good Standing. Certificates as of a recent date of the good standing of the Borrower under the laws of its jurisdiction of incorporation, organization or formation (or equivalent), as applicable. (iv) Opinions of Counsel. Opinions of counsel to the Borrower, including opinions of special counsel and local counsel as may be reasonably requested by the Administrative Agent, addressed to the Administrative Agent and the Lenders with respect to the Borrower, the Loan Documents and such other matters as the Administrative Agent shall reasonably request. (c) Governmental and Third Party Approvals. The Borrower shall have received all governmental and third party consents, licenses and approvals required in connection with the execution, delivery and performance by the Borrower of the Loan Documents and the transactions contemplated thereby, each of which shall be in full force and effect. (d) Financial Matters. (i) Financial Statements. The Administrative Agent shall have received (A) the audited Consolidated balance sheet of the Borrower and its Subsidiaries as of December 31, 2022 and the related audited statements of income, shareholders’ equity and cash flows for the Fiscal Year then ended and (B) the unaudited Consolidated and consolidating balance sheets of the Borrower and its Subsidiaries as of March 31, 2023 and related unaudited interim statements of income and cash flows.


 
61 175130428 (ii) Financial Projections. The Administrative Agent shall have received projections prepared by management of the Borrower of balance sheets, income statements and cash flow statements of the Consolidated Group, which shall be in form and substance satisfactory to the Lenders. (iii) Payment at Closing. The Borrower shall have paid or made arrangements to pay contemporaneously with closing (A) to the Administrative Agent, the Arrangers and the Lenders the fees set forth or referenced in Section 4.3 and any other accrued and unpaid fees or commissions due hereunder, (B) all fees, charges and disbursements of counsel to the Administrative Agent (directly to such counsel if requested by the Administrative Agent) to the extent accrued and unpaid prior to or on the Closing Date, plus such additional amounts of such fees, charges and disbursements as shall constitute its reasonable estimate of such fees, charges and disbursements incurred or to be incurred by it through the closing proceedings (provided that such estimate shall not thereafter preclude a final settling of accounts between the Borrower and the Administrative Agent) and (C) to any other Person such amount as may be due thereto in connection with the transactions contemplated hereby, including all taxes, fees and other charges in connection with the execution, delivery, recording, filing and registration of any of the Loan Documents. (e) Miscellaneous. (i) Notice of Account Designation. The Administrative Agent shall have received a Notice of Account Designation specifying the account or accounts to which the proceeds of any Loans made on or after the Closing Date are to be disbursed. (ii) Existing Indebtedness. All existing Indebtedness of the Borrower and its Subsidiaries (including Indebtedness under the Existing Credit Agreement but excluding Indebtedness permitted pursuant to Section 8.1) shall be repaid in full, all commitments (if any) in respect thereof shall have been terminated and all guarantees therefor and security therefor shall be released, and the Administrative Agent shall have received pay-off letters in form and substance satisfactory to it evidencing such repayment, termination and release. (iii) PATRIOT Act, etc. (A) The Administrative Agent and the Lenders shall have received, at least five (5) Business Days prior to the Closing Date, all documentation and other information requested by the Administrative Agent or any Lender or required by regulatory authorities in order for the Administrative Agent and the Lenders to comply with requirements of any Anti-Money Laundering Laws, including the PATRIOT Act and any applicable “know your customer” rules and regulations. (B) The Borrower shall have delivered to the Administrative Agent, and directly to any Lender requesting the same, a Beneficial Ownership Certification in relation to it (or a certification that such Borrower qualifies for an express exclusion from the “legal entity customer” definition under the Beneficial Ownership Regulations), in each case at least five (5) Business Days prior to the Closing Date. (iv) GSWC Credit Agreement. The Administrative Agent shall have received evidence that the GSWC Credit Agreement shall be effective substantially simultaneously with this Agreement.


 
62 175130428 (v) Other Documents. All opinions, certificates and other instruments and all proceedings in connection with the transactions contemplated by this Agreement shall be satisfactory in form and substance to the Administrative Agent. The Administrative Agent shall have received copies of all other documents, certificates and instruments reasonably requested thereby, with respect to the transactions contemplated by this Agreement. Without limiting the generality of the provisions of Section 10.3(c) and Section 10.4, for purposes of determining compliance with the conditions specified in this Section 5.1, the Administrative Agent and each Lender that has signed this Agreement shall be deemed to have consented to, approved or accepted or to be satisfied with, each document or other matter required thereunder to be consented to or approved by or acceptable or satisfactory to a Lender unless the Administrative Agent shall have received notice from such Lender prior to the proposed Closing Date specifying its objection thereto. SECTION 5.2 Conditions to All Extensions of Credit. The obligations of the Lenders to make or participate in any Extensions of Credit (including the initial Extension of Credit) and/or any Issuing Lender to issue or extend any Letter of Credit are subject to the satisfaction of the following conditions precedent on the relevant borrowing, issuance or extension date: (a) Continuation of Representations and Warranties. The representations and warranties contained in this Agreement and the other Loan Documents shall be true and correct in all material respects, except for any representation and warranty that is qualified by materiality or reference to Material Adverse Effect, which such representation and warranty shall be true and correct in all respects, on and as of such borrowing, issuance or extension date with the same effect as if made on and as of such date (except for any such representation and warranty that by its terms is made only as of an earlier date, which representation and warranty shall remain true and correct in all material respects as of such earlier date, except for any representation and warranty that is qualified by materiality or reference to Material Adverse Effect, which such representation and warranty shall be true and correct in all respects as of such earlier date). (b) No Existing Default. No Default or Event of Default shall have occurred and be continuing (i) on the borrowing date with respect to such Loan or after giving effect to the Loans to be made on such date or (ii) on the issuance or extension date with respect to such Letter of Credit or after giving effect to the issuance or extension of such Letter of Credit on such date. (c) Notices. The Administrative Agent shall have received a Notice of Borrowing or Letter of Credit Application, as applicable, from the Borrower in accordance with Section 2.3(a), or Section 3.2, as applicable. (d) New Swingline Loans/Letters of Credit. So long as any Lender is a Defaulting Lender, (i) the Swingline Lender shall not be required to fund any Swingline Loans unless it is satisfied that it will have no Fronting Exposure after giving effect to such Swingline Loan and (ii) the Issuing Lenders shall not be required to issue, extend, renew or increase any Letter of Credit unless it is satisfied that it will have no Fronting Exposure after giving effect thereto. Each Notice of Borrowing or Letter of Credit Application, as applicable, submitted by the Borrower shall be deemed to be a representation and warranty that the conditions specified in Sections 5.2(a) and (b) have been satisfied on and as of the date of the applicable Extension of Credit.


 
63 175130428 ARTICLE VI REPRESENTATIONS AND WARRANTIES OF THE BORROWER To induce the Administrative Agent and Lenders to enter into this Agreement and to induce the Lenders to make Extensions of Credit, the Borrower hereby represents and warrants to the Administrative Agent and the Lenders both before and after giving effect to the transactions contemplated hereunder, which representations and warranties shall be deemed made on the Closing Date and as otherwise set forth in Section 5.2, that: SECTION 6.1 Organization; Power; Qualification. The Borrower and each Subsidiary (other than any Excluded Subsidiary) (a) is duly organized, validly existing and in good standing (to the extent the concept is applicable in such jurisdiction) under the laws of the jurisdiction of its incorporation or formation, (b) has the power and authority to own its Properties and to carry on its business as now being and hereafter proposed to be conducted, except where the failure to do so could not, individually or in the aggregate, reasonably be expected to result in a Material Adverse Effect, and (c) is duly qualified and authorized to do business in each jurisdiction in which the character of its Properties or the nature of its business requires such qualification and authorization except in jurisdictions where the failure to be so qualified or in good standing could not, individually or in the aggregate, reasonably be expected to result in a Material Adverse Effect. The jurisdictions in which the Borrower and each Subsidiary (other than any Excluded Subsidiary) are organized and qualified to do business as of the Closing Date are described on Schedule 6.1. Neither the Borrower nor any Subsidiary is an Affected Financial Institution or a Covered Party. SECTION 6.2 Ownership. Each Subsidiary of the Borrower as of the Closing Date is listed on Schedule 6.2. As of the Closing Date, the capitalization of the Borrower and its Subsidiaries consists of the number of shares, authorized, issued and outstanding, of such classes and series, with or without par value, described on Schedule 6.2. All outstanding shares have been duly authorized and validly issued and are fully paid and nonassessable and not subject to any preemptive or similar rights, except as described in Schedule 6.2. As of the Closing Date, there are no outstanding stock purchase warrants, subscriptions, options, securities, instruments or other rights of any type or nature whatsoever, which are convertible into, exchangeable for or otherwise provide for or require the issuance of Equity Interests of the Borrower or any Subsidiary, except as described on Schedule 6.2. SECTION 6.3 Authorization; Enforceability. The Borrower has the right, power and authority and has taken all necessary corporate and other action to authorize the execution, delivery and performance of this Agreement and each of the other Loan Documents to which it is a party in accordance with their respective terms. This Agreement and each of the other Loan Documents have been duly executed and delivered by the duly authorized officers of the Borrower, and each such document constitutes the legal, valid and binding obligation of the Borrower, enforceable in accordance with its terms, except as such enforceability may be limited by bankruptcy, insolvency, reorganization, moratorium or similar state or federal Debtor Relief Laws from time to time in effect which affect the enforcement of creditors’ rights in general and the availability of equitable remedies. SECTION 6.4 Compliance of Agreement, Loan Documents and Borrowing with Laws, Etc. The execution, delivery and performance by the Borrower of the Loan Documents, in accordance with their respective terms, the Extensions of Credit hereunder and the transactions contemplated hereby or thereby do not and will not, by the passage of time, the giving of notice or otherwise, (a) require any Governmental Approval or violate any Applicable Law relating to the Borrower, (b) conflict with, result in a breach of or constitute a default under the Organizational Documents of the Borrower, (c) conflict with, result in a breach of or constitute a default under any indenture, agreement or other instrument to which the Borrower


 
64 175130428 is a party or by which any of its properties may be bound or any Governmental Approval relating to the Borrower, (d) result in or require the creation or imposition of any Lien upon or with respect to any property now owned or hereafter acquired by the Borrower other than Permitted Liens or (e) require the Borrower to obtain any consent or authorization of, or make any filing with, or take another act in respect of, an arbitrator or Governmental Authority and no consent of any other Person that would affect the execution, delivery, performance, validity or enforceability of this Agreement. SECTION 6.5 Compliance with Law; Governmental Approvals. The Borrower and each Subsidiary (other than any Excluded Subsidiary) (a) has all Governmental Approvals required by any Applicable Law for it to conduct its business, each of which is in full force and effect, is final and not subject to review on appeal and is not the subject of any pending or, to its knowledge, threatened attack by direct or collateral proceeding, (b) is in compliance with each Governmental Approval applicable to it and in compliance with all other Applicable Laws relating to it or any of its respective properties and (c) has timely filed all material reports, documents and other materials required to be filed by it under all Applicable Laws with any Governmental Authority and has retained all material records and documents required to be retained by it under Applicable Law, except in each case of clauses (a), (b) or (c) where the failure to have, comply or file or retain could not, individually or in the aggregate, reasonably be expected to have a Material Adverse Effect. SECTION 6.6 Tax Returns and Payments. The Borrower and each Subsidiary (other than any Excluded Subsidiary) (a) has duly filed or caused to be filed all federal, state and other material tax returns required by Applicable Law to be filed, and (b) has paid, or made adequate provision for the payment of, all federal, state and other material taxes, assessments and governmental charges or levies upon it and its property, income, profits and assets which are due and payable (other than, with respect to clause (b) only, (i) any amount the validity of which is currently being contested in good faith by appropriate proceedings and with respect to which reserves in conformity with GAAP have been provided for on the books of the Borrower or (ii) to the extent that the failure to do so could not, individually or in the aggregate, reasonably be expected to have a Material Adverse Effect). SECTION 6.7 Intellectual Property Matters. The Borrower and each Subsidiary (other than any Excluded Subsidiary) owns or possesses rights to use all material licenses, copyrights, patents, patent rights or licenses, trademarks, trademark rights, service marks, service mark rights, trade names, trade name rights, and other rights with respect to the foregoing which are necessary to conduct its business. To the knowledge of Borrower, (a) no event has occurred which permits, or after notice or lapse of time or both would permit, the revocation or termination of any such rights, and (b) neither the Borrower nor any Subsidiary (other than any Excluded Subsidiary) is liable to any Person for infringement under Applicable Law with respect to any such rights as a result of its business operations, in each case of (a) and (b) except as could not reasonably be expected, individually or in the aggregate, to have a Material Adverse Effect. SECTION 6.8 Environmental Matters. Except as described in Schedule 6.8: (a) Neither the Borrower nor any of its Subsidiaries (other than any Excluded Subsidiary) at any time has disposed of, discharged, released or threatened the release of any Hazardous Materials on, from or under the Real Property in violation of any Hazardous Materials Law that would individually or in the aggregate constitute a Material Adverse Effect, (b) no condition exists that violates any Hazardous Material Law affecting any Real Property except for such violations that would not individually or in the aggregate constitute a Material Adverse Effect,


 
65 175130428 (c) no Real Property or any portion thereof is or has been utilized by the Borrower or any Subsidiary (other than any Excluded Subsidiary) as a site for the manufacture of any Hazardous Materials and (d) to the extent that any Hazardous Materials are used, generated or stored by the Borrower or any Subsidiary (other than any Excluded Subsidiary) on any Real Property, or transported to or from such Real Property by the Borrower, or any Subsidiary (other than any Excluded Subsidiary), such use, generation, storage and transportation are in compliance with all Hazardous Materials Laws except for such non-compliance that would not individually or in the aggregate constitute a Material Adverse Effect. SECTION 6.9 Employee Benefit Matters. (a) As of the Closing Date, neither the Borrower nor any ERISA Affiliate maintains or contributes to, or has any obligation under, any Employee Benefit Plans other than those identified on Schedule 6.9. (b) The Borrower and each ERISA Affiliate is in compliance with all applicable provisions of ERISA, the Code and the regulations and published interpretations thereunder with respect to all Employee Benefit Plans except for any required amendments for which the remedial amendment period as defined in Section 401(b) of the Code has not yet expired and except where a failure to so comply would not, individually or in the aggregate, reasonably be expected to have a Material Adverse Effect. Except where a failure to be so qualified would not, individually or in the aggregate, reasonably be expected to have a Material Adverse Effect, each Employee Benefit Plan that is intended to be qualified under Section 401(a) of the Code has been determined by the IRS to be so qualified, and each trust related to such plan has been determined to be exempt under Section 501(a) of the Code except for such plans that have not yet received determination letters but for which the remedial amendment period for submitting a determination letter has not yet expired. No liability has been incurred by the Borrower or any ERISA Affiliate which remains unsatisfied for any taxes or penalties assessed with respect to any Employee Benefit Plan or any Multiemployer Plan except for a liability that could not, individually or in the aggregate, reasonably be expected to have a Material Adverse Effect. (c) As of the Closing Date, no Pension Plan has been terminated, nor has any Pension Plan become subject to funding based upon benefit restrictions under Section 436 of the Code. Except as would not reasonably be expected, individually or in the aggregate, to have a Material Adverse Effect, no funding waiver from the IRS been received or requested with respect to any Pension Plan, nor has the Borrower or any ERISA Affiliate failed to make any contributions or to pay any amounts due and owing as required by Sections 412 or 430 of the Code, Section 302 of ERISA or the terms of any Pension Plan on or prior to the due dates of such contributions under Sections 412 or 430 of the Code or Section 302 of ERISA, nor has there been any event requiring any disclosure under Section 4041(c)(3)(C) or 4063(a) of ERISA with respect to any Pension Plan. (d) Except where the failure of any of the following representations to be correct could not, individually or in the aggregate, reasonably be expected, individually or in the aggregate, to have a Material Adverse Effect, neither the Borrower nor any ERISA Affiliate has: (i) engaged in a nonexempt prohibited transaction described in Section 406 of the ERISA or Section 4975 of the Code, (ii) incurred any liability to the PBGC which remains outstanding other than the payment of premiums and there are no premium payments which are due and unpaid, (iii) failed to make a required contribution or payment to a Multiemployer Plan, or (iv) failed to make a required installment or other required payment under Sections 412 or 430 of the Code.


 
66 175130428 (e) No Termination Event has occurred or, to the Borrower’s knowledge, is reasonably expected to occur. (f) Except where the failure of any of the following representations to be correct could not, individually or in the aggregate, reasonably be expected, individually or in the aggregate, to have a Material Adverse Effect, no proceeding, claim (other than a benefits claim in the ordinary course of business), lawsuit and/or investigation is existing or, to its knowledge, threatened concerning or involving (i) any employee welfare benefit plan (as defined in Section 3(1) of ERISA) currently maintained or contributed to by the Borrower or any ERISA Affiliate, (ii) any Pension Plan or (iii) any Multiemployer Plan. (g) As of the Closing Date, the Borrower is not nor will be using “plan assets” (within the meaning of 29 CFR § 2510.3-101, as modified by Section 3(42) of ERISA) of one or more Benefit Plans in connection with the Loans, the Letters of Credit or the Commitments. SECTION 6.10 Margin Stock. Neither the Borrower nor any Subsidiary thereof is engaged principally or as one of its activities in the business of extending credit for the purpose of “purchasing” or “carrying” any “margin stock” (as each such term is defined or used, directly or indirectly, in Regulation U of the FRB). Following the application of the proceeds of each Extension of Credit, not more than twenty- five percent (25%) of the value of the assets (either of the Borrower only or of the Borrower and its Subsidiaries on a Consolidated basis) subject to the provisions of Section 8.2 or Section 8.5 or subject to any restriction contained in any agreement or instrument between the Borrower and any Lender or any Affiliate of any Lender relating to Indebtedness in excess of the Threshold Amount will be “margin stock”. SECTION 6.11 Government Regulation. Neither the Borrower nor any Subsidiary thereof is an “investment company” or a company “controlled” by an “investment company” (as each such term is defined or used in the Investment Company Act). SECTION 6.12 Employee Relations. The Borrower knows of no pending, threatened or contemplated strikes, work stoppage or other collective labor disputes involving its employees or those of its Subsidiaries (other than any Excluded Subsidiary) that, individually or in the aggregate, would reasonably be expected to have a Material Adverse Effect. SECTION 6.13 Financial Statements. The audited and unaudited financial statements delivered pursuant to Section 5.1(d)(i) are complete and correct and fairly present in all material respect on a Consolidated basis the assets, liabilities and financial position of the Borrower and its Subsidiaries or the Consolidated Group, as the case may be, as at such dates, and the results of the operations and changes of financial position for the periods then ended (other than customary year-end adjustments for unaudited financial statements and the absence of footnotes from unaudited financial statements). All such financial statements, including the related schedules and notes thereto, have been prepared in accordance with GAAP, except as otherwise expressly noted therein. Such financial statements show all material indebtedness and other material liabilities, direct or contingent, of the Borrower and its Subsidiaries or the Consolidated Group, as the case may be, as of the date thereof, including material liabilities for taxes, material commitments, and Indebtedness, in each case, to the extent required to be disclosed under GAAP. The projections delivered pursuant to Section 5.1(d)(ii) were prepared in good faith on the basis of the assumptions stated therein, which assumptions were believed to be reasonable by the Borrower at the time in light of the circumstances in which such projections were submitted (it being recognized by the Lenders that projections are not to be viewed as facts, that there can be no guarantee or assurance that any or all of the projections may or can be realized, that the actual results during the period or periods covered by such projections may vary from such projections, and such variance may be material).


 
67 175130428 SECTION 6.14 No Material Adverse Change. Since December 31, 2022, no event has occurred or condition arisen, either individually or in the aggregate, that could reasonably be expected to have a Material Adverse Effect. SECTION 6.15 Solvency. The Borrower, together with its Subsidiaries, on a Consolidated basis, is Solvent. SECTION 6.16 Title to Properties. Except as set forth on Schedule 6.16, the Borrower and each Subsidiary (other than any Excluded Subsidiary) has good record and marketable title in fee simple to, or valid leasehold interests in, all real property and valid and legal title to all of its personal property and assets, in each case necessary or used in the ordinary conduct of its business, except for such defects in title as could not, individually or in the aggregate, reasonably be expected to have a Material Adverse Effect. The property of the Borrower and its Subsidiaries (other than any Excluded Subsidiary) is subject to no Liens, other than Permitted Liens. SECTION 6.17 Litigation. There are no actions, suits or proceedings pending nor, to its knowledge, threatened against or in any other way relating adversely to or affecting the Borrower or any Subsidiary (other than any Excluded Subsidiary) or any of their respective properties in any court or before any arbitrator of any kind or before or by any Governmental Authority that would reasonably be expected to have a Material Adverse Effect. SECTION 6.18 Anti-Corruption Laws; Anti-Money Laundering Laws and Sanctions. (a) None of (i) the Borrower, any Subsidiary or, to the knowledge of the Borrower or such Subsidiary, any of their respective directors, officers, employees or Affiliates, or (ii) to the knowledge of the Borrower, any agent or representative of the Borrower or any Subsidiary that will act in any capacity in connection with or benefit from the Credit Facility, (A) is a Sanctioned Person or currently the subject or target of any Sanctions, (B) has its assets located in a Sanctioned Country, (C) is under administrative, civil or criminal investigation for an alleged violation of, or received notice from or made a voluntary disclosure to any governmental entity regarding a possible violation of, Anti-Corruption Laws, Anti-Money Laundering Laws or Sanctions by a governmental authority that enforces Sanctions or any Anti-Corruption Laws or Anti-Money Laundering Laws, or (D) directly or indirectly derives revenues from investments in, or transactions with, Sanctioned Persons. (b) Each of the Borrower and its Subsidiaries has implemented and maintains in effect policies and procedures designed to ensure compliance by the Borrower and its Subsidiaries and their respective directors, officers, employees, agents and Affiliates with all Anti-Corruption Laws, Anti-Money Laundering Laws and applicable Sanctions. (c) Each of the Borrower and its Subsidiaries, and to the knowledge of the Borrower, director, officer, employee, agent and Affiliate of Borrower and each such Subsidiary, is in compliance with all Anti- Corruption Laws, Anti-Money Laundering Laws in all material respects and applicable Sanctions. (d) No proceeds of any Extension of Credit have been used, directly or indirectly, by the Borrower, any of its Subsidiaries or any of its or their respective directors, officers, employees and agents in violation of Section 7.13(b). SECTION 6.19 Absence of Defaults. No Default or Event of Default has occurred or is continuing. No event has occurred or is continuing which constitutes, or which with the passage of time or giving of notice or both would constitute, a default or event of default by the Borrower or any Subsidiary (other than any Excluded Subsidiary) under any judgment, decree or order to which the Borrower or any


 
68 175130428 Subsidiary (other than any Excluded Subsidiary) is a party or by which the Borrower or any Subsidiary (other than any Excluded Subsidiary) may be bound that, in any case, could, either individually or in the aggregate, reasonably be expected to have a Material Adverse Effect. SECTION 6.20 Disclosure. The Borrower and/or its Subsidiaries (other than any Excluded Subsidiary) have disclosed to the Administrative Agent and the Lenders all agreements, instruments and corporate or other restrictions to which the Borrower and any Subsidiary (other than any Excluded Subsidiary) are subject, and all other matters known to them, that, individually or in the aggregate, could reasonably be expected to result in a Material Adverse Effect. No financial statement, material report, material certificate or other material information furnished (whether in writing or orally) by or on behalf of the Borrower or any Subsidiary to the Administrative Agent or any Lender in connection with the transactions contemplated hereby and the negotiation of this Agreement or delivered hereunder (as modified or supplemented by other information so furnished), taken together as a whole, contains any untrue statement of a material fact or omits to state any material fact necessary to make the statements therein, in the light of the circumstances under which they were made, not misleading in any material respect; provided that, with respect to projected financial information, pro forma financial information, estimated financial information and other projected or estimated information (collectively, the “Projections”), such Projections were prepared in good faith based upon assumptions believed by the Borrower to be reasonable at the time (it being recognized by the Lenders that projections are not to be viewed as facts, that there can be no guarantee or assurance that any or all of the Projections may or can be realized, that the actual results during the period or periods covered by such Projections may vary from such Projections, and such variance may be material) in light of the circumstances in which such Projections were submitted. As of the Closing Date, all of the information included in the Beneficial Ownership Certification is true and correct. ARTICLE VII AFFIRMATIVE COVENANTS Until all of the Obligations (other than contingent indemnification obligations not then due) have been paid and satisfied in full in cash, all Letters of Credit have been terminated or expired (or been Cash Collateralized) and the Commitments terminated, the Borrower will, and will cause each of its Subsidiaries (other than any Excluded Subsidiary) to: SECTION 7.1 Financial Statements and Budgets. Deliver to the Administrative Agent, in form and detail reasonably satisfactory to the Administrative Agent (which shall promptly make such information available to the Lenders in accordance with its customary practice): (a) Annual Financial Statements. As soon as available and in any event within fifteen (15) days after the date on which Consolidated financial statements for each Fiscal Year are required to be delivered to the SEC under the Exchange Act (or, if financial statements are not required to be delivered to the SEC, then within ninety (90) days after the end of each Fiscal Year) (commencing with the Fiscal Year ended December 31, 2023): (i) a Consolidated and consolidating balance sheet of the Borrower and its Subsidiaries as at the end of such Fiscal Year, and the related Consolidated and consolidating statements of income or operations, changes in shareholders’ equity, and cash flows for such Fiscal Year, setting forth in each case in comparative form the corresponding figures as of the end of and for the preceding Fiscal Year, all in reasonable detail and prepared in accordance with GAAP, such Consolidated statements to be audited and accompanied by a report and opinion of an independent certified public accountant of nationally recognized standing reasonably acceptable to the Required Lenders (it being understood and agreed that any of Deloitte, PwC, Ernst & Young, KPMG, BDO


 
69 175130428 USA, RSM US, Baker Tilly and Crowe are deemed acceptable), which report and opinion shall be prepared in accordance with generally accepted auditing standards and shall not be subject to any “going concern” or like qualification or exception or any qualification or exception as to the scope of such audit (other than, in each case, any qualification, exception or concern with respect to the maturity of the Credit Facility), and such consolidating statements to be certified by the chief executive officer, chief financial officer, treasurer or controller of the Borrower to the effect that such statements are fairly stated in all material respects when considered in relation to the Consolidated financial statements of the Borrower and its Subsidiaries; and (ii) a company-prepared Consolidated and consolidating balance sheet of the Consolidated Group as at the end of such Fiscal Year, and the related Consolidated and consolidating statements of income or operations, changes in shareholders’ equity, and cash flows for such Fiscal Year, setting forth in each case in comparative form the corresponding figures as of the end of and for the preceding Fiscal Year, all in reasonable detail and prepared in accordance with GAAP, such Consolidated statements to be certified by the chief executive officer, chief financial officer, treasurer or controller of the Borrower as fairly presenting the financial condition, results of operations, shareholders’ equity and cash flows of the Consolidated Group on a Consolidated basis in accordance with GAAP, and such consolidating statements to be certified by the chief executive officer, chief financial officer, treasurer or controller of the Borrower to the effect that such statements are fairly stated in all material respects when considered in relation to the Consolidated financial statements of the Consolidated Group. (b) Quarterly Financial Statements. As soon as available and in any event within fifteen (15) days after the date on which Consolidated financial statements for each of the first three (3) fiscal quarters of each Fiscal Year are required to be delivered to the SEC under the Exchange Act (or, if financial statements are not required to be delivered by the SEC, then within forty-five (45) days after the end of such fiscal quarter of the Borrower) (commencing with the fiscal quarter ended June 30, 2023): (i) a company-prepared Consolidated and consolidating balance sheet of the Borrower and its Subsidiaries as at the end of such fiscal quarter, and the related Consolidated and consolidating statements of income or operation for such fiscal quarter and for the portion of the Fiscal Year then ended, and the related Consolidated and consolidating statements of cash flow for the portion of the Fiscal Year then ended, setting forth in each case in comparative form, as applicable, the corresponding figures as of the end of and for the corresponding period in the preceding Fiscal Year, all in reasonable detail and prepared on a Consolidated basis in accordance with GAAP, such Consolidated statements to be certified by the chief executive officer, chief financial officer, treasurer or controller of the Borrower as fairly presenting the financial condition, results of operations and cash flows of the Borrower and its Subsidiaries on a Consolidated basis in accordance with GAAP, subject to normal year-end adjustments and the absence of footnotes, and such consolidating statements to be certified by the chief executive officer, chief financial officer, treasurer or controller of the Borrower to the effect that such statements are fairly stated in all material respects when considered in relation to the Consolidated financial statements of the Borrower and its Subsidiaries; and (ii) a company-prepared Consolidated and consolidating balance sheet of the Consolidated Group as at the end of such fiscal quarter, and the related Consolidated and consolidating statements of income or operations for such fiscal quarter and for the portion of the Fiscal Year then ended, and the related Consolidated and consolidating statements of cash flow for the portion of the Fiscal Year then ended, setting forth in each case in comparative form, as applicable, the corresponding figures as of the end of and for the corresponding period in the preceding Fiscal Year, all in reasonable detail and prepared in accordance with GAAP, such


 
70 175130428 Consolidated statements to be certified by the chief executive officer, chief financial officer, treasurer or controller of the Borrower as fairly presenting the financial condition, results of operations and cash flows of the Consolidated Group on a Consolidated basis in accordance with GAAP, subject to normal year-end adjustments and the absence of footnotes, and such consolidating statements to be certified by the chief executive officer, chief financial officer, treasurer or controller of the Borrower to the effect that such statements are fairly stated in all material respects when considered in relation to the Consolidated financial statements of the Consolidated Group. (c) Annual Business Plan and Budget. As soon as available, but in any event by April 30 of each year, an annual business plan and budget of the Consolidated Group on a Consolidated and consolidating basis, including forecasts prepared by management of the Borrower of Consolidated and consolidating balance sheets and statements of income or operations and cash flows of the Consolidated Group on a quarterly basis for the immediately following fiscal year (including the fiscal year in which the Maturity Date occurs). SECTION 7.2 Certificates; Other Reports. Deliver to the Administrative Agent (which shall promptly make such information available to the Lenders in accordance with its customary practice): (a) at each time financial statements are delivered pursuant to Sections 7.1(a) or (b) and at such other times as the Administrative Agent shall reasonably request, a duly completed Compliance Certificate that, among other things, (i) states that no Default or Event of Default is continuing as of the date of delivery of such Compliance Certificate or, if a Default or Event of Default is continuing, states the nature thereof and the action that the Borrower proposes to take with respect thereto and (ii) demonstrates compliance with the financial covenant set forth in Section 8.11 with respect to the fiscal period covered by such financial statements; (b) promptly upon receipt thereof, copies of all reports, if any, submitted to the Borrower, any Subsidiary (other than any Excluded Subsidiary) or any of their respective boards of directors by their respective independent public accountants in connection with their auditing function, including any management report and any management responses thereto; (c) promptly after the furnishing thereof, copies of any notice of default or event of default issued in connection with any Indebtedness of the Borrower or any Subsidiary (other than any Excluded Subsidiary) in excess of the Threshold Amount pursuant to the terms of any indenture, loan or credit or similar agreement; (d) promptly after the assertion or occurrence thereof, notice of any action or proceeding against or of any noncompliance by the Borrower or any Subsidiary (other than any Excluded Subsidiary) with any Environmental Law that would reasonably be expected to have a Material Adverse Effect; (e) promptly after the same are available, copies of each annual report, proxy or financial statement or other report or communication sent to the shareholders of the Borrower, and copies of all annual, regular, periodic and special reports and registration statements which the Borrower may file or be required to file with the SEC under Section 13 or 15(d) of the Exchange Act, or with any national securities exchange, and in any case not otherwise required to be delivered to the Administrative Agent pursuant hereto; (f) promptly, and in any event within five (5) Business Days after receipt thereof by the Borrower or any Subsidiary, copies of each notice or other correspondence received from the SEC (or comparable agency in any applicable non-U.S. jurisdiction) concerning any investigation or possible


 
71 175130428 investigation or other inquiry by such agency regarding financial or other operational results of the Borrower or any Subsidiary; (g) promptly upon the request thereof, such other information and documentation required under applicable “know your customer” rules and regulations, the PATRIOT Act or any applicable Anti- Money Laundering Laws or Anti-Corruption Laws, in each case as from time to time reasonably requested by the Administrative Agent or any Lender; and (h) such other information regarding the operations, business affairs and financial condition of the Borrower or any Subsidiary thereof as the Administrative Agent or any Lender may reasonably request. Documents required to be delivered pursuant to Section 7.1(a) or (b) or Section 7.2(f) (to the extent any such documents are included in materials otherwise filed with the SEC) may be delivered electronically and if so delivered, shall be deemed to have been delivered on the date (i) on which the Borrower posts such documents, or provides a link thereto on the Borrower’s website on the Internet; or (ii) on which such documents are posted on the Borrower’s behalf on an Internet or intranet website, if any, to which each Lender and the Administrative Agent have access (whether a commercial, third-party website or whether sponsored by the Administrative Agent); provided that: (i) the Borrower shall deliver paper copies of such documents to the Administrative Agent or any Lender that requests the Borrower to deliver such paper copies until a written request to cease delivering paper copies is given by the Administrative Agent or such Lender and (ii) the Borrower shall notify the Administrative Agent and each Lender (by facsimile or electronic mail) of the posting of any such documents and provide to the Administrative Agent by electronic mail electronic versions of such documents. Notwithstanding anything contained herein, in every instance the Borrower shall be required to provide copies of the Compliance Certificates required by Section 7.2 to the Administrative Agent in accordance with the procedures set forth in Section 11.1. Except for such Compliance Certificates, the Administrative Agent shall have no obligation to request the delivery or to maintain copies of the documents referred to above, and in any event shall have no responsibility to monitor compliance by the Borrower with any such request for delivery, and each Lender shall be solely responsible for requesting delivery to it or maintaining its copies of such documents. The Borrower hereby acknowledges that (a) the Administrative Agent and/or the Arrangers will make available to the Lenders and the Issuing Lenders materials and/or information provided by or on behalf of the Borrower hereunder (collectively, “Borrower Materials”) by posting the Borrower Materials on the Platform and (b) certain of the Lenders may be “public-side” Lenders (i.e., Lenders that do not wish to receive material non-public information with respect to the Borrower or its securities) (each, a “Public Lender”). The Borrower hereby agrees that it will use commercially reasonable efforts to identify that portion of the Borrower Materials that may be distributed to the Public Lenders and that (w) all such Borrower Materials shall be clearly and conspicuously marked “PUBLIC” which, at a minimum, means that the word “PUBLIC” shall appear prominently on the first page thereof; (x) by marking Borrower Materials “PUBLIC,” the Borrower shall be deemed to have authorized the Administrative Agent, the Arrangers, the Issuing Lenders and the Lenders to treat such Borrower Materials as not containing any material non-public information (although it may be sensitive and proprietary) with respect to the Borrower or its securities for purposes of United States federal and state securities laws (provided, however, that to the extent such Borrower Materials constitute Information, they shall be treated as set forth in Section 11.10); (y) all Borrower Materials marked “PUBLIC” are permitted to be made available through a portion of the Platform designated “Public Investor;” and (z) the Administrative Agent and the Arrangers shall be entitled to treat any Borrower Materials that are not marked “PUBLIC” as being suitable only for posting on a portion of the Platform not designated “Public Investor.” SECTION 7.3 Notice of Litigation and Other Matters. Promptly (but in no event later than five (5) Business Days after any Responsible Officer of the Borrower obtains knowledge thereof) notify


 
72 175130428 the Administrative Agent in writing of (which shall promptly make such information available to the Lenders in accordance with its customary practice): (a) the occurrence of any Default or Event of Default; (b) the commencement of all proceedings and investigations by or before any Governmental Authority and all actions and proceedings in any court or before any arbitrator against or involving the Borrower or any Subsidiary (other than an Excluded Subsidiary) or any of their respective properties, assets or businesses in each case that if adversely determined would reasonably be expected to result in a Material Adverse Effect; (c) any notice of any violation received by the Borrower or any Subsidiary (other than any Excluded Subsidiary) from any Governmental Authority including any notice of violation of Environmental Laws which in any such case could reasonably be expected to have a Material Adverse Effect; (d) any labor controversy that has resulted in, or threatens to result in, a strike or other labor disruption against the Borrower or any Subsidiary (other than any Excluded Subsidiary), which in any such case has or could reasonably be expected to have a Material Adverse Effect; (e) any attachment, judgment, lien, levy or order exceeding the Threshold Amount that may be assessed against or threatened against the Borrower or any Subsidiary (other than any Excluded Subsidiary); (f) (i) any unfavorable determination letter from the IRS regarding the qualification of an Employee Benefit Plan under Section 401(a) of the Code (along with a copy thereof), (ii) all notices received by the Borrower or any ERISA Affiliate of the PBGC’s intent to terminate any Pension Plan or to have a trustee appointed to administer any Pension Plan, (iii) all notices received by the Borrower or any ERISA Affiliate from a Multiemployer Plan sponsor concerning the imposition or amount of withdrawal liability pursuant to Section 4202 of ERISA and (iv) the Borrower obtaining knowledge that it or any ERISA Affiliate has filed or intends to file a notice of intent to terminate any Pension Plan under a distress termination within the meaning of Section 4041(c) of ERISA; and (g) any announcement by Moody’s or S&P of any change in a Debt Rating. Each notice pursuant to Section 7.3 (other than Section 7.3(g)) shall be accompanied by a statement of a Responsible Officer of the Borrower setting forth details of the occurrence referred to therein and stating what action the Borrower has taken and proposes to take with respect thereto. Each notice pursuant to Section 7.3(a) shall describe with particularity any and all provisions of this Agreement and any other Loan Document that have been breached. SECTION 7.4 Preservation of Corporate Existence and Related Matters. Except as permitted by Section 8.4, preserve and maintain its separate corporate existence or equivalent form and all rights, licenses and privileges necessary to the conduct of its business, and qualify and remain qualified as a foreign corporation or other entity and authorized to do business in each jurisdiction in which the failure to so qualify could reasonably be expected to have a Material Adverse Effect. SECTION 7.5 Maintenance of Property and Licenses. (a) Protect and preserve all Properties necessary in and material to its business, including copyrights, patents, trade names, service marks and trademarks; maintain in good working order and condition, ordinary wear and tear excepted, all buildings, equipment and other tangible real and personal


 
73 175130428 property; and from time to time make or cause to be made all repairs, renewals and replacements thereof and additions to such Property necessary for the conduct of its business, so that the business carried on in connection therewith may be conducted in a commercially reasonable manner, in each case, except as such action or inaction would not, individually or in the aggregate, reasonably be expected to result in a Material Adverse Effect. (b) Maintain, in full force and effect in all material respects, each and every material license, permit, certification, qualification, approval or franchise issued by any Governmental Authority required for each of them to conduct their respective businesses as presently conducted, except where the failure to do so would not, individually or in the aggregate, reasonably be expected to have a Material Adverse Effect. SECTION 7.6 Insurance. Maintain insurance with financially sound and reputable insurance companies against at least such risks and in at least such amounts as are customarily maintained by similar businesses and as may be required by Applicable Law. SECTION 7.7 Accounting Methods and Financial Records. Maintain a system of accounting, and keep proper books, records and accounts (which shall be accurate and complete in all material respects) as may be required or as may be necessary to permit the preparation of financial statements in accordance in all material respects with GAAP and in compliance with the regulations of any Governmental Authority having jurisdiction over it or any of its Properties. SECTION 7.8 Payment of Taxes and Other Obligations. Pay and perform (a) all taxes, assessments and other governmental charges that may be levied or assessed upon it or any of its Property and (b) all other Indebtedness, obligations and liabilities in accordance with customary trade practices; except where (i) the same are being contested in good faith by appropriate proceedings diligently conducted and adequate reserves are being maintained by the Borrower or (ii) the failure to pay or perform such items described in clauses (a) or (b) of this Section would not, individually or in the aggregate, reasonably be expected to have a Material Adverse Effect. SECTION 7.9 Compliance with Laws and Approvals. Observe and remain in compliance with all Applicable Laws and maintain in full force and effect all Governmental Approvals, in each case applicable to the conduct of its business except where the failure to do so could not, either individually or in the aggregate, reasonably be expected to have a Material Adverse Effect. SECTION 7.10 Environmental Laws. In addition to and without limiting the generality of Section 7.9, (a) comply with, and ensure such compliance by all tenants and subtenants with all applicable Environmental Laws and obtain and comply with and maintain, and ensure that all tenants and subtenants, if any, obtain and comply with and maintain, any and all licenses, approvals, notifications, registrations or permits required by applicable Environmental Laws, except where the failure to do so could not, either individually or in the aggregate, reasonably be expected to have a Material Adverse Effect, and (b) conduct and complete all investigations, studies, sampling and testing, and all remedial, removal and other actions required under Environmental Laws, and promptly comply with all lawful orders and directives of any Governmental Authority regarding Environmental Laws. SECTION 7.11 Compliance with ERISA. In addition to and without limiting the generality of Section 7.9, (a) except where the failure to so comply could not, individually or in the aggregate, reasonably be expected to have a Material Adverse Effect, (i) comply with applicable provisions of ERISA, the Code and the regulations and published interpretations thereunder with respect to all Employee Benefit Plans, (ii) not take any action or fail to take action the result of which could reasonably be expected to result in a liability to the PBGC or to a Multiemployer Plan, (iii) not participate in any prohibited transaction that could result in any civil penalty under ERISA or tax under the Code and (iv) operate each Employee Benefit


 
74 175130428 Plan in such a manner that will not incur any tax liability under Section 4980B of the Code or any liability to any qualified beneficiary as defined in Section 4980B of the Code and (b) furnish to the Administrative Agent upon the Administrative Agent’s request such additional information about any Employee Benefit Plan as may be reasonably requested by the Administrative Agent. SECTION 7.12 Visits and Inspections. Permit representatives of the Administrative Agent or any Lender, from time to time upon prior reasonable notice and at such times during normal business hours, all at the expense of the Borrower, to visit and inspect its properties; inspect, audit and make extracts from its books, records and files, including, but not limited to, management letters prepared by independent accountants; and discuss with its principal officers, and its independent accountants, its business, assets, liabilities, financial condition, results of operations and business prospects; provided that excluding any such visits and inspections during the continuation of an Event of Default, the Administrative Agent shall not exercise such rights more often than once during any calendar year at the Borrower’s expense; provided further that upon the occurrence and during the continuance of an Event of Default, the Administrative Agent or any Lender may do any of the foregoing at the expense of the Borrower at any time without advance notice. SECTION 7.13 Use of Proceeds. (a) Use the proceeds of the Extensions of Credit to (i) refinance the Indebtedness of the Borrower under the Existing Credit Agreement, (ii) pay fees and expenses in connection with the transactions occurring on the Closing Date, and (iii) finance ongoing working capital requirements and other general corporate purposes of the Borrower and its Subsidiaries (other than GSWC and its Subsidiaries and the Excluded Subsidiaries); provided that no part of the proceeds of any of the Loans or Letters of Credit shall be used for purchasing or carrying margin stock (within the meaning of Regulation T, U or X of the FRB) or for any purpose which violates the provisions of Regulation T, U or X of the FRB. (b) Not request any Extension of Credit, and the Borrower shall not use, and shall ensure that its Subsidiaries and its or their respective directors, officers, employees and agents shall not use, the proceeds of any Extension of Credit, directly or indirectly, (i) in furtherance of an offer, payment, promise to pay, or authorization of the payment or giving of money, or anything else of value, to any Person in violation of any Anti-Corruption Laws or Anti-Money Laundering Laws, (ii) for the purpose of funding, financing or facilitating any activities, business or transaction of or with any Sanctioned Person, or in any Sanctioned Country, or (iii) in any manner that would result in the violation of any Sanctions applicable to any party hereto. SECTION 7.14 Compliance with Anti-Corruption Laws; Beneficial Ownership Regulation, Anti-Money Laundering Laws and Sanctions. (a) Maintain in effect and enforce policies and procedures designed to ensure compliance by the Borrower, its Subsidiaries and their respective directors, officers, employees and agents with all Anti-Corruption Laws, Anti-Money Laundering Laws and applicable Sanctions, (b) notify the Administrative Agent and each Lender that previously received a Beneficial Ownership Certification (or a certification that the Borrower qualifies for an express exclusion to the “legal entity customer” definition under the Beneficial Ownership Regulation) of any change in the information provided in the Beneficial Ownership Certification that would result in a change to the list of beneficial owners identified therein (or, if applicable, the Borrower ceasing to fall within an express exclusion to the definition of “legal entity customer” under the Beneficial Ownership Regulation) and (c) promptly upon the reasonable request of the Administrative Agent or any Lender, provide the Administrative Agent or directly to such Lender, as the case may be, any information or documentation requested by it for purposes of complying with the Beneficial Ownership Regulation.


 
75 175130428 SECTION 7.15 Compliance with Material Contracts. Comply in all respects with, and maintain in full force and effect, each contract or agreement, written or oral, of the Borrower or any of its Subsidiaries (other than any Excluded Subsidiary), the breach, non-performance, cancellation or failure to renew of which would reasonably be expected to have a Material Adverse Effect; provided that the Borrower or any such Subsidiary may contest the terms and conditions of any such contract or agreement in good faith through applicable proceedings so long as adequate reserves are maintained in accordance with GAAP. SECTION 7.16 Further Assurances. Execute any and all further documents, agreements and instruments, and take all such further actions, which may be required under any Applicable Law, or which the Administrative Agent or the Required Lenders may reasonably request, to effectuate the transactions contemplated by the Loan Documents, all at the expense of the Borrower. ARTICLE VIII NEGATIVE COVENANTS Until all of the Obligations (other than contingent, indemnification obligations not then due) have been paid and satisfied in full in cash, all Letters of Credit have been terminated or expired (or been Cash Collateralized) and the Commitments terminated, the Borrower will not, and will not permit any of its Subsidiaries (other than any Excluded Subsidiary) to. SECTION 8.1 Indebtedness. Create, incur, assume or suffer to exist any Indebtedness except: (a) the Obligations; (b) Indebtedness owing under Hedge Agreements entered into in order to manage existing or anticipated interest rate, exchange rate or commodity price risks and not for speculative purposes; (c) Indebtedness existing on the Closing Date and listed on Schedule 8.1 and any refinancings, refundings, renewals or extensions thereof; provided that (i) the amount of such Indebtedness is not increased at the time of such refinancing, refunding, renewal or extension except by an amount equal to a reasonable premium or other reasonable amount paid, and fees and expenses reasonably incurred, in connection with such refinancing and by an amount equal to any existing commitments unutilized thereunder and (ii) the terms relating to principal amount, amortization, maturity, collateral (if any) and subordination (if any), and other material terms taken as a whole, of any such refinancing, refunding, renewing or extending Indebtedness, and of any agreement entered into and of any instrument issued in connection therewith, are no less favorable in any material respect to the Borrower or any Subsidiaries (other than any Excluded Subsidiary) or the Lenders than the terms of any agreement or instrument governing the Indebtedness being refinanced, refunded, renewed or extended and the interest rate applicable to any such refinancing, refunding, renewing or extending Indebtedness does not exceed the then applicable market interest rate; (d) Attributable Indebtedness with respect to Capital Lease Obligations and Indebtedness incurred in connection with purchase money Indebtedness in an aggregate principal amount not to exceed $15,000,000 at any time outstanding; (e) Indebtedness of a Person existing at the time such Person became a Subsidiary or assets were acquired from such Person in connection with an Investment permitted pursuant to Section 8.3; provided that (i) such Indebtedness was not incurred in connection with, or in contemplation of, such Person becoming a Subsidiary or the acquisition of such assets, (ii) neither the Borrower nor any Subsidiary (other than such Person or any other Person that such Person merges with or that acquires the assets of such


 
76 175130428 Person) shall have any liability or other obligation with respect to such Indebtedness and (iii) the aggregate principal amount of such Indebtedness does not exceed $10,000,000 at any time outstanding; (f) Guarantees of the Borrower or any Subsidiary in respect of Indebtedness otherwise permitted hereunder of the Borrower or any Wholly-Owned Subsidiary (other than Indebtedness of (i) the Borrower incurred under Section 8.2(n)) below or (ii) any Excluded Subsidiary or GSWC or any of its Subsidiaries); provided, that GSWC and its Subsidiaries may provide Guarantees of any Indebtedness of GSWC; (g) unsecured Indebtedness of the Borrower to a Wholly-Owned Subsidiary (other than any Excluded Subsidiary) or of any Wholly-Owned Subsidiary to the Borrower or another Wholly-Owned Subsidiary (other than any Excluded Subsidiary or GSWC or any of its Subsidiaries); (h) Indebtedness arising from the honoring by a bank or other financial institution of a check, draft or other similar instrument drawn against insufficient funds in the ordinary course of business; (i) Indebtedness from time to time outstanding under the GSWC Credit Agreement and any Guarantee of such Indebtedness (and related obligations) provided by the Borrower in connection therewith; (j) Indebtedness under performance bonds, surety bonds, release, appeal and similar bonds, statutory obligations or with respect to workers’ compensation claims, in each case incurred in the ordinary course of business, and reimbursement obligations in respect of any of the foregoing; (k) unsecured Indebtedness of the Borrower or any Subsidiary (other than any Excluded Subsidiary) not otherwise permitted pursuant to this Section in an aggregate principal amount not to exceed $1,000,000 at any time outstanding; (l) unsecured Indebtedness of GSWC or any of its Subsidiaries incurred after the Closing Date pursuant to Section 8.2(k) of the GSWC Credit Agreement (as in effect on the Closing Date); (m) other Indebtedness in an aggregate principal amount not to exceed $25,000,000 at any time outstanding; and (n) other unsecured Indebtedness of the Borrower so long as (i) immediately before and immediately after giving pro forma effect to the incurrence of any such Indebtedness and the use of proceeds thereof, (A) no Default or Event of Default shall have occurred and be continuing and (B) the Consolidated Group shall be in pro forma compliance with the covenant set forth in Section 8.11, such compliance to be determined on the basis of the financial information most recently delivered to the Administrative Agent pursuant to Section 7.1(a) or (b) as though such Indebtedness was incurred as of the last day of the four consecutive fiscal-quarter period covered thereby, and (ii) such Indebtedness is not Guaranteed by any Subsidiary. SECTION 8.2 Liens. Create, incur, assume or suffer to exist, any Lien on or with respect to any of its Property, whether now owned or hereafter acquired, except: (a) Liens created pursuant to the Loan Documents (including Liens in favor of the Swingline Lender and/or the Issuing Lenders, as applicable, on Cash Collateral granted pursuant to the Loan Documents); (b) Liens in existence on the Closing Date and described on Schedule 8.2, and the replacement, renewal or extension thereof (including Liens incurred, assumed or suffered to exist in connection with any


 
77 175130428 renewal or extension of the obligations secured or benefited thereby permitted pursuant to Section 8.1(c) (solely to the extent that such Liens were in existence on the Closing Date and described on Schedule 8.2)); provided that the scope of any such Lien shall not be increased, or otherwise expanded, to cover any additional property or type of asset, as applicable, beyond that in existence on the Closing Date, except for products and proceeds of the foregoing; (c) Liens for taxes, assessments and other governmental charges or levies (excluding any Lien imposed pursuant to any of the provisions of ERISA or Environmental Laws) (i) not yet due or as to which the period of grace (not to exceed thirty (30) days), if any, related thereto has not expired or (ii) which are being contested in good faith and by appropriate proceedings if adequate reserves are maintained to the extent required by GAAP; (d) the claims of materialmen, mechanics, carriers, warehousemen, processors or landlords for labor, materials, supplies or rentals incurred in the ordinary course of business, which (i) are not overdue for a period of more than thirty (30) days, or if more than thirty (30) days overdue, no action has been taken to enforce such Liens and such Liens are being contested in good faith and by appropriate proceedings if adequate reserves are maintained to the extent required by GAAP and (ii) do not, individually or in the aggregate, materially impair the use thereof in the operation of the business of the Borrower or any of its Subsidiaries; (e) deposits or pledges made in the ordinary course of business in connection with, or to secure payment of, obligations under workers’ compensation (including Liens of judgments thereunder which are not currently dischargeable), unemployment insurance and other types of social security or similar legislation, or to secure the performance of bids, trade contracts and leases (other than Indebtedness), statutory obligations, surety, appeal and customs bonds (other than bonds related to judgments or litigation), performance bonds and other obligations of a like nature incurred in the ordinary course of business, in each case, so long as no foreclosure sale or similar proceeding has been commenced with respect to any material portion of the Property of the Borrower or any Subsidiary on account thereof; (f) encumbrances in the nature of zoning restrictions, easements, reservations, franchises and rights or restrictions of record and agreements on the use of real property or public utility franchises in the nature of easements, either (x) which in the aggregate are not substantial in amount or (y) are for the purpose of joint or common use of property, pipelines, conduits, cables, wire communication lines, power lines and substations, streets, trails, walkways, other public places, drainage, irrigation, water, and sewerage purposes, dikes, canals, ditches, the removal of oil, gas, coal, or other minerals, and other like purposes affecting Property and public utility property in the nature of easements and in each case, which do not, in any case, materially detract from the fair market value of such property or impair the use thereof in the ordinary conduct of business; (g) Liens arising from the filing of precautionary UCC financing statements relating solely to personal property leased pursuant to operating leases entered into in the ordinary course of business; (h) Liens securing Indebtedness permitted under Section 8.1(d); provided that (i) such Liens shall be created substantially simultaneously with the acquisition, repair, construction, improvement or lease, as applicable, of the related Property, (ii) such Liens do not at any time encumber any property other than the Property financed or improved by such Indebtedness, (iii) the amount of Indebtedness secured thereby is not increased and (iv) the principal amount of Indebtedness secured by any such Lien shall at no time exceed one hundred percent (100%) of the original price for the purchase, repair, construction, improvement or lease amount (as applicable) of such Property at the time of purchase, repair, construction, improvement or lease (as applicable);


 
78 175130428 (i) Liens securing judgments for the payment of money not constituting an Event of Default under Section 9.1(l) or securing appeal or other surety bonds relating to such judgments; (j) Liens on Property (i) of a Person that becomes a Subsidiary existing at the time that such Person becomes a Subsidiary in connection with an acquisition permitted hereunder and (ii) of the Borrower or any of its Subsidiaries existing at the time such Property is purchased or otherwise acquired by the Borrower or such Subsidiary pursuant to a transaction permitted hereunder and, in each case any modification, replacement, renewal and extension thereof; provided that, with respect to each of the foregoing clauses (i) and (ii), (A) such Liens are not incurred in connection with, or in anticipation of, such Permitted Acquisition, purchase or other acquisition, (B) such Liens do not encumber any Property other than Property encumbered at the time of such acquisition or such Person becoming a Subsidiary and the proceeds and products thereof and are not all asset Liens, (C) such Liens do not attach to any other Property of the Borrower or any of its Subsidiaries and (D) such Liens will secure only those obligations which it secures at the time such acquisition or purchase occurs; (k) (i) Liens of a collecting bank arising in the ordinary course of business under Section 4- 210 of the Uniform Commercial Code in effect in the relevant jurisdiction, (ii) Liens of any depositary bank in connection with statutory, common law and contractual rights of setoff and recoupment with respect to any deposit account of the Borrower or any Subsidiary and (iii) Liens arising out of conditional sale, title retention, consignment or similar arrangements for the sale of any assets or property in the ordinary course of business; (l) (i) Liens of landlords arising in the ordinary course of business to the extent relating to the property and assets relating to any lease agreements with such landlord, and (ii) Liens of suppliers (including sellers of goods) or customers arising in the ordinary course of business to the extent limited to the property or assets relating to such contract; (m) (i) Liens on Equity Interests of joint ventures securing capital contributions thereto and (ii) rights of first refusal and tag, drag and similar rights in joint venture agreements and agreements with respect to non-Wholly-Owned Subsidiaries; (n) defects and irregularities in title to any Property which in the aggregate do not materially impair the fair market value or use of the Property for the purposes for which it is or may reasonably be expected to be held; (o) rights of tenants under leases and rental agreements covering Property entered into in the ordinary course of business of the Person owning such Property; (p) Liens arising under any Military Utility Privatization; (q) any rights reserved to or vested in any Governmental Authority to control or regulate or obligations or duties owed to a Governmental Authority with respect to the use of any property or any right, power, franchise, grant, license, or permit; (r) non-exclusive licenses and sublicenses of intellectual property rights permitted pursuant to Section 8.5; and (s) (i) leases, licenses, subleases or sublicenses granted to others which do not (A) interfere in any material respect with the business of the Borrower or its Subsidiaries or materially detract from the value of the relevant assets of the Borrower or its Subsidiaries or (B) secure any Indebtedness and (ii) any interest or title of a licensor, sub-licensor, lessor or sub-lessor under leases, licenses, subleases or


 
79 175130428 sublicenses entered into by any of the Borrower and its Subsidiaries as licensee, sub-licensee, lessee or sub- lessee in the ordinary course of business or any customary restriction or encumbrance with respect to the Property subject to any such lease, license, sublease or sublicense. SECTION 8.3 Investments. Make, hold or otherwise permit to exist any Investment, except: (a) Investments in the form of Permitted Acquisitions; (b) Investments existing on the Closing Date and described on Schedule 8.3 and any modification, replacement, renewal or extension thereof so long as such modification, renewal or extension thereof does not increase the amount of such Investment except as otherwise permitted by this Section 8.3; (c) Investments consisting of cash and cash equivalents; (d) Investments consisting of loans and advances to officers, directors and employees of the Borrower and its Subsidiaries for travel, entertainment, relocation, anticipated bonus, exercise of stock options and other ordinary business purposes; provided that the aggregate amount of such Investments does not exceed $1,000,000 at any time outstanding; (e) (i) Investments existing on the Closing Date in Subsidiaries existing on the Closing Date and (ii) Investments of the Borrower in any Wholly-Owned Subsidiary and Investments of any Wholly- Owned Subsidiary in the Borrower or in another Wholly-Owned Subsidiary; provided that no Investments shall be permitted in any Excluded Subsidiary or GSWC or any Subsidiary thereof pursuant to this clause (e)(ii); (f) Investments consisting of the extension of credit to customers or suppliers of the Borrower and its Subsidiaries in the ordinary course of business and any Investments received in satisfaction or partial satisfaction thereof; (g) Investments received in connection with the settlement of a bona fide dispute with another Person; provided that the aggregate amount of such Investments does not exceed $10,000,000 at any time outstanding; (h) Investments representing all or a portion of the sales price of Property sold or services provided to another Person; provided that the aggregate amount of all such Investments does not exceed $5,000,000 at any time outstanding; (i) deposits made in the ordinary course of business to secure the performance of leases or other obligations as permitted by Section 8.2; (j) Hedge Agreements permitted pursuant to Section 8.1; (k) Guarantees permitted pursuant to Section 8.1; (l) Investments in fixed income and equity securities made and to be made by the Borrower or any of its Subsidiaries in a manner consistent with past practice and in accordance with the Borrower’s investment policy in a rabbi trust established to fund GSWC’s obligations under a supplemental pension restoration plan for executive officers of the Borrower and its Subsidiaries (other than any Excluded Subsidiary);


 
80 175130428 (m) the Farm Credit Equities and any other equity interests of, or Investments in, any Farm Credit Lender or their investment services or programs; and (n) Investments not otherwise permitted pursuant to this Section; provided that (i) immediately before and immediately after giving pro forma effect to any such Investments and any Indebtedness incurred in connection therewith, no Default or Event of Default shall have occurred and be continuing and (ii) the Consolidated Group shall be in pro forma compliance with the financial covenant set forth in Section 8.11, such compliance to be determined on the basis of the financial information most recently delivered to the Administrative Agent pursuant to Section 7.1(a) or (b) as though any Indebtedness incurred in connection therewith was incurred as of the last day of the four consecutive fiscal-quarter period covered thereby; and provided further that any Investments made pursuant to this clause (n) in any Excluded Subsidiary or GSWC or any Subsidiary thereof shall be made in the ordinary course of business and shall not constitute Indebtedness of any Excluded Subsidiary or GSWC or any Subsidiary thereof. SECTION 8.4 Fundamental Changes. Merge, consolidate, amalgamate or enter into any similar combination with (including by division), or enter into any Asset Disposition of all or substantially all of its assets (whether in a single transaction or a series of transactions) with, any other Person or liquidate, wind-up or dissolve itself (or suffer any liquidation or dissolution) except: (a) any Subsidiary may merge with (i) the Borrower; provided that the Borrower shall be the continuing or surviving Person, or (ii) any one or more other Subsidiaries (other than an Excluded Subsidiary); provided that when any Wholly-Owned Subsidiary is merging with another Subsidiary, the Wholly-Owned Subsidiary shall be the continuing or surviving Person; (b) any Subsidiary may dispose of all or substantially all of its assets (upon voluntary liquidation, dissolution, winding up, division or otherwise) to the Borrower or any Wholly-Owned Subsidiary (other than any Excluded Subsidiary); (c) Asset Dispositions permitted by Section 8.5 (other than clause (b) thereof); (d) so long as no Default or Event of Default exists or would result therefrom, any Wholly- Owned Subsidiary of the Borrower may merge with or into the Person such Wholly-Owned Subsidiary was formed to acquire in connection with any acquisition permitted hereunder; and (e) so long as no Default or Event of Default exists or would result therefrom, any Person may merge with or into the Borrower or any of its Wholly-Owned Subsidiaries in connection with a Permitted Acquisition; provided that (i) in the case of a merger involving the Borrower or GSWC, the continuing or surviving Person shall be the Borrower or GSWC, as applicable, and (ii) the continuing or surviving Person shall be the Borrower, GSWC or a Wholly-Owned Subsidiary of the Borrower. SECTION 8.5 Asset Dispositions. Make any Asset Disposition except: (a) the sale of inventory in the ordinary course of business; (b) the sale, transfer or other disposition of assets to the Borrower or any Wholly-Owned Subsidiary (other than any Excluded Subsidiary) pursuant to any other transaction permitted pursuant to Section 8.4; (c) the write-off, discount, sale or other disposition of defaulted or past-due receivables and similar obligations in the ordinary course of business and not undertaken as part of an accounts receivable financing transaction;


 
81 175130428 (d) the disposition, termination or unwinding of any Hedge Agreement; (e) dispositions of cash and cash equivalents; (f) Asset Dispositions of equipment or real property to the extent that (i) such equipment is exchanged for credit against the purchase price of similar replacement property or (ii) the proceeds of such Asset Disposition are reasonably promptly applied to the purchase price of such replacement property; (g) Asset Dispositions between or among the Borrower and any Wholly-Owned Subsidiary (other than an Excluded Subsidiary); (h) the sale or other disposition of obsolete, worn-out or surplus assets no longer used or useful in the business of the Borrower or any of its Subsidiaries; (i) non-exclusive licenses and sublicenses of intellectual property rights or the abandonment of intellectual property rights, in each case, in the ordinary course of business not interfering, individually or in the aggregate, in any material respect with the business of the Borrower and its Subsidiaries; (j) leases, subleases, licenses or sublicenses of real or personal property granted by the Borrower or any of its Subsidiaries to others in the ordinary course of business not detracting from the value of such real or personal property or interfering in any material respect with the business of the Borrower or any of its Subsidiaries; (k) Asset Dispositions of property in the form of an Investment permitted pursuant to Section 8.3 (other than clause (h) thereof); (l) Asset Dispositions pursuant to any order of any Governmental Authority in an eminent domain proceeding or condemnation event and any settlement of any such proceeding; (m) Asset Dispositions to the extent required by a Governmental Authority pursuant to or in accordance with a contract, arrangement, covenant or other agreement with a Governmental Authority; and (n) Asset Dispositions not otherwise permitted pursuant to this Section; provided that (i) at the time of such Asset Disposition, no Default or Event of Default shall exist or would result from such Asset Disposition, (ii) such Asset Disposition is made for fair market value as determined in good faith by the Borrower and the consideration received shall be no less than 75% paid in cash and/or Indebtedness or other evidence of an Investment permitted under Section 8.3(h), and (iii) the aggregate fair market value of all property disposed of in reliance on this clause (n) shall not exceed $10,000,000 in the aggregate in any Fiscal Year. SECTION 8.6 Restricted Payments. Declare or make any Restricted Payments; provided that: (a) so long as no Default or Event of Default has occurred and is continuing or would result therefrom, the Borrower or any of its Subsidiaries may declare and pay dividends in shares of its own Qualified Equity Interests; (b) any Subsidiary may declare and make Restricted Payments to the Borrower or any Wholly- Owned Subsidiary; and (c) the Borrower may declare and make Restricted Payments consisting of (i) repurchases of Qualified Equity Interests of the Borrower in an amount not to exceed $2,500,000 in the aggregate from


 
82 175130428 and after the Closing Date and (ii) dividends paid in cash in a manner reasonably consistent with the Borrower’s past practices made in any Fiscal Year, so long as, in the case of each of the foregoing clauses (i) and (ii), no Default or Event of Default has occurred and is continuing or would result therefrom and, after giving effect thereto on a pro-forma basis, the Borrower would be in compliance with Section 8.11 as of the end of the then current Fiscal Quarter. SECTION 8.7 Transactions with Affiliates. Enter into any transaction of any kind with any Affiliate of the Borrower, other than: (a) salary, bonus, employee stock option and other compensation arrangements with directors or officers in the ordinary course of business; (b) Investments permitted pursuant to Section 8.3(d), (c) Restricted Payments permitted pursuant to Section 8.6; (d) transactions with Wholly-Owned Subsidiaries (other than any Excluded Subsidiary); (e) administrative services agreement between BVESI and GSWC as in effect on the date hereof; and (f) transactions on overall terms not materially less favorable to the Borrower or its Subsidiaries as would be the case in an arm’s-length transaction. SECTION 8.8 Accounting Changes; Organizational Documents. (a) Change its Fiscal Year end, or make (without the consent of the Administrative Agent) any material change in its accounting treatment and reporting practices except as required by GAAP. (b) Amend, modify or change its Organizational Documents in any manner materially adverse to the rights or interests of the Lenders. SECTION 8.9 No Further Negative Pledges; Restrictive Agreements. (a) Enter into, assume or be subject to any agreement prohibiting or otherwise restricting the creation or assumption of any Lien upon its properties or assets, whether now owned or hereafter acquired, or requiring the grant of any security for such obligation if security is given for some other obligation, except, in each case, any agreement, restriction or requirement existing under or by reason of any Permitted Restriction. (b) Create or otherwise cause or suffer to exist or become effective any consensual encumbrance or restriction on the ability of any Subsidiary to (i) pay dividends or make any other distributions to the Borrower or any Subsidiary on its Equity Interests or with respect to any other interest or participation in, or measured by, its profits, (ii) pay any Indebtedness or other obligation owed to the Borrower or any Subsidiary or (iii) make loans or advances to the Borrower or any Subsidiary, except in each case for such encumbrances or restrictions existing under or by reason of any Permitted Restriction. (c) Create or otherwise cause or suffer to exist or become effective any consensual encumbrance or restriction on the ability of any Subsidiary to (i) sell, lease or transfer any of its properties or assets to the Borrower or any Subsidiary or (ii) act as a guarantor pursuant to the Loan Documents or any renewals, refinancings, exchanges, refundings or extension thereof, except in each case for such encumbrances or restrictions existing under or by reason of any Permitted Restriction. SECTION 8.10 Nature of Business. Engage in any material line of business substantially different from those lines of business conducted by the Borrower and its Subsidiaries (other than any Excluded Subsidiary) on the Closing Date or any businesses or business activities that are reasonably related, ancillary or incidental thereto.


 
83 175130428 SECTION 8.11 Financial Covenant. As of the last day of any fiscal quarter (commencing with the fiscal quarter ending June 30, 2023), permit the Total Capitalization Ratio to be greater than 0.65 to 1.00. ARTICLE IX DEFAULT AND REMEDIES SECTION 9.1 Events of Default. Each of the following shall constitute an Event of Default: (a) Default in Payment of Principal of Loans and Reimbursement Obligations. The Borrower shall default in any payment of principal of any Loan or Reimbursement Obligation when and as due (whether at maturity, by reason of acceleration or otherwise) or fail to provide Cash Collateral pursuant to Section 2.4(b), Section 2.5(b), Section 3.1, Section 4.14 or Section 4.15(a)(v). (b) Other Payment Default. The Borrower shall default in the payment when and as due (whether at maturity, by reason of acceleration or otherwise) of interest on any Loan or Reimbursement Obligation or the payment of any other Obligation, and such default shall continue for a period of five (5) Business Days. (c) Misrepresentation. Any representation, warranty, certification or statement of fact made or deemed made by or on behalf of the Borrower in this Agreement, in any other Loan Document, or in any document delivered in connection herewith or therewith that is subject to materiality or Material Adverse Effect qualifications, shall be incorrect or misleading in any respect when made or deemed made or any representation, warranty, certification or statement of fact made or deemed made by or on behalf of the Borrower in this Agreement, in any other Loan Document, or in any document delivered in connection herewith or therewith that is not subject to materiality or Material Adverse Effect qualifications, shall be incorrect or misleading in any material respect when made or deemed made. (d) Default in Performance of Certain Covenants. The Borrower or any Subsidiary thereof (other than any Excluded Subsidiary) shall default in the performance or observance of any covenant or agreement contained in (i) Sections 7.1 or 7.2 and such default shall continue for a period of ten (10) Business Days or (ii) Sections 7.3(a), 7.4, 7.13 or 7.14 or Article VIII. (e) Default in Performance of Other Covenants and Conditions. The Borrower or any Subsidiary thereof (other than any Excluded Subsidiary) shall default in the performance or observance of any term, covenant, condition or agreement contained in this Agreement (other than as specifically provided for in this Section 9.1) or any other Loan Document and such default shall continue for a period of thirty (30) days after the earlier of (i) the Administrative Agent’s delivery of written notice thereof to the Borrower and (ii) a Responsible Officer of the Borrower having obtained knowledge thereof. (f) Indebtedness Cross-Default. (i) The Borrower or any Subsidiary thereof (other than any Excluded Subsidiary) shall (A) default in the payment of any Indebtedness (other than the Loans or any Reimbursement Obligation) the aggregate principal amount (including undrawn committed or available amounts), or with respect to any Hedge Agreement, the Hedge Termination Value, of which is in excess of the Threshold Amount beyond the period of grace if any, provided in the instrument or agreement under which such Indebtedness was created, or (B) default in the observance or performance of any other agreement or condition relating to any Indebtedness (other than the Loans or any Reimbursement Obligation) the aggregate principal amount (including undrawn committed or available amounts), or with respect to any Hedge Agreement, the Hedge Termination Value, of which is in excess of the Threshold Amount or contained in any instrument or agreement evidencing, securing or relating thereto or any other


 
84 175130428 event shall occur or condition exist, the effect of which default or other event or condition is to cause, or to permit the holder or holders of such Indebtedness (or a trustee or agent on behalf of such holder or holders) to cause, with the giving of notice and/or lapse of time, if required, any such Indebtedness to (1) become due, or to be repurchased, prepaid, defeased or redeemed (automatically or otherwise), or an offer to repurchase, prepay, defease or redeem such Indebtedness to be made, prior to its stated maturity (any applicable grace period having expired); provided that this clause (1) shall not apply to secured Indebtedness that becomes due as a result of the voluntary sale or transfer of the property or assets securing such Indebtedness or (2) be cash collateralized, or (ii) there shall occur any Event of Default (as defined in the GSWC Credit Agreement). (g) Change in Control. Any Change in Control shall occur. (h) Voluntary Bankruptcy Proceeding. The Borrower or any Subsidiary thereof (other than any Excluded Subsidiary) shall (i) commence a voluntary case under any Debtor Relief Laws, (ii) file a petition seeking to take advantage of any Debtor Relief Laws, (iii) consent to or fail to contest in a timely and appropriate manner any petition filed against it in an involuntary case under any Debtor Relief Laws, (iv) apply for or consent to, or fail to contest in a timely and appropriate manner, the appointment of, or the taking of possession by, a receiver, custodian, trustee, or liquidator of itself or of a substantial part of its property, domestic or foreign, (v) admit in writing its inability to generally pay its debts as they become due, (vi) make a general assignment for the benefit of creditors, or (vii) take any corporate action for the purpose of authorizing any of the foregoing. (i) Involuntary Bankruptcy Proceeding. A case or other proceeding shall be commenced against the Borrower or any Subsidiary thereof (other than any Excluded Subsidiary) in any court of competent jurisdiction seeking (i) relief under any Debtor Relief Laws, or (ii) the appointment of a trustee, receiver, custodian, liquidator or the like for the Borrower or any Subsidiary thereof (other than any Excluded Subsidiary) or for all or any substantial part of its assets, domestic or foreign, and such case or proceeding shall continue without dismissal, discharge or stay for a period of sixty (60) consecutive days, or an order granting the relief requested in such case or proceeding under such Debtor Relief Laws shall be entered. (j) Failure of Agreements. Any provision of this Agreement or any provision of any other Loan Document shall for any reason cease to be valid and binding on the Borrower or the Borrower shall so state in writing, in each case other than in accordance with the express terms hereof or thereof. (k) ERISA Events. The occurrence of any of the following events: (i) the Borrower or any ERISA Affiliate fails to make full payment when due of all amounts which, under the provisions of any Pension Plan or Sections 412 or 430 of the Code, the Borrower or any ERISA Affiliate is required to pay as contributions thereto and such unpaid amounts are in excess of the Threshold Amount, (ii) a Termination Event or (iii) the Borrower or any ERISA Affiliate makes a complete or partial withdrawal from any Multiemployer Plan and the Multiemployer Plan notifies the Borrower or ERISA Affiliate that such entity has incurred a withdrawal liability requiring payments in an amount exceeding the Threshold Amount. (l) Judgment. One or more judgments, orders or decrees shall be entered against the Borrower or any Subsidiary (other than any Excluded Subsidiary) by any court and continues without having been discharged, vacated, bonded or stayed for a period of thirty (30) consecutive days after the entry thereof and such judgments, orders or decrees (i) in the case of the payment of money, are individually or in the aggregate (to the extent not paid or covered by insurance as to which the relevant insurance company has acknowledged the claim and has not disputed coverage), in excess of the Threshold Amount or (ii) in the case of injunctive or other non-monetary relief, could reasonably be expected, individually or in the aggregate, to have a Material Adverse Effect.


 
85 175130428 SECTION 9.2 Remedies. Upon the occurrence and during the continuance of an Event of Default, with the consent of the Required Lenders, the Administrative Agent may, or upon the request of the Required Lenders, the Administrative Agent shall, by notice to the Borrower: (a) Acceleration; Termination of Credit Facility. Terminate the Commitments and declare the principal of and interest on the Loans and the Reimbursement Obligations at the time outstanding, and all other amounts owed to the Lenders and to the Administrative Agent under this Agreement or any of the other Loan Documents (including all L/C Obligations, whether or not the beneficiaries of the then outstanding Letters of Credit shall have presented or shall be entitled to present the documents required thereunder) and all other Obligations, to be forthwith due and payable, whereupon the same shall immediately become due and payable without presentment, demand, protest or other notice of any kind, all of which are expressly waived by the Borrower, anything in this Agreement or the other Loan Documents to the contrary notwithstanding, and terminate the Credit Facility and any right of the Borrower to request borrowings or Letters of Credit thereunder; provided, that upon the occurrence of an Event of Default specified in Section 9.1(h) or (i), the Credit Facility shall be automatically terminated and all Obligations shall automatically become due and payable without presentment, demand, protest or other notice of any kind, all of which are expressly waived by the Borrower, anything in this Agreement or in any other Loan Document to the contrary notwithstanding. (b) Letters of Credit. With respect to all Letters of Credit with respect to which presentment for honor shall not have occurred at the time of an acceleration pursuant to the preceding paragraph, demand that the Borrower shall at such time deposit in a Cash Collateral account opened by the Administrative Agent an amount equal to the Minimum Collateral Amount of the aggregate then undrawn and unexpired amount of such Letter of Credit. Amounts held in such Cash Collateral account shall be applied by the Administrative Agent to the payment of drafts drawn under such Letters of Credit, and the unused portion thereof after all such Letters of Credit shall have expired or been fully drawn upon, if any, shall be applied to repay the other Obligations in accordance with Section 9.4. After all such Letters of Credit shall have expired or been fully drawn upon, the Reimbursement Obligation shall have been satisfied and all other Obligations shall have been paid in full, the balance, if any, in such Cash Collateral account shall be returned to the Borrower. (c) General Remedies. Exercise on behalf of the Lender Parties all of its other rights and remedies under this Agreement, the other Loan Documents and Applicable Law, in order to satisfy all of the Obligations. SECTION 9.3 Rights and Remedies Cumulative; Non-Waiver; Etc. (a) The enumeration of the rights and remedies of the Administrative Agent and the Lenders set forth in this Agreement is not intended to be exhaustive and the exercise by the Administrative Agent and the Lenders of any right or remedy shall not preclude the exercise of any other rights or remedies, all of which shall be cumulative, and shall be in addition to any other right or remedy given hereunder or under the other Loan Documents or that may now or hereafter exist at law or in equity or by suit or otherwise. No delay or failure to take action on the part of the Administrative Agent or any Lender in exercising any right, power or privilege shall operate as a waiver thereof, nor shall any single or partial exercise of any such right, power or privilege preclude any other or further exercise thereof or the exercise of any other right, power or privilege or shall be construed to be a waiver of any Event of Default. No course of dealing between the Borrower, the Administrative Agent and the Lenders or their respective agents or employees shall be effective to change, modify or discharge any provision of this Agreement or any of the other Loan Documents or to constitute a waiver of any Event of Default.


 
86 175130428 (b) Notwithstanding anything to the contrary contained herein or in any other Loan Document, the authority to enforce rights and remedies hereunder and under the other Loan Documents against the Borrower shall be vested exclusively in, and all actions and proceedings at law in connection with such enforcement shall be instituted and maintained exclusively by, the Administrative Agent in accordance with Section 9.2 for the benefit of all the Lenders and the Issuing Lenders; provided that the foregoing shall not prohibit (i) the Administrative Agent from exercising on its own behalf the rights and remedies that inure to its benefit (solely in its capacity as Administrative Agent) hereunder and under the other Loan Documents, (ii) any Issuing Lender or the Swingline Lender from exercising the rights and remedies that inure to its benefit (solely in its capacity as an Issuing Lender or Swingline Lender, as the case may be) hereunder and under the other Loan Documents, (iii) any Lender from exercising setoff rights in accordance with Section 11.4 (subject to the terms of Section 4.6), or (iv) any Lender from filing proofs of claim or appearing and filing pleadings on its own behalf during the pendency of a proceeding relative to the Borrower under any Debtor Relief Law; and provided, further, that if at any time there is no Person acting as Administrative Agent hereunder and under the other Loan Documents, then (A) the Required Lenders shall have the rights otherwise ascribed to the Administrative Agent pursuant to Section 9.2 and (B) in addition to the matters set forth in clauses (ii), (iii) and (iv) of the preceding proviso and subject to Section 4.6, any Lender may, with the consent of the Required Lenders, enforce any rights and remedies available to it and as authorized by the Required Lenders. SECTION 9.4 Crediting of Payments and Proceeds. In the event that the Obligations have been accelerated pursuant to Section 9.2 or the Administrative Agent or any Lender has exercised any remedy set forth in this Agreement or any other Loan Document, all payments received on account of the Obligations and all net proceeds from the enforcement of the Obligations shall, subject to the provisions of Sections 4.14 and 4.15, be applied by the Administrative Agent as follows: First, to payment of that portion of the Obligations constituting fees, indemnities, expenses and other amounts, including attorney fees, payable to the Administrative Agent in its capacity as such; Second, to payment of that portion of the Obligations constituting fees (other than Commitment Fees and Letter of Credit fees payable to the Lenders), indemnities and other amounts (other than principal and interest) payable to the Lenders, the Issuing Lenders and the Swingline Lender under the Loan Documents, including attorney fees, ratably among the Lenders, the Issuing Lenders and the Swingline Lender in proportion to the respective amounts described in this clause Second payable to them; Third, to payment of that portion of the Obligations constituting accrued and unpaid Commitment Fees, Letter of Credit fees payable to the Lenders and interest on the Loans and Reimbursement Obligations, ratably among the Lenders, the Issuing Lenders and the Swingline Lender in proportion to the respective amounts described in this clause Third payable to them; Fourth, to payment of that portion of the Obligations constituting unpaid principal of the Loans and Reimbursement Obligations and to Cash Collateralize any L/C Obligations then outstanding, ratably among the holders of such obligations in proportion to the respective amounts described in this clause Fourth payable to them; and Last, the balance, if any, after all of the Obligations have been paid in full, to the Borrower or as otherwise required by Applicable Law. SECTION 9.5 Administrative Agent May File Proofs of Claim. In case of the pendency of any proceeding under any Debtor Relief Law or any other judicial proceeding relative to the Borrower, the Administrative Agent (irrespective of whether the principal of any Loan or L/C Obligation shall then be due and payable as herein expressed or by declaration or otherwise and irrespective of whether the


 
87 175130428 Administrative Agent shall have made any demand on the Borrower) shall be entitled and empowered (but not obligated) by intervention in such proceeding or otherwise: (a) to file and prove a claim for the whole amount of the principal and interest owing and unpaid in respect of the Loans, L/C Obligations and all other Obligations that are owing and unpaid and to file such other documents as may be necessary or advisable in order to have the claims of the Lenders, the Issuing Lenders and the Administrative Agent (including any claim for the reasonable compensation, expenses, disbursements and advances of the Lenders, the Issuing Lenders and the Administrative Agent and their respective agents and counsel and all other amounts due the Lenders, the Issuing Lenders and the Administrative Agent under Sections 3.3, 4.3 and 11.3) allowed in such judicial proceeding; and (b) to collect and receive any monies or other property payable or deliverable on any such claims and to distribute the same; and any custodian, receiver, assignee, trustee, liquidator, sequestrator or other similar official in any such judicial proceeding is hereby authorized by each Lender and each Issuing Lender to make such payments to the Administrative Agent and, in the event that the Administrative Agent shall consent to the making of such payments directly to the Lenders and the Issuing Lenders, to pay to the Administrative Agent any amount due for the reasonable compensation, expenses, disbursements and advances of the Administrative Agent and its agents and counsel, and any other amounts due the Administrative Agent under Sections 3.3, 4.3 and 11.3. ARTICLE X THE ADMINISTRATIVE AGENT SECTION 10.1 Appointment and Authority. (a) Each of the Lenders and each Issuing Lender hereby irrevocably appoints, designates and authorizes Wells Fargo to act on its behalf as the Administrative Agent hereunder and under the other Loan Documents and authorizes the Administrative Agent to take such actions on its behalf and to exercise such powers as are delegated to the Administrative Agent by the terms hereof or thereof, together with such actions and powers as are reasonably incidental thereto. The provisions of this Article are solely for the benefit of the Administrative Agent, the Arrangers, the Lenders, the Issuing Lenders and their respective Related Parties, and neither the Borrower nor any Subsidiary thereof shall have rights as a third-party beneficiary of any of such provisions. (b) The Administrative Agent shall also act as the “collateral agent” under the Loan Documents, and each of the Lenders and the Issuing Lenders hereby irrevocably appoints and authorizes the Administrative Agent to act as the agent of such Lender and such Issuing Lender for purposes of acquiring, holding and enforcing any and all Liens on Cash Collateral granted by the Borrower to secure any of the Obligations, together with such powers and discretion as are reasonably incidental thereto (including to enter into additional Loan Documents or supplements to existing Loan Documents on behalf of the Lender Parties). In this connection, the Administrative Agent, as “collateral agent” and any co- agents, sub-agents and attorneys-in-fact appointed by the Administrative Agent pursuant to this Article X for purposes of holding or enforcing any Lien granted under the Loan Documents, or for exercising any rights and remedies thereunder at the direction of the Administrative Agent), shall be entitled to the benefits of all provisions of this Article and Article XI (including Section 11.3, as though such co-agents, sub-agents and attorneys-in-fact were the “collateral agent” under the Loan Documents) as if set forth in full herein with respect thereto.


 
88 175130428 (c) It is understood and agreed that the use of the term “agent” herein or in any other Loan Documents (or any other similar term) with reference to the Administrative Agent is not intended to connote any fiduciary or other implied (or express) obligations arising under agency doctrine of any Applicable Law. Instead such term is used as a matter of market custom, and is intended to create or reflect only an administrative relationship between contracting parties. SECTION 10.2 Rights as a Lender. The Person serving as the Administrative Agent hereunder shall have the same rights and powers in its capacity as a Lender as any other Lender and may exercise the same as though it were not the Administrative Agent and the term “Lender” or “Lenders” shall, unless otherwise expressly indicated or unless the context otherwise requires, include the Person serving as the Administrative Agent hereunder in its individual capacity. Such Person and its Affiliates may accept deposits from, lend money to, own securities of, act as the financial advisor or in any other advisory capacity for and generally engage in any kind of banking, trust, financial advisory, underwriting, capital markets or other business with the Borrower or any Subsidiary or other Affiliate thereof as if such Person were not the Administrative Agent hereunder and without any duty to account therefor to the Lenders or to provide notice to or consent of the Lenders with respect thereto. SECTION 10.3 Exculpatory Provisions. (a) The Administrative Agent, the Arrangers and their respective Related Parties shall not have any duties or obligations except those expressly set forth herein and in the other Loan Documents, and its duties hereunder and thereunder shall be administrative in nature. Without limiting the generality of the foregoing, the Administrative Agent, the Arrangers and their respective Related Parties: (i) shall not be subject to any agency, trust, fiduciary or other implied duties, regardless of whether a Default or Event of Default has occurred and is continuing; (ii) shall not have any duty to take any discretionary action or exercise any discretionary powers, except discretionary rights and powers expressly contemplated hereby or by the other Loan Documents that the Administrative Agent is required to exercise as directed in writing by the Required Lenders (or such other number or percentage of the Lenders as shall be expressly provided for herein or in the other Loan Documents), provided that the Administrative Agent shall not be required to take any action that, in its opinion or the opinion of its counsel, may expose the Administrative Agent to liability or that is contrary to any Loan Document or Applicable Law, including for the avoidance of doubt any action that may be in violation of the automatic stay under any Debtor Relief Law or that may effect a forfeiture, modification or termination of property of a Defaulting Lender in violation of any Debtor Relief Law; (iii) shall not, have any duty to disclose, and shall not be liable for the failure to disclose to any Lender, any Issuing Lender or any other Person, any credit or other information relating concerning the business, prospects, operations, properties, assets, financial or other condition or creditworthiness of the Borrower or any of its Subsidiaries or Affiliates that is communicated to, obtained by or otherwise in the possession of the Person serving as the Administrative Agent, the Arrangers or their respective Related Parties in any capacity, except for notices, reports and other documents that are required to be furnished by the Administrative Agent to the Lenders pursuant to the express provisions of this Agreement; and (iv) shall not be required to account to any Lender or any Issuing Lender for any sum or profit received by the Administrative Agent for its own account.


 
89 175130428 (b) The Administrative Agent, the Arrangers and their respective Related Parties shall not be liable for any action taken or not taken by it under or in connection with this Agreement or any other Loan Document or the transactions contemplated hereby or thereby (i) with the consent or at the request of the Required Lenders (or such other number or percentage of the Lenders as shall be necessary, or as the Administrative Agent shall believe in good faith shall be necessary, under the circumstances as provided in Section 11.2 and Section 9.2) or (ii) in the absence of its own gross negligence or willful misconduct as determined by a court of competent jurisdiction by final non-appealable judgment. The Administrative Agent shall be deemed not to have knowledge of any Default or Event of Default unless and until notice describing such Default or Event of Default and indicating that such notice is a “Notice of Default” is given to the Administrative Agent by the Borrower, a Lender or an Issuing Lender. (c) The Administrative Agent, the Arrangers and their respective Related Parties shall not be responsible for or have any duty or obligations to any Lender or Participant or any other Person to ascertain or inquire into (i) any statement, warranty or representation made in or in connection with this Agreement or any other Loan Document, (ii) the contents of any certificate, report or other document delivered hereunder or thereunder or in connection herewith or therewith (including any report provided to it by an Issuing Lender pursuant to Section 3.9), (iii) the performance or observance of any of the covenants, agreements or other terms or conditions set forth herein or therein or the occurrence of any Default or Event of Default, (iv) the validity, enforceability, effectiveness or genuineness of this Agreement, any other Loan Document or any other agreement, instrument or document, (v) the satisfaction of any condition set forth in Article V or elsewhere herein, other than to confirm receipt of items expressly required to be delivered to the Administrative Agent or (vi) the utilization of any Issuing Lender’s L/C Commitment (it being understood and agreed that each Issuing Lender shall monitor compliance with its own L/C Commitment without any further action by the Administrative Agent). SECTION 10.4 Reliance by the Administrative Agent. The Administrative Agent shall be entitled to rely upon, shall be fully protected in relying and shall not incur any liability for relying upon, any notice, request, certificate, consent, communication, statement, instrument, document or other writing (including any electronic message, Internet or intranet website posting or other distribution) believed by it to be genuine and to have been signed, sent or otherwise authenticated by the proper Person. The Administrative Agent also may rely upon any statement made to it orally or by telephone and believed by it to have been made by the proper Person, and shall be fully protected in relying and shall not incur any liability for relying thereon. In determining compliance with any condition hereunder to the making of a Loan, or the issuance, extension, renewal or increase of a Letter of Credit, that by its terms must be fulfilled to the satisfaction of a Lender or an Issuing Lender, the Administrative Agent may presume that such condition is satisfactory to such Lender or such Issuing Lender unless the Administrative Agent shall have received notice to the contrary from such Lender or such Issuing Lender prior to the making of such Loan or the issuance of such Letter of Credit. The Administrative Agent may consult with legal counsel (who may be counsel for the Borrower), independent accountants and other experts selected by it, and shall not be liable for any action taken or not taken by it in accordance with the advice of any such counsel, accountants or experts. Each Lender or Issuing Lender that has signed this Agreement or a signature page to an Assignment and Assumption or any other Loan Document pursuant to which it is to become a Lender or Issuing Lender hereunder shall be deemed to have consented to, approved and accepted and shall deemed satisfied with each document or other matter required thereunder to be consented to, approved or accepted by such Lender or Issuing Lender or that is to be acceptable or satisfactory to such Lender or Issuing Lender. SECTION 10.5 Delegation of Duties. The Administrative Agent may perform any and all of its duties and exercise its rights and powers hereunder or under any other Loan Document by or through any one or more sub-agents appointed by the Administrative Agent. The Administrative Agent and any such sub-agent may perform any and all of its duties and exercise its rights and powers by or through their respective Related Parties. The exculpatory provisions of this Article shall apply to any such sub-agent and


 
90 175130428 to the Related Parties of the Administrative Agent and any such sub-agent and shall apply to their respective activities in connection with the syndication of the Credit Facility as well as activities as Administrative Agent. The Administrative Agent shall not be responsible for the negligence or misconduct of any sub- agents except to the extent that a court of competent jurisdiction determines in a final and non-appealable judgment that the Administrative Agent acted with gross negligence or willful misconduct in the selection of such sub-agents. SECTION 10.6 Resignation of Administrative Agent. (a) The Administrative Agent may at any time give notice of its resignation to the Lenders, the Issuing Lenders and the Borrower. Upon receipt of any such notice of resignation, the Required Lenders shall have the right, in consultation with the Borrower and subject to the consent (not to be unreasonably withheld or delayed) of the Borrower (provided no Event of Default has occurred and is continuing at the time of such resignation), to appoint a successor, which shall be a bank or financial institution reasonably experienced in serving as administrative agent on syndicated bank facilities with an office in the United States, or an Affiliate of any such bank or financial institution with an office in the United States. If no such successor shall have been so appointed by the Required Lenders and shall have accepted such appointment within 30 days after the retiring Administrative Agent gives notice of its resignation (or such earlier day as shall be agreed by the Required Lenders) (the “Resignation Effective Date”), then the retiring Administrative Agent may (but shall not be obligated to), on behalf of the Lenders and the Issuing Lenders, appoint a successor Administrative Agent meeting the qualifications set forth above; provided that in no event shall any such successor Administrative Agent be a Defaulting Lender. Whether or not a successor has been appointed, such resignation shall become effective in accordance with such notice on the Resignation Effective Date. (b) If the Person serving as Administrative Agent is a Defaulting Lender pursuant to clause (d) of the definition thereof, the Required Lenders may, to the extent permitted by Applicable Law, by notice in writing to the Borrower and such Person, remove such Person as Administrative Agent and, in consultation with the Borrower, appoint a successor. If no such successor shall have been so appointed by the Required Lenders and shall have accepted such appointment within 30 days (or such earlier day as shall be agreed by the Required Lenders) (the “Removal Effective Date”), then such removal shall nonetheless become effective in accordance with such notice on the Removal Effective Date. (c) With effect from the Resignation Effective Date or the Removal Effective Date (as applicable), (i) the retiring or removed Administrative Agent shall be discharged from its duties and obligations hereunder and under the other Loan Documents (except that in the case of any collateral security held by the Administrative Agent on behalf of the Lenders or the Issuing Lenders under any of the Loan Documents, the retiring or removed Administrative Agent shall continue to hold such collateral security until such time as a successor Administrative Agent is appointed) and (ii) except for any indemnity payments or other amounts then owed to the retiring or removed Administrative Agent, all payments, communications and determinations provided to be made by, to or through the Administrative Agent shall instead be made by or to each Lender and each Issuing Lender directly, until such time, if any, as the Required Lenders appoint a successor Administrative Agent as provided for above. Upon the acceptance of a successor’s appointment as Administrative Agent hereunder, such successor shall succeed to and become vested with all of the rights, powers, privileges and duties of the retiring or removed Administrative Agent (other than any rights to indemnity payments or other amounts owed to the retiring or removed Administrative Agent as of the Resignation Effective Date or the Removal Effective Date, as applicable), and the retiring or removed Administrative Agent shall be discharged from all of its duties and obligations hereunder or under the other Loan Documents. The fees payable by the Borrower to a successor Administrative Agent shall be the same as those payable to its predecessor unless otherwise agreed between the Borrower and such successor. After the retiring or removed Administrative Agent’s resignation or


 
91 175130428 removal hereunder and under the other Loan Documents, the provisions of this Article and Section 11.3 shall continue in effect for the benefit of such retiring or removed Administrative Agent, its sub-agents and their respective Related Parties in respect of any actions taken or omitted to be taken by any of them while the retiring or removed Administrative Agent was acting as Administrative Agent or relating to its duties as Administrative Agent that are carried out following its retirement or removal, including, without limitation, any actions taken with respect to acting as collateral agent or otherwise holding any Cash Collateral on behalf of any of the Lender Parties or in respect of any actions taken in connection with the transfer of agency to a replacement or successor Administrative Agent. (d) Any resignation by, or removal of, Wells Fargo as Administrative Agent pursuant to this Section shall also constitute its resignation as an Issuing Lender and Swingline Lender. Upon the acceptance of a successor’s appointment as Administrative Agent hereunder, (i) such successor shall succeed to and become vested with all of the rights, powers, privileges and duties of the retiring Issuing Lender, if in its sole discretion it elects to, and Swingline Lender, (ii) the retiring Issuing Lender and Swingline Lender shall be discharged from all of their respective duties and obligations hereunder or under the other Loan Documents, and (iii) the successor Issuing Lender, if in its sole discretion it elects to, shall issue letters of credit in substitution for the Letters of Credit, if any, outstanding at the time of such succession or make other arrangements satisfactory to the retiring Issuing Lender to effectively assume the obligations of the retiring Issuing Lender with respect to such Letters of Credit. SECTION 10.7 Non-Reliance on Administrative Agent and Other Lenders. Each Lender and each Issuing Lender expressly acknowledges that none of the Administrative Agent, the Arrangers or any of their respective Related Parties has made any representations or warranties to it and that no act taken or failure to act by the Administrative Agent, the Arrangers or any of their respective Related Parties, including any consent to, and acceptance of any assignment or review of the affairs of the Borrower and its Subsidiaries or Affiliates shall be deemed to constitute a representation or warranty of the Administrative Agent, the Arrangers or any of their respective Related Parties to any Lender, any Issuing Lender or any other Lender Party as to any matter, including whether the Administrative Agent, the Arrangers or any of their respective Related Parties have disclosed material information in their (or their respective Related Parties’) possession. Each Lender and each Issuing Lender expressly acknowledges, represents and warrants to the Administrative Agent and the Arrangers that (a) the Loan Documents set forth the terms of a commercial lending facility, (b) it is engaged in making, acquiring, purchasing or holding commercial loans in the ordinary course and is entering into this Agreement and the other Loan Documents to which it is a party as a Lender for the purpose of making, acquiring, purchasing and/or holding the commercial loans set forth herein as may be applicable to it, and not for the purpose of making, acquiring, purchasing or holding any other type of financial instrument, (c) it is sophisticated with respect to decisions to make, acquire, purchase or hold the commercial loans applicable to it and either it or the Person exercising discretion in making its decisions to make, acquire, purchase or hold such commercial loans is experienced in making, acquiring, purchasing or holding commercial loans, (d) it has, independently and without reliance upon the Administrative Agent, the Arrangers, any other Lender or any of their respective Related Parties and based on such documents and information as it has deemed appropriate, made its own credit analysis and appraisal of, and investigations into, the business, prospects, operations, property, assets, liabilities, financial and other condition and creditworthiness of the Borrower and its Subsidiaries, all applicable bank or other regulatory Applicable Laws relating to the transactions contemplated by this Agreement and the other Loan Documents and (e) it has made its own independent decision to enter into this Agreement and the other Loan Documents to which it is a party and to extend credit hereunder and thereunder. Each Lender and each Issuing Lender also acknowledges that (i) it will, independently and without reliance upon the Administrative Agent, the Arrangers or any other Lender or any of their respective Related Parties (A) continue to make its own credit analysis, appraisals and decisions in taking or not taking action under or based upon this Agreement, any other Loan Document or any related agreement or any document furnished hereunder or thereunder based on such documents and information as it shall from time


 
92 175130428 to time deem appropriate and its own independent investigations and (B) continue to make such investigations and inquiries as it deems necessary to inform itself as to the Borrower and its Subsidiaries and (ii) it will not assert any claim in contravention of this Section 10.7. SECTION 10.8 No Other Duties, Etc. Anything herein to the contrary notwithstanding, none of the syndication agents, documentation agents, co-agents, arrangers or bookrunners listed on the cover page hereof shall have any powers, duties or responsibilities under this Agreement or any of the other Loan Documents, except in its capacity, as applicable, as the Administrative Agent, a Lender or an Issuing Lender hereunder, but each such Person shall have the benefit of the indemnities and exculpatory provisions hereof. SECTION 10.9 Certain ERISA Matters. (a) Each Lender (x) represents and warrants, as of the date such Person became a Lender party hereto, and (y) covenants, from the date such Person became a Lender party hereto to the date such Person ceases being a Lender party hereto, for the benefit of, the Administrative Agent, each Arranger and their respective Affiliates, and not, for the avoidance of doubt, to or for the benefit of the Borrower, that at least one of the following is and will be true: (i) such Lender is not using “plan assets” (within the meaning of Section 3(42) of ERISA or otherwise for purposes of Title I of ERISA or Section 4975 of the Code) of one or more Benefit Plans with respect to such Lender’s entrance into, participation in, administration of and performance of the Loans, the Letters of Credit or the Commitments or this Agreement; (ii) the prohibited transaction exemption set forth in one or more PTEs, such as PTE 84-14 (a class exemption for certain transactions determined by independent qualified professional asset managers), PTE 95-60 (a class exemption for certain transactions involving insurance company general accounts), PTE 90-1 (a class exemption for certain transactions involving insurance company pooled separate accounts), PTE 91-38 (a class exemption for certain transactions involving bank collective investment funds) or PTE 96-23 (a class exemption for certain transactions determined by in-house asset managers), is applicable so as to exempt from the prohibitions of Section 406 of ERISA and Section 4975 of the Code such Lender’s entrance into, participation in, administration of and performance of the Loans, the Letters of Credit, the Commitments and this Agreement; (iii) (A) such Lender is an investment fund managed by a “Qualified Professional Asset Manager” (within the meaning of Part VI of PTE 84-14), (B) such Qualified Professional Asset Manager made the investment decision on behalf of such Lender to enter into, participate in, administer and perform the Loans, the Letters of Credit, the Commitments and this Agreement, (C) the entrance into, participation in, administration of and performance of the Loans, the Letters of Credit, the Commitments and this Agreement satisfies the requirements of sub-sections (b) through (g) of Part I of PTE 84-14 and (D) to the best knowledge of such Lender, the requirements of subsection (a) of Part I of PTE 84-14 are satisfied with respect to such Lender’s entrance into, participation in, administration of and performance of the Loans, the Letters of Credit, the Commitments and this Agreement; or (iv) such other representation, warranty and covenant as may be agreed in writing between the Administrative Agent, in its sole discretion, and such Lender. (b) In addition, unless either (1) sub-clause (i) in the immediately preceding clause (a) is true with respect to a Lender or (2) a Lender has provided another representation, warranty and covenant in accordance with sub-clause (iv) in the immediately preceding clause (a), such Lender further (x) represents


 
93 175130428 and warrants, as of the date such Person became a Lender party hereto, to, and (y) covenants, from the date such Person became a Lender party hereto to the date such Person ceases being a Lender party hereto, for the benefit of, the Administrative Agent, each Arranger and their respective Affiliates, and not, for the avoidance of doubt, to or for the benefit of the Borrower, that none of the Administrative Agent, any Arranger and their respective Affiliates is a fiduciary with respect to the assets of such Lender involved in such Lender’s entrance into, participation in, administration of and performance of the Loans, the Letters of Credit, the Commitments and this Agreement (including in connection with the reservation or exercise of any rights by the Administrative Agent under this Agreement, any Loan Document or any documents related hereto or thereto). SECTION 10.10 Erroneous Payments. (a) Each Lender, each Issuing Lender, each other Lender Party and any other party hereto hereby severally agrees that if (i) the Administrative Agent notifies (which such notice shall be conclusive absent manifest error) such Lender or Issuing Lender or any other Lender Party (or the Affiliate of a Lender Party) or any other Person that has received funds from the Administrative Agent or any of its Affiliates, either for its own account or on behalf of a Lender, Issuing Lender or other Lender Party (each such recipient, a “Payment Recipient”) that the Administrative Agent has determined in its sole discretion that any funds received by such Payment Recipient were erroneously transmitted to, or otherwise erroneously or mistakenly received by, such Payment Recipient (whether or not known to such Payment Recipient) or (ii) any Payment Recipient receives any payment from the Administrative Agent (or any of its Affiliates) (x) that is in a different amount than, or on a different date from, that specified in a notice of payment, prepayment or repayment sent by the Administrative Agent (or any of its Affiliates) with respect to such payment, prepayment or repayment, as applicable, (y) that was not preceded or accompanied by a notice of payment, prepayment or repayment sent by the Administrative Agent (or any of its Affiliates) with respect to such payment, prepayment or repayment, as applicable, or (z) that such Payment Recipient otherwise becomes aware was transmitted or received in error or by mistake (in whole or in part) then, in each case, an error in payment shall be presumed to have been made (any such amounts specified in clauses (i) or (ii) of this Section 11.10(a), whether received as a payment, prepayment or repayment of principal, interest, fees, distribution or otherwise; individually and collectively, an “Erroneous Payment”), then, in each case, such Payment Recipient is deemed to have knowledge of such error at the time of its receipt of such Erroneous Payment; provided that nothing in this Section shall require the Administrative Agent to provide any of the notices specified in clauses (i) or (ii) above. Each Payment Recipient agrees that it shall not assert any right or claim to any Erroneous Payment, and hereby waives any claim, counterclaim, defense or right of set-off or recoupment with respect to any demand, claim or counterclaim by the Administrative Agent for the return of any Erroneous Payments, including without limitation waiver of any defense based on “discharge for value” or any similar doctrine. (b) Without limiting the immediately preceding clause (a), each Payment Recipient agrees that, in the case of clause (a)(ii) above, it shall promptly notify the Administrative Agent in writing of such occurrence. (c) In the case of either clause (a)(i) or (a)(ii) above, such Erroneous Payment shall at all times remain the property of the Administrative Agent and shall be segregated by the Payment Recipient and held in trust for the benefit of the Administrative Agent, and upon demand from the Administrative Agent such Payment Recipient shall (or, shall cause any Person who received any portion of an Erroneous Payment on its behalf to), promptly, but in all events no later than two (2) Business Days thereafter, return to the Administrative Agent the amount of any such Erroneous Payment (or portion thereof) as to which such a demand was made in same day funds and in the currency so received, together with interest thereon in respect of each day from and including the date such Erroneous Payment (or portion thereof) was received by such Payment Recipient to the date such amount is repaid to the Administrative Agent at the greater of


 
94 175130428 the Federal Funds Rate and a rate determined by the Administrative Agent in accordance with banking industry rules on interbank compensation from time to time in effect. (d) In the event that an Erroneous Payment (or portion thereof) is not recovered by the Administrative Agent for any reason, after demand therefor by the Administrative Agent in accordance with immediately preceding clause (c), from any Lender that is a Payment Recipient or an Affiliate of a Payment Recipient (such unrecovered amount as to such Lender, an “Erroneous Payment Return Deficiency”), then at the sole discretion of the Administrative Agent and upon the Administrative Agent’s written notice to such Lender (i) such Lender shall be deemed to have made a cashless assignment of the full face amount of the portion of its Loans (but not its Commitments) of the relevant Class with respect to which such Erroneous Payment was made (the “Erroneous Payment Impacted Class”) to the Administrative Agent or, at the option of the Administrative Agent, the Administrative Agent’s applicable lending affiliate in an amount that is equal to the Erroneous Payment Return Deficiency (or such lesser amount as the Administrative Agent may specify) (such assignment of the Loans (but not Commitments) of the Erroneous Payment Impacted Class, the “Erroneous Payment Deficiency Assignment”) plus any accrued and unpaid interest on such assigned amount, without further consent or approval of any party hereto and without any payment by the Administrative Agent or its applicable lending affiliate as the assignee of such Erroneous Payment Deficiency Assignment. The parties hereto acknowledge and agree that (1) any assignment contemplated in this clause (d) shall be made without any requirement for any payment or other consideration paid by the applicable assignee or received by the assignor, (2) the provisions of this clause (d) shall govern in the event of any conflict with the terms and conditions of Section 11.9 and (3) the Administrative Agent may reflect such assignments in the Register without further consent or action by any other Person. (e) Each party hereto hereby agrees that (x) in the event an Erroneous Payment (or portion thereof) is not recovered from any Payment Recipient that has received such Erroneous Payment (or portion thereof) for any reason, the Administrative Agent (1) shall be subrogated to all the rights of such Payment Recipient with respect to such amount and (2) is authorized to set off, net and apply any and all amounts at any time owing to such Payment Recipient under any Loan Document, or otherwise payable or distributable by the Administrative Agent to such Payment Recipient from any source, against any amount due to the Administrative Agent under this Section 10.10 or under the indemnification provisions of this Agreement, (y) the receipt of an Erroneous Payment by a Payment Recipient shall not for the purpose of this Agreement be treated as a payment, prepayment, repayment, discharge or other satisfaction of any Obligations owed by the Borrower, except, in each case, to the extent such Erroneous Payment is, and solely with respect to the amount of such Erroneous Payment that is, comprised of funds received by the Administrative Agent from the Borrower for the purpose of making a payment on the Obligations and (z) to the extent that an Erroneous Payment was in any way or at any time credited as payment or satisfaction of any of the Obligations, the Obligations or any part thereof that were so credited, and all rights of the Payment Recipient, as the case may be, shall be reinstated and continue in full force and effect as if such payment or satisfaction had never been received. (f) Each party’s obligations under this Section 10.10 shall survive the resignation or replacement of the Administrative Agent or any transfer of right or obligations by, or the replacement of, a Lender, the termination of the Commitments or the repayment, satisfaction or discharge of all Obligations (or any portion thereof) under any Loan Document. (g) Nothing in this Section 10.10 will constitute a waiver or release of any claim of the Administrative Agent hereunder arising from any Payment Recipient’s receipt of an Erroneous Payment.


 
95 175130428 ARTICLE XI MISCELLANEOUS SECTION 11.1 Notices. (a) Notices Generally. Except in the case of notices and other communications expressly permitted to be given by telephone (and except as provided in paragraph (b) below), all notices and other communications provided for herein shall be in writing and shall be delivered by hand or overnight courier service, mailed by certified or registered mail or sent by facsimile as follows: If to the Borrower: American States Water Company 630 East Foothill Boulevard San Dimas, CA 91773 Attention of: Chief Financial Officer Telephone No.: (909) 394-3600 x707 E-mail: egtang@gswater.com With copies to (which shall not constitute notice): Winston and Strawn LLP Attention: D. Stephen Antion 333 South Grand Avenue, 38th Floor Los Angeles, CA 90071 Telephone No: 213-615-1700 Facsimile No.: 213-615-1750 E-mail: santion@winston.com - and – Winston and Strawn LLP Attention: Sean Hilson 35 West Wacker Drive Chicago, IL 60601 Telephone No.: 312-558-5600 Facsimile No.: 312-558-5700 E-mail: shilson@winston.com


 
96 175130428 If to Wells Fargo, as Administrative Agent: Wells Fargo Bank, National Association MAC D1109-019 1525 West W.T. Harris Blvd. Charlotte, NC 28262 Attention of: Syndication Agency Services Telephone No.: (704) 590-2706 Facsimile No.: (844) 879-5899 Email: Agencyservices.requests@wellsfargo.com With copies to: Wells Fargo Bank, National Association 2141 Rosecrans Ave El Segundo, CA 90245 MAC: E2856-041 Attention of: Jonathan Berns Telephone No.: 213-408-9264 E-mail: Jonathan.Berns@wellsfargo.com If to any Lender: To the address of such Lender set forth on the Register with respect to deliveries of notices and other documentation that may contain material non-public information. Notices sent by hand or overnight courier service, or mailed by certified or registered mail, shall be deemed to have been given when received; notices sent by facsimile shall be deemed to have been given when sent (except that, if not given during normal business hours for the recipient, shall be deemed to have been given at the opening of business on the next Business Day for the recipient). Notices delivered through electronic communications to the extent provided in paragraph (b) below, shall be effective as provided in said paragraph (b). (b) Electronic Communications. Notices and other communications to the Lenders and the Issuing Lenders hereunder may be delivered or furnished by electronic communication (including e-mail and Internet or intranet websites) pursuant to procedures approved by the Administrative Agent, provided that the foregoing shall not apply to notices to any Lender or any Issuing Lender pursuant to Article II or III if such Lender or such Issuing Lender, as applicable, has notified the Administrative Agent that is incapable of receiving notices under such Article by electronic communication. The Administrative Agent or the Borrower may, in its discretion, agree to accept notices and other communications to it hereunder by electronic communications pursuant to procedures approved by it, provided that approval of such procedures may be limited to particular notices or communications. Unless the Administrative Agent otherwise prescribes, (i) notices and other communications sent to an e-mail address shall be deemed received upon the sender’s receipt of an acknowledgement from the intended recipient (such as by the “return receipt requested” function, as available, return e-mail or other written acknowledgement), and (ii) notices or communications posted to an Internet or intranet website shall be deemed received upon the deemed receipt by the intended recipient at its e-mail address as described in the foregoing clause (i) of notification that such notice or communication is available and identifying the website address therefor; provided that, for both clauses (i) and (ii) above, if such notice, email or other communication is not sent


 
97 175130428 during the normal business hours of the recipient, such notice, email or other communication shall be deemed to have been sent at the opening of business on the next Business Day for the recipient. (c) Administrative Agent’s Office. The Administrative Agent hereby designates its office located at the address set forth above, or any subsequent office which shall have been specified for such purpose by written notice to the Borrower and Lenders, as the Administrative Agent’s Office referred to herein, to which payments due are to be made and at which Loans will be disbursed and Letters of Credit requested. (d) Change of Address, Etc. Each of the Borrower, the Administrative Agent, any Issuing Lender or the Swingline Lender may change its address or other contact information for notices and other communications hereunder by notice to the other parties hereto. Any Lender may change its address or facsimile number for notices and other communications hereunder by notice to the Borrower, the Administrative Agent, each Issuing Lender and the Swingline Lender. (e) Platform. (i) The Borrower, each Lender and each Issuing Lender agrees that the Administrative Agent may, but shall not be obligated to, make the Borrower Materials available to the Issuing Lenders and the other Lenders by posting the Borrower Materials on the Platform. (ii) The Platform is provided “as is” and “as available.” The Agent Parties (as defined below) do not warrant the accuracy or completeness of the Borrower Materials or the adequacy of the Platform, and expressly disclaim liability for errors or omissions in the Borrower Materials. No warranty of any kind, express, implied or statutory, including any warranty of merchantability, fitness for a particular purpose, non-infringement of third-party rights or freedom from viruses or other code defects, is made by any Agent Party in connection with the Borrower Materials or the Platform. Although the Platform is secured pursuant to generally-applicable security procedures and policies implemented or modified by the Administrative Agent and its Related Parties, each of the Lenders, the Issuing Lenders and the Borrower acknowledges and agrees that distribution of information through an electronic means is not necessarily secure in all respects, the Administrative Agent, the Arrangers and their respective Related Parties (collectively, the “Agent Parties”) are not responsible for approving or vetting the representatives, designees or contacts of any Lender or Issuing Lender that are provided access to the Platform and that there may be confidentiality and other risks associated with such form of distribution. Each of the Borrower, each Lender and each Issuing Lender party hereto understands and accepts such risks. In no event shall the Agent Parties have any liability to the Borrower, any Lender or any other Person or entity for losses, claims, damages, liabilities or expenses of any kind (whether in tort, contract or otherwise) arising out of the Borrower’s or the Administrative Agent’s transmission of communications through the Internet (including the Platform), except to the extent that such losses, claims, damages, liabilities or expenses are determined by a court of competent jurisdiction by final and non-appealable judgment to have resulted from the gross negligence or willful misconduct of such Agent Party; provided that in no event shall any Agent Party have any liability to the Borrower, any Lender, any Issuing Lender or any other Person for indirect, special, incidental, consequential or punitive damages, losses or expenses (as opposed to actual damages, losses or expenses). (f) Private Side Designation. Each Public Lender agrees to cause at least one individual at or on behalf of such Public Lender to at all times have selected the “Private Side Information” or similar designation on the content declaration screen of the Platform in order to enable such Public Lender or its delegate, in accordance with such Public Lender’s compliance procedures and Applicable Law, including United States federal and state securities Applicable Laws, to make reference to Borrower Materials that


 
98 175130428 are not made available through the “Public Side Information” portion of the Platform and that may contain material non-public information with respect to the Borrower or its securities for purposes of United States federal or state securities Applicable Laws. SECTION 11.2 Amendments, Waivers and Consents. Except as set forth below or as specifically provided in any Loan Document (including Section 4.8(c)), any term, covenant, agreement or condition of this Agreement or any of the other Loan Documents may be amended or waived by the Lenders, and any consent given by the Lenders, if, but only if, such amendment, waiver or consent is in writing and approved by the Required Lenders (or by the Administrative Agent with the consent of the Required Lenders) and delivered to the Administrative Agent and, in the case of an amendment, signed by the Borrower; provided, that no amendment, waiver or consent shall: (a) increase or extend the Commitment of any Lender (or reinstate any Commitment terminated pursuant to Section 9.2) or increase the amount of Loans of any Lender, in any case, without the written consent of such Lender; (b) waive, extend or postpone any date fixed by this Agreement or any other Loan Document for any payment of principal, interest, fees or other amounts due to the Lenders (or any of them) hereunder or under any other Loan Document without the written consent of each Lender directly and adversely affected thereby; provided, that only the consent of the Required Lenders shall be required to rescind the acceleration of the Obligations pursuant to Section 9.2 (other than any automatic acceleration upon the occurrence of an Event of Default specified in Section 9.1(h) or (i)) (it being acknowledged and agreed that any such rescission shall not constitute a waiver of any Event of Default hereunder, any such waiver shall be otherwise provided in accordance with the provisions hereof; (c) reduce the principal of, or the rate of interest specified herein on, any Loan or Reimbursement Obligation, or (subject to clauses (iv) and (vii) of the proviso set forth in the paragraph below) any fees or other amounts payable hereunder or under any other Loan Document without the written consent of each Lender directly and adversely affected thereby; provided that (i) only the consent of the Required Lenders shall be necessary to waive any obligation of the Borrower to pay interest at the rate set forth in Section 4.1(b) during the continuance of an Event of Default and (ii) only the consent of the Required Lenders shall be necessary to amend any financial covenant hereunder (or any defined term used therein) even if the effect of such amendment would be to reduce the rate of interest on any Loan or L/C Obligation or to reduce any fee payable hereunder; (d) change Section 4.6 or Section 9.4 (or amend any other term of the Loan Documents that would have the effect of changing Section 4.6 or Section 9.4) in a manner that would alter the pro rata sharing of payments or order of application required thereby without the written consent of each Lender directly and adversely affected thereby; (e) change any provision of this Section or reduce the percentages specified in the definition of “Required Lenders” or any other provision hereof specifying the number or percentage of Lenders required to amend, waive or otherwise modify any rights hereunder or make any determination or grant any consent hereunder, without the written consent of each Lender directly and adversely affected thereby; or (f) consent to the assignment or transfer by the Borrower of its rights and obligations under any Loan Document to which it is a party, in each case, without the written consent of each Lender; provided further, that (i) no amendment, waiver or consent shall, unless in writing and signed by each affected Issuing Lender in addition to the Lenders required above, affect the rights or duties of such Issuing Lender under this Agreement or any Letter of Credit Documents relating to any Letter of Credit issued or


 
99 175130428 to be issued by it; (ii) no amendment, waiver or consent shall, unless in writing and signed by the Swingline Lender in addition to the Lenders required above, affect the rights or duties of the Swingline Lender under this Agreement; (iii) no amendment, waiver or consent shall, unless in writing and signed by the Administrative Agent in addition to the Lenders required above, affect the rights or duties of the Administrative Agent under this Agreement or any other Loan Document or modify Section 11.1(e), Section 11.20 or Article X hereof; (iv) any Fee Letter may be amended, or rights or privileges thereunder waived, in a writing executed only by the parties thereto; (v) each Letter of Credit Document may be amended, or rights or privileges thereunder waived, in a writing executed only by the parties thereto; provided that a copy of such amended Letter of Credit Document shall be promptly delivered to the Administrative Agent upon such amendment or waiver; (vi) the Administrative Agent and the Borrower shall be permitted to amend any provision of the Loan Documents (and such amendment shall become effective without any further action or consent of any other party to any Loan Document) if the Administrative Agent and the Borrower shall have jointly identified an obvious error or any error, ambiguity, defect or inconsistency or omission of a technical, clerical or immaterial nature in any such provision (including any such error having economic effect) and (vii) the Administrative Agent (and, if applicable, the Borrower) may, without the consent of any Lender, enter into amendments or modifications to this Agreement or any of the other Loan Documents or to enter into additional Loan Documents in order to implement any Benchmark Replacement or any Conforming Changes or otherwise effectuate the terms of Section 4.8(c) in accordance with the terms of Section 4.8(c). Notwithstanding anything to the contrary herein, no Defaulting Lender shall have any right to approve or disapprove any amendment, waiver or consent hereunder, except that (A) the Commitment of such Lender may not be increased or extended without the consent of such Lender, and (B) any amendment, waiver, or consent hereunder which requires the consent of all Lenders or each affected Lender that by its terms disproportionately and adversely affects any such Defaulting Lender relative to other affected Lenders shall require the consent of such Defaulting Lender. Notwithstanding anything in this Agreement to the contrary, each Lender hereby irrevocably authorizes the Administrative Agent on its behalf, and without further consent of any Lender (but with the consent of the Borrower and the Administrative Agent), to amend and restate this Agreement and the other Loan Documents if, upon giving effect to such amendment and restatement, such Lender shall no longer be a party to this Agreement (as so amended and restated), the Commitments of such Lender shall have terminated, such Lender shall have no other commitment or other obligation hereunder and shall have been paid in full all principal, interest and other amounts owing to it or accrued for its account under this Agreement and the other Loan Documents. SECTION 11.3 Expenses; Indemnity. (a) Costs and Expenses. The Borrower shall pay (i) all reasonable and documented out of pocket expenses incurred by the Administrative Agent and its Affiliates (including the reasonable fees, charges and disbursements of counsel for the Administrative Agent, but limited, in the case of fees, charges and disbursements of counsel, to the reasonable out-of-pocket fees, disbursements and other charges of one counsel to the Administrative Agent and, if reasonably necessary, a single local counsel in each relevant jurisdiction and with respect to each relevant specialty), in connection with the syndication of the Credit Facility, the preparation, negotiation, execution, delivery and administration of this Agreement and the other Loan Documents or any amendments, modifications or waivers of the provisions hereof or thereof (whether or not the transactions contemplated hereby or thereby shall be consummated), (ii) all reasonable and documented out of pocket expenses incurred by any Issuing Lender in connection with the issuance, amendment, renewal or extension of any Letter of Credit or any demand for payment thereunder and (iii) all out of pocket expenses incurred by the Administrative Agent, any Lender or any Issuing Lender (including the fees, charges and disbursements of any counsel for the Administrative Agent, any Lender or any Issuing Lender), in connection with the enforcement or protection of its rights (A) in connection with this


 
100 175130428 Agreement and the other Loan Documents, including its rights under this Section, or (B) in connection with the Loans made or Letters of Credit issued hereunder, including all such out of pocket expenses incurred during any workout, restructuring or negotiations in respect of such Loans or Letters of Credit. (b) Indemnification by the Borrower. The Borrower shall indemnify the Administrative Agent (and any sub-agent thereof), each Arranger, each Lender and each Issuing Lender, and each Related Party of any of the foregoing Persons (each such Person being called an “Indemnitee”) against, and hold each Indemnitee harmless from, and shall pay or reimburse any such Indemnitee for, any and all losses, claims (including any Environmental Claims), penalties, damages, liabilities and related expenses (including the reasonable fees, charges and disbursements of counsel, but limited, in the case of fees, charges and disbursements of counsel, to the reasonable out-of-pocket fees, disbursements and other charges of one counsel to all Indemnitees, taken as a whole, and, if reasonably necessary, a single local counsel for all Indemnitees, taken as a whole, in each relevant jurisdiction and with respect to each relevant specialty, and in the case of an actual or perceived conflict of interest, one additional primary, local and/or special counsel in each relevant jurisdiction or specialty to the affected Indemnitees similarly situated and taken as a whole), incurred by any Indemnitee or asserted against any Indemnitee by any Person (including the Borrower), arising out of, in connection with, or as a result of (i) the execution or delivery of this Agreement, any other Loan Document or any agreement or instrument contemplated hereby or thereby, the performance by the parties hereto of their respective obligations hereunder or thereunder or the consummation of the transactions contemplated hereby or thereby, (ii) any Loan or Letter of Credit or the use or proposed use of the proceeds therefrom (including any refusal by any Issuing Lender to honor a demand for payment under a Letter of Credit if the documents presented in connection with such demand do not strictly comply with the terms of such Letter of Credit), (iii) any actual or alleged presence or release of Hazardous Materials on or from any property owned or operated by the Borrower or any Subsidiary, or any Environmental Claim related in any way to the Borrower or any Subsidiary, (iv) any actual or prospective claim, litigation, investigation or proceeding relating to any of the foregoing, whether based on contract, tort or any other theory, whether brought by a third party or by the Borrower or any Subsidiary, and regardless of whether any Indemnitee is a party thereto, or (v) any claim (including any Environmental Claims), investigation, litigation or other proceeding (whether or not the Administrative Agent or any Lender is a party thereto) and the prosecution and defense thereof, arising out of or in any way connected with the Loans, this Agreement, any other Loan Document, or any documents contemplated by or referred to herein or therein or the transactions contemplated hereby or thereby; provided that such indemnity shall not, as to any Indemnitee, be available to the extent that such losses, claims, damages, liabilities or related expenses (A) are determined by a court of competent jurisdiction by final and non-appealable judgment to have resulted from the bad faith, gross negligence or willful misconduct of such Indemnitee or any of its Related Indemnitee Parties (as defined below) or (B) result from a claim brought by the Borrower against an Indemnitee for a material breach of such Indemnitee’s obligations hereunder or under any other Loan Document, if the Borrower has obtained a final and non-appealable judgment in its favor on such claim as determined by a court of competent jurisdiction. This Section 11.3(b) shall not apply with respect to Taxes other than any Taxes that represent losses, claims, damages, etc. arising from any non-Tax claim. As used herein, a “Related Indemnitee Party” means, as to any Indemnitee, (i) any Controlling Person or Controlled Affiliate of such Indemnitee, (ii) the respective directors, officers, or employees of such Indemnitee or any of its Controlling Persons or Controlled Affiliates and (iii) the respective agents of such Indemnitee or any of its Controlling Persons or Controlled Affiliates, in the case of this clause (iii), acting at the instructions of such Indemnitee, Controlling Person or such Controlled Affiliate; provided that each reference to a Controlled Affiliate or Controlling Person in this sentence pertains to a Controlled Affiliate or Controlling Person involved in the performance of the Indemnitee’s obligations under this Agreement.


 
101 175130428 (c) Reimbursement by Lenders. To the extent that the Borrower for any reason fails to indefeasibly pay any amount required under clause (a) or (b) of this Section to be paid by it to the Administrative Agent (or any sub-agent thereof), any Arranger, any Issuing Lender, the Swingline Lender or any Related Party of any of the foregoing, each Lender severally agrees to pay to the Administrative Agent (or any such sub-agent), such Arranger, such Issuing Lender, the Swingline Lender or such Related Party, as the case may be, such Lender’s pro rata share (determined as of the time that the applicable unreimbursed expense or indemnity payment is sought based on each Lender’s share of the Total Credit Exposure at such time, or if the Total Credit Exposure has been reduced to zero, then based on such Lender’s share of the Total Credit Exposure immediately prior to such reduction) of such unpaid amount (including any such unpaid amount in respect of a claim asserted by such Lender); provided that the unreimbursed expense or indemnified loss, claim, damage, liability or related expense, as the case may be, was incurred by or asserted against the Administrative Agent (or any such sub-agent), such Arranger, such Issuing Lender or the Swingline Lender in its capacity as such, or against any Related Party of any of the foregoing acting for the Administrative Agent (or any such sub-agent), such Arranger, such Issuing Lender or the Swingline Lender in connection with such capacity. The obligations of the Lenders under this clause (c) are subject to the provisions of Section 4.7. (d) Waiver of Consequential Damages, Etc. To the fullest extent permitted by Applicable Law, no party hereto shall assert, and each party hereto hereby waives, any claim against any Indemnitee, on any theory of liability, for special, indirect, consequential or punitive damages (as opposed to direct or actual damages) arising out of, in connection with, or as a result of, this Agreement, any other Loan Document or any agreement or instrument contemplated hereby, the transactions contemplated hereby or thereby, any Loan or Letter of Credit or the use of the proceeds thereof; provided that, for the avoidance of doubt, the foregoing shall not limit the Borrower’s indemnification or reimbursement obligations under Section 11.3(b) or any similar provision set forth in any other Loan Document to the extent such consequential, punitive, special or indirect damages are included in any third party claim in which an Indemnitee is otherwise entitled to indemnification or reimbursement hereunder or thereunder, as applicable. No Indemnitee referred to in clause (b) above shall be liable for any damages arising from the use by unintended recipients of any information or other materials distributed by it through telecommunications, electronic or other information transmission systems in connection with this Agreement or the other Loan Documents or the transactions contemplated hereby or thereby. (e) Payments. All amounts due under this Section shall be payable promptly after demand therefor. (f) Survival. Each party’s obligations under this Section shall survive the termination of the Loan Documents and payment of the obligations hereunder. SECTION 11.4 Right of Setoff. If an Event of Default shall have occurred and be continuing, each Lender, each Issuing Lender, the Swingline Lender and each of their respective Affiliates is hereby authorized at any time and from time to time, to the fullest extent permitted by Applicable Law, to setoff and apply any and all deposits (general or special, time or demand, provisional or final, in whatever currency) at any time held and other obligations (in whatever currency) at any time owing by such Lender, such Issuing Lender, the Swingline Lender or any such Affiliate to or for the credit or the account of the Borrower against any and all of the obligations of the Borrower now or hereafter existing under this Agreement or any other Loan Document to such Lender, such Issuing Lender or the Swingline Lender or any of their respective Affiliates, irrespective of whether or not such Lender, such Issuing Lender, the Swingline Lender or any such Affiliate shall have made any demand under this Agreement or any other Loan Document and although such obligations of the Borrower may be contingent or unmatured or are owed to a branch or office of such Lender, such Issuing Lender, the Swingline Lender or such Affiliate different from the branch, office or Affiliate holding such deposit or obligated on such indebtedness;


 
102 175130428 provided that in the event that any Defaulting Lender or any Affiliate thereof shall exercise any such right of setoff, (x) all amounts so setoff shall be paid over immediately to the Administrative Agent for further application in accordance with the provisions of Section 4.15 and, pending such payment, shall be segregated by such Defaulting Lender or Affiliate of a Defaulting Lender from its other funds and deemed held in trust for the benefit of the Administrative Agent, the Issuing Lenders, the Swingline Lender and the Lenders, and (y) the Defaulting Lender or its Affiliate shall provide promptly to the Administrative Agent a statement describing in reasonable detail the Obligations owing to such Defaulting Lender or any of its Affiliates as to which such right of setoff was exercised. The rights of each Lender, each Issuing Lender, the Swingline Lender and their respective Affiliates under this Section are in addition to other rights and remedies (including other rights of setoff) that such Lender, such Issuing Lender, the Swingline Lender or their respective Affiliates may have. Each Lender, such Issuing Lender and the Swingline Lender agree to notify the Borrower and the Administrative Agent promptly after any such setoff and application; provided that the failure to give such notice shall not affect the validity of such setoff and application. SECTION 11.5 Governing Law; Jurisdiction, Etc. (a) Governing Law. This Agreement and the other Loan Documents and any claim, controversy, dispute or cause of action (whether in contract or tort or otherwise) based upon, arising out of or relating to this Agreement or any other Loan Document (except, as to any other Loan Document, as expressly set forth therein) and the transactions contemplated hereby and thereby shall be governed by, and construed in accordance with, the law of the State of New York. (b) Submission to Jurisdiction. The Borrower irrevocably and unconditionally agrees that it will not commence any action, litigation or proceeding of any kind or description, whether in law or equity, whether in contract or in tort or otherwise, against the Administrative Agent, any Arranger, any Lender, any Issuing Lender, the Swingline Lender, or any Related Party of the foregoing in any way relating to this Agreement or any other Loan Document or the transactions relating hereto or thereto, in any forum other than the courts of the State of New York sitting in New York County, and of the United States District Court of the Southern District of New York, and any appellate court from any thereof, and each of the parties hereto irrevocably and unconditionally submits to the exclusive jurisdiction of such courts and agrees that all claims in respect of any such action, litigation or proceeding may be heard and determined in such New York State court or, to the fullest extent permitted by Applicable Law, in such federal court. Each of the parties hereto agrees that a final judgment in any such action, litigation or proceeding shall be conclusive and may be enforced in other jurisdictions by suit on the judgment or in any other manner provided by law. Nothing in this Agreement or in any other Loan Document shall affect any right that the Administrative Agent, any Lender, any Issuing Lender or the Swingline Lender may otherwise have to bring any action or proceeding relating to this Agreement or any other Loan Document against the Borrower or its properties in the courts of any jurisdiction. (c) Waiver of Venue. Each party hereto irrevocably and unconditionally waives, to the fullest extent permitted by Applicable Law, any objection that it may now or hereafter have to the laying of venue of any action or proceeding arising out of or relating to this Agreement or any other Loan Document in any court referred to in paragraph (b) of this Section. Each of the parties hereto hereby irrevocably waives, to the fullest extent permitted by Applicable Law, the defense of an inconvenient forum to the maintenance of such action or proceeding in any such court. (d) Service of Process. Each party hereto irrevocably consents to service of process in the manner provided for notices in Section 11.1. Nothing in this Agreement will affect the right of any party hereto to serve process in any other manner permitted by Applicable Law.


 
103 175130428 SECTION 11.6 Waiver of Jury Trial. EACH PARTY HERETO HEREBY IRREVOCABLY WAIVES, TO THE FULLEST EXTENT PERMITTED BY APPLICABLE LAW, ANY RIGHT IT MAY HAVE TO A TRIAL BY JURY IN ANY LEGAL PROCEEDING DIRECTLY OR INDIRECTLY ARISING OUT OF OR RELATING TO THIS AGREEMENT OR ANY OTHER LOAN DOCUMENT OR THE TRANSACTIONS CONTEMPLATED HEREBY OR THEREBY (WHETHER BASED ON CONTRACT, TORT OR ANY OTHER THEORY). IF AND TO THE EXTENT THAT THE FOREGOING WAIVER OF THE RIGHT TO A JURY TRIAL IS UNENFORCEABLE FOR ANY REASON IN SUCH FORUM, EACH OF THE PARTIES HERETO HEREBY CONSENTS TO THE ADJUDICATION OF ALL CLAIMS PURSUANT TO JUDICIAL REFERENCE AS PROVIDED IN CALIFORNIA CODE OF CIVIL PROCEDURE SECTION 638, AND THE JUDICIAL REFEREE SHALL BE EMPOWERED TO HEAR AND DETERMINE ALL ISSUES IN SUCH REFERENCE, WHETHER FACT OR LAW. EACH PARTY HERETO (A) CERTIFIES THAT NO REPRESENTATIVE, AGENT OR ATTORNEY OF ANY OTHER PERSON HAS REPRESENTED, EXPRESSLY OR OTHERWISE, THAT SUCH OTHER PERSON WOULD NOT, IN THE EVENT OF LITIGATION, SEEK TO ENFORCE THE FOREGOING WAIVER AND CONSENT AND (B) ACKNOWLEDGES THAT IT AND THE OTHER PARTIES HERETO HAVE BEEN INDUCED TO ENTER INTO THIS AGREEMENT AND THE OTHER LOAN DOCUMENTS BY, AMONG OTHER THINGS, THE MUTUAL WAIVERS AND CERTIFICATIONS IN THIS SECTION. SECTION 11.7 Reversal of Payments. To the extent the Borrower makes a payment or payments to the Administrative Agent for the ratable benefit of any of the Lender Parties or to any Lender Party directly or the Administrative Agent or any Lender Party receives any payment or any Lender Party exercises its right of setoff, which payments or proceeds (including any proceeds of such setoff) or any part thereof are subsequently invalidated, declared to be fraudulent or preferential, set aside and/or required to be repaid to a trustee, receiver or any other party under any Debtor Relief Law, other Applicable Law or equitable cause, then, to the extent of such payment or proceeds repaid, the Obligations or part thereof intended to be satisfied shall be revived and continued in full force and effect as if such payment or proceeds had not been received by the Administrative Agent, and each Lender and each Issuing Lender severally agrees to pay to the Administrative Agent upon demand its (or its applicable Affiliate’s) applicable ratable share (without duplication) of any amount so recovered from or repaid by the Administrative Agent plus interest thereon at a per annum rate equal to the Overnight Rate from time to time in effect. SECTION 11.8 Injunctive Relief. The Borrower recognizes that, in the event the Borrower fails to perform, observe or discharge any of its obligations or liabilities under this Agreement, any remedy of law may prove to be inadequate relief to the Lenders. Therefore, the Borrower agrees that the Lenders, at the Lenders’ option, shall be entitled to temporary and permanent injunctive relief in any such case without the necessity of proving actual damages. SECTION 11.9 Successors and Assigns; Participations. (a) Successors and Assigns Generally. The provisions of this Agreement shall be binding upon and inure to the benefit of the parties hereto and their respective successors and assigns permitted hereby, except that neither the Borrower may assign or otherwise transfer any of its rights or obligations hereunder without the prior written consent of the Administrative Agent and each Lender and no Lender may assign or otherwise transfer any of its rights or obligations hereunder except (i) to an assignee in accordance with the provisions of paragraph (b) of this Section, (ii) by way of participation in accordance with the provisions of paragraph (d) of this Section or (iii) by way of pledge or assignment of a security interest subject to the restrictions of paragraph (e) of this Section (and any other attempted assignment or transfer by any party hereto shall be null and void). Nothing in this Agreement, expressed or implied, shall be construed to confer upon any Person (other than the parties hereto, their respective successors and assigns permitted hereby, Participants to the extent provided in paragraph (d) of this Section and, to the extent expressly


 
104 175130428 contemplated hereby, the Arrangers, the Related Parties of each of the Administrative Agent, the Arrangers and the Lenders) any legal or equitable right, remedy or claim under or by reason of this Agreement. (b) Assignments by Lenders. Any Lender may at any time assign to one or more assignees all or a portion of its rights and obligations under this Agreement (including all or a portion of its Commitment and the Loans at the time owing to it); provided that any such assignment shall be subject to the following conditions: (i) Minimum Amounts. (A) in the case of an assignment of the entire remaining amount of the assigning Lender’s Commitment and/or the Loans at the time owing to or contemporaneous assignments to related Approved Funds (determined after giving effect to such assignments) that equal at least the amount specified in paragraph (b)(i)(B) of this Section in the aggregate or in the case of an assignment to a Lender, an Affiliate of a Lender or an Approved Fund, no minimum amount need be assigned; and (B) in any case not described in paragraph (b)(i)(A) of this Section, the aggregate amount of the Commitment (which for this purpose includes Loans outstanding thereunder) or, if the Commitment is not then in effect, the principal outstanding balance of the Loans of the assigning Lender subject to each such assignment (determined as of the date the Assignment and Assumption with respect to such assignment is delivered to the Administrative Agent or, if “Trade Date” is specified in the Assignment and Assumption, as of the Trade Date) shall not be less than $5,000,000, unless each of the Administrative Agent and, so long as no Event of Default has occurred and is continuing, the Borrower otherwise consents (each such consent not to be unreasonably withheld or delayed); provided that the Borrower shall be deemed to have given its consent ten (10) Business Days after the date written notice thereof has been delivered by the assigning Lender (through the Administrative Agent) unless such consent is expressly refused by the Borrower prior to such tenth (10th) Business Day; (ii) Proportionate Amounts. Each partial assignment shall be made as an assignment of a proportionate part of all the assigning Lender’s rights and obligations under this Agreement with respect to the Loan or the Commitment assigned; (iii) Required Consents. No consent shall be required for any assignment except to the extent required by paragraph (b)(i)(B) of this Section and, in addition: (A) the consent of the Borrower (such consent not to be unreasonably withheld or delayed) shall be required unless (x) an Event of Default has occurred and is continuing at the time of such assignment or (y) such assignment is to a Lender, an Affiliate of a Lender or an Approved Fund; provided, that the Borrower shall be deemed to have consented to any such assignment unless it shall object thereto by written notice to the Administrative Agent within ten (10) Business Days after having received notice thereof; (B) the consent of the Administrative Agent (such consent not to be unreasonably withheld or delayed) shall be required for assignments if such assignment is to a Person that is not a Lender with a Commitment, an Affiliate of such Lender or an Approved Fund with respect to such Lender; and


 
105 175130428 (C) the consents of the Issuing Lenders and the Swingline Lender (such consents not to be unreasonably withheld or delayed) shall be required for any assignment. (iv) Assignment and Assumption. The parties to each assignment shall execute and deliver to the Administrative Agent an Assignment and Assumption, together with a processing and recordation fee of $3,500 for each assignment; provided that (A) only one such fee will be payable in connection with simultaneous assignments to two or more related Approved Funds by a Lender and (B) the Administrative Agent may, in its sole discretion, elect to waive such processing and recordation fee in the case of any assignment. The assignee, if it is not a Lender, shall deliver to the Administrative Agent an Administrative Questionnaire. (v) No Assignment to Certain Persons. No such assignment shall be made to (A) the Borrower or any of its Subsidiaries or Affiliates, (B) a natural Person (or a holding company, investment vehicle or trust for, or owned and operated for the primary benefit of, a natural Person) or (C) any Defaulting Lender or any of its Subsidiaries, or any Person who, upon becoming a Lender hereunder, would constitute any of the foregoing Persons described in this clause (v). (vi) Certain Additional Payments. In connection with any assignment of rights and obligations of any Defaulting Lender hereunder, no such assignment shall be effective unless and until, in addition to the other conditions thereto set forth herein, the parties to the assignment shall make such additional payments to the Administrative Agent in an aggregate amount sufficient, upon distribution thereof as appropriate (which may be outright payment, purchases by the assignee of participations or subparticipations, or other compensating actions, including funding, with the consent of the Borrower and the Administrative Agent, the applicable pro rata share of Loans previously requested, but not funded by, the Defaulting Lender, to each of which the applicable assignee and assignor hereby irrevocably consent), to (A) pay and satisfy in full all payment liabilities then owed by such Defaulting Lender to the Administrative Agent, the Issuing Lenders, the Swingline Lender and each other Lender hereunder (and interest accrued thereon), and (B) acquire (and fund as appropriate) its full pro rata share of all Loans and participations in Letters of Credit and Swingline Loans in accordance with its Commitment Percentage. Notwithstanding the foregoing, in the event that any assignment of rights and obligations of any Defaulting Lender hereunder shall become effective under Applicable Law without compliance with the provisions of this paragraph, then the assignee of such interest shall be deemed to be a Defaulting Lender for all purposes of this Agreement until such compliance occurs. Subject to acceptance and recording thereof by the Administrative Agent pursuant to paragraph (c) of this Section, from and after the effective date specified in each Assignment and Assumption, the assignee thereunder shall be a party to this Agreement and, to the extent of the interest assigned by such Assignment and Assumption, have the rights and obligations of a Lender under this Agreement, and the assigning Lender thereunder shall, to the extent of the interest assigned by such Assignment and Assumption, be released from its obligations under this Agreement (and, in the case of an Assignment and Assumption covering all of the assigning Lender’s rights and obligations under this Agreement, such Lender shall cease to be a party hereto) but shall continue to be entitled to the benefits of Sections 4.8, 4.9, 4.10, 4.11 and 11.3 with respect to facts and circumstances occurring prior to the effective date of such assignment; provided, that except to the extent otherwise expressly agreed by the affected parties, no assignment by a Defaulting Lender will constitute a waiver or release of any claim of any party hereunder arising from that Lender’s having been a Defaulting Lender. Any assignment or transfer by a Lender of rights or obligations under this Agreement that does not comply with this paragraph shall be treated for purposes of this Agreement as a sale by such Lender of a participation in such rights and obligations in accordance with paragraph (d) of this Section (other than a purported assignment to a natural Person or the Borrower or any of the Borrower’s Subsidiaries or Affiliates, which shall be null and void).


 
106 175130428 (c) Register. The Administrative Agent, acting solely for this purpose as a non-fiduciary agent of the Borrower, shall maintain at one of its offices in Charlotte, North Carolina, a register for the recordation of the names and addresses of the Lenders, and the Commitments of, and principal amounts of (and stated interest on) the Loans owing to, each Lender pursuant to the terms hereof from time to time (the “Register”). The entries in the Register shall be conclusive, absent manifest error, and the Borrower, the Administrative Agent and the Lenders shall treat each Person whose name is recorded in the Register pursuant to the terms hereof as a Lender hereunder for all purposes of this Agreement. The Register shall be available for inspection by the Borrower and any Lender (but only to the extent of entries in the Register that are applicable to such Lender), at any reasonable time and from time to time upon reasonable prior notice. (d) Participations. Any Lender may at any time, without the consent of, or notice to, the Borrower, the Administrative Agent, any Issuing Lender or the Swingline Lender, sell participations to any Person (other than a natural Person, (or a holding company, investment vehicle or trust for, or owned and operated for the primary benefit of, a natural Person, or the Borrower or any of the Borrower’s Subsidiaries or Affiliates) (each, a “Participant”) in all or a portion of such Lender’s rights and/or obligations under this Agreement (including all or a portion of its Commitment and/or the Loans owing to it); provided that (i) such Lender’s obligations under this Agreement shall remain unchanged, (ii) such Lender shall remain solely responsible to the other parties hereto for the performance of such obligations and (iii) the Borrower, the Administrative Agent, each Issuing Lender, the Swingline Lender and the other Lenders shall continue to deal solely and directly with such Lender in connection with such Lender’s rights and obligations under this Agreement. For the avoidance of doubt, each Lender shall be responsible for the indemnity under Section 11.3(c) with respect to any payments made by such Lender to its Participant(s). Any agreement or instrument pursuant to which a Lender sells such a participation shall provide that such Lender shall retain the sole right to enforce this Agreement and to approve any amendment, modification or waiver of any provision of this Agreement; provided that such agreement or instrument may provide that such Lender will not, without the consent of the Participant, agree to any amendment, modification or waiver described in Section 11.2(a), (b) or (c) that directly and adversely affects such Participant. The Borrower agrees that each Participant shall be entitled to the benefits of Sections 4.9, 4.10 and 4.11 (subject to the requirements and limitations therein, including the requirements under Section 4.11(g) (it being understood that the documentation required under Section 4.11(g) shall be delivered to the participating Lender)) to the same extent as if it were a Lender and had acquired its interest by assignment pursuant to paragraph (b) of this Section; provided that such Participant (A) agrees to be subject to the provisions of Section 4.12 as if it were an assignee under paragraph (b) of this Section; and (B) shall not be entitled to receive any greater payment under Sections 4.10 or 4.11, with respect to any participation, than its participating Lender would have been entitled to receive, except to the extent such entitlement to receive a greater payment results from a Change in Law that occurs after the Participant acquired the applicable participation. Each Lender that sells a participation agrees, at the Borrower’s request and expense, to use reasonable efforts to cooperate with the Borrower to effectuate the provisions of Section 4.12(b) with respect to any Participant. To the extent permitted by law, each Participant also shall be entitled to the benefits of Section 11.4 as though it were a Lender; provided that such Participant agrees to be subject to Section 4.6 and Section 11.4 as though it were a Lender. Each Lender that sells a participation shall, acting solely for this purpose as a non-fiduciary agent of the Borrower, maintain a register on which it enters the name and address of each Participant and the principal amounts of (and stated interest on) each Participant’s interest in the Loans or other obligations under the Loan Documents (the “Participant Register”); provided that no Lender shall have any obligation to disclose all or any portion of the Participant Register (including the identity of any Participant or any information relating to a Participant’s interest in any commitments, loans, letters of credit or its other obligations under any Loan Document) to any Person except to the extent that such disclosure is necessary


 
107 175130428 to establish that such commitment, loan, letter of credit or other obligation is in registered form under Section 5f.103-1(c) or Proposed Section 1.163-5(b) of the United States Treasury Regulations (or, in each case, any amended or successor version). The entries in the Participant Register shall be conclusive absent manifest error, and such Lender shall treat each Person whose name is recorded in the Participant Register as the owner of such participation for all purposes of this Agreement notwithstanding any notice to the contrary. For the avoidance of doubt, the Administrative Agent (in its capacity as Administrative Agent) shall have no responsibility for maintaining a Participant Register. (e) Certain Pledges. Any Lender may at any time pledge or assign a security interest in all or any portion of its rights under this Agreement to secure obligations of such Lender, including any pledge or assignment to secure obligations to a Federal Reserve Bank; provided that no such pledge or assignment shall release such Lender from any of its obligations hereunder or substitute any such pledgee or assignee for such Lender as a party hereto. (f) Cashless Settlement. Notwithstanding anything to the contrary contained in this Agreement, any Lender may exchange, continue or rollover all or a portion of its Loans in connection with any refinancing, extension, loan modification or similar transaction permitted by the terms of this Agreement, pursuant to a cashless settlement mechanism approved by the Borrower, the Administrative Agent and such Lender. SECTION 11.10 Treatment of Certain Information; Confidentiality. Each of the Administrative Agent, the Lenders and each Issuing Lender agrees to maintain the confidentiality of the Information (as defined below), except that Information may be disclosed (a) to its Affiliates and to its and its Affiliates’ respective Related Parties in connection with the Credit Facility, this Agreement, the transactions contemplated hereby or in connection with marketing of services by such Affiliate or Related Party to the Borrower or any of its Subsidiaries (it being understood that the Persons to whom such disclosure is made will be informed of the confidential nature of such Information and instructed to keep such Information confidential), (b) to the extent required or requested by, or required to be disclosed to, any regulatory or similar authority purporting to have jurisdiction over such Person or its Related Parties (including any self- regulatory authority, such as the National Association of Insurance Commissioners) or in accordance with the Administrative Agent’s, such Issuing Lender’s or any Lender’s regulatory compliance policy if the Administrative Agent, such Issuing Lender or such Lender, as applicable, deems such disclosure to be necessary for the mitigation of claims by those authorities against the Administrative Agent, such Issuing Lender or such Lender, as applicable, or any of its Related Parties (in which case, the Administrative Agent, such Issuing Lender or such Lender, as applicable, shall use commercially reasonable efforts to, except with respect to any audit or examination conducted by bank accountants or any governmental bank regulatory authority exercising examination or regulatory authority, promptly notify the Borrower, in advance, to the extent practicable and otherwise permitted by Applicable Law), (c) as to the extent required by Applicable Laws or regulations or in any legal, judicial, administrative proceeding or other compulsory process, (d) to any other party hereto, (e) in connection with the exercise of any remedies under this Agreement or under any other Loan Document, or any action or proceeding relating to this Agreement or any other Loan Document, or the enforcement of rights hereunder or thereunder, (f) subject to an agreement containing provisions substantially the same as those of this Section, to (i) any assignee of or Participant in, or any prospective assignee of or Participant in, any of its rights and obligations under this Agreement and, in each case, their respective financing sources, (ii) any actual or prospective party (or its Related Parties) to any swap, derivative or other transaction under which payments are to be made by reference to the Borrower and its obligations, this Agreement or payments hereunder, (g) on a confidential basis to (i) any rating agency in connection with rating the Borrower or its Subsidiaries or the Credit Facility or (ii) the CUSIP Service Bureau or any similar agency in connection with the issuance and monitoring of CUSIP numbers with respect to the Credit Facility, (h) with the consent of the Borrower, (i) deal terms and other information customarily reported to Thomson Reuters, other bank market data collectors and similar service


 
108 175130428 providers to the lending industry and service providers to the Administrative Agent and the Lenders in connection with the administration of the Loan Documents, (j) to the extent such Information (i) becomes publicly available other than as a result of a breach of this Section or (ii) becomes available to the Administrative Agent, any Lender, any Issuing Lender or any of their respective Affiliates from a third party that is not, to such Person’s knowledge, subject to confidentiality obligations to the Borrower, (k) to the extent that such information is independently developed by such Person, (l) to the extent required by an insurance company in connection with providing insurance coverage or providing reimbursement pursuant to this Agreement or (m) for purposes of establishing a “due diligence” defense. For purposes of this Section, “Information” means all information received from the Borrower or any Subsidiary thereof relating to the Borrower or any Subsidiary thereof or any of their respective businesses, other than any such information that is available to the Administrative Agent, any Lender or any Issuing Lender on a nonconfidential basis prior to disclosure by the Borrower or any Subsidiary thereof. Any Person required to maintain the confidentiality of Information as provided in this Section shall be considered to have complied with its obligation to do so if such Person has exercised the same degree of care to maintain the confidentiality of such Information as such Person would accord to its own confidential information. SECTION 11.11 Performance of Duties. The Borrower’s obligations under this Agreement and each of the other Loan Documents shall be performed by the Borrower at its sole cost and expense. SECTION 11.12 All Powers Coupled with Interest. All powers of attorney and other authorizations granted to the Lenders, the Administrative Agent and any Persons designated by the Administrative Agent or any Lender pursuant to any provisions of this Agreement or any of the other Loan Documents shall be deemed coupled with an interest and shall be irrevocable so long as any of the Obligations remain unpaid or unsatisfied (other than contingent indemnification obligations not then due), any of the Commitments remain in effect or the Credit Facility has not been terminated. SECTION 11.13 Survival. (a) All representations and warranties set forth in Article VI and all representations and warranties contained in any certificate, or any of the Loan Documents (including, but not limited to, any such representation or warranty made in or in connection with any amendment thereto) shall constitute representations and warranties made under this Agreement. All representations and warranties made under this Agreement shall be made or deemed to be made at and as of the Closing Date (except those that are expressly made as of a specific date), shall survive the Closing Date and shall not be waived by the execution and delivery of this Agreement, any investigation made by or on behalf of the Lenders or any borrowing hereunder. (b) Notwithstanding any termination of this Agreement, the indemnities to which the Administrative Agent and the Lenders are entitled under the provisions of this Article XI and any other provision of this Agreement and the other Loan Documents shall continue in full force and effect and shall protect the Administrative Agent and the Lenders against events arising after such termination as well as before. SECTION 11.14 Titles and Captions. Titles and captions of Articles, Sections and subsections in, and the table of contents of, this Agreement are for convenience only, and neither limit nor amplify the provisions of this Agreement. SECTION 11.15 Severability of Provisions. Any provision of this Agreement or any other Loan Document which is prohibited or unenforceable in any jurisdiction shall, as to such jurisdiction, be ineffective only to the extent of such prohibition or unenforceability without invalidating the remainder of such provision or the remaining provisions hereof or thereof or affecting the validity or enforceability of


 
109 175130428 such provision in any other jurisdiction. In the event that any provision is held to be so prohibited or unenforceable in any jurisdiction, the Administrative Agent, the Lenders and the Borrower shall negotiate in good faith to amend such provision to preserve the original intent thereof in such jurisdiction (subject to the approval of the Required Lenders). SECTION 11.16 Counterparts; Integration; Effectiveness; Electronic Execution. (a) Counterparts; Integration; Effectiveness. This Agreement may be executed in counterparts (and by different parties hereto in different counterparts), each of which shall constitute an original, but all of which when taken together shall constitute a single contract. This Agreement and the other Loan Documents, and any separate letter agreements with respect to fees payable to the Administrative Agent, any Issuing Lender, the Swingline Lender and/or any Arranger, constitute the entire contract among the parties relating to the subject matter hereof and supersede any and all previous agreements and understandings, oral or written, relating to the subject matter hereof. Except as provided in Section 6.1, this Agreement shall become effective when it shall have been executed by the Administrative Agent and when the Administrative Agent shall have received counterparts hereof that, when taken together, bear the signatures of each of the other parties hereto. Delivery of an executed counterpart of a signature page of this Agreement by facsimile or in electronic (i.e., “pdf” or “tif”) format shall be effective as delivery of a manually executed counterpart of this Agreement. (b) Electronic Execution. The words “execute,” “execution,” “signed,” “signature,” “delivery” and words of like import in or related to this Agreement, any other Loan Document or any document, amendment, approval, consent, waiver, modification, information, notice, certificate, report, statement, disclosure, or authorization to be signed or delivered in connection with this Agreement or any other Loan Document or the transactions contemplated hereby shall be deemed to include Electronic Signatures or execution in the form of an Electronic Record, and contract formations on electronic platforms approved by the Administrative Agent, deliveries or the keeping of records in electronic form, each of which shall be of the same legal effect, validity or enforceability as a manually executed signature or the use of a paper-based recordkeeping system, as the case may be, to the extent and as provided for in any Applicable Law, including the Federal Electronic Signatures in Global and National Commerce Act, the New York State Electronic Signatures and Records Act, or any other similar state laws based on the Uniform Electronic Transactions Act. Each party hereto agrees that any Electronic Signature or execution in the form of an Electronic Record shall be valid and binding on itself and each of the other parties hereto to the same extent as a manual, original signature. For the avoidance of doubt, the authorization under this paragraph may include, without limitation, use or acceptance by the parties of a manually signed paper which has been converted into electronic form (such as scanned into PDF format), or an electronically signed paper converted into another format, for transmission, delivery and/or retention. Notwithstanding anything contained herein to the contrary, the Administrative Agent is under no obligation to accept an Electronic Signature in any form or in any format unless expressly agreed to by the Administrative Agent pursuant to procedures approved by it; provided that without limiting the foregoing, (i) to the extent the Administrative Agent has agreed to accept such Electronic Signature from any party hereto, the Administrative Agent and the other parties hereto shall be entitled to rely on any such Electronic Signature purportedly given by or on behalf of the executing party without further verification and (ii) upon the request of the Administrative Agent or any Lender, any Electronic Signature shall be promptly followed by an original manually executed counterpart thereof. Without limiting the generality of the foregoing, each party hereto hereby (A) agrees that, for all purposes, including without limitation, in connection with any workout, restructuring, enforcement of remedies, bankruptcy proceedings or litigation among the Administrative Agent, the Lenders and the Borrower, electronic images of this Agreement or any other Loan Document (in each case, including with respect to any signature pages thereto) shall have the same legal effect, validity and enforceability as any paper original, and (B) waives any argument, defense or right


 
110 175130428 to contest the validity or enforceability of the Loan Documents based solely on the lack of paper original copies of any Loan Documents, including with respect to any signature pages thereto. SECTION 11.17 Term of Agreement. This Agreement shall remain in effect from the Closing Date through and including the date upon which all Obligations (other than contingent indemnification obligations not then due) arising hereunder or under any other Loan Document shall have been paid and satisfied in full in cash, all Letters of Credit have been terminated or expired (or been Cash Collateralized) or otherwise satisfied in a manner acceptable to the applicable Issuing Lender) and the Commitments have been terminated. No termination of this Agreement shall affect the rights and obligations of the parties hereto arising prior to such termination or in respect of any provision of this Agreement which survives such termination. SECTION 11.18 USA PATRIOT Act; Anti-Money Laundering Laws. The Administrative Agent and each Lender hereby notifies the Borrower that pursuant to the requirements of the PATRIOT Act or any other Anti-Money Laundering Laws, each of them is required to obtain, verify and record information that identifies the Borrower, which information includes the name and address of the Borrower and other information that will allow such Lender to identify the Borrower in accordance with the PATRIOT Act or such Anti-Money Laundering Laws. SECTION 11.19 Independent Effect of Covenants. The Borrower expressly acknowledges and agrees that each covenant contained in Articles VII or VIII hereof shall be given independent effect. Accordingly, the Borrower shall not engage in any transaction or other act otherwise permitted under any covenant contained in Articles VII or VIII, before or after giving effect to such transaction or act, the Borrower shall or would be in breach of any other covenant contained in Articles VII or VIII. SECTION 11.20 No Advisory or Fiduciary Responsibility. (a) In connection with all aspects of each transaction contemplated hereby, the Borrower acknowledges and agrees, and acknowledges its Affiliates’ understanding, that (i) the facilities provided for hereunder and any related arranging or other services in connection therewith (including in connection with any amendment, waiver or other modification hereof or of any other Loan Document) are an arm’s- length commercial transaction between the Borrower and its Affiliates, on the one hand, and the Administrative Agent, the Arrangers and the Lenders, on the other hand, and the Borrower is capable of evaluating and understanding and understands and accepts the terms, risks and conditions of the transactions contemplated hereby and by the other Loan Documents (including any amendment, waiver or other modification hereof or thereof), (ii) in connection with the process leading to such transaction, each of the Administrative Agent, the Arrangers and the Lenders is and has been acting solely as a principal and is not the financial advisor, agent or fiduciary, for the Borrower or any of its Affiliates, stockholders, creditors or employees or any other Person, (iii) none of the Administrative Agent, the Arrangers or the Lenders has assumed or will assume an advisory, agency or fiduciary responsibility in favor of the Borrower with respect to any of the transactions contemplated hereby or the process leading thereto, including with respect to any amendment, waiver or other modification hereof or of any other Loan Document (irrespective of whether any Arranger or Lender has advised or is currently advising the Borrower or any of its Affiliates on other matters) and none of the Administrative Agent, the Arrangers or the Lenders has any obligation to the Borrower or any of its Affiliates with respect to the financing transactions contemplated hereby except those obligations expressly set forth herein and in the other Loan Documents, (iv) the Arrangers and the Lenders and their respective Affiliates may be engaged in a broad range of transactions that involve interests that differ from, and may conflict with, those of the Borrower and its Affiliates, and none of the Administrative Agent, the Arrangers or the Lenders has any obligation to disclose any of such interests by virtue of any advisory, agency or fiduciary relationship and (v) the Administrative Agent, the Arrangers and the Lenders have not provided and will not provide any legal, accounting, regulatory or tax advice with


 
111 175130428 respect to any of the transactions contemplated hereby (including any amendment, waiver or other modification hereof or of any other Loan Document) and the Borrower has consulted its own legal, accounting, regulatory and tax advisors to the extent they have deemed appropriate. (b) Subject to Section 11.10, the Borrower acknowledges and agrees that each Lender, each Arranger and any Affiliate thereof may lend money to, invest in, and generally engage in any kind of business with, any of the Borrower, any Affiliate thereof or any other person or entity that may do business with or own securities of any of the foregoing, all as if such Lender, such Arranger or such Affiliate thereof were not a Lender or an Arranger or an Affiliate thereof (or an agent or any other person with any similar role under the Credit Facility) and without any duty to account therefor to any other Lender, any Arranger, the Borrower or any Affiliate of the foregoing. Each Lender, each Arranger and any Affiliate thereof may accept fees and other consideration from the Borrower or any Affiliate thereof for services in connection with this Agreement, the Credit Facility or otherwise without having to account for the same to any other Lender, any other Arranger, the Borrower or any Affiliate of the foregoing. SECTION 11.21 Inconsistencies with Other Documents. In the event there is a conflict or inconsistency between this Agreement and any other Loan Document, the terms of this Agreement shall control. SECTION 11.22 Acknowledgement and Consent to Bail-In of Affected Financial Institutions. Notwithstanding anything to the contrary in any Loan Document or in any other agreement, arrangement or understanding among any such parties, each party hereto acknowledges that any liability of any Affected Financial Institution arising under any Loan Document, to the extent such liability is unsecured, may be subject to the Write-Down and Conversion Powers of the applicable Resolution Authority and agrees and consents to, and acknowledges and agrees to be bound by: (a) the application of any Write-Down and Conversion Powers by the applicable Resolution Authority to any such liabilities arising hereunder which may be payable to it by any party hereto that is an Affected Financial Institution; and (b) the effects of any Bail-In Action on any such liability, including, if applicable: (i) a reduction in full or in part or cancellation of any such liability; (ii) a conversion of all, or a portion of, such liability into shares or other instruments of ownership in such Affected Financial Institution, its parent undertaking, or a bridge institution that may be issued to it or otherwise conferred on it, and that such shares or other instruments of ownership will be accepted by it in lieu of any rights with respect to any such liability under this Agreement or any other Loan Document; or (iii) the variation of the terms of such liability in connection with the exercise of the Write-Down and Conversion Powers of the applicable Resolution Authority. SECTION 11.23 Acknowledgement Regarding Any Supported QFCs. To the extent that the Loan Documents provide support, through a guarantee or otherwise, for Hedge Agreements or any other agreement or instrument that is a QFC (such support, “QFC Credit Support” and, each such QFC, a “Supported QFC”), the parties acknowledge and agree as follows with respect to the resolution power of the FDIC under the Federal Deposit Insurance Act and Title II of the Dodd-Frank Wall Street Reform and Consumer Protection Act (together with the regulations promulgated thereunder, the “U.S. Special Resolution Regimes”) in respect of such Supported QFC and QFC Credit Support (with the provisions below applicable notwithstanding that the Loan Documents and any Supported QFC may in fact be stated


 
112 175130428 to be governed by the laws of the State of New York and/or of the United States or any other state of the United States): (a) In the event a Covered Entity that is party to a Supported QFC (each, a “Covered Party”) becomes subject to a proceeding under a U.S. Special Resolution Regime, the transfer of such Supported QFC and the benefit of such QFC Credit Support (and any interest and obligation in or under such Supported QFC and such QFC Credit Support, and any rights in property securing such Supported QFC or such QFC Credit Support) from such Covered Party will be effective to the same extent as the transfer would be effective under the U.S. Special Resolution Regime if the Supported QFC and such QFC Credit Support (and any such interest, obligation and rights in property) were governed by the laws of the United States or a state of the United States. In the event a Covered Party or a BHC Act Affiliate of a Covered Party becomes subject to a proceeding under a U.S. Special Resolution Regime, Default Rights under the Loan Documents that might otherwise apply to such Supported QFC or any QFC Credit Support that may be exercised against such Covered Party are permitted to be exercised to no greater extent than such Default Rights could be exercised under the U.S. Special Resolution Regime if the Supported QFC and the Loan Documents were governed by the laws of the United States or a state of the United States. Without limitation of the foregoing, it is understood and agreed that rights and remedies of the parties with respect to a Defaulting Lender shall in no event affect the rights of any Covered Party with respect to a Supported QFC or any QFC Credit Support. (b) As used in this Section 11.23, the following terms have the following meanings: “BHC Act Affiliate” of a party means an “affiliate” (as such term is defined under, and interpreted in accordance with, 12 U.S.C. 1841(k)) of such party. “Covered Entity” means any of the following: (i) a “covered entity” as that term is defined in, and interpreted in accordance with, 12 C.F.R. § 252.82(b); (ii) a “covered bank” as that term is defined in, and interpreted in accordance with, 12 C.F.R. § 47.3(b); or (iii) a “covered FSI” as that term is defined in, and interpreted in accordance with, 12 C.F.R. § 382.2(b). “Default Right” has the meaning assigned to that term in, and shall be interpreted in accordance with, 12 C.F.R. §§ 252.81, 47.2 or 382.1, as applicable. “QFC” has the meaning assigned to the term “qualified financial contract” in, and shall be interpreted in accordance with, 12 U.S.C. 5390(c)(8)(D). [Signature pages to follow]


 
IN WITNESS WHEREOF, the parties hereto have caused this Agreement to be executed under seal by their duly authorized officers, all as of the day and year first written above. AMERICAN STATES WATER COMPANY, as Borrower By:____________ Name: Robert J. Spt<vls Title: President and Chief Executive Officer CREDIT AGREEMENT (American States Water Company) Signature Page 17513042$


 


 
CREDIT AGREEMENT (American States Water Company) Signature Page 175130428 BANK OF CHINA, LOS ANGELES BRANCH, as a Lender By: _________________________________________ Name: Jason Fu Title: Senior Vice President


 
CREDIT AGREEMENT (American States Water Company) Signature Page 175130428 THE NORTHERN TRUST COMPANY, as a Lender By: _________________________________________ Name: Jeffrey Leets Title: Vice President


 
175631965 EXHIBIT A-1 to Credit Agreement dated as of June 28, 2023 by and among American States Water Company, as Borrower, the lenders party thereto, as Lenders, and Wells Fargo Bank, National Association, as Administrative Agent FORM OF REVOLVING CREDIT NOTE


 
Form of Revolving Credit Note 175631965 REVOLVING CREDIT NOTE __________, 20___ FOR VALUE RECEIVED, the undersigned, AMERICAN STATES WATER COMPANY, a California corporation (the “Borrower”), promises to pay to _______________ (the “Lender”), at the place and times provided in the Credit Agreement referred to below, the unpaid principal amount of all Revolving Credit Loans of the Lender from time to time pursuant to that certain Credit Agreement, dated as of June 28, 2023 (the “Credit Agreement”) by and among the Borrower, the Lenders party thereto and Wells Fargo Bank, National Association, as Administrative Agent. Capitalized terms used herein and not defined herein shall have the meanings assigned thereto in the Credit Agreement. The unpaid principal amount of this Revolving Credit Note from time to time outstanding is payable as provided in the Credit Agreement and shall bear interest as provided in Section 4.1 of the Credit Agreement. All payments of principal and interest on this Revolving Credit Note shall be payable in Dollars in immediately available funds as provided in the Credit Agreement. This Revolving Credit Note is entitled to the benefits of, and evidences Obligations incurred under, the Credit Agreement, to which reference is made for a description of the security for this Revolving Credit Note and for a statement of the terms and conditions on which the Borrower is permitted and required to make prepayments and repayments of principal of the Obligations evidenced by this Revolving Credit Note and on which such Obligations may be declared to be immediately due and payable. THIS REVOLVING CREDIT NOTE SHALL BE GOVERNED BY, AND CONSTRUED IN ACCORDANCE WITH THE LAW OF THE STATE OF NEW YORK. The Borrower hereby waives all requirements as to diligence, presentment, demand of payment, protest and (except as required by the Credit Agreement) notice of any kind with respect to this Revolving Credit Note. [Remainder of page intentionally left blank; signature page follows]


 
Form of Revolving Credit Note 175631965 IN WITNESS WHEREOF, the undersigned has executed this Revolving Credit Note under seal as of the day and year first above written. AMERICAN STATES WATER COMPANY By: Name: Title:


 
175631965 EXHIBIT A-2 to Credit Agreement dated as of June 28, 2023 by and among American States Water Company, as Borrower, the lenders party thereto, as Lenders, and Wells Fargo Bank, National Association, as Administrative Agent FORM OF SWINGLINE NOTE


 
Form of Swingline Note 175631965 SWINGLINE NOTE __________, 20___ FOR VALUE RECEIVED, the undersigned, AMERICAN STATES WATER COMPANY, a California corporation (the “Borrower”), promises to pay to WELLS FARGO BANK, NATIONAL ASSOCIATION (the “Lender”), at the place and times provided in the Credit Agreement referred to below, the unpaid principal amount of all Swingline Loans of the Lender from time to time pursuant to that certain Credit Agreement, dated as of June 28, 2023 (the “Credit Agreement”) by and among the Borrower, the Lenders party thereto and Wells Fargo Bank, National Association, as Administrative Agent. Capitalized terms used herein and not defined herein shall have the meanings assigned thereto in the Credit Agreement. The unpaid principal amount of this Swingline Note from time to time outstanding is payable as provided in the Credit Agreement and shall bear interest as provided in Section 4.1 of the Credit Agreement. Swingline Loans refunded as Revolving Credit Loans in accordance with Section 2.2(b) of the Credit Agreement shall be payable by the Borrower as Revolving Credit Loans pursuant to the Revolving Credit Notes, and shall not be payable under this Swingline Note as Swingline Loans. All payments of principal and interest on this Swingline Note shall be payable in Dollars in immediately available funds as provided in the Credit Agreement. This Swingline Note is entitled to the benefits of, and evidences Obligations incurred under, the Credit Agreement, to which reference is made for a description of the security for this Swingline Note and for a statement of the terms and conditions on which the Borrower is permitted and required to make prepayments and repayments of principal of the Obligations evidenced by this Swingline Note and on which such Obligations may be declared to be immediately due and payable. THIS SWINGLINE NOTE SHALL BE GOVERNED BY, AND CONSTRUED IN ACCORDANCE WITH THE LAW OF THE STATE OF NEW YORK. The Borrower hereby waives all requirements as to diligence, presentment, demand of payment, protest and (except as required by the Credit Agreement) notice of any kind with respect to this Swingline Note. [Remainder of page intentionally left blank; signature page follows]


 
Form of Swingline Note 175631965 IN WITNESS WHEREOF, the undersigned has executed this Swingline Note under seal as of the day and year first above written. AMERICAN STATES WATER COMPANY By: Name: Title:


 
175631965 EXHIBIT B to Credit Agreement dated as of June 28, 2023 by and among American States Water Company, as Borrower, the lenders party thereto, as Lenders, and Wells Fargo Bank, National Association, as Administrative Agent FORM OF NOTICE OF BORROWING


 
Form of Notice of Borrowing 175631965 NOTICE OF BORROWING Dated as of: _____________ Wells Fargo Bank, National Association, as Administrative Agent MAC D 1109-019 1525 West W.T. Harris Blvd. Charlotte, North Carolina 28262 Attention: Syndication Agency Services Ladies and Gentlemen: This irrevocable Notice of Borrowing is delivered to you pursuant to Section 2.3(a) of the Credit Agreement dated as of June 28, 2023 (the “Credit Agreement”), by and among American States Water Company, a California corporation (the “Borrower”), the Lenders party thereto and Wells Fargo Bank, National Association, as Administrative Agent. Capitalized terms used herein and not defined herein shall have the meanings assigned thereto in the Credit Agreement. 1. The Borrower hereby requests that the Lenders make: a Swingline Loan a Revolving Credit Loan in the aggregate principal amount of: $_______________1 2. Such Loan to be made on: ____________________2 3. Such Revolving Credit Loan to be dominated in Dollars. 4. Such Loan to be made as a (not applicable for Swingline Loans): Base Rate Loan SOFR Loan 5. Such Loan to have the following Interest Period:3 One month Three months Six months 1 Complete with an amount in accordance with Section 2.3(a) of the Credit Agreement. 2 Complete with a Business Day in accordance with Section 2.3(a) of the Credit Agreement for Revolving Credit Loans or Swingline Loans. 3 For SOFR Loans only.


 
Form of Notice of Borrowing 175631965 The Borrower hereby represents and warrants that (a) aggregate principal amount of all Loans and L/C Obligations outstanding as of the date hereof (including the Loan(s) requested herein) does not exceed the maximum amount permitted to be outstanding pursuant to the terms of the Credit Agreement and (b) all of the conditions applicable to this Extension of Credit specified in clauses (a) and (b) of Section 5.2 of the Credit Agreement have been satisfied. [Remainder of page intentionally left blank; signature page follows]


 
Form of Notice of Borrowing 175631965 IN WITNESS WHEREOF, the undersigned has executed this Notice of Borrowing as of the day and year first written above. AMERICAN STATES WATER COMPANY By: Name: Title:


 
175631965 EXHIBIT C to Credit Agreement dated as of June 28, 2023 by and among American States Water Company, as Borrower, the lenders party thereto, as Lenders, and Wells Fargo Bank, National Association, as Administrative Agent FORM OF NOTICE OF ACCOUNT DESIGNATION


 
Form of Notice of Account Designation 175631965 NOTICE OF ACCOUNT DESIGNATION Dated as of: _________ Wells Fargo Bank, National Association, as Administrative Agent MAC D 1109-019 1525 West W.T. Harris Blvd. Charlotte, North Carolina 28262 Attention: Syndication Agency Services Ladies and Gentlemen: This Notice of Account Designation is delivered to you pursuant to Section 2.3(b) of the Credit Agreement dated as of June 28, 2023 (the “Credit Agreement”), by and among American States Water Company, a California corporation, as Borrower, the Lenders party thereto and Wells Fargo Bank, National Association, as Administrative Agent. Capitalized terms used herein and not defined herein shall have the meanings assigned thereto in the Credit Agreement. 1. The Administrative Agent is hereby authorized to disburse all Loan proceeds into the following account(s): ____________________________ Bank Name: ____________ ABA Routing Number: _________ Account Number: _____________ 2. This authorization shall remain in effect until revoked or until a subsequent Notice of Account Designation is provided to the Administrative Agent. [Remainder of page intentionally left blank; signature page follows]


 
Form of Notice of Account Designation 175631965 IN WITNESS WHEREOF, the undersigned has executed this Notice of Account Designation as of the day and year first written above. AMERICAN STATES WATER COMPANY By: Name: Title:


 
175631965 EXHIBIT D to Credit Agreement dated as of June 28, 2023 by and among American States Water Company, as Borrower, the lenders party thereto, as Lenders, and Wells Fargo Bank, National Association, as Administrative Agent FORM OF NOTICE OF PREPAYMENT


 
Form of Notice of Prepayment 175631965 NOTICE OF PREPAYMENT Dated as of: _____________ Wells Fargo Bank, National Association, as Administrative Agent MAC D 1109-019 1525 West W.T. Harris Blvd. Charlotte, North Carolina 28262 Attention: Syndication Agency Services Ladies and Gentlemen: This irrevocable Notice of Prepayment is delivered to you pursuant to Section 2.4(c) of the Credit Agreement dated as of June 28, 2023 (the “Credit Agreement”), by and among American States Water Company, a California corporation (the “Borrower”), the Lenders party thereto and Wells Fargo Bank, National Association, as Administrative Agent. Capitalized terms used herein and not defined herein shall have the meanings assigned thereto in the Credit Agreement. 1. The Borrower hereby provides notice to the Administrative Agent that it shall repay: Swingline Loans Revolving Credit Loans in the aggregate principal amount of: $_______________1 2. Such Loan was made as a: Base Rate Loan SOFR Loan 2. Such Loan to be prepaid on: ____________________2 [Remainder of page intentionally left blank; signature page follows] 1 Complete with an amount in accordance with Section 2.4(c) of the Credit Agreement. 2 Complete with a Business Day in accordance with Section 2.4(c) of the Credit Agreement.


 
Form of Notice of Prepayment 175631965 IN WITNESS WHEREOF, the undersigned has executed this Notice of Prepayment as of the day and year first written above. AMERICAN STATES WATER COMPANY By: Name: Title:


 
175631965 EXHIBIT E to Credit Agreement dated as of June 28, 2023 by and among American States Water Company, as Borrower, the lenders party thereto, as Lenders, and Wells Fargo Bank, National Association, as Administrative Agent FORM OF NOTICE OF CONVERSION/CONTINUATION


 
Form of Notice of Conversion/Continuation 175631965 NOTICE OF CONVERSION/CONTINUATION Dated as of: _____________ Wells Fargo Bank, National Association, as Administrative Agent MAC D 1109-019 1525 West W.T. Harris Blvd. Charlotte, North Carolina 28262 Attention: Syndication Agency Services Ladies and Gentlemen: This irrevocable Notice of Conversion/Continuation (this “Notice”) is delivered to you pursuant to Section 4.2 of the Credit Agreement dated as of June 28, 2023 (the “Credit Agreement”), by and among American States Water Company, a California corporation (the “Borrower”), the Lenders party thereto and Wells Fargo Bank, National Association, as Administrative Agent. Capitalized terms used herein and not defined herein shall have the meanings assigned thereto in the Credit Agreement. 1. The Loan to which this Notice relates is: a Revolving Credit Loan a Swingline Loan 2. Such Loan is dominated in Dollars. 3. This Notice is submitted for the purpose of: (Check one and complete applicable information in accordance with the Credit Agreement.) Converting all or a portion of a Base Rate Loan into a SOFR Loan Outstanding principal balance: $______________ Principal amount to be converted: $______________ Requested effective date of conversion: _______________ Requested new Interest Period: _______________ Converting all or a portion of a SOFR Loan into a Base Rate Loan Outstanding principal balance: $______________ Principal amount to be converted: $______________ Last day of the current Interest Period: _______________ Requested effective date of conversion: _______________ Continuing all or a portion of a SOFR Loan as a SOFR Loan Outstanding principal balance: $______________ Principal amount to be continued: $______________ Last day of the current Interest Period: _______________ Requested effective date of continuation: _______________


 
Form of Notice of Conversion/Continuation 175631965 Requested new Interest Period: _______________ 3. The aggregate principal amount of all Loans and L/C Obligations outstanding as of the date hereof does not exceed the maximum amount permitted to be outstanding pursuant to the terms of the Credit Agreement. [Remainder of page intentionally left blank; signature page follows]


 
Form of Notice of Conversion/Continuation 175631965 IN WITNESS WHEREOF, the undersigned has executed this Notice of Conversion/Continuation as of the day and year first written above. AMERICAN STATES WATER COMPANY By: Name: Title:


 
175631965 EXHIBIT F to Credit Agreement dated as of June 28, 2023 by and among American States Water Company, as Borrower, the lenders party thereto, as Lenders, and Wells Fargo Bank, National Association, as Administrative Agent FORM OF COMPLIANCE CERTIFICATE


 
Form of Compliance Certificate 175631965 COMPLIANCE CERTIFICATE Dated as of: _____________ The undersigned [chief executive officer] [chief financial officer] [treasurer] [controller], on behalf of American States Water Company, a California corporation (the “Borrower”), hereby certifies to the Administrative Agent and the Lenders, each as defined in the Credit Agreement referred to below, as follows: 1. This certificate is delivered to you pursuant to Section 7.2(a) of the Credit Agreement dated as of June 28, 2023 (the “Credit Agreement”), by and among the Borrower, the Lenders party thereto and Wells Fargo Bank, National Association, as Administrative Agent. Capitalized terms used herein and not defined herein shall have the meanings assigned thereto in the Credit Agreement. 2. I have reviewed the Consolidated and consolidating financial statements of the Borrower and its Subsidiaries and the Consolidated Group, as applicable, dated as of _______________ and for the _______________ period[s] then ended and [[(i)] such Consolidated statements fairly present the financial conditions, results of operations, shareholders’ equity and cash flows of the Borrower and its Subsidiaries on a Consolidated basis in accordance with GAAP, subject to normal year-end adjustments and the absence of footnotes, [(ii)]] [(i)] such Consolidated statements fairly present the financial conditions, results of operations, shareholders’ equity and cash flows of the Consolidated Group on a Consolidated basis in accordance with GAAP, subject to normal year-end adjustments and the absence of footnotes and [(ii)][(iii)] such consolidating statements are fairly stated in all material respects when considered in relation to the Consolidated financial statements of the Borrower and its Subsidiaries or the Consolidated Group, as applicable. 3. I have reviewed the terms of the Credit Agreement, and the related Loan Documents and have made, or caused to be made under my supervision, a review in reasonable detail of the transactions and the condition of the Borrower and its Subsidiaries during the accounting period covered by the financial statements referred to in Paragraph 2 above. Such review has not disclosed the existence during or at the end of such accounting period of any condition or event that constitutes a Default or an Event of Default, nor do I have any knowledge of the existence of any such condition or event as at the date of this certificate [except, if such condition or event existed or exists, describe the nature and period of existence thereof and what action the Borrower has taken, is taking and proposes to take with respect thereto]. 4. As of the date of this certificate, the Consolidated Group is in compliance with the financial covenant contained in Section 8.11 of the Credit Agreement as shown on such Schedule 1 and the Borrower and its Subsidiaries are in compliance with the other covenants and restrictions contained in the Credit Agreement. [Remainder of page intentionally left blank; signature page follows]


 
Form of Compliance Certificate 175631965 IN WITNESS WHEREOF, the undersigned has executed this Compliance Certificate as of the day and year first written above. AMERICAN STATES WATER COMPANY By: Name: Title: [Chief Executive Officer] [Chief Financial Officer] [Treasurer] [Controller]


 
Form of Compliance Certificate 175631965 Schedule 1 to Compliance Certificate For the Quarter/Year ended ______________________ (the “Statement Date”) 1. Maximum Total Capitalization Ratio and Applicable Margin (a) Consolidated Funded Indebtedness as of the Statement Date (See Schedule 2) $__________ (b) Shareholders’ Equity $__________ Consolidated Total Capitalization Ratio (1(a) divided by the sum of 1(b) plus 1(a)) ____ to 1.00 Maximum permitted Consolidated Total Capitalization Ratio as set forth in Section 8.11 of the Credit Agreement 0.65 to 1.00 In Compliance? Yes/No


 
Form of Compliance Certificate 175631965 Schedule 2 to Compliance Certificate Consolidated Funded Indebtedness Quarter 1 ended __/__/__ Quarter 2 ended __/__/__ Quarter 3 ended __/__/__ Quarter 4 ended __/__/__ Total (Quarters 1-4) (a) The following amounts, without duplication (i) all liabilities, obligations and indebtedness for borrowed money including, but not limited to, obligations evidenced by bonds, debentures, notes or other similar instruments of any such Person (ii) all purchase money Indebtedness (iii) all obligations to pay the deferred purchase price of property or services of any such Person (including all payment obligations under non-competition, earn-out or similar agreements, solely to the extent any such payment obligation under non-competition, earn-out or similar agreements becomes a liability on the balance sheet of such Person in accordance with GAAP), except trade payables arising in the ordinary course of business (iv) the Attributable Indebtedness of such Person with respect to such Person’s Capital Lease Obligations and Synthetic Leases (regardless of whether accounted for as indebtedness under GAAP) (v) all drawn and unreimbursed obligations, contingent or otherwise, of any such Person relative to letters of credit, including any Reimbursement Obligation, and banker’s acceptances issued for the account of any such Person (vi) all obligations of any such Person in respect of Disqualified Equity Interests which shall be valued, in the case of a redeemable preferred interest, at the greater of its voluntary or involuntary liquidation preference plus accrued and unpaid dividends that are past due (vii) all Guarantees of any such Person with respect to any of the foregoing (viii) all Indebtedness of the types referred to in clauses (i) through (vii) above of any partnership or joint venture (other than a joint venture


 
Form of Compliance Certificate 175631965 Consolidated Funded Indebtedness Quarter 1 ended __/__/__ Quarter 2 ended __/__/__ Quarter 3 ended __/__/__ Quarter 4 ended __/__/__ Total (Quarters 1-4) that is itself a corporation or limited liability company) in which such Person is a general partner or joint venturer, unless such Indebtedness is expressly made non-recourse to such Person (b) Consolidated Funded Indebtedness (Sum of (a)(i) through (a)(viii))


 
175631965 EXHIBIT G to Credit Agreement dated as of June 28, 2023 by and among American States Water Company, as Borrower, the lenders party thereto, as Lenders, and Wells Fargo Bank, National Association, as Administrative Agent FORM OF ASSIGNMENT AND ASSUMPTION


 
Form of Assignment and Assumption 175631965 ASSIGNMENT AND ASSUMPTION This Assignment and Assumption (the “Assignment and Assumption”) is dated as of the Effective Date set forth below and is entered into by and between [INSERT NAME OF ASSIGNOR] (the “Assignor”) and the parties identified on the Schedules hereto and [the] [each]1 Assignee identified on the Schedules hereto as “Assignee” or as “Assignees” (collectively, the “Assignees” and each, an “Assignee”). [It is understood and agreed that the rights and obligations of the Assignees2 hereunder are several and not joint.]3 Capitalized terms used but not defined herein shall have the meanings given to them in the Credit Agreement identified below (the “Credit Agreement”), receipt of a copy of which is hereby acknowledged by [the] [each] Assignee. The Standard Terms and Conditions set forth in Annex 1 attached hereto are hereby agreed to and incorporated herein by reference and made a part of this Assignment and Assumption as if set forth herein in full. For an agreed consideration, the Assignor hereby irrevocably sells and assigns to the [Assignee] [respective Assignees], and [the] [each] Assignee hereby irrevocably purchases and assumes from the Assignor, subject to and in accordance with the Standard Terms and Conditions and the Credit Agreement, as of the Effective Date inserted by the Administrative Agent as contemplated below (i) all of the Assignor’s rights and obligations in its capacity as a Lender under the Credit Agreement and any other documents or instruments delivered pursuant thereto to the extent related to the amount and percentage interest identified below of all of such outstanding rights and obligations of the Assignor under the respective facilities identified below (including without limitation any letters of credit and swingline loans included in such facilities) and (ii) to the extent permitted to be assigned under Applicable Law, all claims, suits, causes of action and any other right of the Assignor (in its capacity as a Lender) against any Person, whether known or unknown, arising under or in connection with the Credit Agreement, any other documents or instruments delivered pursuant thereto or the loan transactions governed thereby or in any way based on or related to any of the foregoing, including, but not limited to, contract claims, tort claims, malpractice claims, statutory claims and all other claims at law or in equity related to the rights and obligations sold and assigned pursuant to clause (i) above (the rights and obligations sold and assigned to [the] [any] Assignee pursuant to clauses (i) and (ii) above being referred to herein collectively as, [the] [an] “Assigned Interest”). Each such sale and assignment is without recourse to the Assignor and, except as expressly provided in this Assignment and Assumption, without representation or warranty by the Assignor. 1. Assignor: [INSERT NAME OF ASSIGNOR] 2. Assignee(s): See Schedules attached hereto 3. Borrower: American States Water Company 4. Administrative Agent: Wells Fargo Bank, National Association, as the administrative agent under the Credit Agreement 5. Credit Agreement: The Credit Agreement dated as of June 28, 2023 among American States Water Company, as Borrower, the Lenders party thereto, and Wells Fargo Bank, National Association, as Administrative 1 For bracketed language here and elsewhere in this form relating to the Assignee(s), if the assignment is to a single Assignee, choose the first bracketed language. If the assignment is to multiple Assignees, choose the second bracketed language. 2 Select as appropriate. 3 Include bracketed language if there are multiple Assignees.


 
Form of Assignment and Assumption 175631965 Agent (as amended, restated, supplemented or otherwise modified) 6. Assigned Interest: See Schedules attached hereto [7. Trade Date: ______________]4 [Remainder of page intentionally left blank; signature page follows] 4 To be completed if the Assignor and the Assignees intend that the minimum assignment amount is to be determined as of the Trade Date.


 
Form of Assignment and Assumption 175631965 Effective Date: _____________ ___, 2____ [TO BE INSERTED BY THE ADMINISTRATIVE AGENT AND WHICH SHALL BE THE EFFECTIVE DATE OF RECORDATION OF TRANSFER IN THE REGISTER THEREFOR] The terms set forth in this Assignment and Assumption are hereby agreed to: ASSIGNOR [NAME OF ASSIGNOR] By: Name: Title: ASSIGNEES See Schedules attached hereto


 
Form of Assignment and Assumption 175631965 [Consented to and]5 Accepted: WELLS FARGO BANK, NATIONAL ASSOCIATION, as Administrative Agent[, Issuing Lender and Swingline Lender] By:_________________________________ Name: Title: [Consented to:]6 AMERICAN STATES WATER COMPANY, as Borrower By:________________________________ Name: Title: [Consented to:]7 [ISSUING LENDER] By:________________________________ Name: Title: 5 To be added only if the consent of the Administrative Agent and/or the Swingline Lender and Issuing Lender is required by the terms of the Credit Agreement. May also use a Master Consent. 6 To be added only if the consent of the Borrower is required by the terms of the Credit Agreement. May also use a Master Consent. 7 To be added only if the consent of the Issuing Lender(s) is required by the terms of the Credit Agreement. May also use a Master Consent.


 
Form of Assignment and Assumption 175631965 SCHEDULE 1 To Assignment and Assumption By its execution of this Schedule, the Assignee identified on the signature block below agrees to the terms set forth in the attached Assignment and Assumption. Assigned Interests: Facility Assigned1 Aggregate Amount of Commitment/ Loans for all Lenders2 Amount of Commitment/ Loans Assigned3 Percentage Assigned of Commitment/ Loans4 CUSIP Number $ $ % $ $ % $ $ % [NAME OF ASSIGNEE]5 [and is an Affiliate/Approved Fund of [identify Lender]6] By:______________________________ Name: Title: 1 Fill in the appropriate terminology for the types of facilities under the Credit Agreement that are being assigned under this Agreement (e.g. “Revolving Credit Commitment,” etc.) 2 Amount to be adjusted by the counterparties to take into account any payments or prepayments made between the Trade Date and the Effective Date. 3 Amount to be adjusted by the counterparties to take into account any payments or prepayments made between the Trade Date and the Effective Date. 4 Set forth, to at least 9 decimals, as a percentage of the Commitment/Loans of all Lenders thereunder. 5 Add additional signature blocks, as needed. 6 Select as appropriate.


 
Form of Assignment and Assumption 175631965 ANNEX 1 to Assignment and Assumption STANDARD TERMS AND CONDITIONS FOR ASSIGNMENT AND ASSUMPTION 1. Representations and Warranties. 1.1 Assignor. The Assignor (a) represents and warrants that (i) it is the legal and beneficial owner of [the] [the relevant] Assigned Interest, (ii) [the] [such] Assigned Interest is free and clear of any lien, encumbrance or other adverse claim, (iii) it has full power and authority, and has taken all action necessary, to execute and deliver this Assignment and Assumption and to consummate the transactions contemplated hereby and (iv) it is [not] a Defaulting Lender; and (b) assumes no responsibility with respect to (i) any statements, warranties or representations made in or in connection with the Credit Agreement or any other Loan Document, (ii) the execution, legality, validity, enforceability, genuineness, sufficiency or value of the Loan Documents or any collateral thereunder, (iii) the financial condition of the Borrower, any of its Subsidiaries or Affiliates or any other Person obligated in respect of any Loan Document or (iv) the performance or observance by the Borrower, any of its Subsidiaries or Affiliates or any other Person of any of their respective obligations under any Loan Document. 1.2. Assignee[s]. [The] [Each] Assignee (a) represents and warrants that (i) it has full power and authority, and has taken all action necessary, to execute and deliver this Assignment and Assumption and to consummate the transactions contemplated hereby and to become a Lender under the Credit Agreement, (ii) it meets the requirements of an Eligible Assignee under the Credit Agreement (subject to such consents, if any, as may be required under Section 11.9(b)(iii) of the Credit Agreement), (iii) from and after the Effective Date, it shall be bound by the provisions of the Credit Agreement as a Lender thereunder and, to the extent of [the] [the relevant] Assigned Interest, shall have the obligations of a Lender thereunder, (iv) it is sophisticated with respect to decisions to acquire assets of the type represented by the Assigned Interest and either it, or the Person exercising discretion in making its decision to acquire [the] [such] Assigned Interest, is experienced in acquiring assets of such type, (v) it has received a copy of the Credit Agreement, and has received or has been accorded the opportunity to receive copies of the most recent financial statements delivered pursuant to [Section 5.1] [Section 7.1]1 thereof, as applicable, and such other documents and information as it deems appropriate to make its own credit analysis and decision to enter into this Assignment and Assumption and to purchase [the] [such] Assigned Interest, (vi) it has, independently and without reliance upon the Administrative Agent or any other Lender and based on such documents and information as it has deemed appropriate, made its own credit analysis and decision to enter into this Assignment and Assumption and to purchase [the] [such] Assigned Interest, and (vii) if it is a Foreign Lender, attached to the Assignment and Assumption is any documentation required to be delivered by it pursuant to the terms of the Credit Agreement, duly completed and executed by [the] [such] Assignee; and (b) agrees that (i) it will, independently and without reliance upon the Administrative Agent, [the] [any] Assignor or any other Lender, and based on such documents and information as it shall deem appropriate at the time, continue to make its own credit decisions in taking or not taking action under the Loan Documents, and (ii) it will perform in accordance with their terms all of the obligations which by the terms of the Loan Documents are required to be performed by it as a Lender. 2. Payments. From and after the Effective Date, the Administrative Agent shall make all payments in respect of [the] [each] Assigned Interest (including payments of principal, interest, fees and other amounts) to [the] [the relevant] Assignor for amounts which have accrued to but excluding the 1 Update as necessary to refer to appropriate Financial Statement delivery Section in Credit Agreement.


 
Form of Assignment and Assumption 175631965 Effective Date and to [the] [the relevant] Assignee for amounts which have accrued from and after the Effective Date. 3. General Provisions. This Assignment and Assumption shall be binding upon, and inure to the benefit of, the parties hereto and their respective successors and assigns. This Assignment and Assumption may be executed in any number of counterparts, which together shall constitute one instrument. Delivery of an executed counterpart of a signature page of this Assignment and Assumption by telecopy shall be effective as delivery of a manually executed counterpart of this Assignment and Assumption. This Assignment and Assumption shall be governed by, and construed in accordance with, the law of the State of New York.


 
175631965 EXHIBIT H-1 to Credit Agreement dated as of June 28, 2023 by and among American States Water Company, as Borrower, the lenders party thereto, as Lenders, and Wells Fargo Bank, National Association, as Administrative Agent FORM OF U.S. TAX COMPLIANCE CERTIFICATE (NON-PARTNERSHIP FOREIGN LENDERS)


 
Form of U.S. Tax Compliance Certificate (For Foreign Lenders That Are Not Partnerships For U.S. Federal Income Tax Purposes) 175631965 U.S. TAX COMPLIANCE CERTIFICATE (For Foreign Lenders That Are Not Partnerships For U.S. Federal Income Tax Purposes) Reference is hereby made to the Credit Agreement dated as of June 28, 2023 (the “Credit Agreement”), by and among American States Water Company, a California corporation (the “Borrower”), the lenders who are or may become a party thereto, as Lenders, and Wells Fargo Bank, National Association, as Administrative Agent. Capitalized terms used herein and not defined herein shall have the meanings assigned thereto in the Credit Agreement. Pursuant to the provisions of Section 4.11 of the Credit Agreement, the undersigned hereby certifies that (a) it is the sole record and beneficial owner of the Loan(s) (as well as any Note(s) evidencing such Loan(s)) in respect of which it is providing this certificate, (b) it is not a bank within the meaning of Section 881(c)(3)(A) of the Code, (c) it is not a ten percent (10%) shareholder of the Borrower within the meaning of Section 881(c)(3)(B) of the Code and (d) it is not a controlled foreign corporation related to the Borrower as described in Section 881(c)(3)(C) of the Code. The undersigned has furnished the Administrative Agent and the Borrower with a certificate of its non-U.S. Person status on IRS Form W-8BEN-E. By executing this certificate, the undersigned agrees that (a) if the information provided on this certificate changes, the undersigned shall promptly so inform the Borrower and the Administrative Agent and (b) the undersigned shall have at all times furnished the Borrower and the Administrative Agent with a properly completed and currently effective certificate in either the calendar year in which each payment is to be made to the undersigned, or in either of the two (2) calendar years preceding such payments. [NAME OF LENDER] By: Name: Title: Date: ________ __, 20__


 
175631965 EXHIBIT H-2 to Credit Agreement dated as of June 28, 2023 by and among American States Water Company, as Borrower, the lenders party thereto, as Lenders, and Wells Fargo Bank, National Association, as Administrative Agent FORM OF U.S. TAX COMPLIANCE CERTIFICATE (NON-PARTNERSHIP FOREIGN PARTICIPANTS)


 
Form of U.S. Tax Compliance Certificate (For Foreign Participants That Are Not Partnerships For U.S. Federal Income Tax Purposes) 175631965 U.S. TAX COMPLIANCE CERTIFICATE (For Foreign Participants That Are Not Partnerships For U.S. Federal Income Tax Purposes) Reference is hereby made to the Credit Agreement dated as of June 28, 2023 (the “Credit Agreement”), by and among American States Water Company, a California corporation (the “Borrower”), the lenders who are or may become party a thereto, as Lenders, and Wells Fargo Bank, National Association, as Administrative Agent. Capitalized terms used herein and not defined herein shall have the meanings assigned thereto in the Credit Agreement. Pursuant to the provisions of Section 4.11 of the Credit Agreement, the undersigned hereby certifies that (a) it is the sole record and beneficial owner of the participation in respect of which it is providing this certificate, (b) it is not a bank within the meaning of Section 881(c)(3)(A) of the Code, (c) it is not a ten percent (10%) shareholder of the Borrower within the meaning of Section 881(c)(3)(B) of the Code and (d) it is not a controlled foreign corporation related to the Borrower as described in Section 881(c)(3)(C) of the Code. The undersigned has furnished its participating Lender with a certificate of its non-U.S. Person status on IRS Form W-8BEN-E. By executing this certificate, the undersigned agrees that (a) if the information provided on this certificate changes, the undersigned shall promptly so inform such Lender in writing and (b) the undersigned shall have at all times furnished such Lender with a properly completed and currently effective certificate in either the calendar year in which each payment is to be made to the undersigned, or in either of the two (2) calendar years preceding such payments. [NAME OF PARTICIPANT] By: Name: Title: Date: ________ __, 20__


 
175631965 EXHIBIT H-3 to Credit Agreement dated as of June 28, 2023 by and among American States Water Company, as Borrower, the lenders party thereto, as Lenders, and Wells Fargo Bank, National Association, as Administrative Agent FORM OF U.S. TAX COMPLIANCE CERTIFICATE (FOREIGN PARTICIPANT PARTNERSHIPS)


 
Form of U.S. Tax Compliance Certificate (For Foreign Participants That Are Partnerships For U.S. Federal Income Tax Purposes) 175631965 U.S. TAX COMPLIANCE CERTIFICATE (For Foreign Participants That Are Partnerships For U.S. Federal Income Tax Purposes) Reference is hereby made to the Credit Agreement dated as of June 28, 2023 (the “Credit Agreement”), by and among American States Water Company, a California corporation (the “Borrower”), the lenders who are or may become party thereto, as Lenders, and Wells Fargo Bank, National Association, as Administrative Agent. Capitalized terms used herein and not defined herein shall have the meanings assigned thereto in the Credit Agreement. Pursuant to the provisions of Section 4.11 of the Credit Agreement, the undersigned hereby certifies that (a) it is the sole record owner of the participation in respect of which it is providing this certificate, (b) its direct or indirect partners/members are the sole beneficial owners of such participation, (c) with respect such participation, neither the undersigned nor any of its direct or indirect partners/members is a bank extending credit pursuant to a loan agreement entered into in the ordinary course of its trade or business within the meaning of Section 881(c)(3)(A) of the Code, (d) none of its direct or indirect partners/members is a ten percent (10%) shareholder of the Borrower within the meaning of Section 881(c)(3)(B) of the Code and (e) none of its direct or indirect partners/members is a controlled foreign corporation related to the Borrower as described in Section 881(c)(3)(C) of the Code. The undersigned has furnished its participating Lender with IRS Form W-8IMY accompanied by one of the following forms from each of its partners/members that is claiming the portfolio interest exemption: (a) an IRS Form W-8BEN-E or (b) an IRS Form W-8IMY accompanied by an IRS Form W- 8BEN-E from each of such partner’s/member’s beneficial owners that is claiming the portfolio interest exemption. By executing this certificate, the undersigned agrees that (i) if the information provided on this certificate changes, the undersigned shall promptly so inform such Lender and (ii) the undersigned shall have at all times furnished such Lender with a properly completed and currently effective certificate in either the calendar year in which each payment is to be made to the undersigned, or in either of the two (2) calendar years preceding such payments. [NAME OF PARTICIPANT] By: Name: Title: Date: ________ __, 20__


 
175631965 EXHIBIT H-4 to Credit Agreement dated as of June 28, 2023 by and among American States Water Company, as Borrower, the lenders party thereto, as Lenders, and Wells Fargo Bank, National Association, as Administrative Agent FORM OF U.S. TAX COMPLIANCE CERTIFICATE (FOREIGN LENDER PARTNERSHIPS)


 
Form of U.S. Tax Compliance Certificate (For Foreign Lenders That Are Partnerships For U.S. Federal Income Tax Purposes) 175631965 U.S. TAX COMPLIANCE CERTIFICATE (For Foreign Lenders That Are Partnerships For U.S. Federal Income Tax Purposes) Reference is hereby made to the Credit Agreement dated as of June 28, 2023 (the “Credit Agreement”), by and among American States Water Company, a California corporation (the “Borrower”), the lenders who are or may become party thereto, as Lenders, and Wells Fargo Bank, National Association, as Administrative Agent. Capitalized terms used herein and not defined herein shall have the meanings assigned thereto in the Credit Agreement. Pursuant to the provisions of Section 4.11 of the Credit Agreement, the undersigned hereby certifies that (a) it is the sole record owner of the Loan(s) (as well as any Note(s) evidencing such Loan(s)) in respect of which it is providing this certificate, (b) its direct or indirect partners/members are the sole beneficial owners of such Loan(s) (as well as any Note(s) evidencing such Loan(s)), (c) with respect to the extension of credit pursuant to this Credit Agreement or any other Loan Document, neither the undersigned nor any of its direct or indirect partners/members is a bank extending credit pursuant to a loan agreement entered into in the ordinary course of its trade or business within the meaning of Section 881(c)(3)(A) of the Code, (d) none of its direct or indirect partners/members is a ten percent (10%) shareholder of the Borrower within the meaning of Section 881(c)(3)(B) of the Code and (e) none of its direct or indirect partners/members is a controlled foreign corporation related to the Borrower as described in Section 881(c)(3)(C) of the Code. The undersigned has furnished the Administrative Agent and the Borrower with IRS Form W- 8IMY accompanied by one of the following forms from each of its partners/members that is claiming the portfolio interest exemption: (a) an IRS Form W-8BEN-E or (b) an IRS Form W-8IMY accompanied by an IRS Form W-8BEN-E from each of such partner’s/member’s beneficial owners that is claiming the portfolio interest exemption. By executing this certificate, the undersigned agrees that (i) if the information provided on this certificate changes, the undersigned shall promptly so inform the Borrower and the Administrative Agent and (ii) the undersigned shall have at all times furnished the Borrower and the Administrative Agent with a properly completed and currently effective certificate in either the calendar year in which each payment is to be made to the undersigned, or in either of the two (2) calendar years preceding such payments. [NAME OF LENDER] By: Name: Title: Date: ________ __, 20__


 
Schedule 1.1(a) to Credit Agreement Schedule 1.1(a) Existing Letters of Credit Amount Letter of Credit Number Expiration Beneficiary Obligor - Company $450,000 S000128154U 5-11-24 Liberty Mutual Insurance Company American States Water Company


 
Schedule 1.1(b) to Credit Agreement Schedule 1.1(b) Commitments and Commitment Percentages Lender Commitment Commitment Percentage Wells Fargo Bank, National Association $77,884,615.39 51.923076927% Bank of China, Los Angeles Branch $57,692,307.69 38.461538460% The Northern Trust Company $14,423,076.92 9.615384613% Total $150,000,000.00 100.000000000% L/C Commitment Issuing Lender L/C Commitment Wells Fargo Bank, National Association $10,000,000.00 Total $10,000,000.00


 
Schedule 6.1 to Credit Agreement Schedule 6.1 Jurisdictions of Organization and Qualification Entity Jurisdiction of Organization/Qualification American States Water Company (Borrower) California Golden State Water Company California American States Utility Services, Inc. California Fort Bliss Water Services Company Texas Old Dominion Utility Services, Inc. Virginia Terrapin Utility Services, Inc. Maryland Palmetto State Utility Services, Inc. South Carolina Old North Utility Services, Inc. North Carolina Emerald Coast Utility Services, Inc. Florida Fort Riley Utility Services, Inc. Kansas California Cities Water Company, Inc. California


 
Schedule 6.2 to Credit Agreement Schedule 6.2 Subsidiaries and Capitalization *Under AWR’s stock incentive plans, there are also 110,560 restricted stock units (RSUs) currently outstanding that have been awarded to employees and directors of the Company. Upon vesting, employees and directors will be entitled to receive shares of AWR’s Common Shares. Borrower & Subsidiaries Number of Shares Authorized Number of Shares Issued and Outstanding Par Value Class of Stock American States Water Company (AWR) (Borrower)* 60,000,000 36,976,599 No Par Value Common Shares American States Water Company (AWR) (Borrower) 150,000 0 No Par Value New Preferred Shares Wholly-Owned Subsidiaries of AWR: Golden State Water Company (GSWC) 1,000 171 No Par Value Common Shares Bear Valley Electric Service, Inc. 1,000 110 No Par Value Common Shares American States Utility Services, Inc. (ASUS) 1,000 100 No Par Value Common Shares Wholly-Owned Subsidiary of GSWC: California Cities Water Company, Inc. 1,000 100 No Par Value Common Shares Wholly-Owned Subsidiaries of ASUS: Fort Bliss Water Services Company 1,000 1,000 No Par Value Common Shares Old Dominion Utility Services, Inc. 1,000 100 No Par Value Common Shares Terrapin Utility Services, Inc. 1,000 100 No Par Value Common Shares Palmetto State Utility Services, Inc. 1,000 100 No Par Value Common Shares Old North Utility Services, Inc. 1,000 100 No Par Value Common Shares Emerald Coast Utility Services, Inc. 1,000 100 No Par Value Common Shares Fort Riley Utility Services, Inc. 1,000 100 No Par Value Common Shares


 
Schedule 6.8 to Credit Agreement Schedule 6.8 Environmental Disclosures None.


 
Schedule 6.9 to Credit Agreement Schedule 6.9 ERISA Plans  Golden State Water Company Pension Plan, as amended – Noncontributory Defined Benefit Plan  Golden State Water Company Investment Incentive Program – 401(k) plan  GSWC Welfare Benefits Plan for Active and Retired Employees – Post-Retirement Medical Plan  Golden State Water Company Supplemental Executive Retirement Plan, as amended


 
Schedule 6.16 to Credit Agreement Schedule 6.16 Title to Properties The concepts of title, recorded title and marketable title are not applicable to the following types of property; none of this property has been given any value on the Company’s balance sheet:  All real property on military bases served by each of ASUS’s subsidiaries pursuant to initial 50- year contracts with the U.S. government, which are not assets on the Company’s balance sheet.  Public utility franchises in the nature of an easement to the extent considered real property.  Constitutional franchises in the nature of an easement to the extent considered real property.


 
Schedule 8.1 to Credit Agreement Schedule 8.1 Existing Indebtedness Description Debt Amount Coupon Rate Issue Date Maturity Date Remark 6.81% Notes due 2028 $15,000,000 6.810% 03/23/1998 03/23/2028 Public Debt 6.59% Notes due 2029 $40,000,000 6.590% 01/25/1999 01/25/2029 Public Debt 7.875% Notes due 2030 $20,000,000 7.875% 01/26/2001 12/01/2030 Public Debt 7.23% Notes due 2031 $50,000,000 7.230% 12/11/2001 12/15/2031 Public Debt 6.00% Notes due 2041 $62,000,000 6.000% 04/14/2011 04/15/2041 Public Debt 5.87% Notes due 2028 $40,000,000 5.870% 10/11/2005 12/20/2028 Private Placement 3.45% Notes due 2029 $15,000,000 3.450% 12/23/2014 12/23/2029 Private Placement 2.17% Notes due 2030 $85,000,000 2.170% 07/08/2020 07/08/2030 Private Placement 2.90% Notes due 2040 $75,000,000 2.900% 07/08/2020 07/08/2040 Private Placement 5.12% Notes due 2033 $100,000,000 5.120% 01/13/2023 01/31/2033 Private Placement 5.22% Notes due 2038 $30,000,000 5.220% 01/13/2023 01/31/2038 Private Placement 5.50% Tax Exempt Note $7,730,000 5.500% 12/01/1996 12/01/2026 Public Debt -Tax Exempt State Water Project $2,692,194 Various 06/01/1994 09/30/2035 Tax Exempt American Recovery and Reinvestment Act Obligation $2,699,978 2.5017% Various 03/01/2033 Funding under the Safe Drinking Water State Revolving Fund Law of 1997 and the American Recovery and Reinvestment Act of 2007 $545,122,172


 
Schedule 8.2 to Credit Agreement Schedule 8.2 Liens None.


 
Schedule 8.3 to Credit Agreement Schedule 8.3 Investments  See Schedule 8.1 for Existing Indebtedness  Less than 50% equity investment of $350,000 in the Pomona Valley Protective Association  Less than 50% equity investment of $18,833 in the West End Consolidated Water Company  Less than 50% equity investment of $12,798 in the Covina Irrigating Company


 
Schedule 8.9 to Credit Agreement Schedule 8.9 Existing Permitted Restrictions  See Schedule 8.1 for Existing Indebtedness, except for the State Water Project and American Recovery and Reinvestment Act Obligations