EX-4.3 3 d765671dex43.htm EX-4.3 EX-4.3

Exhibit 4.3

5.700% FIXED-TO-FLOATING RATE SENIOR NOTE DUE 2030

THIS IS A SECURITY IN GLOBAL FORM WITHIN THE MEANING OF THE SENIOR INDENTURE REFERRED TO HEREINAFTER.

UNLESS THIS CERTIFICATE IS PRESENTED BY AN AUTHORIZED REPRESENTATIVE OF THE DEPOSITORY TRUST COMPANY, A NEW YORK CORPORATION (THE “DEPOSITARY”) TO THE COMPANY OR ITS AGENT FOR REGISTRATION OF TRANSFER, EXCHANGE OR PAYMENT, AND ANY CERTIFICATE ISSUED IS REGISTERED IN THE NAME OF CEDE & CO. OR IN SUCH OTHER NAME AS IS REQUESTED BY AN AUTHORIZED REPRESENTATIVE OF THE DEPOSITARY (AND ANY PAYMENT IS MADE TO CEDE & CO. OR TO SUCH OTHER ENTITY AS IS REQUESTED BY AN AUTHORIZED REPRESENTATIVE OF THE DEPOSITARY), ANY TRANSFER, PLEDGE OR OTHER USE HEREOF FOR VALUE OR OTHERWISE BY OR TO ANY PERSON IS WRONGFUL INASMUCH AS THE REGISTERED OWNER HEREOF, CEDE & CO., HAS AN INTEREST HEREIN.

TRANSFERS OF THIS GLOBAL SECURITY SHALL BE LIMITED TO TRANSFERS IN WHOLE, BUT NOT IN PART, TO NOMINEES OF THE DEPOSITARY OR TO A SUCCESSOR THEREOF OR SUCH SUCCESSOR’S NOMINEE AND TRANSFERS OF PORTIONS OF THIS GLOBAL SECURITY SHALL BE LIMITED TO TRANSFERS MADE IN ACCORDANCE WITH THE RESTRICTIONS SET FORTH IN THE SENIOR INDENTURE REFERRED TO ON THE REVERSE HEREOF.

THIS SECURITY IS NOT A SAVINGS ACCOUNT, DEPOSIT OR OTHER OBLIGATION OF A BANK AND IS NOT INSURED BY THE FDIC OR ANY OTHER GOVERNMENTAL AGENCY OR INSTRUMENTALITY.

CUSIP No. 14040H DE2

ISIN No. US14040HDE27

No. []    Principal Amount $[]

CAPITAL ONE FINANCIAL CORPORATION

5.700% FIXED-TO-FLOATING RATE SENIOR NOTES DUE 2030

Capital One Financial Corporation, a Delaware corporation (the “Company”), for value received, hereby promises to pay to Cede & Co. or registered assigns the principal sum of [   ] United States Dollars, at the Company’s office or agency for said purposes, on February 1, 2030 (the “Stated Maturity”).

Reference is made to the further provisions set forth on the reverse hereof, including the definitions of certain capitalized terms. Such further provisions shall for all purposes have the same effect as though fully set forth at this place.

This Security shall not be valid or obligatory until the certificate of authentication hereon shall have been duly signed by the Trustee acting under the Senior Indenture.


IN WITNESS WHEREOF, the Company has caused this instrument to be duly executed.

Dated: February 1, 2024

 

CAPITAL ONE FINANCIAL CORPORATION
By:    
  Name: Thomas A. Feil
  Title: Treasurer

 

Attest By:

   
 

Name: Vernicka Shaw

 

Title: Assistant Secretary

 

[Company’s Signature Page to Fixed-to-Floating Rate Senior Note 2030]


TRUSTEE’S CERTIFICATE OF AUTHENTICATION

This is one of the Securities issued under the within-mentioned Senior Indenture.

Dated: February 1, 2024

 

THE BANK OF NEW YORK MELLON TRUST COMPANY, N.A., as Trustee
By:    
  Authorized Signatory

 

[Trustee’s Signature Page to Fixed-to-Floating Rate Senior Note 2030]


REVERSE OF SECURITY

Capital One Financial Corporation

5.700% Fixed-to-Floating Rate Senior Notes Due 2030

This Security is one of a duly authorized issue of debt securities of the Company, of the series hereinafter specified, all issued or to be issued under a Senior Indenture, dated as of November 1, 1996 (the “Base Indenture”), as supplemented by a First Supplemental Indenture, dated as of November 2, 2021 (the “Supplemental Indenture” and, together with the Base Indenture, the “Senior Indenture”) and each duly executed and delivered by the Company to The Bank of New York Mellon Trust Company, N.A., formerly known as The Bank of New York Trust Company, N.A. (as successor to Harris Trust and Savings Bank), as trustee (hereinafter, the “Trustee”). Reference to the Senior Indenture and the Officer’s Certificate thereunder establishing the terms of this Security is hereby made for a description of the respective rights and duties thereunder of the Trustee, the Company and the Holders of the Securities. This Security is one of a series designated as the “5.700% Fixed-to-Floating Rate Senior Notes Due 2030” of the Company (hereinafter called the “Notes”), issued under the Senior Indenture. Each Holder by accepting a Note, agrees to be bound by all terms and provisions of the Senior Indenture, as amended from time to time, applicable to the Notes.

Neither the Senior Indenture nor the Notes limit or otherwise restrict the amount of indebtedness which may be incurred or other securities which may be issued by the Company. The Notes issued under the Senior Indenture are direct, unsecured obligations of the Company and will mature on February 1, 2030. The Notes rank on parity with all other unsecured, unsubordinated indebtedness of the Company.

The Company promises to pay interest on the principal amount of this Security (i) from and including February 1, 2024 to, but excluding, February 1, 2029 (the “Interest Reset Date”) (such period, the “Fixed Rate Period”), at a fixed rate of 5.700% per annum, semi-annually in arrears, on February 1 and August 1 of each year (each such date, a “Fixed Rate Interest Payment Date”), commencing on August 1, 2024 and ending on February 1, 2029, and (ii) from and including the Interest Reset Date to but excluding the Stated Maturity (the “Floating Rate Period”), at an annual rate equal to the Base Rate (as defined and computed below) plus 1.905% (the “Spread”), quarterly in arrears, on each February 1, May 1, August 1 and November 1, commencing on May 1, 2029 and ending on the Stated Maturity (each such date, a “Floating Rate Interest Payment Date” and together with any Fixed Rate Interest Payment Date, an “Interest Payment Date”), until the principal hereof is paid or made available for payment.

The Company will pay interest to the holder in whose name this Security is registered at the close of business on the fifteenth calendar day (whether or not a Business Day (as defined below)), immediately preceding the related Fixed Rate Interest Payment Date or Floating Rate Interest Payment Date, as applicable (such date being referred to herein as the “Regular Record Date”), except that the Company will pay interest at the Stated Maturity or, if the Notes are redeemed, the Redemption Date to the person or persons to whom principal is payable.


During the Fixed Rate Period, interest shall be paid on the basis of a 360-day year comprised of twelve 30-day months. If any scheduled Fixed Rate Interest Payment Date falls on a day that is not a Business Day, the payment of the interest payable on that date shall be made on the next day that is a Business Day without any interest or other payment in respect of the delay, with the same force and effect as if made on the date such payment were due, and no interest shall accrue on the amount payable for the period from and after such Fixed Rate Interest Payment Date.

During the Floating Rate Period, interest shall be paid on the basis of a 360-day year and the actual number of days elapsed. If any scheduled Floating Rate Interest Payment Date falls on a day that is not a Business Day, it will be postponed to the following Business Day, unless that Business Day would fall in the next calendar month, in which case the Floating Rate Interest Payment Date will be the immediately preceding Business Day, provided that if the scheduled Stated Maturity falls on a day that is not a Business Day, the payment of principal and interest will be made on the next succeeding Business Day, but interest on that payment will not accrue during the period from and after the scheduled Stated Maturity.

For purposes of this Note, and in calculating the interest to be paid during the Floating Rate Period:

 

  (1)

With respect to a Floating Rate Interest Payment Date, a “Floating Rate Interest Payment Period” means the period from and including the most recent Floating Rate Interest Payment Date (or from and including the Interest Reset Date in the case of the first Floating Rate Interest Payment Period) to but excluding the next succeeding Floating Rate Interest Payment Date.

 

  (2)

In respect of each Floating Rate Interest Payment Period, the “Observation Period” means the period from, and including, the date two U.S. Government Securities Business Days preceding the first date in such Floating Rate Interest Payment Period to, but excluding, the date two U.S. Government Securities Business Days preceding the Floating Rate Interest Payment Date for such Floating Rate Interest Payment Period.

 

  (3)

A “U.S. Government Securities Business Day” means any day except for a Saturday, Sunday or a day on which the Securities Industry and Financial Markets Association recommends that the fixed income departments of its members be closed for the entire day for purposes of trading in U.S. government securities.

During the Floating Rate Period, the index maturity (the “Index Maturity”) for the Notes shall be daily.

During the Floating Rate Period, the Base Rate shall be SOFR (compounded daily over a quarterly Observation Period in accordance with the specific formula described below). As further described below, (x) in determining the Base Rate for a U.S. Government Securities Business Day, the Base Rate generally will be the rate in respect of such day that is provided on


the following U.S. Government Securities Business Day and (y) in determining the Base Rate for any other day, such as a Saturday, Sunday or holiday, the Base Rate generally will be the rate in respect of the immediately preceding U.S. Government Securities Business Day that is provided on the following U.S. Government Securities Business Day.

The “Spread” is the number of basis points (one one-hundredth of a percentage point) specified above to be added to the Base Rate for a Floating Rate Interest Payment Period. The amount of interest accrued and payable on the Notes for the Floating Rate Interest Payment Period will be equal to the outstanding principal amount of the Notes multiplied by the product of: (x) the sum of the Base Rate plus the Spread for the relevant Floating Rate Interest Payment Period, multiplied by (y) the quotient obtained by dividing the actual number of calendar days in such Floating Rate Interest Payment Period by 360.

Notwithstanding the foregoing, in no event will the interest rate payable for any Floating Rate Interest Payment Period be less than zero percent.

On the Floating Rate Interest Payment Date, accrued interest will be paid for the most recently completed Floating Rate Interest Payment Period. During the relevant Floating Rate Interest Payment Period, interest on the Notes will accrue from and including the first date in such Floating Rate Interest Payment Period, or from and including the Interest Reset Date in the case of the first Floating Rate Interest Payment Period. Interest will accrue to but excluding the next Floating Rate Interest Payment Date.

During the Floating Rate Period, the calculation agent shall notify the paying agent of each determination of the interest rate applicable to the notes promptly after the determination is made on the Floating Rate Interest Determination Date.

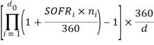
With respect to any Floating Rate Interest Payment Period, the “Base Rate” means the rate of return of a daily compound interest investment computed in accordance with the following formula (with the resulting percentage rounded, if necessary, to the nearest one hundred-thousandth of a percentage point, with 0.000005% being rounded upwards to 0.00001%):

 

LOGO

Where:

“d0”, for any Observation Period, is the number of U.S. Government Securities Business Days in the relevant Observation Period.

i” is a series of whole numbers from one to d0, each representing the relevant U.S. Government Securities Business Days in chronological order from, and including, the first U.S. Government Securities Business Day in the relevant Observation Period.


“SOFRi”, for any U.S. Government Securities Business Day “i” in the relevant Observation Period, is equal to SOFR in respect of that day “i”.

“ni”, for any U.S. Government Securities Business Day “i” in the relevant Observation Period, is the number of calendar days from, and including, such U.S. Government Securities Business Day “i” to, but excluding, the following U.S. Government Securities Business Day (“i+1”).

“d” is the number of calendar days in the relevant Observation Period.

In determining the Base Rate for a U.S. Government Securities Business Day, the Base Rate generally will be the rate in respect of such day that is provided on the following U.S. Government Securities Business Day. In determining the Base Rate for any other day, such as a Saturday, Sunday or holiday, the Base Rate generally will be the rate in respect of the immediately preceding U.S. Government Securities Business Day that is provided on the following U.S. Government Securities Business Day.

SOFR” means, with respect to any U.S. Government Securities Business Day:

 

  (1)

the Secured Overnight Financing Rate in respect of such U.S. Government Securities Business Day as provided by the New York Federal Reserve, as the administrator of such rate (or a successor administrator) on the New York Federal Reserve’s Website on or about 5:00 p.m. (New York time) on the U.S. Government Securities Business Day immediately following such U.S. Government Securities Business Day; or

 

  (2)

if the Secured Overnight Financing Rate in respect of such U.S. Government Securities Business Day does not appear as specified in paragraph (1), unless both a Benchmark Transition Event and its related Benchmark Replacement Date have occurred, the Secured Overnight Financing Rate in respect of the last U.S. Government Securities Business Day for which such rate was published on the New York Federal Reserve’s Website; or

 

  (3)

if a Benchmark Transition Event and its related Benchmark Replacement Date have occurred:

 

   

the sum of: (a) the alternate rate of interest that has been selected or recommended by the Relevant Governmental Body as the replacement for the then-current Benchmark for the applicable Corresponding Tenor and (b) the Benchmark Replacement Adjustment; or

 

   

the sum of: (a) the ISDA Fallback Rate and (b) the Benchmark Replacement Adjustment; or

 

   

the sum of: (a) the alternate rate of interest that has been selected by the Company or its designee as the replacement for the then-current Benchmark for the applicable Corresponding Tenor giving due


 

consideration to any industry-accepted rate of interest as a replacement for the then-current Benchmark for U.S. dollar-denominated floating rate notes at such time and (b) the Benchmark Replacement Adjustment.

In connection with the above, the following definitions apply:

Benchmark” means SOFR with the Index Maturity specified above; provided that if a Benchmark Transition Event and its related Benchmark Replacement Date have occurred with respect to SOFR with the Index Maturity specified above or the then-current Benchmark, then “Benchmark” means the applicable Benchmark Replacement.

Benchmark Replacement” means the first alternative set forth in the order presented in clause (3) of the definition of “SOFR” that can be determined by the Company or its designee as of the Benchmark Replacement Date. In connection with the implementation of a Benchmark Replacement, the Company or its designee will have the right to make Benchmark Replacement Conforming Changes from time to time.

Benchmark Replacement Adjustment” means the first alternative set forth in the order below that can be determined by the Company or its designee as of the Benchmark Replacement Date:

(1) the Spread adjustment, or method for calculating or determining such Spread adjustment (which may be a positive or negative value or zero), that has been selected or recommended by the Relevant Governmental Body for the applicable Unadjusted Benchmark Replacement;

(2) if the applicable Unadjusted Benchmark Replacement is equivalent to the ISDA Fallback Rate, then the ISDA Fallback Adjustment;

(3) the Spread adjustment (which may be a positive or negative value or zero) that has been selected by the Company or its designee giving due consideration to any industry-accepted Spread adjustment, or method for calculating or determining such Spread adjustment, for the replacement of the then-current Benchmark with the applicable Unadjusted Benchmark Replacement for U.S. dollar-denominated floating rate notes at such time.

Benchmark Replacement Conforming Changes” means, with respect to any Benchmark Replacement, any technical, administrative or operational changes (including changes to the definition of “Floating Rate Interest Payment Periods,” timing and frequency of determining rates and making payments of interest and other administrative matters) that the Company or its designee decide may be appropriate to reflect the adoption of such Benchmark Replacement in a manner substantially consistent with market practice (or, if the Company or its designee decide that adoption of any portion of such market practice is not administratively feasible or if the Company or its designee determine that no market practice for use of the Benchmark Replacement exists, in such other manner as the Company or its designee determine is reasonably necessary).


Benchmark Replacement Date” means the earliest to occur of the following events with respect to the then-current Benchmark:

(1) in the case of clause (1) or (2) of the definition of “Benchmark Transition Event,” the later of (a) the date of the public statement or publication of information referenced therein and (b) the date on which the administrator of the Benchmark permanently or indefinitely ceases to provide the Benchmark; or

(2) in the case of clause (3) of the definition of “Benchmark Transition Event,” the date of the public statement or publication of information referenced therein.

For the avoidance of doubt, if the event giving rise to the Benchmark Replacement Date occurs on the same day as, but earlier than, the Reference Time in respect of any determination, the Benchmark Replacement Date will be deemed to have occurred prior to the Reference Time for such determination.

Benchmark Transition Event” means the occurrence of one or more of the following events with respect to the then-current Benchmark:

 

  (1)

a public statement or publication of information by or on behalf of the administrator of the Benchmark announcing that such administrator has ceased or will cease to provide the Benchmark, permanently or indefinitely, provided that, at the time of such statement or publication, there is no successor administrator that will continue to provide the Benchmark;

 

  (2)

a public statement or publication of information by the regulatory supervisor for the administrator of the Benchmark, the central bank for the currency of the Benchmark, an insolvency official with jurisdiction over the administrator for the Benchmark, a resolution authority with jurisdiction over the administrator for the Benchmark or a court or an entity with similar insolvency or resolution authority over the administrator for the Benchmark, which states that the administrator of the Benchmark has ceased or will cease to provide the Benchmark permanently or indefinitely, provided that, at the time of such statement or publication, there is no successor administrator that will continue to provide the Benchmark; or

 

  (3)

a public statement or publication of information by the regulatory supervisor for the administrator of the Benchmark announcing that the Benchmark is no longer representative.

Corresponding Tenor” with respect to a Benchmark Replacement means a tenor (including overnight) having approximately the same length (disregarding business day adjustment) as the applicable tenor for the then-current Benchmark.

Floating Rate Interest Determination Date” means the date two U.S. Government Securities Business Days before each Floating Rate Interest Payment Date (or, in the case


of the final Floating Rate Interest Payment Period, before the Stated Maturity of the Notes).

ISDA Definitions” means the 2006 ISDA Definitions published by the International Swaps and Derivatives Association, Inc. or any successor thereto, as amended or supplemented from time to time, or any successor definitional booklet for interest rate derivatives published from time to time.

ISDA Fallback Adjustment” means the Spread adjustment (which may be a positive or negative value or zero) that would apply for derivatives transactions referencing the ISDA Definitions to be determined upon the occurrence of an index cessation event with respect to the Benchmark for the applicable tenor.

ISDA Fallback Rate” means the rate that would apply for derivatives transactions referencing the ISDA Definitions to be effective upon the occurrence of an index cessation date with respect to the Benchmark for the applicable tenor excluding the applicable ISDA Fallback Adjustment.

New York Federal Reserve” means the Federal Reserve Bank of New York. “New York Federal Reserve’s Website” means the website of the New York Federal Reserve, currently at http://www.newyorkfed.org, or any successor source.

Reference Time” with respect to any determination of the Benchmark means the time determined by the Company or its designee in accordance with the Benchmark Replacement Conforming Changes.

Relevant Governmental Body” means the Board of Governors of the Federal Reserve (the “Federal Reserve Board”) and/or the Federal Reserve Bank of New York, or a committee officially endorsed or convened by the Federal Reserve Board and/or the Federal Reserve Bank of New York or any successor thereto.

Unadjusted Benchmark Replacement” means the Benchmark Replacement excluding the Benchmark Replacement Adjustment.

If a Benchmark Transition Event and its related Benchmark Replacement Date have occurred, any determination, decision or election that may be made by the Company or its designee pursuant to this section, including any determination with respect to a tenor, rate or adjustment or of the occurrence or non-occurrence of an event, circumstance or date and any decision to take or refrain from taking any action or any selection:

 

   

will be conclusive and binding absent manifest error;

 

   

will be made in the Company’s or the Company’s designee’s sole discretion; and


   

notwithstanding anything to the contrary in the documentation relating to the Notes, shall become effective without consent from the Holders of the Notes or any other party.

None of the Trustee, the paying agent or the calculation agent shall be under any obligation (i) to monitor, determine or verify the unavailability or cessation of SOFR or the SOFR index, or whether or when there has occurred, or to give notice to any other transaction party of the occurrence of, any Benchmark Transition Event or related Benchmark Replacement Date, (ii) to select, determine or designate any Benchmark Replacement, or other successor or replacement benchmark index, or whether any conditions to the designation of such a rate or index have been satisfied, or (iii) to select, determine or designate any Benchmark Replacement Adjustment, or other modifier to any replacement or successor index, or (iv) to determine whether or what Benchmark Replacement Conforming Changes are necessary or advisable, if any, in connection with any of the foregoing, including, but not limited to, adjustments as to any alternative spread thereon, the business day convention, interest determination dates or any other relevant methodology applicable to such substitute or successor benchmark. In connection with the foregoing, each of the Trustee, paying agent and calculation agent shall be entitled to conclusively rely on any determinations made by the Company or its designee without independent investigation, and none will have any liability for actions taken at the Company’s direction in connection therewith.

None of the Trustee, the paying agent or the calculation agent shall be liable for any inability, failure or delay on its part to perform any of its duties set forth in this note as a result of the unavailability of SOFR, the SOFR index or other applicable Benchmark Replacement, including as a result of any failure, inability, delay, error or inaccuracy on the part of any other transaction party in providing any direction, instruction, notice or information required or contemplated by the terms of this note and reasonably required for the performance of such duties. None of the Trustee, paying agent or calculation agent shall be responsible or liable for the Company’s actions or omissions or for those of its designee, or for any failure or delay in the performance by the Company or its designee, nor shall any of the Trustee, paying agent or calculation agent be under any obligation to oversee or monitor the Company’s performance or that of its designee.

The Company will pay interest in such coin or currency of the United States of America as at the time of payment shall be legal tender for the payment of public and private debts. The Company will make payments in respect of Notes in global form (including principal and interest) to the Holder thereof or a nominee of the Holder, by wire transfer of immediately available funds as of the close of business on the date such payments are due.

The term “Business Day” means any day that is not a Saturday or Sunday and that is not a day on which banking institutions in New York, New York, Chicago, Illinois or McLean, Virginia are generally authorized or required by law or executive order to be closed.

If the Company defaults in the payment of interest due on any Interest Payment Date after taking into account any applicable grace period, such defaulted interest shall be paid as set forth in the Senior Indenture.


The Notes are not entitled to any sinking fund.

The Notes are subject to defeasance pursuant to Section 402 of the Senior Indenture.

The Notes are not convertible into common stock of the Company.

The Company may redeem the Notes (the date of such redemption, the “Redemption Date”) at its option on February 1, 2029 (which is the date that is one year prior to the Stated Maturity), in whole but not in part, at a redemption price equal to 100% of the principal amount of the Notes to be redeemed, plus accrued and unpaid interest thereon to the Redemption Date upon not less than 5 nor more than 60 days’ prior notice given to the holders of the Notes to be redeemed.

If money sufficient to pay the redemption price of and accrued interest on the Notes to be redeemed on the Redemption Date is deposited with the Trustee on or before the Redemption Date and certain other conditions are satisfied, then on and after the Redemption Date, interest will cease to accrue on such Notes called for redemption and such Notes will cease to be outstanding. If the Redemption Date is not a business day, the Company will pay the redemption price on the next business day without any interest or other payment due to the delay.

In case an Event of Default shall have occurred and is continuing with respect to the Notes, the principal hereof may be declared, and upon such declaration shall become, due and payable, in the manner, with the effect and subject to the conditions provided in the Senior Indenture. The Senior Indenture provides that in certain circumstances such declaration and its consequences may be waived by the Holders of not less than a majority in aggregate principal amount of the Notes then Outstanding. However, any such consent or waiver by the Holder shall not affect any subsequent default or impair any right consequent thereon.

The Senior Indenture permits the Company and the Trustee, without the consent of the Holders of the Notes for certain situations and with the consent of not less than two-thirds of the Holders in aggregate principal amount of the Outstanding Notes of each series affected by such supplemental indenture in other situations, to execute supplemental indentures adding to, modifying, or changing various provisions of, the Senior Indenture; provided that no such supplemental indenture, without the consent of the Holder of each Outstanding Note affected thereby, shall (i) change the Stated Maturity of the principal of or any installment of interest on the Notes; (ii) reduce the principal amount thereof or the rate of interest thereon, or adversely affect the right of repayment of any Holder; (iii) change the Place of Payment or Currency in which the principal of or interest on the Notes is payable, or impair the right to institute suit for the enforcement of any payment on or after the Stated Maturity thereof; (iv) reduce the percentage in principal amount of the Outstanding Notes, the consent of whose Holders is required for any such supplemental indenture, or the consent of whose Holders is required for any waiver (of compliance with certain provisions of the Senior Indenture or certain defaults thereunder and their consequences) provided for in the Senior Indenture, or reduce the requirements of Section 1504 for quorum or voting; or (v) modify any of the provisions of Sections 902, 513 or 1008 of the Senior Indenture, except to increase any such percentage or provide that certain other provisions of the Senior Indenture cannot be modified or waived without the consent of the Holder of each Outstanding Note affected thereby.


The Company may omit in any particular instance to comply with any term, provision or condition set forth in Section 1005, 1006 or 1007 of the Senior Indenture, if before the time it would have to comply, the Holders of at least a majority in principal amount of the Outstanding Notes, by act of such Holders, either shall waive such compliance in such instance or generally shall have waived compliance with such term, provision or condition, but no such waiver shall extend to or affect such term, provision or condition except to the extent so expressly waived, and, until such waiver shall become effective, the obligations of the Company and the duties of the Trustee in respect of any such term, provision or condition shall remain in full force and effect.

No reference herein to the Senior Indenture and no provision of this Security or of the Senior Indenture shall alter or impair the obligations of the Company, which are absolute and unconditional, to pay the principal of or interest on this Security at the respective times and at the rate herein prescribed.

The Notes are issuable in registered form without coupons in minimum denominations of $2,000 and in integral multiples of $1,000 in excess thereof. A Holder may exchange the Notes for a like aggregate principal amount of Notes of other authorized denominations in the manner and subject to the limitations provided in the Senior Indenture.

Upon due presentment for registration of transfer of the Notes at the office or agency for said purpose of the Company, a new Note or Notes of authorized denominations, for a like aggregate principal amount, will be issued to the transferee as provided in the Senior Indenture. No service charge shall be made for any such transfer, but the Company may require payment of a sum sufficient to cover any tax or other governmental charge that may be imposed in relation thereto.

Prior to due presentation of this Security for registration of transfer, the Company, the Trustee, and any agent of the Company or the Trustee, may deem and treat the Holder hereof as the owner of this Security (whether or not any payment with respect to this Security shall be overdue), for the purpose of receiving payment of principal of and (subject to the provisions of the Senior Indenture) interest hereon and for all other purposes whatsoever, whether or not any payment with respect to this Security shall be overdue, and neither the Company, nor the Trustee nor any agent of the Company or the Trustee shall be affected by notice to the contrary.

No recourse shall be had for the payment of the principal of or interest on this Security, for any claim based hereon, or otherwise in respect hereof, or based on or in respect of the Senior Indenture or any indenture supplemental thereto, or because of the creation of any indebtedness represented thereby, against any incorporator, shareholder, officer or director, as such, past, present or future, of the Company or of any successor corporation, either directly or through the Company or any successor corporation, whether by virtue of any constitution, statute or rule of law or by the enforcement of any assessment or penalty or otherwise, all such liability being, by the acceptance hereof and as part of the consideration for the issue hereof, expressly waived and released.

THIS SECURITY SHALL BE GOVERNED BY, AND CONSTRUED IN ACCORDANCE WITH, THE LAW OF THE STATE OF NEW YORK.

All terms used in this Security (and not otherwise defined in this Security) that are defined in the Senior Indenture shall have the meanings assigned to them in the Senior Indenture.