EX-4.1 2 tm249082d1_ex4-1.htm EXHIBIT 4.1

 

Exhibit 4.1 

 

EXECUTION VERSION 

 

Redwood Trust, Inc.

 

WARRANT AGREEMENT

 

Dated as of March 18, 2024

 

 

 

 

Table of Contents

 

Page

 

Section 1.   Definitions 1
Section 2.   Rules of Construction 8
Section 3.   The Warrants 8
(a)   Original Issuance of Warrants 8
(b)   Form, Dating and Denominations 9
(c)   Execution and Delivery 9
(d)   Method of Payment 9
(e)   Registrar and Exercise Agent 10
(f)   Legends 10
(g)   Transfers and Exchanges; Transfer Taxes; Certain Transfer Restrictions 11
(h)   Exchange and Cancellation of Exercised Warrants 13
(i)   Replacement Certificates 14
(j)   Registered Holders 14
(k)   Cancellation 14
(l)   Outstanding Warrants 14
Section 4.   No Right of Redemption by the Company 15
Section 5.   Exercise of Warrants 15
(a)   Generally 15
(b)   Exercise at the Option of the Holders 15
(c)   Automatic Exercise on Exercise Period Expiration Date or Effective Date of Cash Common Stock Change Event 16
(d)   Mandatory Exercise at the Company’s Election 16
(e)   Exercise Procedures 17
(f)   Settlement Upon Exercise 18
(g)   Strike Price and Number of Underlying Shares Adjustments 19
(h)   Voluntary Adjustments 28
(i)   Adjustments Effective Without Need to Amend Certificates 29
(j)   Effect of Common Stock Change Event 29
Section 6.   Certain Provisions Relating to the Issuance of Common Stock 31
(a)   Equitable Adjustments to Prices 31
(b)   Reservation of Shares of Common Stock 31
(c)   Status of Shares of Common Stock 31
(d)   Taxes Upon Issuance of Common Stock 31
Section 7.   Early Termination of Warrants 31
Section 8.   Calculations 32
(a)   Responsibility; Schedule of Calculations 32
(b)   Calculations Aggregated for Each Holder 32
Section 9.   Miscellaneous 32
(a)   Notices 32
(b)   Governing Law; Waiver of Jury Trial 32
(c)   Submission to Jurisdiction 32
(d)   No Adverse Interpretation of Other Agreements 33
(e)   Successors; Benefits of Warrant Agreement 33
(f)   Severability 33
(g)   Counterparts 33
(h)   Table of Contents, Headings, Etc. 33
(i)   Withholding Taxes 33
(j)   Entire Agreement 33
(k)   No Other Rights 33
(l)   No Obligation to Purchase Securities of the Company 34
(m)   Tax Treatment of Warrants 34
(n)   Limitation on Ownership of Warrants, Exercise of Warrants and Shares of Common Stock Deliverable Upon Conversion 34
   

 

- i -

 

 

Exhibits

 

Exhibit A: Form of Warrant Certificate A-1
   
Exhibit B-1: Form of Restricted Security Legend B1-1
   
Exhibit B-2: Charter Ownership Limitation Legend B2-1

 

- ii -

 

 

WARRANT AGREEMENT

 

WARRANT AGREEMENT, dated as of March 18, 2024, between Redwood Trust, Inc., a Maryland corporation, as issuer (the “Company”), and the other signatory to this Warrant Agreement (as defined below), as the initial Holder (as defined in this Warrant Agreement).

 

In consideration of the mutual agreements herein contained, each party to this Warrant Agreement (as defined below) agrees as follows.

 

Section 1.                Definitions.

 

Affiliate” has the meaning set forth in Rule 144.

 

Agent” means any Registrar or Exercise Agent.

 

Authorized Denomination” means, with respect to a Warrant, either (a) such Warrant in its entirety, representing all of the Underlying Shares thereof; or (b) any portion of such Warrant that represents a whole number of the Underlying Shares thereof.

 

Automatic Exercise” means the exercise of a Warrant pursuant to Section 5(c).

 

Automatic Exercise Date” means an Exercise Date occurring with respect to any Warrant pursuant to Section 5(c).

 

Board of Directors” means the Company’s board of directors or a committee of such board duly authorized to act on behalf of such board.

 

Business Day” means any day other than a Saturday, a Sunday or any day on which the Federal Reserve Bank of New York is authorized or required by law or executive order to close or be closed.

 

Bylaws” means the Company’s Amended and Restated Bylaws, as the same may be further amended, supplemented or restated.

 

Capital Stock” of any Person means any and all shares of, interests in, rights to purchase, warrants or options for, participations in, or other equivalents of, in each case however designated, the equity of such Person, but excluding any debt securities convertible into such equity.

 

Certificate” means a Physical Certificate or an Electronic Certificate.

 

Charter” means the Company’s Charter, as in effect on the date of this Agreement, as the same may be amended, supplemented or restated.

 

Charter Ownership Limitation Legend” means a legend substantially in the form set forth in Exhibit B-2.

 

Close of Business” means 5:00 p.m., New York City time.

 

- 1 -

 

 

Code” means the Internal Revenue Code of 1986, as amended.

 

Common Stock” means the common stock, $0.01 par value per share, of the Company, subject to Section 5(j).

 

Common Stock Change Event” has the meaning set forth in Section 5(j)(i).

 

Company” means Redwood Trust, Inc., a Maryland corporation.

 

CoreVest” means CoreVest American Finance Lender LLC.

 

CoreVest-Originated Loans” means mortgage loans originated by CoreVest for investor borrowers.

 

CPP JV Limited Partner” means CPPIB Credit Structured North America II, Inc.

 

CPPIB Entity” means Canada Pension Plan Investment Board and any subsidiary thereof, including the CPP JV Limited Partner.

 

Credit Agreement” means that certain Credit Agreement, dated as of March 18, 2024, among the Company, CPPIB Credit Investments III Inc. and the other parties thereto.

 

Dividend Threshold” has the meaning set forth in Section 5(g)(i)(4).

 

Electronic Certificate” means any electronic book entry maintained by the Registrar that represents one (1) Warrant.

 

Ex-Dividend Date” means, with respect to an issuance, dividend or distribution on the Common Stock, the first date on which shares of Common Stock trade on the applicable exchange or in the applicable market, regular way, without the right to receive such issuance, dividend or distribution (including pursuant to due bills or similar arrangements required by the relevant stock exchange). For the avoidance of doubt, any alternative trading convention on the applicable exchange or market in respect of the Common Stock under a separate ticker symbol or CUSIP number will not be considered “regular way” for this purpose.

 

Exchange Act” means the U.S. Securities Exchange Act of 1934, as amended.

 

Exercise” means an Automatic Exercise, a Mandatory Exercise or an Optional Exercise. The terms “Exercised” and “Exercisable” will have a meaning correlative to the foregoing.

 

Exercise Agent” has the meaning set forth in Section 3(e)(i).

 

Exercise Consideration” means, with respect to the Exercise of any Warrant, the type and amount of consideration payable to settle such Exercise, determined in accordance with Section 5.

 

- 2 -

 

 

Exercise Date” means an Automatic Exercise Date, a Mandatory Exercise Date or an Optional Exercise Date.

 

Exercise Period” means (a) with respect to any First Tranche Warrant, the First Tranche Warrants Exercise Period; and (b) with respect to any Second Tranche Warrant, the Second Tranche Warrants Exercise Period.

 

Exercise Period Expiration Date” means March 18, 2029 (or, if such date is not a Business Day, the immediately following Business Day).

 

Exercise Share” means any share of Common Stock issued or issuable upon Exercise of any Warrant.

 

First Tranche Warrants” has the meaning set forth in Section 3(a).

 

First Tranche Warrants Exercise Period” means the period from, and including, the date that is three hundred and sixty-five (365) days following the Initial Issue Date to, and including, the Exercise Period Expiration Date.

 

Holder” means a person in whose name any Warrant is registered on the Registrar’s books.

 

Initial Issue Date” means March 18, 2024.

 

JV Agreement” means that certain limited partnership agreement dated as of March 18, 2024, among Redwood Maple Mortgage Fund GP, LLC, RWT Venture Holdings II, LLC, and the CPP JV Limited Partner.

 

JV Fund” means Redwood Maple Mortgage Fund, LP.

 

Last Reported Sale Price” of the Common Stock for any Trading Day means the closing sale price per share (or, if no closing sale price is reported, the average of the last bid price and the last ask price per share or, if more than one in either case, the average of the average last bid prices and the average last ask prices per share) of the Common Stock on such Trading Day as reported in composite transactions for the principal U.S. national or regional securities exchange on which the Common Stock is then listed. If the Common Stock is not listed on a U.S. national or regional securities exchange on such Trading Day, then the Last Reported Sale Price will be the last quoted bid price per share of Common Stock on such Trading Day in the over-the-counter market as reported by OTC Markets Group Inc. or a similar organization. If the Common Stock is not so quoted on such Trading Day, then the Last Reported Sale Price will be the average of the mid-point of the last bid price and the last ask price per share of Common Stock on such Trading Day from a nationally recognized independent investment banking firm the Company selects.

 

Liquidity Condition” means, with respect to any Mandatory Exercise, that either (a) both of the following conditions are satisfied: (i) the Exercise Date for such Mandatory Exercise is before the date that is one (1) year after the Initial Issue Date; and (ii) as of the Mandatory Exercise Notice Date for such Mandatory Exercise, (1) the Company has satisfied the conditions set forth in Rule 144(c) under the Securities Act; and (2) the due date, under the Exchange Act, for the Company’s next annual report or quarterly report under Section 13(a) or 15(d) of the Exchange Act is either (x) at least thirty (30) calendar days after such Mandatory Exercise Notice Date; or (y) after the date that is one (1) year after the Initial Issue Date; or (b) the Exercise Date for such Mandatory Exercise is on or after the date that is one (1) year after the Initial Issue Date.

 

- 3 -

 

 

Loan” has the meaning set forth in the Credit Agreement.

 

Loan Administration Agreement” has the meaning set forth in the JV Agreement.

 

Mandatory Exercise” has the meaning set forth in Section 5(d)(i).

 

Mandatory Exercise Condition” has the meaning set forth in Section 5(d)(i).

 

Mandatory Exercise Date” means an Exercise Date designated with respect to any Warrant pursuant to Section 5(d)(i) and 5(d)(ii).

 

Mandatory Exercise Notice” has the meaning set forth in Section 5(d)(iii).

 

Mandatory Exercise Notice Date” means, with respect to a Mandatory Exercise, the date on which the Company sends the Mandatory Exercise Notice for such Mandatory Exercise pursuant to Section 5(d)(iii).

 

Mandatory Exercise Right” has the meaning set forth in Section 5(d)(i).

 

Mandatory Exercise Trigger Date” means the date that is six (6) months after the Initial Issue Date.

 

Market Disruption Event” means, with respect to any date, the occurrence or existence, during the one-half hour period ending at the scheduled close of trading on such date on the principal U.S. national or regional securities exchange or other market on which the Common Stock is listed for trading or trades, of any material suspension or limitation imposed on trading (by reason of movements in price exceeding limits permitted by the relevant exchange or otherwise) in the Common Stock or in any options contracts or futures contracts relating to the Common Stock.

 

Officer” means the Chief Executive Officer, the President, the Chief Financial Officer, or the Treasurer of the Company.

 

Open of Business” means 9:00 a.m., New York City time.

 

Optional Exercise” means the exercise of any Warrant other than an Automatic Exercise or a Mandatory Exercise.

 

Optional Exercise Date” means, with respect to the Optional Exercise of any Warrant, the first Business Day on which the requirements set forth in Section 5(e)(ii) for such Optional Exercise are satisfied.

 

- 4 -

 

 

Optional Exercise Notice” means a notice substantially in the form of the “Optional Exercise Notice” set forth in Exhibit A.

 

Person” or “person” means any individual, corporation, partnership, limited liability company, joint venture, association, joint-stock company, trust, unincorporated organization or government or other agency or political subdivision thereof. Any division or series of a limited liability company, limited partnership or trust will constitute a separate “person” under this Warrant Agreement.

 

Physical Certificate” means any certificate (other than an Electronic Certificate) representing one (1) Warrant, which certificate is substantially in the form set forth in Exhibit A, registered in the name of the Holder of such Warrant and duly executed by the Company.

 

Record Date” means, with respect to any dividend or distribution on, or issuance to holders of, Common Stock, the date fixed (whether by law, contract or the Board of Directors or otherwise) to determine the holders of Common Stock that are entitled to such dividend, distribution or issuance.

 

Reference Property” has the meaning set forth in Section 5(j)(i).

 

Reference Property Unit” has the meaning set forth in Section 5(j)(i).

 

Register” has the meaning set forth in Section 3(e)(ii).

 

Registrar” has the meaning set forth in Section 3(e)(i).

 

Restricted Security Legend” means a legend substantially in the form set forth in Exhibit B-1.

 

Rule 144” means Rule 144 under the Securities Act (or any successor rule thereto), as the same may be amended from time to time.

 

Second Tranche Vesting Date” means the first date on which the sale of CoreVest-Originated Loans to the JV Fund in an aggregate principal amount equal to $1.25 billion has occurred pursuant to the JV Agreement.

 

Second Tranche Warrants” has the meaning set forth in Section 3(a).

 

Second Tranche Warrants Exercise Period” means the period from, and including, the Second Tranche Vesting Date to, and including, the Exercise Period Expiration Date.

 

Securities Act” means the U.S. Securities Act of 1933, as amended.

 

- 5 -

 

 

Security” means any Warrant or Exercise Share.

 

Specified Courts” has the meaning set forth in Section 9(c).

 

Spin-Off” has the meaning set forth in Section 5(g)(i)(3)(B).

 

Spin-Off Valuation Period” has the meaning set forth in Section 5(g)(i)(3)(B).

 

Strike Price” initially means $7.76 per share; provided, however, that the Strike Price is subject to adjustment pursuant to Sections 5(g) and 5(h). Each reference in this Warrant Agreement or any Certificate to the Strike Price as of a particular date without setting forth a particular time on such date will be deemed to be a reference to the Strike Price immediately after the Close of Business on such date.

 

Subsidiary” means, with respect to any Person, (a) any corporation, association or other business entity (other than a partnership or limited liability company) of which more than fifty percent (50%) of the total voting power of the Capital Stock entitled (without regard to the occurrence of any contingency, but after giving effect to any voting agreement or stockholders’ agreement that effectively transfers voting power) to vote in the election of directors, managers or trustees, as applicable, of such corporation, association or other business entity is owned or controlled, directly or indirectly, by such Person or one or more of the other Subsidiaries of such Person; and (b) any partnership or limited liability company where (x) more than fifty percent (50%) of the capital accounts, distribution rights, equity and voting interests, or of the general and limited partnership interests, as applicable, of such partnership or limited liability company are owned or controlled, directly or indirectly, by such Person or one or more of the other Subsidiaries of such Person, whether in the form of membership, general, special or limited partnership or limited liability company interests or otherwise, and (y) such Person or any one or more of the other Subsidiaries of such Person is a controlling general partner of, or otherwise controls, such partnership or limited liability company.

 

Successor Person” has the meaning set forth in Section 5(j)(iii).

 

Tender/Exchange Offer Expiration Date” has the meaning set forth in Section 5(g)(i)(5).

 

Tender/Exchange Offer Expiration Time” has the meaning set forth in Section 5(g)(i)(5).

 

Tender/Exchange Offer Valuation Period” has the meaning set forth in Section 5(g)(i)(5).

 

Trading Day” means any day on which (a) trading in the Common Stock generally occurs on the principal U.S. national or regional securities exchange on which the Common Stock is then listed or, if the Common Stock is not then listed on a U.S. national or regional securities exchange, on the principal other market on which the Common Stock is then traded; and (b) there is no Market Disruption Event. If the Common Stock is not so listed or traded, then “Trading Day” means a Business Day.

 

- 6 -

 

 

Transfer-Restricted Security” means any Security that constitutes a “restricted security” (as defined in Rule 144); provided, however, that such Security will cease to be a Transfer-Restricted Security upon the earliest to occur of the following events:

 

(a)       such Security is sold or otherwise transferred to a Person (other than the Company or an Affiliate of the Company) pursuant to a registration statement that was effective under the Securities Act at the time of such sale or transfer;

 

(b)       such Security is sold or otherwise transferred to a Person (other than the Company or an Affiliate of the Company) pursuant to an available exemption (including Rule 144) from the registration and prospectus-delivery requirements of, or in a transaction not subject to, the Securities Act and, immediately after such sale or transfer, such Security ceases to constitute a “restricted security” (as defined in Rule 144); and

 

(c)       such Security is eligible for resale, by a Person that is not an Affiliate of the Company and that has not been an Affiliate of the Company during the immediately preceding three (3) months, pursuant to Rule 144 without any limitations thereunder as to volume, manner of sale, availability of current public information or notice.

 

Triggering Dividend/Distribution” has the meaning set forth in Section 5(g)(i)(4).

 

Underlying Shares” initially means, with respect to any Warrant, that number of shares of Common Stock identified as the initial number of “Underlying Shares” in the Certificate representing such Warrant; provided, however, that (a) the number of Underlying Shares of each Warrant will be subject to adjustment pursuant to Sections 5(g) and 5(h), and (b) upon the Exercise of any Warrant (or any portion thereof representing less than all of the Underlying Shares thereof), the number of Underlying Shares of such Warrant will be reduced, effective as of the time such Warrant (or such portion thereof) ceases to be outstanding pursuant to Section 3(l), by the number of Underlying Shares so Exercised.

 

Valuation Price” means, with respect to the Exercise of any Warrant, the Last Reported Sale Price per share of Common Stock on the Exercise Date for such Exercise (or, if such Exercise Date is not a Trading Day, the immediately preceding Trading Day).

 

Warrant” means each warrant issued by the Company pursuant to, and having the terms, and conferring to the Holders thereof the rights, set forth in, this Warrant Agreement. Subject to the terms of this Warrant Agreement, each Warrant will be Exercisable for shares of Common Stock based on the number of Underlying Shares of such Warrant and the Strike Price.

 

Warrant Agreement” means this Warrant Agreement, as amended or supplemented from time to time.

 

A “Warrant Termination Event” will be deemed to occur (a) with respect to the First Tranche Warrants if, at any time on or before the three hundred and sixty fifth (365th) day after the Initial Issue Date, a CPPIB Entity exercises its right to terminate the JV Fund pursuant to the JV Agreement or the Loan Administration Agreement; and (b) with respect to the Second Tranche Warrants if, either (i) a CPPIB Entity exercises its right to terminate the JV Fund pursuant to the JV Agreement or the Loan Administration Agreement at any time on or before the three hundred and sixty fifth (365th) day after the Initial Issue Date, or (ii) the CPP JV Limited Partner is a Defaulting Limited Partner as defined in the JV Agreement.

 

- 7 -

 

 

Section 2.                Rules of Construction. For purposes of this Warrant Agreement:

 

(a)       “or” is not exclusive;

 

(b)       “including” means “including without limitation”;

 

(c)       “will” expresses a command;

 

(d)       the “average” of a set of numerical values refers to the arithmetic average of such numerical values;

 

(e)       a merger involving, or a transfer of assets by, a limited liability company, limited partnership or trust will be deemed to include any division of or by, or an allocation of assets to a series of, such limited liability company, limited partnership or trust, or any unwinding of any such division or allocation;

 

(f)       words in the singular include the plural and in the plural include the singular, unless the context requires otherwise;

 

(g)       “herein,” “hereof” and other words of similar import refer to this Warrant Agreement as a whole and not to any particular Section or other subdivision of this Warrant Agreement, unless the context requires otherwise;

 

(h)       references to currency mean the lawful currency of the United States of America, unless the context requires otherwise; and

 

(i)       the exhibits, schedules and other attachments to this Warrant Agreement are deemed to form part of this Warrant Agreement.

 

Section 3.                The Warrants.

 

(a)               Original Issuance of Warrants. On the Initial Issue Date, there will be originally issued (i) Warrants having an initial aggregate of one million nine hundred seventy four thousand nine hundred five (1,974,905) Underlying Shares (the “First Tranche Warrants”); and (ii) Warrants having an initial aggregate of four million six hundred eight thousand one hundred twelve (4,608,112) Underlying Shares (the “Second Tranche Warrants”). Such Warrants will be initially registered in the name of CPPIB Credit Investments III Inc. For the avoidance of doubt, the number of Underlying Shares of each of the First Tranche Warrants and the Second Tranche Warrants is subject to adjustment pursuant to Section 5(g)(i)(6).

 

- 8 -

 

 

(b)               Form, Dating and Denominations.

 

(i)                 Form and Date of Certificates Representing Warrants. Each Certificate representing any Warrant will (1) be substantially in the form set forth in Exhibit A; (2) bear the legends required by Section 3(f) and may bear notations, legends or endorsements required by law or stock exchange rule; and (3) be dated as of the date it is executed by the Company.

 

(ii)              Electronic Certificates; Physical Certificates. The Warrants will be originally issued initially in the form of one or more Physical Certificates. Electronic Certificates may be exchanged for Physical Certificates, and Physical Certificates may be exchanged for Electronic Certificates, upon request by the Holder thereof pursuant to customary procedures, subject to Section 3(g).

 

(iii)            Electronic Certificates; Interpretation. For purposes of this Warrant Agreement, (1) each Electronic Certificate will be deemed to include the text of the form of Certificate set forth in Exhibit A; (2) any legend, registration number or other notation that is required to be included on a Certificate will be deemed to be affixed to any Electronic Certificate notwithstanding that such Electronic Certificate may be in a form that does not permit affixing legends thereto; (3) any reference in this Warrant Agreement to the “delivery” of any Electronic Certificate will be deemed to be satisfied upon the registration of the electronic book entry representing such Electronic Certificate in the name of the applicable Holder; (4) upon satisfaction of any applicable requirements of the Maryland General Corporation Law, the Charter and the Bylaws of the Company, and any related requirements of the Registrar, in each case for the issuance of Warrants in the form of one or more Electronic Certificates, such Electronic Certificates will be deemed to be executed by the Company.

 

(iv)             No Bearer Certificates. The Warrants will be issued only in registered form.

 

(v)               Registration and Tranche Numbers. Each Certificate representing any Warrant will bear (1) a unique registration number that is not affixed to any other Certificate representing any other outstanding Warrant; and (2) an indication whether the Warrant(s) represented by such Certificate constitute First Tranche Warrants or Second Tranche Warrants.

 

(c)               Execution and Delivery. A duly authorized Officer will sign each Certificate representing any Warrant on behalf of the Company by manual or facsimile signature.

 

(d)               Method of Payment. The Company will pay all cash amounts due on any Warrant of any Holder by check mailed to the address of such Holder set forth in the Register; provided, however, that the Company will instead pay such cash amounts by wire transfer of immediately available funds to the account of such Holder within the United States specified in a written request of such Holder delivered to the Company no later than the Close of Business on the date that is ten (10) Business Days immediately before the date such payment is due (or specified in the related Optional Exercise Notice, if applicable).

 

- 9 -

 

 

(e)               Registrar and Exercise Agent.

 

(i)                 Generally. The Company designates its principal U.S. executive offices as an office or agency where Warrants may be presented for (1) registration of transfer or for exchange (the “Registrar”); and (2) Exercise (the “Exercise Agent”). At all times when any Warrant is outstanding, the Company will maintain an office in the continental United States constituting the Registrar and Exercise Agent.

 

(ii)              Maintenance of the Register. The Company will keep, or cause there to be kept, a record (the “Register”) of the names and addresses of the Holders, the number of Warrants (and the respective numbers of Underlying Shares thereof) held by each Holder and the transfer, exchange and Exercise of the Warrants. Absent manifest error, the entries in the Register will be conclusive and the Company and each Agent may treat each Person whose name is recorded as a Holder in the Register as a Holder for all purposes. The Register will be in written form or in any form capable of being converted into written form reasonably promptly. The Company will provide a copy of the Register to any Holder upon its request as soon as reasonably practicable.

 

(iii)            Subsequent Appointments. By notice to each Holder, the Company may, at any time, appoint any Person (including any Subsidiary of the Company) to act as Registrar or Exercise Agent.

 

(f)                Legends.

 

(i)                 Restricted Security Legend.

 

(1)               Each Certificate representing any Warrant that is a Transfer-Restricted Security will bear the Restricted Security Legend.

 

(2)               If any Warrant (such Warrant being referred to as the “new Warrant” for purposes of this Section 3(f)(i)(2)) is issued in exchange for, or in substitution of, other Warrant(s), or to effect the Exercise of less than all of the Underlying Shares of a Warrant represented by any Certificate (such other Warrant(s) or Exercised Warrant, as applicable, being referred to as the “old Warrant(s)” for purposes of this Section 3(f)(i)(2)), including pursuant to Section 3(g)(ii), 3(h) or 3(i), then the Certificate representing such new Warrant will bear the Restricted Security Legend if the Certificate representing such old Warrant(s) bore the Restricted Security Legend at the time of such exchange or substitution, or on the related Exercise Date with respect to such Exercise, as applicable; provided, however, that the Certificate representing such new Warrant need not bear the Restricted Security Legend if such new Warrant does not constitute a Transfer-Restricted Security immediately after such exchange or substitution, or as of such Exercise Date, as applicable.

 

(ii)              Charter Ownership Limitation Legend. Each Certificate representing any Warrant will bear the Charter Ownership Limitation Legend.

 

(iii)            Other Legends on Certificates. The Certificate representing any Warrant may bear any other legend or text, not inconsistent with this Warrant Agreement, as may be required by applicable law, by the rules of any applicable depositary for such Warrant or by any securities exchange or automated quotation system on which such Warrant is traded or quoted or as may be otherwise reasonably determined by the Company to be appropriate.

 

- 10 -

 

 

(iv)             Acknowledgement and Agreement by the Holders. A Holder’s acceptance of any Warrant represented by a Certificate bearing any legend required by this Section 3(f) will constitute such Holder’s acknowledgement of, and agreement to comply with, the restrictions set forth in such legend.

 

(v)               Legends on Exercise Shares.

 

(1)               Each Exercise Share will bear a legend (A) substantially to the same effect as the Restricted Security Legend if the Warrant upon the Exercise of which such Exercise Share was issued was (or would have been had it not been Exercised) a Transfer-Restricted Security at the time such Exercise Share was issued, provided that such Exercise Share need not bear such a legend if the Company determines, in its reasonable discretion, that such Exercise Share need not bear such a legend; and (B) referencing the restrictions on ownership and transfer as set forth in the Charter.

 

(2)               Notwithstanding anything to the contrary in Section 3(f)(v)(1), an Exercise Share need not bear a legend pursuant to Section 3(f)(v)(1) if such Exercise Share is issued in an uncertificated form that does not permit affixing legends thereto, provided the Company takes measures (including, if applicable, the assignment thereto of a “restricted” CUSIP number) that it reasonably deems appropriate to enforce the transfer restrictions referred to in such legend.

 

(g)               Transfers and Exchanges; Transfer Taxes; Certain Transfer Restrictions.

 

(i)                 Provisions Applicable to All Transfers and Exchanges.

 

(1)               Generally. Subject to this Section 3(g) (including, for the avoidance of doubt, Section 3(g)(i)(2)), any Warrant represented by any Certificate may be transferred or exchanged from time to time, and the Company will cause the Registrar to record each such transfer or exchange in the Register.

 

(2)               Transfers Permitted Only If to an Affiliate. Notwithstanding anything to the contrary in this Agreement, without the consent of the Company (which consent may be withheld or conditioned in the Company’s sole and absolute discretion), a Holder will not be entitled to transfer or exchange any Warrant (or any beneficial interest therein) to or for the benefit of any Person that is not an Affiliate of such Holder.

 

(3)               No Services Charge; Transfer Taxes. The Company and the Agents will not impose any service charge on any Holder for any transfer, exchange or Exercise of any Warrant, but the Company, the Registrar and the Exercise Agent may require payment of a sum sufficient to cover any transfer tax or similar governmental charge that may be imposed in connection with any transfer, exchange or Exercise of any Warrant, other than exchanges pursuant to Section 3(h) not involving any transfer.

 

- 11 -

 

 

(4)               Transfers and Exchanges Must Be in Authorized Denominations. Notwithstanding anything to the contrary in this Warrant Agreement, all transfers or exchanges of Warrants must be in an Authorized Denomination.

 

(5)               Legends. Each Certificate representing any Warrant that is issued upon transfer of, or in exchange for, another Warrant will bear each legend, if any, required by Section 3(f).

 

(ii)              Transfers and Exchanges of Warrants.

 

(1)               Subject to this Section 3(g), a Holder of any Warrant represented by a Certificate may (A) transfer any Authorized Denomination of such Warrant to one or more other Person(s); and (B) exchange any Authorized Denomination of such Warrant for Warrant(s) that (x) represent that same aggregate number of Underlying Shares as the number of Underlying Shares being exchanged; and (y) are represented by one or more other Certificates; provided, however, that, to effect any such transfer or exchange, such Holder must:

 

(A)             if such Certificate is a Physical Certificate, surrender such Physical Certificate to the office of the Registrar, together with any endorsements or transfer instruments reasonably required by the Company or the Registrar; and

 

(B)              deliver such certificates, documentation or evidence as may be required pursuant to Section 3(g)(iii).

 

(2)               Upon the satisfaction of the requirements of this Warrant Agreement to effect a transfer or exchange of any Authorized Denomination of a Holder’s Warrant represented by a Certificate (such Certificate being referred to as the “old Certificate” for purposes of this Section 3(g)(ii)(2)):

 

(A)             such old Certificate will be promptly cancelled pursuant to Section 3(k);

 

(B)              if less than all of the Underlying Shares of the Warrant represented by such old Certificate are to be so transferred or exchanged, then the Company will issue, execute and deliver, in accordance with Section 3(c), one or more Certificates that (x) in the aggregate, represent a total number of Underlying Shares equal to the number of Underlying Shares represented by such old Certificate not to be so transferred or exchanged; (y) are registered in the name of such Holder; and (z) bear each legend, if any, required by Section 3(f);

 

(C)              in the case of a transfer to a transferee, the Company will issue, execute and deliver, in accordance with Section 3(c), one or more Certificates that (x) in the aggregate, represent a total number of Underlying Shares equal to the number of Underlying Shares to be so transferred; (y) are registered in the name of such transferee; and (z) bear each legend, if any, required by Section 3(f); and

 

- 12 -

 

 

(D)             in the case of an exchange, the Company will issue, execute and deliver, in accordance with Section 3(c), one or more Certificates that (x) in the aggregate, represent a total number of Underlying Shares equal to the number of Underlying Shares to be so exchanged; (y) are registered in the name of the Person to whom such old Certificate was registered; and (z) bear each legend, if any, required by Section 3(f).

 

(iii)            Requirement to Deliver Documentation and Other Evidence. If a Holder of any Warrant that is a Transfer-Restricted Security, or that is represented by a Certificate that bears a Restricted Security Legend, requests to register the transfer of such Warrant to the name of another Person, then the Company and the Registrar may refuse to effect such transfer unless there is delivered to the Company and the Registrar such certificates or other documentation or evidence as the Company and the Registrar may reasonably require to determine that such transfer complies with the Securities Act and other applicable securities laws.

 

(iv)             Transfers of Warrants Subject to Exercise. Notwithstanding anything to the contrary in this Warrant Agreement, the Company and the Registrar will not be required to register the transfer of or exchange any Warrant that has been surrendered for Exercise.

 

(h)               Exchange and Cancellation of Exercised Warrants.

 

(i)                 Partial Exercises of Physical Certificates. If less than all of the Underlying Shares of a Holder’s Warrant represented by a Physical Certificate (such Physical Certificate being referred to as the “old Physical Certificate” for purposes of this Section 3(h)(i)) are Exercised pursuant to Section 5, then, as soon as reasonably practicable after such old Physical Certificate is surrendered for such Exercise, the Company will cause such old Physical Certificate to be exchanged, pursuant and subject to Section 3(g)(ii), for (1) one or more Physical Certificates that represent one or more Warrants that, in the aggregate, have a total number of Underlying Shares equal to the number of Underlying Shares of the Warrant represented by such old Physical Certificate that are not to be so Exercised and deliver such Physical Certificate(s) to such Holder; and (2) a Physical Certificate representing a Warrant having a total number of Underlying Shares equal to the number of Underlying Shares of the Warrant represented by such old Physical Certificate that are to be so Exercised, which Physical Certificate will be Exercised pursuant to the terms of this Warrant Agreement; provided, however, that the Physical Certificate referred to in this clause (2) need not be issued at any time after which the Warrant that would otherwise be represented by such Physical Certificate would be deemed to cease to be outstanding pursuant to Section 3(l).

 

- 13 -

 

 

(ii)              Cancellation of Warrants That Are Exercised. If the Underlying Shares of a Holder’s Warrant represented by a Certificate (or any portion thereof that has not theretofore been exchanged pursuant to Section 3(h)(i)) (such Certificate being referred to as the “old Certificate” for purposes of this Section 3(h)(ii)) are Exercised pursuant to Section 5, then, promptly after the later of the time such Warrant (or the portion thereof representing the Underlying Shares so Exercised) is deemed to cease to be outstanding pursuant to Section 3(l) and the time such old Certificate is surrendered for such Exercise, (1) such old Certificate will be cancelled pursuant to Section 3(k); and (2) in the case of a partial Exercise, the Company will issue, execute and deliver to such Holder, in accordance with Section 3(c), one or more Certificates that (x) represent one or more Warrants that, in the aggregate, have a total number of Underlying Shares equal to the number of Underlying Shares of the Warrant represented by such old Certificate that are not to be so Exercised; (y) are registered in the name of such Holder; and (z) bear each legend, if any, required by Section 3(f).

 

(i)                 Replacement Certificates. If a Holder of any Warrant(s) claims that the Certificate(s) representing such Warrant(s) have been mutilated, lost, destroyed or wrongfully taken, then the Company will issue, execute and deliver, in accordance with Section 3(c), one or more replacement Certificates representing such Warrant(s) upon surrender to the Company or the Registrar of such mutilated Certificate(s), or upon delivery to the Company or the Registrar of evidence of such loss, destruction or wrongful taking reasonably satisfactory to the Company and the Registrar. In the case of a lost, destroyed or wrongfully taken Certificate representing any Warrant, the Company and Registrar Agent may require the Holder thereof to provide such security or indemnity that is reasonably satisfactory to the Company and the Registrar to protect the Company and the Registrar from any loss that any of them may suffer if such Certificate is replaced.

 

Every replacement Warrant issued pursuant to this Section 3(i) will, upon such replacement, be deemed to be an outstanding Warrant, entitled to all of the benefits of this Warrant Agreement equally and ratably with all other Warrants then outstanding.

 

(j)                 Registered Holders. Only the Holder of any Warrant(s) will have rights under this Warrant Agreement as the owner of such Warrant(s).

 

(k)               Cancellation. In accordance with the terms and conditions of this Warrant Agreement, the Company may at any time deliver any Warrant to the Registrar for cancellation. The Exercise Agent will forward to the Registrar each Warrant duly surrendered to them for transfer, exchange, payment or Exercise. The Company will cause the Registrar to promptly cancel all Warrants so surrendered to it in accordance with its customary procedures.

 

(l)                 Outstanding Warrants.

 

(i)                 Generally. The Warrants that are outstanding at any time will be deemed to be those Warrants that, at such time, have been duly executed by the Company, excluding those Warrants (or any portions of any Warrants representing less than all of the initial number of Underlying Shares thereof) that have theretofore been (1) cancelled by the Registrar or delivered to the Registrar for cancellation in accordance with Section 3(k); (2) paid or settled in full upon their Exercise in accordance with this Warrant Agreement; (3) terminated pursuant to Section 7; or (4) deemed to cease to be outstanding to the extent provided in, and subject to, clause (ii), (iii) or (iv) of this Section 3(l).

 

- 14 -

 

 

(ii)              Replaced Warrants. If any Certificate representing any Warrant is replaced pursuant to Section 3(i), then such Warrant will cease to be outstanding at the time of such replacement, unless the Registrar and the Company receive proof reasonably satisfactory to them that such Warrant is held by a “bona fide purchaser” under applicable law.

 

(iii)            Exercised Warrants. If any Warrant(s) (or any portions of any Warrant(s) representing less than all of the Underlying Shares thereof) are Exercised, then, at the Close of Business on the Exercise Date for such Exercise (unless there occurs a default in the delivery of the Exercise Consideration due pursuant to Section 5 upon such Exercise): (1) such Warrant(s) (or such portions thereof) will be deemed to cease to be outstanding; and (2) the rights of the Holder(s) of such Warrant(s) (or such portions thereof), as such, will terminate with respect to such Warrant(s) (or such portions thereof), other than the right to receive such Exercise Consideration as provided in Section 5.

 

(iv)             Warrants Remaining Unexercised as of the Exercise Period Expiration Date. If any Warrant(s) are otherwise outstanding as of the Close of Business on the Exercise Period Expiration Date, then, without limiting the operation of Section 5(c), such Warrant(s) will cease to be outstanding as of immediately after the Close of Business on the Exercise Period Expiration Date.

 

(v)               Certificates Need Not Be Amended. A reduction in the number of Underlying Shares of any Warrant as a result of a Warrant (or any portion thereof representing less than all of the Underlying Shares thereof) ceasing to be outstanding pursuant to this Section 3(l) will be effective without the need to notate the same on, or otherwise amend, the Certificate representing such Warrant.

 

Section 4.                No Right of Redemption by the Company. Without limiting Section 5(d), the Company does not have the right to redeem the Warrants at its election.

 

Section 5.                Exercise of Warrants.

 

(a)               Generally. Subject to the provisions of this Section 5 and Section 7, the Warrants may be exercised only pursuant to an Optional Exercise, a Mandatory Exercise or an Automatic Exercise.

 

(b)               Exercise at the Option of the Holders.

 

(i)                 Exercise Right; When Warrants May Be Submitted for Optional Exercise. Subject to Section 5(e)(ii)(3) and Section 7, each Holder of any Warrant(s) will have the right to submit all, or any Authorized Denomination, of such Warrant(s) for Optional Exercise at any time during (1) the First Tranche Warrants Exercise Period (if such Warrant(s) are First Tranche Warrants) or (2) the Second Tranche Warrants Exercise Period (if such Warrant(s) are Second Tranche Warrants); provided, however, that, notwithstanding anything to the contrary in this Warrant Agreement, Warrants that are subject to Mandatory Exercise may not be submitted for Optional Exercise after the Close of Business on the Business Day immediately before the related Mandatory Exercise Date.

 

- 15 -

 

 

(ii)              Exercises of Warrants Not In Authorized Denominations Prohibited. Notwithstanding anything to the contrary in this Warrant Agreement, in no event will any Holder be entitled to Exercise any Warrant other than in an Authorized Denomination thereof.

 

(c)               Automatic Exercise on Exercise Period Expiration Date or Effective Date of Cash Common Stock Change Event. Subject to the provisions of this Section 5 and Section 7, each Warrant, if any, that is outstanding and not Exercised as of immediately before the Close of Business on (i) the Exercise Period Expiration Date will be deemed to be Exercised with an Exercise Date occurring on the Exercise Period Expiration Date (or, if such Exercise Period Expiration Date is not a Business Day, the immediately preceding Business Day); or (ii) the effective date of a Common Stock Change Event whose reference property consists entirely of cash, will be deemed to be Exercised with an Exercise Date occurring on such effective date (or, if such effective date is not a Business Day, the next Business Day). For the avoidance of doubt, (x) a Warrant as to which a Warrant Termination Event has occurred will, pursuant to Section 7, not be subject to exercise pursuant to this Section 5(c); and (y) each Exercise of any Warrant pursuant to clause (ii) of the preceding sentence will be settled in accordance with Section 5(j)(i)(B).

 

(d)               Mandatory Exercise at the Company’s Election.

 

(i)                 Mandatory Exercise Right. Subject to the provisions of this Section 5 and Section 7, the Company will have the right (the “Mandatory Exercise Right”), exercisable at its election, to designate any Business Day on or after the Mandatory Exercise Trigger Date as an Exercise Date for the exercise (such an exercise, a “Mandatory Exercise”) of all, or any Authorized Denomination, of (1) the outstanding First Tranche Warrants, but only if (x) the Liquidity Condition is satisfied; and (y) the Last Reported Sale Price per share of Common Stock exceeds two hundred percent (200%) of the Strike Price then in effect on each of at least twenty (20) Trading Days (whether or not consecutive) during the thirty (30) consecutive Trading Days ending on, and including, the Trading Day immediately before the Mandatory Exercise Notice Date for such Mandatory Exercise (the conditions set forth in the preceding clause (x) and (y), together, the “Mandatory Exercise Condition”); and (2) the outstanding Second Tranche Warrants, but only if (x) the Mandatory Exercise Condition has been satisfied; and (y) the Mandatory Exercise Notice Date for such Mandatory Exercise occurs during the Second Tranche Warrants Exercise Period.

 

(ii)              Mandatory Exercise Date. The Mandatory Exercise Date for any Mandatory Exercise will be a Business Day of the Company’s choosing that is no more than twenty (20) Business Days after the Mandatory Exercise Notice Date for such Mandatory Exercise.

 

(iii)            Mandatory Exercise Notice. To exercise its Mandatory Exercise Right with respect to any Warrants, the Company must send to each Holder of such Warrants (with a copy to the Exercise Agent) a written notice of such exercise (a “Mandatory Exercise Notice”).

 

- 16 -

 

 

Such Mandatory Exercise Notice must state:

 

(1)               that the Company has exercised its Mandatory Exercise Right to cause the Mandatory Exercise of the Warrants, briefly describing the Company’s Mandatory Exercise Right under this Warrant Agreement;

 

(2)               the Mandatory Exercise Date for such Mandatory Exercise and the date scheduled for the settlement of such Mandatory Exercise;

 

(3)               the name and address of the Exercise Agent;

 

(4)               that Warrants subject to Mandatory Exercise may be Exercised earlier at the option of the Holders thereof pursuant to an Optional Exercise at any time before the Close of Business on the Business Day immediately before the Mandatory Exercise Date; and

 

(5)               the Strike Price in effect on the Mandatory Exercise Notice Date for such Mandatory Exercise.

 

(iv)             Selection and Optional Exercise of Warrants Subject to Partial Mandatory Exercise. If less than all Warrants then outstanding are subject to Mandatory Exercise, then:

 

(1)               the Warrants to be subject to such Mandatory Exercise will be selected by the Company pro rata, by lot or by such other method the Company considers fair and appropriate; and

 

(2)               if only a portion of the Warrant represented by a Certificate is subject to Mandatory Exercise and a portion of such Warrant is subject to Optional Exercise, then the Exercised portion of such Certificate will be deemed to be from the portion of such Certificate that was subject to Mandatory Exercise.

 

(e)               Exercise Procedures.

 

(i)                 Mandatory Exercise and Automatic Exercise. If the Company duly exercises, in accordance with this Section 5(d), its Mandatory Exercise Right with respect to any Warrant, or if any Warrant is subject to an Automatic Exercise, then (1) the Mandatory Exercise or Automatic Exercise, as applicable, of such Warrant will occur automatically and without the need for any action on the part of the Holder(s) thereof; and (2) the shares of Common Stock due upon such Mandatory Exercise or Automatic Exercise, as applicable, will be registered in the name of, and, if applicable, the cash due upon such Mandatory Exercise or Automatic Exercise, as applicable, will be delivered to, the Holder(s) of such Warrant as of the Close of Business on the related Mandatory Exercise Date or Automatic Exercise Date, as applicable.

 

- 17 -

 

 

(ii)              Requirements for Holders to Exercise Their Optional Exercise Right.

 

(1)               Generally. To Exercise any Warrant represented by a Certificate pursuant to an Optional Exercise, the Holder of such Warrant must (v) complete, manually sign and deliver to the Exercise Agent an Optional Exercise Notice (at which time, in the case such Certificate is an Electronic Certificate, such Optional Exercise will become irrevocable); (w) if such Certificate is a Physical Certificate, deliver such Physical Certificate to the Exercise Agent (at which time such Optional Exercise will become irrevocable); (x) furnish any endorsements and transfer documents that the Company or the Exercise Agent may require; and (y) if applicable, pay any documentary or other taxes pursuant to Section 6(d).

 

(2)               Deemed Payment of Strike Price. For the avoidance of doubt, payment of the Strike Price upon exercise of any Warrant will be deemed to be satisfied by operation of the formula set forth in Section 5(f)(i).

 

(3)               Optional Exercise Permitted only During Business Hours. Warrants may be surrendered for Optional Exercise only after the Open of Business and before the Close of Business on a day that is a Business Day that occurs during the Exercise Period.

 

(iii)            When Holders Become Stockholders of Record of the Shares of Common Stock Issuable Upon Exercise. The Person in whose name any share of Common Stock is issuable upon Exercise of any Warrant will be deemed to become the holder of record of such share as of the Close of Business on the Exercise Date for such Exercise.

 

(f)                Settlement Upon Exercise.

 

(i)                 Exercise Consideration. Subject to Section 5(f)(ii), Section 5(j) and Section 8(b), the consideration due upon settlement of the Exercise of each Warrant will consist of a number of shares of Common Stock equal to the greater of (x) zero; and (y) an amount equal to:

 

 

 

where:

 

N= the number of Underlying Shares of such Warrant that are being so Exercised;

 

VP= the Valuation Price per share of Common Stock for such Exercise; and

 

SP= the Strike Price in effect immediately after the Close of Business on such Exercise Date.

 

- 18 -

 

 

 

(ii)                 Payment of Cash in Lieu of any Fractional Share of Common Stock. Subject to Section 8(b), in lieu of delivering any fractional share of Common Stock otherwise due upon Exercise of any Warrant, the Company will pay cash based on the Valuation Price.

 

(iii)              Delivery of Exercise Consideration. Except as provided in Sections 5(g)(i)(3)(B), 5(g)(i)(5) and 5(j)(i)(B), the Company will pay or deliver, as applicable, the Exercise Consideration due upon Exercise of any Warrant on or before the second (2nd) Business Day immediately after the Exercise Date for such Exercise.

 

(g)               Strike Price and Number of Underlying Shares Adjustments.

 

(i)                 Events Requiring an Adjustment to the Strike Price and the Number of Underlying Shares. Each of the Strike Price and the number of Underlying Shares of each Warrant will be adjusted from time to time as follows:

 

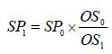
(1)               Stock Dividends, Splits and Combinations. If the Company issues solely shares of Common Stock as a dividend or distribution on all or substantially all shares of the Common Stock, or if the Company effects a stock split or a stock combination of the Common Stock (in each case excluding an issuance solely pursuant to a Common Stock Change Event, as to which Section 5(j) will apply), then the Strike Price will be adjusted based on the following formula (with a corresponding adjustment to the number of Underlying Shares of each Warrant pursuant to Section 5(g)(i)(6)):

 

 

 

where:

 

  SP0 =the Strike Price in effect immediately before the Open of Business on the Ex-Dividend Date for such dividend or distribution, or immediately before the Open of Business on the effective date of such stock split or stock combination, as applicable;
      
  SP1 =the Strike Price in effect immediately after the Open of Business on such Ex-Dividend Date or effective date, as applicable;
      
  OS0 =the number of shares of Common Stock outstanding immediately before the Open of Business on such Ex-Dividend Date or effective date, as applicable, without giving effect to such dividend, distribution, stock split or stock combination; and
      
  OS1 =the number of shares of Common Stock outstanding immediately after giving effect to such dividend, distribution, stock split or stock combination.

 

If any dividend, distribution, stock split or stock combination of the type described in this Section 5(g)(i)(1) is declared or announced, but not so paid or made, then each of the Strike Price and the number of Underlying Shares of each Warrant will be readjusted, effective as of the date the Board of Directors determines not to pay such dividend or distribution or to effect such stock split or stock combination, to the Strike Price and the number of Underlying Shares, respectively, that would then be in effect had such dividend, distribution, stock split or stock combination not been declared or announced.

 

- 19 -

 

 

(2)               Rights, Options and Warrants. If the Company distributes, to all or substantially all holders of Common Stock, rights, options or warrants (other than rights issued or otherwise distributed pursuant to a stockholder rights plan, as to which Section 5(g)(i)(3)(A) and Section 5(g)(vi) will apply) entitling such holders, for a period of not more than sixty (60) calendar days after the Record Date of such distribution, to subscribe for or purchase shares of Common Stock at a price per share that is less than the average of the Last Reported Sale Prices per share of Common Stock for the ten (10) consecutive Trading Days ending on, and including, the Trading Day immediately before the date such distribution is announced, then the Strike Price will be adjusted based on the following formula (with a corresponding adjustment to the number of Underlying Shares of each Warrant pursuant to Section 5(g)(i)(6)):

 

 

 

where:

 

 SP0 =the Strike Price in effect immediately before the Open of Business on the Ex-Dividend Date for such distribution;
     
 SP1 =the Strike Price in effect immediately after the Open of Business on such Ex-Dividend Date;
     
OS =the number of shares of Common Stock outstanding immediately before the Open of Business on such Ex-Dividend Date;

 

Y =a number of shares of Common Stock obtained by dividing (x) the aggregate price payable to exercise such rights, options or warrants by (y) the average of the Last Reported Sale Prices per share of Common Stock for the ten (10) consecutive Trading Days ending on, and including, the Trading Day immediately before the date such distribution is announced; and

 

X =the total number of shares of Common Stock issuable pursuant to such rights, options or warrants.

 

To the extent such rights, options or warrants are not so distributed, each of the Strike Price and the number of Underlying Shares of each Warrant will be readjusted to the Strike Price and the number of Underlying Shares, respectively, that would then be in effect had the adjustment thereto for such distribution been made on the basis of only the rights, options or warrants, if any, actually distributed. In addition, to the extent that shares of Common Stock are not delivered after the expiration of such rights, options or warrants (including as a result of such rights, options or warrants not being exercised), each of the Strike Price and the number of Underlying Shares of each Warrant will be readjusted to the Strike Price and the number of Underlying Shares, respectively, that would then be in effect had the adjustment thereto for such distribution been made on the basis of delivery of only the number of shares of Common Stock actually delivered upon exercise of such rights, option or warrants.

 

For purposes of this Section 5(g)(i)(2), in determining whether any rights, options or warrants entitle holders of Common Stock to subscribe for or purchase shares of Common Stock at a price per share that is less than the average of the Last Reported Sale Prices per share of Common Stock for the ten (10) consecutive Trading Days ending on, and including, the Trading Day immediately before the date the distribution of such rights, options or warrants is announced, and in determining the aggregate price payable to exercise such rights, options or warrants, there will be taken into account any consideration the Company receives for such rights, options or warrants and any amount payable on exercise thereof, with the value of such consideration, if not cash, to be determined by the Board of Directors.

 

- 20 -

 

 

(3)               Spin-Offs and Other Distributed Property.

 

(A)             Distributions Other than Spin-Offs. If the Company distributes shares of its Capital Stock, evidences of the Company’s indebtedness or other assets or property of the Company, or rights, options or warrants to acquire the Company’s Capital Stock or other securities, to all or substantially all holders of the Common Stock, excluding:

 

(I)                dividends, distributions, rights, options or warrants for which an adjustment to the Strike Price is required (or would be required without regard to Section 5(g)(iii)) pursuant to Section 5(g)(i)(1) or 5(g)(i)(2);

 

(II)              dividends or distributions paid exclusively in cash for which an adjustment to the Strike Price is required (or would be required assuming the Dividend Threshold were zero and without regard to Section 5(g)(iii)) pursuant to Section 5(g)(i)(4);

 

(III)           rights issued or otherwise distributed pursuant to a stockholder rights plan, except to the extent provided in Section 5(g)(vi);

 

(IV)          Spin-Offs for which an adjustment to the Strike Price is required (or would be required without regard to Section 5(g)(iii)) pursuant to Section 5(g)(i)(3)(B);

 

(V)             a distribution solely pursuant to a tender offer or exchange offer for shares of Common Stock, as to which Section 5(g)(i)(5) will apply; and

 

(VI)          a distribution solely pursuant to a Common Stock Change Event, as to which Section 5(j) will apply,

 

then the Strike Price will be adjusted based on the following formula (with a corresponding adjustment to the number of Underlying Shares of each Warrant pursuant to Section 5(g)(i)(6)):

 

 

 

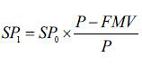
where:

 

 SP0 = the Strike Price in effect immediately before the Open of Business on the Ex-Dividend Date for such distribution;
      
 SP1 = the Strike Price in effect immediately after the Open of Business on such Ex-Dividend Date;
      
 P = the average of the Last Reported Sale Prices per share of Common Stock for the ten (10) consecutive Trading Days ending on, and including, the Trading Day immediately before such Ex-Dividend Date; and
      
 FMV = the fair market value (as determined by Company in good faith and in a commercially reasonable manner), as of such Ex-Dividend Date, of the shares of Capital Stock, evidences of indebtedness, assets, property, rights, options or warrants distributed per share of Common Stock pursuant to such distribution;

 

provided, however, that, if FMV is equal to or greater than P, then, in lieu of the foregoing adjustment to the Strike Price (and the corresponding adjustment to the number of Underlying Shares of each Warrant pursuant to Section 5(g)(i)(6)), each Holder will receive, for each Warrant held by such Holder on the Record Date for such distribution, at the same time and on the same terms as holders of Common Stock, the amount and kind of shares of Capital Stock, evidences of indebtedness, assets, property, rights, options or warrants that such Holder would have received in such distribution if such Holder had owned, on such Record Date, a number of shares of Common Stock equal to the number of Underlying Shares of such Warrant as of on such Record Date.

 

- 21 -

 

 

To the extent such distribution is not so paid or made, each of the Strike Price and the number of Underlying Shares of each Warrant will be readjusted to the Strike Price and the number of Underlying Shares, respectively, that would then be in effect had the adjustment thereto been made on the basis of only the distribution, if any, actually made or paid.

 

(B)              Spin-Offs. If the Company distributes or dividends shares of Capital Stock of any class or series, or similar equity interests, of or relating to an Affiliate or Subsidiary or other business unit of the Company to all or substantially all holders of the Common Stock (other than solely pursuant to (x) a Common Stock Change Event, as to which Section 5(j) will apply; or (y) a tender offer or exchange offer for shares of Common Stock, as to which Section 5(g)(i)(5) will apply), and such Capital Stock or equity interests are listed or quoted (or will be listed or quoted upon the consummation of the transaction) on a U.S. national securities exchange (a “Spin-Off”), then the Strike Price will be adjusted based on the following formula (with a corresponding adjustment to the number of Underlying Shares of each Warrant pursuant to Section 5(g)(i)(6)):

 

 

 

where:

 

 SP0 =the Strike Price in effect immediately before the Open of Business on the Ex-Dividend Date for such Spin-Off;
     
 SP1 =the Strike Price in effect immediately after the Open of Business on such Ex-Dividend Date;
     
P =the average of the Last Reported Sale Prices per share of Common Stock for each Trading Day in the Spin-Off Valuation Period; and
     
 FMV =the product of (x) the average of the Last Reported Sale Prices per share or unit of the Capital Stock or equity interests distributed in such Spin-Off over the ten (10) consecutive Trading Day period (the “Spin-Off Valuation Period”) beginning on, and including, such Ex-Dividend Date (such average to be determined as if references to Common Stock in the definitions of “Last Reported Sale Price,” “Trading Day” and “Market Disruption Event” were instead references to such Capital Stock or equity interests); and (y) the number of shares or units of such Capital Stock or equity interests distributed per share of Common Stock in such Spin-Off.

  

The adjustment to the Strike Price and the number of Underlying Shares of each Warrant pursuant to this Section 5(g)(i)(3)(B) and Section 5(g)(i)(6), respectively, will be calculated as of the Close of Business on the last Trading Day of the Spin-Off Valuation Period but will be given effect immediately after the Open of Business on the Ex-Dividend Date for the Spin-Off, with retroactive effect. If any Warrant is Exercised and the Exercise Date for such Exercise occurs during the Spin-Off Valuation Period, then, notwithstanding anything to the contrary in this Warrant Agreement, the Company will, if necessary, delay the settlement of such Exercise until the second (2nd) Business Day after the Last Trading Day of the Spin-Off Valuation Period.

 

- 22 -

 

 

To the extent any dividend or distribution of the type described in this Section 5(g)(i)(3)(B) is declared but not made or paid, each of the Strike Price and the number of Underlying Shares of each Warrant will be readjusted to the Strike Price and the number of Underlying Shares, respectively, that would then be in effect had the adjustment thereto been made on the basis of only the dividend or distribution, if any, actually made or paid.

 

(4)               Cash Dividends or Distributions. If any cash dividend or distribution (the “Triggering Dividend/Distribution”) is made to all or substantially all holders of Common Stock (other than cash dividends or distributions that, together with all other such cash dividends or distributions paid in the same calendar quarter, do not exceed, in aggregate, the Dividend Threshold per share of Common Stock), then the Strike Price will be adjusted based on the following formula (with a corresponding adjustment to the number of Underlying Shares of each Warrant pursuant to Section 5(g)(i)(6)):

 

 

 

where:

 

  SP0 = the Strike Price in effect immediately before the Open of Business on the Ex-Dividend Date for such Triggering Dividend/Distribution;
       
  SP1 = the Strike Price in effect immediately after the Open of Business on such Ex-Dividend Date;
       
  P = the Last Reported Sale Price per share of Common Stock on the Trading Day immediately before such Ex-Dividend Date;
       
  D = the sum of (x) the cash amount distributed per share of Common Stock in such Triggering Dividend/Distribution; and (y) the sum of the cash amounts distributed per share of Common Stock in all prior cash dividends or distributions paid in the same calendar quarter to all or substantially all holders of Common Stock; provided, however, that if, pursuant to clause (x) of the proviso to the definition of “T” below, T is equal to zero dollars ($0.00) per share of Common Stock with respect to such Triggering Dividend/Distribution, then, for purposes of such Triggering Dividend/Distribution, the amount set forth in the preceding clause (y) will be deemed to be zero dollars ($0.00); and
       
  T = an amount (subject to the proviso below, the “Dividend Threshold”) initially equal to $0.16 per share of Common Stock; provided, however, that (x) if the sum of all cash dividends or distributions (other than the Triggering Dividend/Distribution) paid, during the calendar quarter in which such Triggering Dividend/Distribution is paid, to all or substantially all holders of Common Stock exceeds the Dividend Threshold per share of Common Stock, then T will be deemed to be zero dollars ($0.00) per share of Common Stock with respect to such Triggering Dividend/Distribution; and (y) the Dividend Threshold will be adjusted in the same manner as, and at the same time and for the same events for which, the Strike Price is adjusted pursuant to Section 5(g)(i)(1).

 

provided, however, that, if D is equal to or greater than P, or if T is equal to or greater than P, then, in lieu of the foregoing adjustment to the Strike Price (and the corresponding adjustment to the number of Underlying Shares of each Warrant pursuant to Section 5(g)(i)(6)), each Holder will receive, for each Warrant held by such Holder on the Record Date for such Triggering Dividend/Distribution, at the same time and on the same terms as holders of Common Stock, the amount of cash that such Holder would have received in such Triggering Dividend/Distribution if such Holder had owned, on such Record Date, a number of shares of Common Stock equal to the number of Underlying Shares of such Warrant as of such Record Date. To the extent such Triggering Dividend/Distribution is declared but not made or paid, each of the Strike Price and the number of Underlying Shares of each Warrant will be readjusted to the Strike Price and the number of Underlying Shares, respectively, that would then be in effect had the adjustment thereto been made on the basis of only the dividend or distribution, if any, actually made or paid.

 

- 23 -

 

 

(5)               Tender Offers or Exchange Offers. If the Company or any of its Subsidiaries makes a payment in respect of a tender offer or exchange offer for shares of Common Stock (other than solely pursuant to an odd-lot tender offer pursuant to Rule 13e-4(h)(5) under the Exchange Act), and the value (determined as of the Tender/Exchange Offer Expiration Time by the Company in good faith and in a commercially reasonable manner) of the cash and other consideration paid per share of Common Stock in such tender or exchange offer exceeds the Last Reported Sale Price per share of Common Stock on the Trading Day immediately after the last date (the “Tender/Exchange Offer Expiration Date”) on which tenders or exchanges may be made pursuant to such tender or exchange offer (as it may be amended), then the Strike Price will be adjusted based on the following formula (with a corresponding adjustment to the number of Underlying Shares of each Warrant pursuant to Section 5(g)(i)(6)):

 

 

 

where:

 

  SP0 = the Strike Price in effect immediately before the time (the “Tender/Exchange Offer Expiration Time”) such tender or exchange offer expires;
       
  SP1 = the Strike Price in effect immediately after the Tender/Exchange Offer Expiration Time;
       
  P = the average of the Last Reported Sale Prices per share of Common Stock over the ten (10) consecutive Trading Day period (the “Tender/Exchange Offer Valuation Period”) beginning on, and including, the Trading Day immediately after the Tender/Exchange Offer Expiration Date;
       
  OS0 = the number of shares of Common Stock outstanding immediately before the Tender/Exchange Offer Expiration Time (including all shares of Common Stock accepted for purchase or exchange in such tender or exchange offer);
       
  AC = the aggregate value (determined as of the Tender/Exchange Offer Expiration Time by the Company in good faith and in a commercially reasonable manner) of all cash and other consideration paid for shares of Common Stock purchased or exchanged in such tender or exchange offer; and
       
  OS1 = the number of shares of Common Stock outstanding immediately after the Tender/Exchange Offer Expiration Time (excluding all shares of Common Stock accepted for purchase or exchange in such tender or exchange offer);

 

provided, however, that the Strike Price will in no event be adjusted up pursuant to this Section 5(g)(i)(5), and the number of Underlying Shares of the Warrants will in no event be adjusted down in the corresponding adjustment pursuant to Section 5(g)(i)(6), in each case except to the extent provided in the last paragraph of this Section 5(g)(i)(5).

 

- 24 -

 

 

The adjustment to the Strike Price and the number of Underlying Shares of each Warrant pursuant to this Section 5(g)(i)(5) and Section 5(g)(i)(6), respectively, will be calculated as of the Close of Business on the last Trading Day of the Tender/Exchange Offer Valuation Period but will be given effect immediately after the Tender/Exchange Offer Expiration Time, with retroactive effect. If any Warrant is Exercised and the Exercise Date for such Exercise occurs on the Tender/Exchange Offer Expiration Date or during the Tender/Exchange Offer Valuation Period, then, notwithstanding anything to the contrary in this Warrant Agreement, the Company will, if necessary, delay the settlement of such Exercise until the second (2nd) Business Day after the last Trading Day of the Tender/Exchange Offer Valuation Period.

 

To the extent such tender or exchange offer is announced but not consummated (including as a result of being precluded from consummating such tender or exchange offer under applicable law), or any purchases or exchanges of shares of Common Stock in such tender or exchange offer are rescinded, each of the Strike Price and the number of Underlying Shares of each Warrant will be readjusted to the Strike Price and the number of Underlying Shares, respectively, that would then be in effect had the adjustment thereto been made on the basis of only the purchases or exchanges of shares of Common Stock, if any, actually made, and not rescinded, in such tender or exchange offer.

 

(6)               Adjustment to the Number of Underlying Shares. If the Strike Price is adjusted pursuant to the formulas set forth in any of clauses (1) through (5) of this Section 5(g)(i) (excluding, for these purposes, a readjustment pursuant to the text following such formulas), then, effective as of the same time at which such adjustment to the Strike Price becomes effective, the number of Underlying Shares of each Warrant will be adjusted to an amount equal to the product of (A) the number of Underlying Shares of such Warrant in effect immediately before such adjustment to such number of Underlying Shares; and (B) the quotient obtained by dividing (x) the Strike Price in effect immediately before such adjustment to the Strike Price by (y) the Strike Price in effect immediately after such adjustment to the Strike Price; provided, however, that the number of Underlying Shares of each Warrant will be subject to readjustment to the extent set forth in such clauses. For purposes of calculating the adjustment to the number of Underlying Shares of each Warrant pursuant to the preceding sentence, the amount set forth in clause (B)(y) of the preceding sentence will calculated without giving effect to any rounding pursuant to Section 5(g)(viii).

 

(ii)              No Adjustments in Certain Cases.

 

(1)               Where Holders Participate in the Transaction or Event Without Exercising. Notwithstanding anything to the contrary in Section 5(g)(i), the Company is not required to adjust the Strike Price or the number of Underlying Shares of any Warrant for a transaction or other event otherwise requiring an adjustment pursuant to Section 5(g)(i) (other than a stock split or combination of the type set forth in Section 5(g)(i)(1) or a tender or exchange offer of the type set forth in Section 5(g)(i)(5)) if each Holder participates, at the same time and on the same terms as holders of Common Stock, and solely by virtue of being a Holder of the Warrants, in such transaction or event without having to Exercise such Holder’s Warrants and as if such Holder had owned, on the Record Date for such transaction or event, a number of shares of Common Stock equal to the aggregate number of Underlying Shares, as of such Record Date, of the Warrants held by such Holder on such Record Date.

 

- 25 -

 

 

(2)               Certain Events. The Company will not be required to adjust the Strike Price or the number of Underlying Shares of any Warrant except pursuant to Section 5(g)(i). Without limiting the foregoing, the Company will not be required to adjust the Strike Price or the number of Underlying Shares of any Warrant on account of:

 

(A)             except as otherwise provided in Section 5(g)(i), the sale of shares of Common Stock for a purchase price that is less than the market price per share of Common Stock or less than the Strike Price;

 

(B)              the issuance of any shares of Common Stock pursuant to any present or future plan providing for the reinvestment of dividends or interest payable on the Company’s securities and the investment of additional optional amounts in shares of Common Stock under any such plan;

 

(C)              the issuance of any shares of Common Stock or options or rights to purchase shares of Common Stock pursuant to any present or future employee, director or consultant benefit plan or program of, or assumed by, the Company or any of its Subsidiaries;

 

(D)             the issuance of any shares of Common Stock pursuant to any option, warrant, right or convertible or exchangeable security of the Company outstanding as of the Initial Issue Date; or

 

(E)              solely a change in the par value of the Common Stock.

 

(iii)            Adjustment Deferral. If an adjustment to the Strike Price and the number of Underlying Shares of the Warrants otherwise required by this Warrant Agreement would result in a change of less than one percent (1%) to the Strike Price, then the Company may, at its election, defer and carry forward such adjustment to the Strike Price and the number of Underlying Shares of all outstanding Warrants, except that all such deferred adjustments must be given effect immediately with respect to all outstanding Warrants upon the earliest of the following: (1) when all such deferred adjustments would, had they not been so deferred and carried forward, result in a change of at least one percent (1%) to the Strike Price; and (2) the Exercise Date of any Warrant.

 

- 26 -

 

 

(iv)             Adjustments Not Yet Effective. Notwithstanding anything to the contrary in this Warrant Agreement, if:

 

(1)               a Warrant is Exercised;

 

(2)               the Record Date, effective date or Tender/Exchange Offer Expiration Time for any event that requires an adjustment to the Strike Price pursuant to Section 5(g)(i) has occurred on or before the Exercise Date for such Exercise, but an adjustment to the Strike Price or the number of Underlying Shares of the Warrants for such event has not yet become effective as of such Exercise Date;

 

(3)               the Exercise Consideration due upon such Exercise includes any whole shares of Common Stock; and

 

(4)               such shares are not entitled to participate in such event (because they were not held on the related Record Date or otherwise),

 

then, solely for purposes of such Exercise, the Company will, without duplication, give effect to such adjustment on such Exercise Date. In such case, if the date on which the Company is otherwise required to deliver the Exercise Consideration due upon such Exercise is before the first date on which the amount of such adjustment can be determined, then the Company will delay the settlement of such Exercise until the second (2nd) Business Day after such first date.

 

(v)               Adjustments Where Exercising Holders Participate in the Relevant Transaction or Event. Notwithstanding anything to the contrary in this Warrant Agreement, if:

 

(1)               an adjustment to the Strike Price or the number of Underlying Shares of the Warrants for any dividend or distribution becomes effective on any Ex-Dividend Date pursuant to Section 5(g)(i);

 

(2)               a Warrant is Exercised;

 

(3)               the Exercise Date for such Exercise occurs on or after such Ex-Dividend Date and on or before the related Record Date;

 

(4)               the Exercise Consideration due upon such Exercise includes any whole shares of Common Stock based on a Strike Price or number of Underlying Shares that is adjusted for such dividend or distribution; and

 

(5)               such shares would be entitled to participate in such dividend or distribution (including pursuant to Section 5(e)(iii)),

 

then such adjustment will not be given effect for such Exercise and the shares of Common Stock issuable upon such Exercise based on such unadjusted Strike Price and unadjusted number of Underlying Shares will not be entitled to participate in such dividend or distribution, but there will be added, to the Exercise Consideration otherwise due upon such Exercise, the same kind and amount of consideration that would have been delivered in such dividend or distribution with respect to such shares of Common Stock had such shares been entitled to participate in such dividend or distribution.

 

- 27 -

 

 

(vi)             Stockholder Rights Plans. If any shares of Common Stock are to be issued upon Exercise of any Warrant and, at the time of such Exercise, the Company has in effect any stockholder rights plan, then the Holder of such Warrant will be entitled to receive, in addition to, and concurrently with the delivery of, the consideration otherwise due upon such Exercise, the rights set forth in such stockholder rights plan, unless such rights have separated from the Common Stock at such time, in which case, and only in such case, the Strike Price and the number of Underlying Shares of each Warrant will be adjusted pursuant to Section 5(g)(i)(3)(A) (with a corresponding adjustment to the number of Underlying Shares of each Warrant pursuant to Section 5(g)(i)(6)) on account of such separation as if, at the time of such separation, the Company had made a distribution of the type referred to in such Section 5(g)(i)(3)(A) to all holders of Common Stock, subject to potential readjustment in accordance with the last paragraph of Section 5(g)(i)(3)(A).

 

(vii)          Determination of the Number of Outstanding Shares of Common Stock. For purposes of Section 5(g)(i), the number of shares of Common Stock outstanding at any time will (1) include shares issuable in respect of scrip certificates issued in lieu of fractions of shares of Common Stock; and (2) exclude shares of Common Stock held in the Company’s treasury (unless the Company pays any dividend or makes any distribution on shares of Common Stock held in its treasury).

 

(viii)        Rounding of Calculations. All calculations with respect to the Strike Price and adjustments thereto will be made to the nearest cent (with half of one cent rounded upwards), and all calculations with respect to the number of Underlying Shares of any Warrant and adjustments thereto will be made to the nearest 1/10,000th of a share of Common Stock (with 5/100,000ths rounded upward).

 

(ix)             Notice of Strike Price and Number of Underlying Shares Adjustments. Upon the effectiveness of any adjustment to the Strike Price or the number of Underlying Shares of the Warrants pursuant to Section 5(g)(i), the Company will, no later than twenty (20) Business Days after the date of such effectiveness, send notice to the Holders (with a copy to the Exercise Agent) containing (1) a brief description of the transaction or other event on account of which such adjustment was made; (2) the Strike Price in effect immediately after such adjustment; (3) a brief description of any corresponding adjustment to the number of Underlying Shares of each Warrant; and (4) the effective time of such adjustment.

 

(h)               Voluntary Adjustments. To the extent permitted by law and applicable stock exchange rules, the Company, from time to time, may (but is not required to) decrease the Strike Price by any amount, or increase the number of Underlying Shares of each outstanding Warrant by any amount, if (1) the Board of Directors determines that such decrease or increase, as applicable, is in the Company’s best interest or that such decrease or increase, as applicable, is advisable to avoid or diminish any income tax imposed on holders of Common Stock or rights to purchase Common Stock as a result of any dividend or distribution of shares (or rights to acquire shares) of Common Stock or any similar event; (2) such decrease or increase, as applicable, is in effect for a period of at least twenty (20) Business Days; and (3) such decrease or increase, as applicable, is irrevocable during such period.

 

- 28 -

 

 

(i)               Adjustments Effective Without Need to Amend Certificates. An adjustment to the number of Underlying Shares of any Warrant pursuant to Section 5(g) or 5(h) will be effective without the need to notate the same on, or otherwise amend, the Certificate representing such Warrant.

 

(j)               Effect of Common Stock Change Event.

 

(i)                 Generally. If there occurs any:

 

(1)               recapitalization, reclassification or change of the Common Stock, other than (x) changes solely resulting from a subdivision or combination of the Common Stock, (y) a change only in par value or from par value to no par value or no par value to par value or (z) stock splits and stock combinations that do not involve the issuance of any other series or class of securities;

 

(2)               consolidation, merger, combination or binding or statutory share exchange involving the Company;

 

(3)               sale, lease or other transfer of all or substantially all of the assets of the Company and its Subsidiaries, taken as a whole, to any Person; or

 

(4)               other similar event,

 

and, as a result of which, the Common Stock is converted into, or is exchanged for, or represents solely the right to receive, other securities, cash or other property, or any combination of the foregoing (such an event, a “Common Stock Change Event,” and such other securities, cash or property, the “Reference Property,” and the amount and kind of Reference Property that a holder of one (1) share of Common Stock would be entitled to receive on account of such Common Stock Change Event (without giving effect to any arrangement not to issue or deliver a fractional portion of any security or other property), a “Reference Property Unit”), then, notwithstanding anything to the contrary in this Warrant Agreement,

 

(A)       from and after the effective time of such Common Stock Change Event, (I) the consideration due upon Exercise of any Warrant will be determined in the same manner as if each reference to any number of shares of Common Stock in this Section 5 or in Section 6, or in any related definitions, were instead a reference to the same number of Reference Property Units; and (II) for purposes of Section 5(d), each reference to any number of shares of Common Stock in such Section (or in any related definitions) will instead be deemed to be a reference to the same number of Reference Property Units;

 

(B)       if such Reference Property Unit consists entirely of cash, then the Company will settle each Exercise of any Warrant whose Exercise Date occurs on or after the date of the effective time of such Common Stock Change Event by paying, on or before the tenth (10th) Business Day immediately after such Exercise Date, cash in an amount equal to the product of (I) the number of Underlying Shares of such Warrant that are being so Exercised; and (II) the excess, if any, of (x) the amount of cash included in such Reference Property Unit over (y) the Strike Price (it being understood, for the avoidance of doubt, that the amount set forth in this clause (II) will be zero if the amount set forth in clause (x) is not greater than the amount set forth in clause (y)); and

 

- 29 -

 

 

(C)       for these purposes, the Last Reported Sale Price of any Reference Property Unit or portion thereof that does not consist of a class of securities will be the fair value of such Reference Property Unit or portion thereof, as applicable, determined in good faith by the Company (or, in the case of cash denominated in U.S. dollars, the face amount thereof).

 

If the Reference Property consists of more than a single type of consideration to be determined based in part upon any form of stockholder election, then the composition of the Reference Property Unit will be deemed to be the weighted average of the types and amounts of consideration actually received, per share of Common Stock, by the holders of Common Stock. The Company will notify the Holders of such weighted average as soon as practicable after such determination is made.

 

(ii)              Compliance Covenant. The Company will not become a party to any Common Stock Change Event unless its terms are consistent with this Section 5(j).

 

(iii)            Execution of Supplemental Instruments. On or before the date the Common Stock Change Event becomes effective, the Company and, if applicable, the resulting, surviving or transferee Person (if not the Company) of such Common Stock Change Event (the “Successor Person”) will execute and deliver such supplemental instruments, if any, as the Company reasonably determines are necessary or desirable (which supplemental instruments will, for the avoidance of doubt, not require the consent of any Holder) to (y) provide for subsequent adjustments to the Strike Price and the number of Underlying Shares of the Warrants pursuant to Section 5(g)(i) in a manner consistent with this Section 5(j) (including giving effect, in the Company’s reasonable discretion, to the Dividend Threshold in a manner that reflects the nature and value of the Reference Property Unit); and (z) contain such other provisions, if any, as the Company reasonably determines are appropriate to preserve the economic interests of the Holders and to give effect to Section 5(j)(i). If the Successor Person is not the Company, or the Reference Property includes shares of stock or other securities or assets (other than cash) of a Person other than the Successor Person, then the Company will cause such Successor Person or Person, as applicable, to execute and deliver a joinder to this Warrant Agreement assuming the obligations of the Company under this Warrant Agreement, or the obligation to deliver such Reference Property upon Exercise of the Warrants, as applicable.

 

(iv)             Notice of Common Stock Change Event. The Company will provide notice of each Common Stock Change Event to Holders no later than the second (2nd) Business Day after the effective date of the Common Stock Change Event.

 

- 30 -

 

 

Section 6.                Certain Provisions Relating to the Issuance of Common Stock.

 

(a)               Equitable Adjustments to Prices. Whenever this Warrant Agreement requires the Company to calculate the average of the Last Reported Sale Prices, or any function thereof, over a period of multiple days (including to calculate or an adjustment to the Strike Price), the Company will make appropriate adjustments, if any, to those calculations to account for any adjustment to the Strike Price pursuant to Section 5(g)(i) that becomes effective, or any event requiring such an adjustment to the Strike Price where the Ex-Dividend Date, effective date or Tender/Exchange Offer Expiration Date, as applicable, of such event occurs, at any time during such period.

 

(b)               Reservation of Shares of Common Stock. At all times when any Warrant is outstanding, the Company will reserve (out of its authorized and not outstanding shares of Common Stock that are not reserved for other purposes), for delivery upon Exercise of the Warrants, a number of shares of Common Stock that would be sufficient to settle the Exercise of all Warrant(s) then outstanding (assuming, for these purposes, that each such Warrant is settled by the delivery of a number of shares of Common Stock equal to the number of Underlying Shares of such Warrant). To the extent the Company delivers shares of Common Stock held in the Company’s treasury in settlement of any obligation under this Warrant Agreement to deliver shares of Common Stock, each reference in this Warrant Agreement to the issuance of shares of Common Stock in connection therewith will be deemed to include such delivery.

 

(c)               Status of Shares of Common Stock. Each share of Common Stock delivered upon Exercise of any Warrant of any Holder will be a newly issued or treasury share and will be duly authorized, validly issued, fully paid, non-assessable, free from preemptive rights and free of any lien or adverse claim (except to the extent of any lien or adverse claim created by the action or inaction of such Holder or the Person to whom such share of Common Stock will be delivered).

 

(d)               Taxes Upon Issuance of Common Stock. The Company will pay any documentary, stamp or similar issue or transfer tax or duty due on the issue of any shares of Common Stock upon Exercise of any Warrant of any Holder, except any tax or duty that is due because such Holder requests those shares to be registered in a name other than such Holder’s name.

 

Section 7.                Early Termination of Warrants. Notwithstanding anything to the contrary in this Agreement, each outstanding Warrant will automatically terminate (and, for the avoidance of doubt, will thereupon cease to be outstanding and thereafter not be exercised (whether automatically, at the option of the Holder thereof or otherwise) pursuant to Section 5 or otherwise) upon the occurrence of a Warrant Termination Event with respect to such Warrant.

 

- 31 -

 

 

Section 8.                Calculations.

 

(a)               Responsibility; Schedule of Calculations. Except as otherwise provided in this Warrant Agreement, the Company will be responsible for making all calculations called for under this Warrant Agreement or the Warrants, including determinations of the Strike Price and the Last Reported Sale Prices. The Company will make all calculations in good faith, and, absent manifest error, its calculations will be final and binding on all Holders. The Company will provide a schedule of such calculations to any Holder upon written request.

 

(b)               Calculations Aggregated for Each Holder. The composition of the Exercise Consideration due upon Exercise of any Warrant of any Holder will be computed based on the total number of Warrants of such Holder being Exercised with the same Exercise Date. Any cash amounts due to such Holder in respect thereof will, after giving effect to the preceding sentence, be rounded to the nearest cent.

 

Section 9.                Miscellaneous.

 

(a)               Notices.

 

(i)                 Notices to Holders. All notices or communications required to be made to a Holder pursuant to this Warrant Agreement must be made in writing and will be deemed to be duly sent or given in writing if (1) mailed by first class mail, certified or registered, return receipt requested, or by overnight air courier guaranteeing next day delivery, to its address shown on the Register; or (2) transmitted by facsimile or by electronic transmission or other similar means of unsecured electronic communication to the facsimile or electronic address, as applicable, of such Holder shown on the Register. The failure to send a notice or communication to a Holder, or any defect in such notice or communication, will not affect its sufficiency with respect to any other Holder.

 

(ii)              Notice Effectiveness. If a notice or communication is mailed or sent in the manner provided above in this Section 9(a) within the time prescribed, it will be deemed to have been duly given, whether or not the addressee receives it (except to the extent, but only to the extent, acknowledgement of receipt is expressly required by this Section 9(a)).

 

(b)               Governing Law; Waiver of Jury Trial. THIS WARRANT AGREEMENT AND THE WARRANTS, AND ANY CLAIM, CONTROVERSY OR DISPUTE ARISING UNDER OR RELATED TO THIS WARRANT AGREEMENT OR THE WARRANTS, WILL BE GOVERNED BY AND CONSTRUED IN ACCORDANCE WITH THE LAWS OF THE STATE OF NEW YORK. THE COMPANY AND EACH HOLDER (BY ITS ACCEPTANCE OF ANY WARRANT) IRREVOCABLY WAIVES, TO THE FULLEST EXTENT PERMITTED BY APPLICABLE LAW, ANY AND ALL RIGHT TO TRIAL BY JURY IN ANY LEGAL PROCEEDING ARISING OUT OF OR RELATING TO THIS WARRANT AGREEMENT, THE WARRANTS OR THE TRANSACTIONS CONTEMPLATED BY THIS WARRANT AGREEMENT OR THE WARRANTS.

 

(c)               Submission to Jurisdiction. Any legal suit, action or proceeding arising out of or based upon this Warrant Agreement or the transactions contemplated by this Warrant Agreement may be instituted in the federal courts of the United States of America located in the City of New York or the courts of the State of New York, in each case located in the City of New York (collectively, the “Specified Courts”), and each party irrevocably submits to the non-exclusive jurisdiction of such courts in any such suit, action or proceeding. Service of any process, summons, notice or document by mail (to the extent allowed under any applicable statute or rule of court) to such party’s address set forth in Section 9(a) will be effective service of process for any such suit, action or proceeding brought in any such court. Each of the Company and each Holder (by its execution and delivery of this Warrant Agreement or by its acceptance of any Warrant) irrevocably and unconditionally waives any objection to the laying of venue of any suit, action or other proceeding in the Specified Courts and irrevocably and unconditionally waives and agrees not to plead or claim any such suit, action or other proceeding has been brought in an inconvenient forum.

 

- 32 -

 

 

(d)               No Adverse Interpretation of Other Agreements. Neither this Warrant Agreement nor the Warrants may be used to interpret any other agreement of the Company or its Subsidiaries or of any other Person, and no such other agreement may be used to interpret this Warrant Agreement or the Warrants.

 

(e)               Successors; Benefits of Warrant Agreement. All agreements of the Company in this Warrant Agreement and the Warrants will bind its successors. Subject to the preceding sentence, this Warrant Agreement is for the sole benefit of the parties hereto and for the Holders, as such, from time to time, and nothing in this Warrant Agreement, or anything that may be implied from any provision of this Warrant Agreement, will confer on any other Person any right, claim or remedy.

 

(f)                Severability. If any provision of this Warrant Agreement or the Warrants is invalid, illegal or unenforceable, then the validity, legality and enforceability of the remaining provisions of this Warrant Agreement or the Warrants will not in any way be affected or impaired thereby.

 

(g)               Counterparts. The parties may sign any number of copies of this Warrant Agreement. Each signed copy will be an original, and all of them together represent the same agreement. Delivery of an executed counterpart of this Warrant Agreement by facsimile, electronically in portable document format or in any other format will be effective as delivery of a manually executed counterpart.

 

(h)               Table of Contents, Headings, Etc.The table of contents and the headings of the Sections and sub-Sections of this Warrant Agreement have been inserted for convenience of reference only, are not to be considered a part of this Warrant Agreement and will in no way modify or restrict any of the terms or provisions of this Warrant Agreement.

 

(i)                 Withholding Taxes. Each Holder of a Warrant agrees, by its acquisition of such interest, is deemed to agree, that if the Company or other applicable withholding agent pays withholding taxes or backup withholding on behalf of such Holder as a result of an adjustment or the non-occurrence of an adjustment to the Strike Price or the number of Underlying Shares of the Warrants or otherwise, then the Company or such withholding agent, as applicable, will be held be held harmless by the Holder and may, at its option, set off such payments against payments of cash or the delivery of other Exercise Consideration on such Warrant, any payments on the Common Stock or sales proceeds received by, or other funds or assets of, such Holder. The Holder will provide to the Company or other applicable withholding agent any US Tax Form W-9 or applicable W-8 (along with applicable attachments) on or prior to the date hereof, as required under law, or upon reasonable request.

 

(j)                 Entire Agreement. This Warrant Agreement, including all Exhibits hereto, together with the JV Agreement, constitute the entire agreement of the Parties with respect to the specific subject matter covered hereby and thereby, and supersedes in their entirety all other agreements or understandings between or among the parties with respect to such specific subject matter.

 

(k)               No Other Rights. The Warrants will confer no rights to the Holders thereof except as provided in this Warrant Agreement. For the avoidance of doubt, and without limiting the operation of Sections 5(g)(v), 5(g)(ii)(1) and 5(e)(iii), and the provisos to Sections 5(g)(i)(3)(A) and 5(g)(i)(4), the Warrants will not confer to the Holders thereof any rights as stockholders of the Company.

 

- 33 -

 

 

(l)                 No Obligation to Purchase Securities of the Company. For the avoidance of doubt, except to the extent any Exercise Shares (or other Exercise Consideration consisting of any securities of the Company) is deliverable in connection with the due Exercise of any Warrant, nothing in this Warrant Agreement will impose on any Holder any obligation to purchase any securities of the Company.

 

(m)             Tax Treatment of Warrants. The Company and initial Holder acknowledge and agree that (i) the Warrants shall be treated as part of an “investment unit” (as defined in Section 1273(c)(2) of the Code) with the initial borrowing of Loans on or around the Initial Issue Date, (ii) such Loans will be treated as issued with “original issue discount” for U.S. federal income tax purposes, and (iii) the “issue price” for U.S. federal income tax purposes of such Loans shall be determined, in part, by allocating the issue price of the investment unit between such Loans and the Warrants in accordance with Section 1273(c)(2) of the Code and the Treasury Regulations thereunder. The Company and the initial Holder shall cooperate in good faith to agree upon the applicable relative fair market values of such Loans and the Warrants within 90 days of the Initial Issue Date; provided, however, that if the Company and the initial Holder are unable to agree upon such amounts within such period, the Company shall reasonably determine such amounts in good faith. The Company (and its applicable Subsidiaries) and the initial Holder shall file their respective federal income tax returns and other applicable tax returns in a manner that is consistent with the foregoing, and shall not take any action or position (whether in preparation of tax returns, financial statements or otherwise) that is inconsistent with the foregoing, unless otherwise required by a final determination by the Internal Revenue Service or other applicable tax authority.

 

(n)               Limitation on Ownership of Warrants, Exercise of Warrants and Shares of Common Stock Deliverable Upon Conversion. The ownership of Warrants, the exercise of Warrants and the ownership of Common Stock issuable upon exercise of the Warrants is subject to the restrictions on ownership and transfer of the Company’s Capital Stock and Warrants contained in the Charter. No Warrant may be exercised to the extent that it would result in the Holder of such Warrant or the Common Stock issuable upon exercise of such Warrant or any other Person (as defined in the Charter) having ownership (either directly or constructively through the application of Section 544 of the Code, as modified by sections 856(h)(l)(B) and 856(h)(3)(A) of the Code) in excess of 9.8%, in number of shares or value, of any class of outstanding Capital Stock of the Company.

 

[The Remainder of This Page Intentionally Left Blank; Signature Page Follows]

 

- 34 -

 

 

IN WITNESS WHEREOF, the parties to this Warrant Agreement have caused this Warrant Agreement to be duly executed as of the date first written above.

 

  Redwood Trust, Inc.
   
  By: /s/ Dashiell I. Robinson
    Name: Dashiell I. Robinson
    Title: President

 

[Signature Page to Warrant Agreement]

 

 

 

 

  CPPIB Credit Investments III Inc.
   
  By: /s/ David Colla
    Name: David Colla
    Title: Authorized Signatory
   
  By: /s/ Umang Patel
    Name: Umang Patel
    Title: Authorized Signatory

 

Contact Information:

 

Address:    
     
     
     
Attention:    
     
Facsimile Number:    
     
Email Address:    

 

[Signature Page to Warrant Agreement]

 

 

 

 

EXHIBIT A

 

FORM OF WARRANT

 

[Insert Restricted Security Legend, if applicable]

 

[Insert Charter Ownership Limitation Legend]

 

Redwood Trust, Inc.

 

Warrants

 

Certificate No.[___]

 

Redwood Trust, Inc., a Maryland corporation (the “Company”), certifies that [___] is the registered owner of one (1) [First][Second] Tranche Warrant represented by this certificate (this “Certificate”). The initial number of Underlying Shares of the Warrant represented by this Certificate is [__] shares of Common Stock, which number is subject to adjustment as provided in the Warrant Agreement referred to below.

 

The terms of the Warrants are set forth in the Warrant Agreement, dated as of March 18, 2024, between the Company and the initial Holder (the “Warrant Agreement”). Capitalized terms used in this Certificate without definition have the respective meanings ascribed to them in the Warrant Agreement.

 

Additional terms of this Certificate are set forth on the other side of this Certificate.

 

[The Remainder of This Page Intentionally Left Blank; Signature Page Follows]

 

A-1

 

 

IN WITNESS WHEREOF, Redwood Trust, Inc. has caused this instrument to be duly executed as of the date set forth below.

 

   Redwood Trust, Inc.
     
Date:    By: 
 Name:
 Title:

 

A-2

 

 

REDWOOD TRUST, INC.

 

Warrant

 

This Certificate represents one (1) duly issued and outstanding Warrant having an initial number of Underlying Shares as set forth on the face of this Certificate. Certain terms of the Warrants are summarized below. Notwithstanding anything to the contrary in this Certificate, to the extent that any provision of this Certificate conflicts with the provisions of the Warrant Agreement, the provisions of the of the Warrant Agreement will control.

 

1.                  Method of Payment. Cash amounts due on the Warrants represented by this Certificate will be paid in the manner set forth in Section 3(d) of the Warrant Agreement.

 

2.                  Persons Deemed Owners. The Person in whose name this Certificate is registered will be treated as the owner of the Warrant represented by this Certificate for all purposes, subject to Section 3(j) of the Warrant Agreement.

 

3.                  Transfers and Exchanges. All Warrants will be in registered form. Subject to the terms of the Warrant Agreement, the Holder of the Warrant represented by this Certificate may transfer or exchange such Warrant by presenting this Certificate to the Registrar and delivering any required documentation or other materials.

 

4.                  No Right of Redemption by the Company. The Company will not have the right to redeem the Warrants at its election.

 

5.                  Exercise Rights. The Warrants will be Exercisable for Exercise Consideration in the manner, and subject to the terms, set forth in Section 5 of the Warrant Agreement.

 

6.                  Abbreviations. Customary abbreviations may be used in the name of a Holder or its assignee, such as TEN COM (tenants in common), TEN ENT (tenants by the entireties), JT TEN (joint tenants with right of survivorship and not as tenants in common), CUST (custodian), and U/G/M/A (Uniform Gift to Minors Act).

 

* * *

 

To request a copy of the Warrant Agreement, which the Company will provide to any Holder at no charge, please send a written request to the following address:

 

Redwood Trust, Inc.

One Belvedere Place, Suite 300

Mill Valley, California 94941

Attention: Chief Financial Officer

 

A-3

 

 

OPTIONAL EXERCISE NOTICE

 

REDWOOD TRUST, INC.

 

Subject to the terms of the Warrant Agreement, by executing and delivering this Optional Exercise Notice, the undersigned Holder of the Warrant identified below directs the Company to Exercise (check one):

 

¨all of the Underlying Shares of the Warrant

 

¨                   * Underlying Shares of the Warrant

 

identified by Certificate No.                      .

 

(Optional) Identify account within the United States to which any cash Exercise Consideration will be wired:

 

Bank Routing Number:    
     
SWIFT Code:    
     
Bank Address:    
     
     
Account Number:    
     
Account Name:    

 

Date:      
      (Legal Name of Holder)
       
      By:  
        Name: 
        Title:

 

 

* Must be a whole number.

 

A-4

 

 

ASSIGNMENT FORM

 

REDWOOD TRUST, INC.

 

Subject to the terms of the Warrant Agreement, the undersigned Holder of the Warrant identified below assigns (check one):

 

oall of the Underlying Shares of the Warrant

 

o                Underlying Shares of the Warrant

 

identified by Certificate No.                      , and all rights thereunder, to:

 

Name:    
     
Address:    
     
     
     
Social security or tax identification number:    

 

and irrevocably appoints:

 

  

 

 

 

as agent to transfer the within Warrant on the books of the Company. The agent may substitute another to act for him/her.

 

Date:      
      (Legal Name of Holder)
       
      By:  
        Name: 
        Title:

 

 

* Must be a whole number.

 

A-5

 

 

EXHIBIT B-1

 

FORM OF RESTRICTED SECURITY LEGEND

 

THE OFFER AND SALE OF THIS SECURITY AND THE SHARES OF COMMON STOCK ISSUABLE UPON EXERCISE OF THIS SECURITY HAVE NOT BEEN REGISTERED UNDER THE SECURITIES ACT OF 1933, AS AMENDED (THE “SECURITIES ACT”), AND THIS SECURITY AND SUCH SHARES MAY NOT BE OFFERED, SOLD OR OTHERWISE TRANSFERRED EXCEPT (A) PURSUANT TO A REGISTRATION STATEMENT THAT IS EFFECTIVE UNDER THE SECURITIES ACT; OR (B) PURSUANT TO AN EXEMPTION FROM, OR IN A TRANSACTION NOT SUBJECT TO, THE REGISTRATION REQUIREMENTS OF THE SECURITIES ACT.

 

B1-1

 

 

EXHIBIT B-2

 

FORM OF CHARTER OWNERSHIP LIMITATION LEGEND

 

THIS SECURITY, THE EXERCISE OF THIS SECURITY AND THE SHARES OF COMMON STOCK ISSUABLE UPON EXERCISE OF THIS SECURITY ARE SUBJECT TO RESTRICTIONS ON OWNERSHIP AND TRANSFER AS SET FORTH IN THE COMPANY’S CHARTER, AS THE SAME MAY BE IN EFFECT FROM TIME TO TIME.

 

B2-1